Machine Learning-Based Blood RNA Signature for Diagnosis of Autism Spectrum Disorder
Abstract
1. Introduction
2. Results
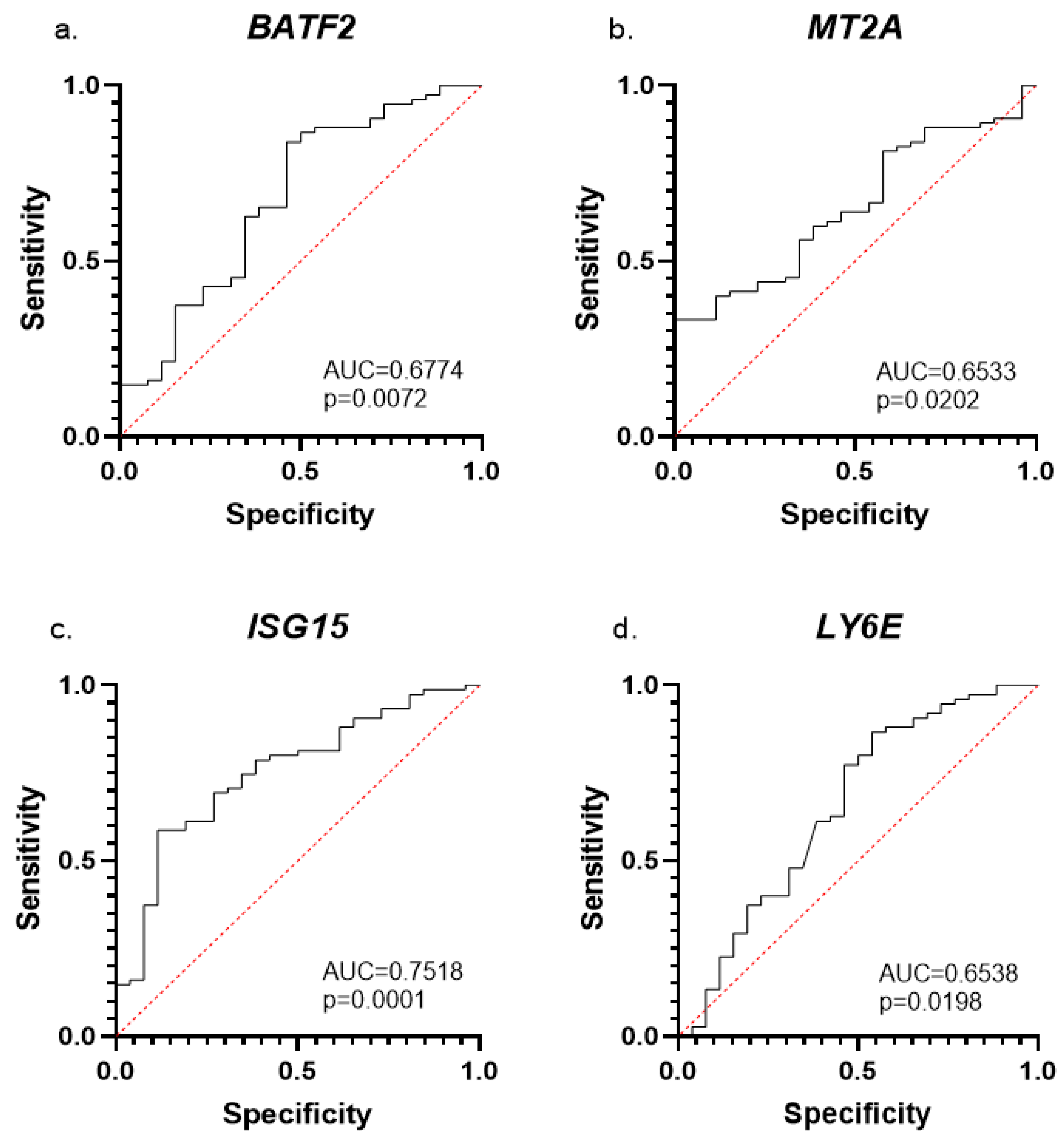
2.1. Choosing the Optimal Gene Combinations for ML Models
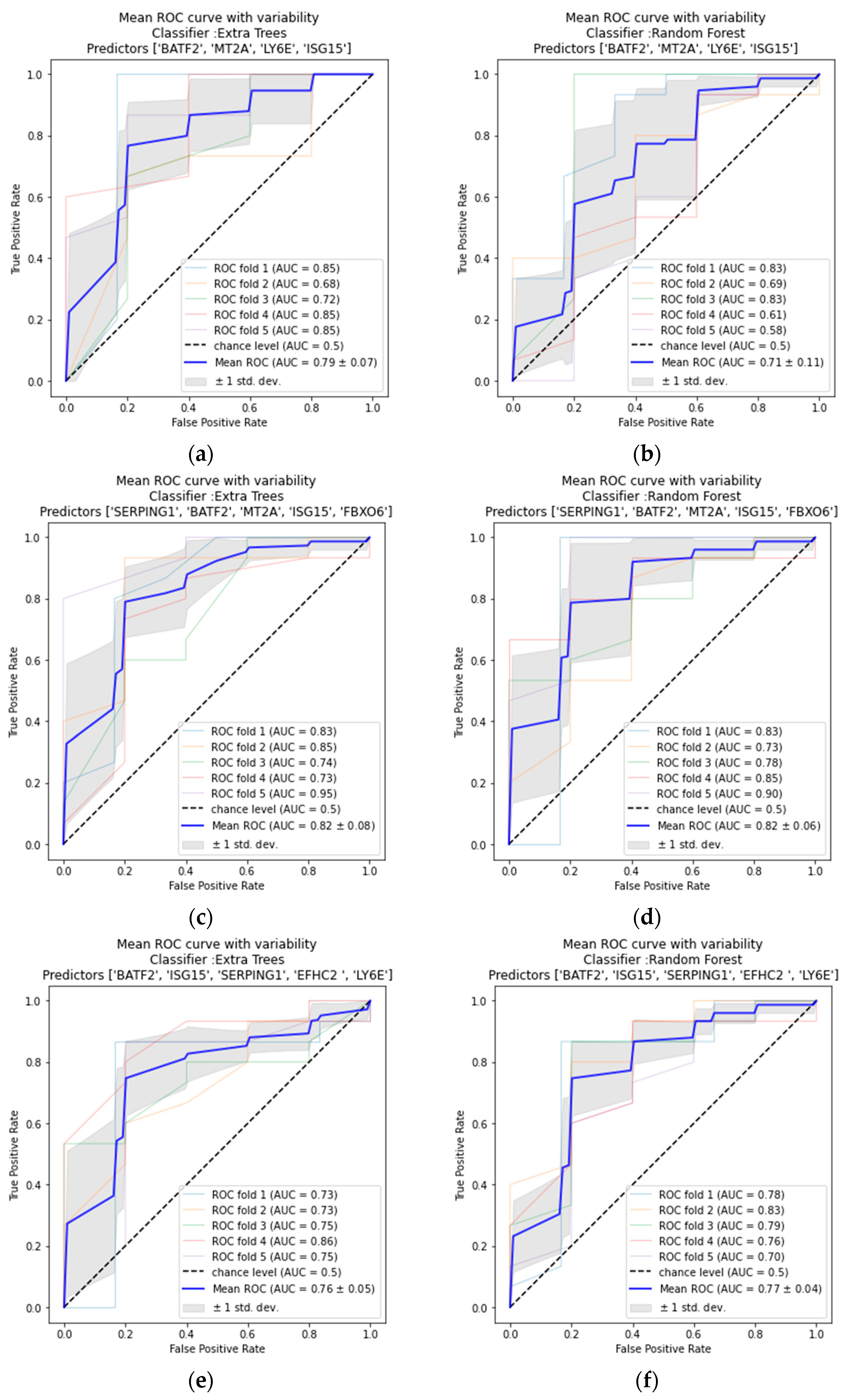
2.2. Detection of an Optimized Diagnostic Model
3. Discussion
4. Materials and Methods
4.1. Data Collection
4.2. Data Pre-Processing
4.3. Selecting Feature Importance
4.4. Machine Learning Algorithms
4.5. Accuracy and ROC AUC Validation
Supplementary Materials
Author Contributions
Funding
Institutional Review Board Statement
Informed Consent Statement
Data Availability Statement
Acknowledgments
Conflicts of Interest
References
- Doernberg, E.; Hollander, E. Neurodevelopmental Disorders (ASD and ADHD): DSM-5, ICD-10, and ICD-11. CNS Spectr. 2016, 21, 295–299. [Google Scholar] [CrossRef] [PubMed]
- Pham, H.H.; Sandberg, N.; Trinkl, J.; Thayer, J. Racial and Ethnic Differences in Rates and Age of Diagnosis of Autism Spectrum Disorder. JAMA Netw. Open 2022, 5, e2239604. [Google Scholar] [CrossRef] [PubMed]
- Jadav, N.; Bal, V.H. Associations between Co-Occurring Conditions and Age of Autism Diagnosis: Implications for Mental Health Training and Adult Autism Research. Autism. Res. 2022, 15, 2112–2125. [Google Scholar] [CrossRef] [PubMed]
- Willsey, H.R.; Willsey, A.J.; Wang, B.; State, M.W. Genomics, Convergent Neuroscience and Progress in Understanding Autism Spectrum Disorder. Nat. Rev. Neurosci. 2022, 23, 323–341. [Google Scholar] [CrossRef]
- Yoon, S.H.; Choi, J.; Lee, W.J.; Do, J.T. Genetic and Epigenetic Etiology Underlying Autism Spectrum Disorder. J. Clin. Med. 2020, 9, 966. [Google Scholar] [CrossRef]
- Durand, C.M.; Betancur, C.; Boeckers, T.M.; Bockmann, J.; Chaste, P.; Fauchereau, F.; Nygren, G.; Rastam, M.; Gillberg, I.C.; Anckarsäter, H.; et al. Mutations in the Gene Encoding the Synaptic Scaffolding Protein SHANK3 Are Associated with Autism Spectrum Disorders. Nat. Genet. 2007, 39, 25–27. [Google Scholar] [CrossRef]
- Gregory, S.G.; Connelly, J.J.; Towers, A.J.; Johnson, J.; Biscocho, D.; Markunas, C.A.; Lintas, C.; Abramson, R.K.; Wright, H.H.; Ellis, P.; et al. Genomic and Epigenetic Evidence for Oxytocin Receptor Deficiency in Autism. BMC Med. 2009, 7, 62. [Google Scholar] [CrossRef]
- Vincen, J.B.; Herbrick, J.A.; Gurling, H.M.D.; Bolton, P.F.; Roberts, W.; Scherer, S.W. Identification of a Novel Gene on Chromosome 7q31 That Is Interrupted by a Translocation Breakpoint in an Autistic Individual. Am. J. Hum. Genet. 2000, 67, 510–514. [Google Scholar] [CrossRef]
- Bakulski, K.M.; Dou, J.F.; Feinberg, J.I.; Aung, M.T.; Ladd-Acosta, C.; Volk, H.E.; Newschaffer, C.J.; Croen, L.A.; Hertz-Picciotto, I.; Levy, S.E.; et al. Autism-Associated DNA Methylation at Birth From Multiple Tissues Is Enriched for Autism Genes in the Early Autism Risk Longitudinal Investigation. Front. Mol. Neurosci. 2021, 14, 775390. [Google Scholar] [CrossRef]
- Shulha, H.P.; Cheung, I.; Whittle, C.; Wang, J.; Virgil, D.; Lin, C.L.; Guo, Y.; Lessard, A.; Akbarian, S.; Weng, Z. Epigenetic Signatures of Autism: Trimethylated H3K4 Landscapes in Prefrontal Neurons. Arch. Gen. Psychiatry. 2012, 69, 314–324. [Google Scholar] [CrossRef]
- Wu, X.; Li, W.; Zheng, Y. Recent Progress on Relevant MicroRNAs in Autism Spectrum Disorders. Int. J. Mol. Sci. 2020, 21, 5904. [Google Scholar] [CrossRef] [PubMed]
- Frye, R.E. Mitochondrial Dysfunction in Autism Spectrum Disorder: Unique Abnormalities and Targeted Treatments. Semin. Pediatr. Neurol. 2020, 35, 100829. [Google Scholar] [CrossRef]
- Deykin, E.Y.; Macmahon, B. VIRAL EXPOSURE AND AUTISM. Am. J. Epidemiol. 1979, 109, 628–638. [Google Scholar] [CrossRef]
- Zerbo, O.; Qian, Y.; Yoshida, C.; Grether, J.K.; van de Water, J.; Croen, L.A. Maternal Infection During Pregnancy and Autism Spectrum Disorders. J. Autism. Dev. Disord. 2016, 45, 4015–4025. [Google Scholar] [CrossRef]
- Svoboda, E. Could the Gut Microbiome Be Linked to Autism? Nature 2020, 577, S14–S15. [Google Scholar] [CrossRef] [PubMed]
- Hultman, C.M.; Sparén, P.; Cnattingius, S. Perinatal Risk Factors for Infantile Autism. Epidemiology 2002, 13, 417–423. [Google Scholar] [CrossRef] [PubMed]
- Frye, R.E.; Cakir, J.; Rose, S.; Palmer, R.F.; Austin, C.; Curtin, P. Physiological Mediators of Prenatal Environmental Influences in Autism Spectrum Disorder. Bioessays 2021, 43, 2000307. [Google Scholar] [CrossRef]
- Christensen, D.; Maenner, M.; Bilder, D.; Constantino, J.; Daniels, J.; Durkin, M.; Fitzgerald, R.; Kurzius-Spencer, M.; Pettygrove, S.; Robinson, C.; et al. Prevalence and Characteristics of Autism Spectrum Disorder Among Children Aged 4 Years—Early Autism and Developmental Disabilities Monitoring Network, Seven Sites, United States, 2010, 2012, and 2014. MMWR Surveill. Summ. 2019, 68, 1–19. [Google Scholar] [CrossRef]
- Jensen, A.R.; Lane, A.L.; Werner, B.A.; McLees, S.E.; Fletcher, T.S.; Frye, R.E. Modern Biomarkers for Autism Spectrum Disorder: Future Directions. Mol. Diagn. Ther. 2022, 26, 483–495. [Google Scholar] [CrossRef]
- Vassileva, J.; Young-Jin Cho, R.; Whelan, R.; Jollans, L. Neuromarkers for Mental Disorders: Harnessing Population Neuroscience. Front. Psychiatry 2018, 1, 242. [Google Scholar] [CrossRef]
- Pintelas, E.G.; Kotsilieris, T.; Livieris, I.E.; Pintelas, P. A Review of Machine Learning Prediction Methods for Anxiety Disorders. In Proceedings of the ACM International Conference Proceeding Series, Thessaloniki Greece, 20 June 2018; Association for Computing Machinery: New York, NY, USA; pp. 8–15. [Google Scholar]
- Avuçlu, E.; Elen, A. Evaluation of Train and Test Performance of Machine Learning Algorithms and Parkinson Diagnosis with Statistical Measurements. Med. Biol. Eng. Comput. 2020, 58, 2775–2788. [Google Scholar] [CrossRef] [PubMed]
- Mei, J.; Desrosiers, C.; Frasnelli, J. Machine Learning for the Diagnosis of Parkinson’s Disease: A Review of Literature. Front. Aging Neurosci. 2021, 13. [Google Scholar] [CrossRef] [PubMed]
- Mirzaei, G.; Adeli, A.; Adeli, H. Imaging and Machine Learning Techniques for Diagnosis of Alzheimer’s Disease. Rev. Neurosci. 2016, 27, 857–870. [Google Scholar] [CrossRef] [PubMed]
- Trambaiolli, L.R.; Lorena, A.C.; Fraga, F.J.; Kanda, P.A.M.; Anghinah, R.; Nitrini, R. Improving Alzheimer’s Disease Diagnosis with Machine Learning Techniques. Clin. EEG Neurosci. 2011, 42, 160–165. [Google Scholar] [CrossRef]
- Abbasi, B.; Goldenholz, D.M. Machine Learning Applications in Epilepsy. Epilepsia 2019, 60, 2037–2047. [Google Scholar] [CrossRef]
- Yoffe, L.; Polsky, A.; Gilam, A.; Raff, C.; Mecacci, F.; Ognibene, A.; Crispi, F.; Gratacós, E.; Kanety, H.; Mazaki-Tovi, S.; et al. Early Diagnosis of Gestational Diabetes Mellitus Using Circulating MicroRNAs. Eur. J. Endocrinol. 2019, 181, 565–577. [Google Scholar] [CrossRef]
- Zoabi, Y.; Kehat, O.; Lahav, D.; Weiss-Meilik, A.; Adler, A.; Shomron, N. Predicting Bloodstream Infection Outcome Using Machine Learning. Sci. Rep. 2021, 11, 20101. [Google Scholar] [CrossRef]
- Zoabi, Y.; Deri-Rozov, S.; Shomron, N. Machine Learning-Based Prediction of COVID-19 Diagnosis Based on Symptoms. NPJ Digit. Med. 2021, 4, 3. [Google Scholar] [CrossRef]
- Ghiassian, S.; Greiner, R.; Jin, P.; Brown, M.R.G. Using Functional or Structural Magnetic Resonance Images and Personal Characteristic Data to Identify ADHD and Autism. PLoS One 2016, 11, e0166934. [Google Scholar] [CrossRef]
- Abraham, A.; Milham, M.P.; di Martino, A.; Craddock, R.C.; Samaras, D.; Thirion, B.; Varoquaux, G. Deriving Reproducible Biomarkers from Multi-Site Resting-State Data: An Autism-Based Example. Neuroimage 2017, 147, 736–745. [Google Scholar] [CrossRef]
- Heinsfeld, A.S.; Franco, A.R.; Craddock, R.C.; Buchweitz, A.; Meneguzzi, F. Identification of Autism Spectrum Disorder Using Deep Learning and the ABIDE Dataset. Neuroimage Clin. 2018, 17, 16–23. [Google Scholar] [CrossRef] [PubMed]
- Qiu, A.; He, L.; Li, H.; Parikh, N.A. A Novel Transfer Learning Approach to Enhance Deep Neural Network Classification of Brain Functional Connectomes. Front. Neurosci. 2018, 1, 491. [Google Scholar] [CrossRef]
- Bone, D.; Goodwin, M.S.; Black, M.P.; Lee, C.-C.; Audhkhasi, K.; Narayanan, S. Applying Machine Learning to Facilitate Autism Diagnostics: Pitfalls and Promises. J. Autism. Dev. Disord. 2015, 45, 1121–1136. [Google Scholar] [CrossRef]
- Kosmicki, J.A.; Sochat, V.; Duda, M.; Wall, D.P. Searching for a Minimal Set of Behaviors for Autism Detection through Feature Selection-Based Machine Learning. Transl. Psychiatry 2015, 5, e514. [Google Scholar] [CrossRef] [PubMed]
- Georgescu, A.L.; Koehler, J.C.; Weiske, J.; Vogeley, K.; Koutsouleris, N.; Falter-Wagner, C. Machine Learning to Study Social Interaction Difficulties in ASD. Front Robot AI 2019, 6, 132. Available online: https://pubmed.ncbi.nlm.nih.gov/33501147/ (accessed on 14 December 2022). [CrossRef] [PubMed]
- Thabtah, F. Autism Spectrum Disorder Screening: Machine Learning Adaptation and DSM-5 Fulfillment. In Proceedings of the 1st International Conference on Medical and Health Informatics 2017, Taichung City, Taiwan, 20–22 May 2017; Association for Computing Machinery: New York, NY, USA, 2017; pp. 1–6. [Google Scholar]
- Crippa, A.; Salvatore, C.; Perego, P.; Forti, S.; Nobile, M.; Molteni, M.; Castiglioni, I. Use of Machine Learning to Identify Children with Autism and Their Motor Abnormalities. J. Autism. Dev. Disord. 2015, 45, 2146–2156. [Google Scholar] [CrossRef] [PubMed]
- Li, B.; Sharma, A.; Meng, J.; Purushwalkam, S.; Gowen, E. Applying Machine Learning to Identify Autistic Adults Using Imitation: An Exploratory Study. PLoS ONE 2017, 12, e0182652. [Google Scholar] [CrossRef]
- Grether, J.K.; Anderson, M.C.; Croen, L.A.; Smith, D.; Windham, G.C. Risk of Autism and Increasing Maternal and Paternal Age in a Large North American Population. Am. J. Epidemiol. 2009, 170, 1118–1126. [Google Scholar] [CrossRef]
- Liu, W.; Li, M.; Yi, L. Identifying Children with Autism Spectrum Disorder Based on Their Face Processing Abnormality: A Machine Learning Framework. Autism. Res. 2016, 9, 888–898. [Google Scholar] [CrossRef]
- Nakai, Y.; Takiguchi, T.; Matsui, G.; Yamaoka, N.; Takada, S. Detecting Abnormal Word Utterances in Children With Autism Spectrum Disorders: Machine-Learning-Based Voice Analysis Versus Speech Therapists. Percept. Mot. Ski. 2017, 124, 961–973. [Google Scholar] [CrossRef]
- Engchuan, W.; Dhindsa, K.; Lionel, A.C.; Scherer, S.W.; Chan, J.H.; Merico, D. Performance of Case-Control Rare Copy Number Variation Annotation in Classification of Autism. BMC Med. Genom. 2015, 8, S7. [Google Scholar] [CrossRef] [PubMed]
- Gök, M. A Novel Machine Learning Model to Predict Autism Spectrum Disorders Risk Gene. Neural. Comput. Appl. 2019, 31, 6711–6717. [Google Scholar] [CrossRef]
- Polimanti, R.; Gelernter, J. Widespread Signatures of Positive Selection in Common Risk Alleles Associated to Autism Spectrum Disorder. PLoS Genet. 2017, 13, e1006618. [Google Scholar] [CrossRef] [PubMed]
- Lin, Y.; Afshar, S.; Rajadhyaksha, A.M.; Potash, J.B.; Han, S. A Machine Learning Approach to Predicting Autism Risk Genes: Validation of Known Genes and Discovery of New Candidates. Front. Genet. 2020, 11, 500064. [Google Scholar] [CrossRef]
- Zhou, J.; Park, C.Y.; Theesfeld, C.L.; Wong, A.K.; Yuan, Y.; Scheckel, C.; Fak, J.J.; Funk, J.; Yao, K.; Tajima, Y.; et al. Whole-Genome Deep-Learning Analysis Identifies Contribution of Noncoding Mutations to Autism Risk. Nat. Genet. 2019, 51, 973–980. [Google Scholar] [CrossRef]
- Chiocchetti, A.G.; Haslinger, D.; Stein, J.L.; de La Torre-Ubieta, L.; Cocchi, E.; Rothämel, T.; Lindlar, S.; Waltes, R.; Fulda, S.; Geschwind, D.H.; et al. Transcriptomic Signatures of Neuronal Differentiation and Their Association with Risk Genes for Autism Spectrum and Related Neuropsychiatric Disorders. Transl. Psychiatry 2016, 6, e864. [Google Scholar] [CrossRef]
- Shen, L.; Lin, Y.; Sun, Z.; Yuan, X.; Chen, L.; Shen, B. Knowledge-Guided Bioinformatics Model for Identifying Autism Spectrum Disorder Diagnostic MicroRNA Biomarkers. Sci. Rep. 2016, 6, 39663. [Google Scholar] [CrossRef]
- Hicks, S.D.; Rajan, A.T.; Wagner, K.E.; Barns, S.; Carpenter, R.L.; Middleton, F.A. Validation of a Salivary RNA Test for Childhood Autism Spectrum Disorder. Front. Genet. 2018, 9, 534. [Google Scholar] [CrossRef]
- Voinsky, I.; Zoabi, Y.; Shomron, N.; Harel, M.; Cassuto, H.; Tam, J.; Rose, S.; Scheck, A.C.; Karim, M.A.; Frye, R.E.; et al. Blood RNA Sequencing Indicates Upregulated BATF2 and LY6E and Downregulated ISG15 and MT2A Expression in Children with Autism Spectrum Disorder. Int. J. Mol. Sci. 2022, 23, 9843. [Google Scholar] [CrossRef]
- Archer, K.J.; Kimes, R.V. Empirical Characterization of Random Forest Variable Importance Measures. Comput. Stat. Data Anal. 2008, 52, 2249–2260. [Google Scholar] [CrossRef]
- Tylee, D.S.; Kawaguchi, D.M.; Glatt, S.J. On the Outside, Looking in: A Review and Evaluation of the Comparability of Blood and Brain “-Omes. ” Am. J. Med. Genet. Part B Neuropsychiatr. Genet. 2013, 162, 595–603. [Google Scholar] [CrossRef]
- Sullivan, P.F.; Fan, C.; Perou, C.M. Evaluating the Comparability of Gene Expression in Blood and Brain. Am. J. Med. Genet. Part B Neuropsychiatr. Genet. 2006, 141B, 261–268. [Google Scholar] [CrossRef] [PubMed]
- Gu, K.M.; Min, S.H.; Cho, J. Sleep Duration and Mortality in Patients with Diabetes: Results from the 2007-2015 Korea National Health and Nutrition Examination Survey. Diabetes. Metab. 2022, 48, 101312. [Google Scholar] [CrossRef] [PubMed]
- Brotherton, A.; Evison, F.; Gallier, S.; Sharif, A. Pre-Operative Waterlow Score and Outcomes after Kidney Transplantation. BMC Nephrol. 2022, 23, 273. [Google Scholar] [CrossRef] [PubMed]
- Pedregosa, F.; Michel, V.; Grisel, O.; Blondel, M.; Prettenhofer, P.; Weiss, R.; Vanderplas, J.; Cournapeau, D.; Pedregosa, F.; Varoquaux, G.; et al. Scikit-Learn: Machine Learning in Python. J. Mach. Learn. Res. 2011, 12, 2825–2830. [Google Scholar]
- Mandrekar, J.N. Receiver Operating Characteristic Curve in Diagnostic Test Assessment. J. Thorac. Oncol. 2010, 5, 1315–1316. [Google Scholar] [CrossRef]
- Fawagreh, K.; Gaber, M.M.; Elyan, E. Random Forests: From Early Developments to Recent Advancements. Syst. Sci. Control. Eng. Open Access J. 2014, 2, 602–609. [Google Scholar] [CrossRef]
- Zhu, R.; Wang, Y.; Liu, J.X.; Dai, L.Y. IPCARF: Improving LncRNA-Disease Association Prediction Using Incremental Principal Component Analysis Feature Selection and a Random Forest Classifier. BMC Bioinform. 2021, 22, 175. [Google Scholar] [CrossRef]



| Predictor | #1 | #3 | #5 | |
|---|---|---|---|---|
| Model Accuracy | ||||
| Extra Trees Classifier | 81.188% | 80.198% | 80.198% | |
| Random Forest Classifier | 79.208% | 82.178% | 82.178% | |
Disclaimer/Publisher’s Note: The statements, opinions and data contained in all publications are solely those of the individual author(s) and contributor(s) and not of MDPI and/or the editor(s). MDPI and/or the editor(s) disclaim responsibility for any injury to people or property resulting from any ideas, methods, instructions or products referred to in the content. |
© 2023 by the authors. Licensee MDPI, Basel, Switzerland. This article is an open access article distributed under the terms and conditions of the Creative Commons Attribution (CC BY) license (https://creativecommons.org/licenses/by/4.0/).
Share and Cite
Voinsky, I.; Fridland, O.Y.; Aran, A.; Frye, R.E.; Gurwitz, D. Machine Learning-Based Blood RNA Signature for Diagnosis of Autism Spectrum Disorder. Int. J. Mol. Sci. 2023, 24, 2082. https://doi.org/10.3390/ijms24032082
Voinsky I, Fridland OY, Aran A, Frye RE, Gurwitz D. Machine Learning-Based Blood RNA Signature for Diagnosis of Autism Spectrum Disorder. International Journal of Molecular Sciences. 2023; 24(3):2082. https://doi.org/10.3390/ijms24032082
Chicago/Turabian StyleVoinsky, Irena, Oleg Y. Fridland, Adi Aran, Richard E. Frye, and David Gurwitz. 2023. "Machine Learning-Based Blood RNA Signature for Diagnosis of Autism Spectrum Disorder" International Journal of Molecular Sciences 24, no. 3: 2082. https://doi.org/10.3390/ijms24032082
APA StyleVoinsky, I., Fridland, O. Y., Aran, A., Frye, R. E., & Gurwitz, D. (2023). Machine Learning-Based Blood RNA Signature for Diagnosis of Autism Spectrum Disorder. International Journal of Molecular Sciences, 24(3), 2082. https://doi.org/10.3390/ijms24032082

