Degraded RNA from Human Anterior Cruciate Ligaments Yields Valid Gene Expression Profiles
Abstract
:1. Introduction
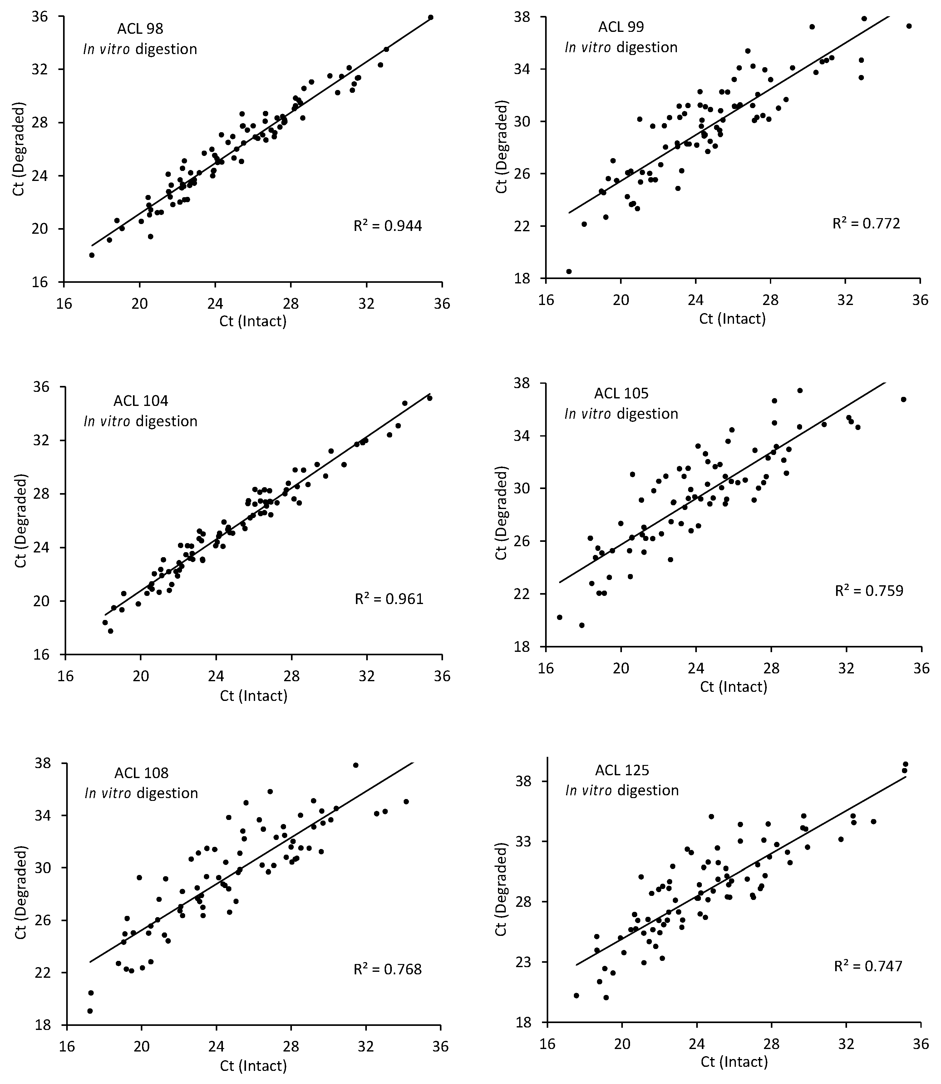
2. Results
% loss = (1 − f) × 100
3. Discussion
4. Materials and Methods
Supplementary Materials
Author Contributions
Funding
Institutional Review Board Statement
Informed Consent Statement
Data Availability Statement
Acknowledgments
Conflicts of Interest
References
- Iyer, V.R.; Eisen, M.B.; Ross, D.T.; Schuler, G.; Moore, T.; Lee, J.C.; Trent, J.M.; Staudt, L.M.; Hudson, J., Jr.; Boguski, M.S. The transcriptional program in the response of human fibroblasts to serum. Science 1999, 283, 83–87. [Google Scholar] [CrossRef] [PubMed]
- Perou, C.M.; Jeffrey, S.S.; van de Rijn, M.; Rees, C.A.; Eisen, M.B.; Ross, D.T.; Pergamenschikov, A.; Williams, C.F.; Zhu, S.X.; Lee, J.C. Distinctive gene expression patterns in human mammary epithelial cells and breast cancers. Proc. Natl. Acad. Sci. USA 1999, 96, 9212–9217. [Google Scholar] [CrossRef] [PubMed] [Green Version]
- Chang, H.Y.; Chi, J.T.; Dudoit, S.; Bondre, C.; van de Rijn, M.; Botstein, D.; Brown, P.O. Diversity, topographic differentiation, and positional memory in human fibroblasts. Proc. Natl. Acad. Sci. USA 2002, 99, 12877–12882. [Google Scholar] [CrossRef] [Green Version]
- van ‘t Veer, L.J.; Dai, H.; van de Vijver, M.J.; He, Y.D.; Hart, A.A.; Mao, M.; Peterse, H.L.; van der Kooy, K.; Marton, M.J.; Witteveen, A.T. Gene expression profiling predicts clinical outcome of breast cancer. Nature 2002, 415, 530–536. [Google Scholar] [CrossRef] [Green Version]
- Skrypina, N.A.; Timofeeva, A.V.; Khaspekov, G.L.; Savochkina, L.P.; Beabealashvilli, R.S. Total RNA suitable for molecular biology analysis. J. Biotechnol. 2003, 105, 1–9. [Google Scholar] [CrossRef]
- Farrell, R.J. Chapter 6-Quality control for RNA preparations. In RNA Methodologies, 5th ed.; Farrell, R.J., Ed.; Academic Press: Cambridge, MA, USA, 2017; pp. 167–185. [Google Scholar]
- Chomczynski, P.; Sacchi, N. Single-step method of RNA isolation by acid guanidinium thiocyanate-phenol-chloroform extraction. Anal. Biochem. 1987, 162, 156–159. [Google Scholar] [CrossRef]
- Attia, E.; Brown, H.; Henshaw, R.; George, S.; Hannafin, J.A. Patterns of gene expression in a rabbit partial anterior cruciate ligament transection model: The potential role of mechanical forces. Am. J. Sport. Med. 2010, 38, 348–356. [Google Scholar] [CrossRef]
- Achari, Y.; Chin, J.W.S.; Heard, B.J.; Rattner, J.B.; Shrive, N.G.; Frank, C.B.; Hart, D.A. Molecular events surrounding collagen fibril assembly in the early healing rabbit medial collateral ligament-failure to recapitulate normal ligament development. Connect. Tiss. Res. 2011, 52, 301–312. [Google Scholar] [CrossRef]
- Foos, M.J.; Hickox, J.R.; Mansour, P.G.; Slauterbeck, J.R.; Hardy, D.M. Expression of matrix metalloproteinase and tissue inhibitor of metalloproteinase genes in human anterior cruciate ligament. J. Orthop. Res. 2001, 19, 642–649. [Google Scholar] [CrossRef] [PubMed]
- Slauterbeck, J.R.; Hardy, D.M. Sex hormones and knee ligament injuries in females. Am. J. Med. Sci. 2001, 322, 196–199. [Google Scholar] [CrossRef]
- Slauterbeck, J.R.; Hickox, J.R.; Xu, K.T.; Hardy, D.M. Expression of remodeling genes in human anterior cruciate ligament varies by gender. In Proceedings of the 50th Annual Meeting of the Orthopaedic Research Society, San Francisco, CA, USA, 7–10 March 2004. [Google Scholar]
- Hickox, J.R.; Slauterbeck, J.R.; Hardy, D.M. Effects of osteoarthritis on gene expression profiles in human ACL. In Proceedings of the 51st Annual Meeting of the Orthopaedic Research Society, Washington, DC, USA, 20–23 February 2005. [Google Scholar]
- Hickox, J.R.; Harvey, B.J.; Schutt, R.C.; Slauterbeck, J.R.; Hardy, D.M. Knee pathology alters expression of multiple MMP, TIMP, and collagen genes in human ACL. In Proceedings of the 52nd Annual Meeting of the Orthopaedic Research Society, Chicago, IL, USA, 19–22 March 2006. [Google Scholar]
- Slauterbeck, J.R.; Hickox, J.R.; Beynnon, B.; Hardy, D.M. Anterior cruciate ligament biology and its relationship to injury forces. Orthop. Clin. North Am. 2006, 37, 585–591. [Google Scholar] [CrossRef] [PubMed]
- Chandrashekar, N.; Mansouri, H.; Slauterbeck, J.; Hashemi, J. Sex-based differences in the tensile properties of the human anterior cruciate ligament. J. Biomech. 2006, 39, 2943–2950. [Google Scholar] [CrossRef] [PubMed]
- Hashemi, J.; Chandrashekar, N.; Mansouri, H.; Slauterbeck, J.R.; Hardy, D.M. The human anterior cruciate ligament: Sex differences in ultrastructure and correlation with biomechanical properties. J. Orthop. Res. 2008, 26, 945–950. [Google Scholar] [CrossRef]
- Hashemi, J.; Mansouri, H.; Chandrashekar, N.; Slauterbeck, J.R.; Hardy, D.M.; Beynnon, B.D. Age, sex, body anthropometry, and ACL size predict the structural properties of the human anterior cruciate ligament. J. Orthop. Res. 2011, 29, 993–1001. [Google Scholar] [CrossRef]
- Fisher, G.D.; Gill, J.B.; Graham, S.; Hutson, J.C.; Hashemi, J.; Hardy, D.M. Correlation of Gene Expression with Biomechanical Properties of Human Cervical Discs In Vitro. In Proceedings of the 56th Annual Meeting of the Orthopaedic Research Society, New Orleans, LA, USA, 6–9 March 2010. [Google Scholar]
- Fisher, G.D.; Hashemi, J.; Gill, J.B.; Graham, S.; Hutson, J.C.; Hardy, D.M. Correlation of Age, Degeneration, and Biomechanical Properties of Human Lumbar Discs with mRNAs Encoding Numerous Extracellular Matrix Components. In Proceedings of the 57th Annual Meeting of the Orthopaedic Research Society, Long Beach, CA, USA, 13–16 January 2011. [Google Scholar]
- Tong, D.; Schneeberger, C.; Leodolter, S.; Zeillinger, R. Quantitative determination of gene expression by competitive reverse transcription-polymerase chain reaction in degraded RNA samples. Anal. Biochem. 1997, 251, 173–177. [Google Scholar] [CrossRef]
- Antonov, J.; Goldstein, D.R.; Oberli, A.; Baltzer, A.; Pirotta, M.; Fleischmann, A.; Altermatt, H.J.; Jaggi, R. Reliable gene expression measurements from degraded RNA by quantitative real-time PCR depend on short amplicons and a proper normalization. Lab. Invest. 2005, 85, 1040–1050. [Google Scholar] [CrossRef] [PubMed] [Green Version]
- Ravo, M.; Mutarelli, M.; Ferraro, L.; Grober, O.M.; Paris, O.; Tarallo, R.; Vigilante, A.; Cimino, D.; De Bortoli, M.; Nola, E.; et al. Quantitative expression profiling of highly degraded RNA from formalin-fixed, paraffin-embedded breast tumor biopsies by oligonucleotide microarrays. Lab. Invest. 2008, 88, 430–440. [Google Scholar] [CrossRef] [Green Version]
- Mengual, L.; Burset, M.; Ars, E.; Ribal, M.J.; Lozano, J.J.; Minana, B.; Sumoy, L.; Alcaraz, A. Partially degraded RNA from bladder washing is a suitable sample for studying gene expression profiles in bladder cancer. Eur. Urol. 2006, 50, 1347–1355. [Google Scholar] [CrossRef] [PubMed]
- Opitz, L.; Salinas-Riester, G.; Grade, M.; Jung, K.; Jo, P.; Emons, G.; Ghadimi, B.M.; Tim, B.; Jochen, G. Impact of RNA degradation on gene expression profiling. BMC Med. Genom. 2010, 3, 36. [Google Scholar] [CrossRef] [Green Version]
- Kim, W.C.; Lee, C.H. The role of mammalian ribonucleases (RNases) in cancer. Biochim. Biophys. Acta 2009, 1796, 99–113. [Google Scholar] [CrossRef]
- Raines, R.T. Ribonuclease A. Chem. Rev. 1998, 98, 1045–1065. [Google Scholar] [CrossRef] [PubMed]
- Hardy, D.M.; Garbers, D.L. A sperm membrane protein that binds in a species-specific manner to the egg extracellular matrix is homologous to von Willebrand factor. J. Biol. Chem. 1995, 270, 26025–26028. [Google Scholar] [CrossRef] [PubMed]





| ACL | Targets Compared (N) | Slope (m) | y-Intercept (b) | Pearson Coefficient (r) | Coefficient of Determination (R2) |
|---|---|---|---|---|---|
| Combined | 497 | 0.906 | 5.77 | +0.80 | 0.64 |
| 98 | 87 | 0.906 | 3.28 | +0.97 | 0.94 |
| 99 | 83 | 0.906 | 7.19 | +0.88 | 0.77 |
| 104 | 86 | 0.906 | 2.93 | +0.98 | 0.96 |
| 105 | 80 | 0.906 | 7.48 | +0.87 | 0.76 |
| 108 | 78 | 0.906 | 7.01 | +0.88 | 0.77 |
| 125 | 83 | 0.906 | 6.72 | +0.86 | 0.75 |
Disclaimer/Publisher’s Note: The statements, opinions and data contained in all publications are solely those of the individual author(s) and contributor(s) and not of MDPI and/or the editor(s). MDPI and/or the editor(s) disclaim responsibility for any injury to people or property resulting from any ideas, methods, instructions or products referred to in the content. |
© 2023 by the authors. Licensee MDPI, Basel, Switzerland. This article is an open access article distributed under the terms and conditions of the Creative Commons Attribution (CC BY) license (https://creativecommons.org/licenses/by/4.0/).
Share and Cite
Ashton, M.N.; Worsham, A.E.; Strawn, M.D.; Fisher, G.D.; Perry, C.J.; Ferguson, M.P.; Zumwalt, M.; Brindley, G.W.; Hashemi, J.; Mansouri, H.; et al. Degraded RNA from Human Anterior Cruciate Ligaments Yields Valid Gene Expression Profiles. Int. J. Mol. Sci. 2023, 24, 1895. https://doi.org/10.3390/ijms24031895
Ashton MN, Worsham AE, Strawn MD, Fisher GD, Perry CJ, Ferguson MP, Zumwalt M, Brindley GW, Hashemi J, Mansouri H, et al. Degraded RNA from Human Anterior Cruciate Ligaments Yields Valid Gene Expression Profiles. International Journal of Molecular Sciences. 2023; 24(3):1895. https://doi.org/10.3390/ijms24031895
Chicago/Turabian StyleAshton, Megan N., Asha E. Worsham, Matthew D. Strawn, Geoffrey D. Fisher, Cody J. Perry, Matthew P. Ferguson, Mimi Zumwalt, George W. Brindley, Javad Hashemi, Hossein Mansouri, and et al. 2023. "Degraded RNA from Human Anterior Cruciate Ligaments Yields Valid Gene Expression Profiles" International Journal of Molecular Sciences 24, no. 3: 1895. https://doi.org/10.3390/ijms24031895
APA StyleAshton, M. N., Worsham, A. E., Strawn, M. D., Fisher, G. D., Perry, C. J., Ferguson, M. P., Zumwalt, M., Brindley, G. W., Hashemi, J., Mansouri, H., Slauterbeck, J. R., & Hardy, D. M. (2023). Degraded RNA from Human Anterior Cruciate Ligaments Yields Valid Gene Expression Profiles. International Journal of Molecular Sciences, 24(3), 1895. https://doi.org/10.3390/ijms24031895

