Metallomic Signatures of Lung Cancer and Chronic Obstructive Pulmonary Disease
Abstract
:1. Introduction
2. Results
2.1. The Human Serum Elemental Profile Is Influenced by LC and COPD
2.2. Altered Elemental Ratios Influenced by LC and COPD
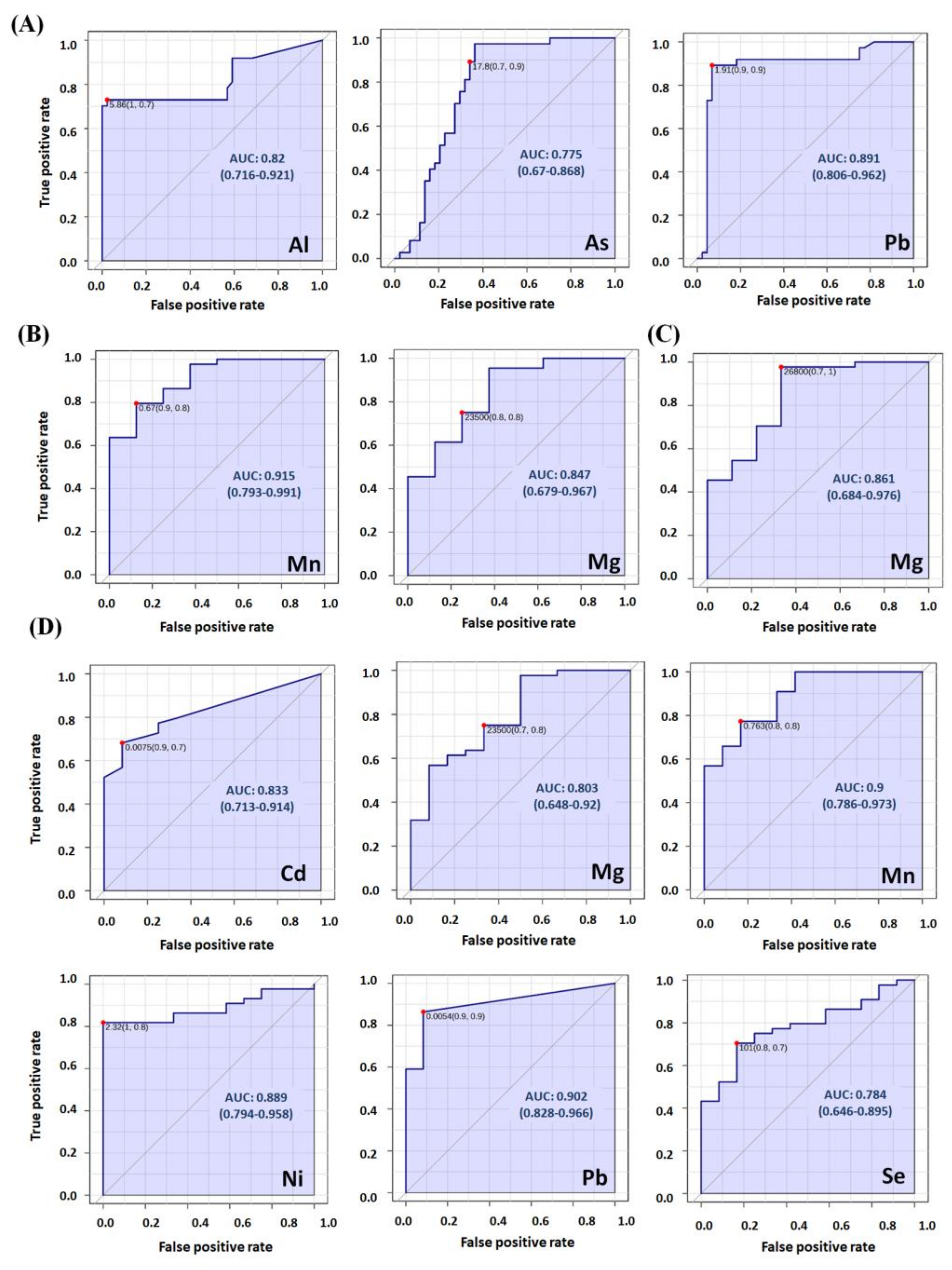
2.3. Associations between Metals in COPD (of Varying Severity) and LC
3. Discussion
4. Study Limitations
5. Materials and Methods
5.1. Study Participants and Study Design
5.2. Determination of Elements in Serum Samples via ICP-MS
5.3. Statistics
6. Conclusions
Supplementary Materials
Author Contributions
Funding
Institutional Review Board Statement
Informed Consent Statement
Data Availability Statement
Acknowledgments
Conflicts of Interest
Abbreviations
| AF | Affinity chromatography |
| AUC | Area under the curve |
| COPD | Chronic obstructive pulmonary disease |
| COPD-LC | COPD patients who developed LC |
| COPD-vs | Very severe COPD |
| COPD-s | Severe COPD |
| COPD-mo | Moderate COPD |
| COPD-mi | Mild COPD |
| CHAiN | COPD History Assessment in SpaiN |
| HC | Healthy control |
| ICP-MS | Inductively coupled plasma mass spectrometry |
| LC | Lung cancer |
| LOD | Limits of detection |
| LOQ | Limits of quantification |
| PCA | Principal component analysis |
| PLS-DA | Partial least squares-discriminant analysis |
| ROC | Receiver operating characteristic |
| VIP | Variable importance in projection |
References
- Siegel, R.L.; Miller, K.D.; Fuchs, H.E.; Jemal, A. Cancer Statistics, 2022. CA Cancer J. Clin. 2022, 72, 7–33. [Google Scholar] [CrossRef]
- Quaderi, S.A.; Hurst, J.R. The Unmet Global Burden of COPD. Glob. Health Epidemiol. Genom. 2018, 3, e4. [Google Scholar] [CrossRef] [PubMed]
- Andreini, C.; Bertini, I.; Cavallaro, G.; Holliday, G.L.; Thornton, J.M. Metal Ions in Biological Catalysis: From Enzyme Databases to General Principles. J. Biol. Inorg. Chem. 2008, 13, 1205–1218. [Google Scholar] [CrossRef]
- Lu, Y. Metal Ions as Matchmakers for Proteins. Proc. Natl. Acad. Sci. USA 2010, 107, 1811–1812. [Google Scholar] [CrossRef] [PubMed]
- Zabłocka-Słowińska, K.; Płaczkowska, S.; Prescha, A.; Pawełczyk, K.; Porębska, I.; Kosacka, M.; Pawlik-Sobecka, L.; Grajeta, H. Serum and Whole Blood Zn, Cu and Mn Profiles and Their Relation to Redox Status in Lung Cancer Patients. J. Trace Elem. Med. Biol. 2018, 45, 78–84. [Google Scholar] [CrossRef] [PubMed]
- García-Barrera, T.; Gómez-Ariza, J.L.; González-Fernández, M.; Moreno, F.; García-Sevillano, M.A.; Gómez-Jacinto, V. Biological Responses Related to Agonistic, Antagonistic and Synergistic Interactions of Chemical Species. Anal. Bioanal. Chem. 2012, 403, 2237–2253. [Google Scholar] [CrossRef] [PubMed]
- Lui, G.Y.L.; Kovacevic, Z.; Richardson, V.; Merlot, A.M.; Kalinowski, D.S.; Richardson, D.R. Targeting Cancer by Binding Iron: Dissecting Cellular Signaling Pathways. Oncotarget 2015, 6, 18748–18779. [Google Scholar] [CrossRef] [PubMed]
- Lane, D.J.R.; Mills, T.M.; Shafie, N.H.; Merlot, A.M.; Saleh Moussa, R.; Kalinowski, D.S.; Kovacevic, Z.; Richardson, D.R. Expanding Horizons in Iron Chelation and the Treatment of Cancer: Role of Iron in the Regulation of ER Stress and the Epithelial-Mesenchymal Transition. Biochim. Biophys. Acta 2014, 1845, 166–181. [Google Scholar] [CrossRef]
- Déliot, N.; Constantin, B. Plasma Membrane Calcium Channels in Cancer: Alterations and Consequences for Cell Proliferation and Migration. Biochim. Biophys. Acta 2015, 1848, 2512–2522. [Google Scholar] [CrossRef] [PubMed]
- Fouani, L.; Menezes, S.V.; Paulson, M.; Richardson, D.R.; Kovacevic, Z. Metals and Metastasis: Exploiting the Role of Metals in Cancer Metastasis to Develop Novel Anti-Metastatic Agents. Pharmacol. Res. 2017, 115, 275–287. [Google Scholar] [CrossRef]
- Thakur, V.; Bedogni, B. The Membrane Tethered Matrix Metalloproteinase MT1-MMP at the Forefront of Melanoma Cell Invasion and Metastasis. Pharmacol. Res. 2016, 111, 17–22. [Google Scholar] [CrossRef] [PubMed]
- Kim, J.Y.; Lim, H.B.; Moon, M.H. Online Miniaturized Asymmetrical Flow Field-Flow Fractionation and Inductively Coupled Plasma Mass Spectrometry for Metalloprotein Analysis of Plasma from Patients with Lung Cancer. Anal. Chem. 2016, 88, 10198–10205. [Google Scholar] [CrossRef]
- Yang, Q.; Zhang, R.-W.; Sui, P.-C.; He, H.-T.; Ding, L. Dysregulation of Non-Coding RNAs in Gastric Cancer. World J. Gastroenterol. 2015, 21, 10956–10981. [Google Scholar] [CrossRef]
- Sarita, P.; Raju, G.J.N.; Kumar, M.R.; Pradeep, A.S.; Reddy, S.B. Analysis of Blood Serum of Lung Cancer Patients Using Particle Induced X-ray Emission. J. Radioanal. Nucl. Chem. 2013, 297, 431–436. [Google Scholar] [CrossRef]
- Callejón-Leblic, B.; Gómez-Ariza, J.L.; Pereira-Vega, A.; García-Barrera, T. Metal Dyshomeostasis Based Biomarkers of Lung Cancer Using Human Biofluids. Metallomics 2018, 10, 1444–1451. [Google Scholar] [CrossRef] [PubMed]
- Callejón-Leblic, B.; Arias-Borrego, A.; Rodríguez-Moro, G.; Navarro Roldán, F.; Pereira-Vega, A.; Gómez-Ariza, J.L.; García-Barrera, T. Advances in Lung Cancer Biomarkers: The Role of (Metal-) Metabolites and Selenoproteins. Adv. Clin. Chem. 2021, 100, 91–137. [Google Scholar] [CrossRef]
- Ren, Y.; Zhang, Z.; Ren, Y.; Li, W.; Wang, M.; Xu, G. Diagnosis of Lung Cancer Based on Metal Contents in Serum and Hair Using Multivariate Statistical Methods. Talanta 1997, 44, 1823–1831. [Google Scholar] [CrossRef]
- Cobanoglu, U.; Demir, H.; Sayir, F.; Duran, M.; Mergan, D. Some Mineral, Trace Element and Heavy Metal Concentrations in Lung Cancer. Asian Pac. J. Cancer Prev. 2010, 11, 1383–1388. [Google Scholar]
- Díez, M.; Arroyo, M.; Cerdàn, F.J.; Muñoz, M.; Martin, M.A.; Balibrea, J.L. Serum and Tissue Trace Metal Levels in Lung Cancer. Oncology 1989, 46, 230–234. [Google Scholar] [CrossRef] [PubMed]
- Asker, S.; Asker, M.; Yeltekin, A.C.; Aslan, M.; Ozbay, B.; Demir, H.; Turan, H. Serum Levels of Trace Minerals and Heavy Metals in Severe COPD Patients with and without Pulmonary Hypertension. Int. J. Chronic Obstr. Pulm. Dis. 2018, 13, 1803–1808. [Google Scholar] [CrossRef] [PubMed]
- Albayrak, L.; Türksoy, V.A.; Khalilov, R.; Eftekhari, A. Investigation of Heavy Metal Exposure and Trace Element Levels in Acute Exacerbatıon of COPD. J. King Saud. Univ. Sci. 2023, 35, 102422. [Google Scholar] [CrossRef]
- Leem, A.Y.; Kim, S.K.; Chang, J.; Kang, Y.A.; Kim, Y.S.; Park, M.S.; Kim, S.Y.; Kim, E.Y.; Chung, K.S.; Jung, J.Y. Relationship between Blood Levels of Heavy Metals and Lung Function Based on the Korean National Health and Nutrition Examination Survey IV–V. Int. J. Chronic Obstr. Pulm. Dis. 2015, 10, 1559–1570. [Google Scholar] [CrossRef]
- Fan, J.; Upadhye, S.; Worster, A. Understanding Receiver Operating Characteristic (ROC) Curves. Can. J. Emerg. Med. 2006, 8, 19–20. [Google Scholar] [CrossRef] [PubMed]
- Peñuelas, J.; Fernández-Martínez, M.; Ciais, P.; Jou, D.; Piao, S.; Obersteiner, M.; Vicca, S.; Janssens, I.A.; Sardans, J. The Bioelements, the Elementome, and the Biogeochemical Niche. Ecology 2019, 100, e02652. [Google Scholar] [CrossRef] [PubMed]
- Keith, S.; Moffett, D.B.; Rosemond, Z.; Wohlers, D.W.; Amata, R.J.; Diamond, G.L.; Swarts, S.G. Toxicological Profile for Tungsten. In Agency for Toxic Substances and Disease Registry; US Department of Health and Human Services: Atlanta, GA, USA, 2005; p. 153. [Google Scholar]
- Kim, H.S.; Kim, Y.J.; Seo, Y.R. An Overview of Carcinogenic Heavy Metal: Molecular Toxicity Mechanism and Prevention. J. Cancer Prev. 2015, 20, 232–240. [Google Scholar] [CrossRef]
- Jacenik, D.; Beswick, E.J.; Krajewska, W.M.; Prossnitz, E.R. G Protein-Coupled Estrogen Receptor in Colon Function, Immune Regulation and Carcinogenesis. World J. Gastroenterol. 2019, 25, 4092–4104. [Google Scholar] [CrossRef] [PubMed]
- Watson, W.H.; Yager, J.D. Arsenic: Extension of Its Endocrine Disruption Potential to Interference with Estrogen Receptor-Mediated Signaling. Toxicol. Sci. 2007, 98, 1–4. [Google Scholar] [CrossRef] [PubMed]
- Wang, Y.; Fang, J.; Leonard, S.S.; Rao, K.M.K. Cadmium Inhibits the Electron Transfer Chain and Induces Reactive Oxygen Species. Free Radic. Biol. Med. 2004, 36, 1434–1443. [Google Scholar] [CrossRef]
- Hei, T.K.; Filipic, M. Role of Oxidative Damage in the Genotoxicity of Arsenic. Free Radic. Biol. Med. 37, 574–581. [CrossRef]
- Pappas, R.S. Toxic Elements in Tobacco and in Cigarette Smoke: Inflammation and Sensitization. Metallomics 2011, 3, 1181–1198. [Google Scholar] [CrossRef] [PubMed]
- Heo, J.; Park, H.S.; Hong, Y.; Park, J.; Hong, S.H.; Bang, C.Y.; Lim, M.N.; Kim, W.J. Serum Heavy Metals and Lung Function in a Chronic Obstructive Pulmonary Disease Cohort. Toxicol. Environ. Health Sci. 2017, 9, 30–35. [Google Scholar] [CrossRef]
- Bernhard, D.; Rossmann, A.; Wick, G. Metals in Cigarette Smoke. IUBMB Life 2005, 57, 805–809. [Google Scholar] [CrossRef] [PubMed]
- Pezzuto, A.; Lionetto, L.; Ricci, A.; Simmaco, M.; Borro, M. Inter-Individual Variation in CYP2A6 Activity and Chronic Obstructive Pulmonary Disease in Smokers: Perspectives for an Early Predictive Marker. Biochim. Biophys. Acta 2021, 1867, 165990. [Google Scholar] [CrossRef] [PubMed]
- Pezzuto, A.; Tonini, G.; Ciccozzi, M.; Crucitti, P.; D’Ascanio, M.; Cosci, F.; Tammaro, A.; Di Sotto, A.; Palermo, T.; Carico, E.; et al. Functional Benefit of Smoking Cessation and Triple Inhaler in Combustible Cigarette Smokers with Severe COPD: A Retrospective Study. J. Clin. Med. 2023, 12, 234. [Google Scholar] [CrossRef] [PubMed]
- Aguirre, J.D.; Culotta, V.C. Battles with Iron: Manganese in Oxidative Stress Protection. J. Biol. Chem. 2012, 287, 13541–13548. [Google Scholar] [CrossRef]
- Kinnula, V.L.; Crapo, J.D. Superoxide Dismutases in the Lung and Human Lung Diseases. Am. J. Respir. Crit. Care Med. 2003, 167, 1600–1619. [Google Scholar] [CrossRef]
- Oberley, L.W. Mechanism of the Tumor Suppressive Effect of MnSOD Overexpression. Biomed. Pharmacother. 2005, 59, 143–148. [Google Scholar] [CrossRef] [PubMed]
- Parisi, A.F.; Vallee, B.L. Zinc Metalloenzymes: Characteristics and Significance in Biology and Medicine. Am. J. Clin. Nutr. 1969, 22, 1222–1239. [Google Scholar] [CrossRef] [PubMed]
- Mujika, J.I.; Rezabal, E.; Mercero, J.M.; Ruipérez, F.; Costa, D.; Ugalde, J.M.; Lopez, X. Aluminium in Biological Environments: A Computational Approach. Comput. Struct. Biotechnol. J. 2014, 9, e201403002. [Google Scholar] [CrossRef]
- Icard, P.; Coquerel, A.; Wu, Z.; Gligorov, J.; Fuks, D.; Fournel, L.; Lincet, H.; Simula, L. Understanding the Central Role of Citrate in the Metabolism of Cancer Cells and Tumors: An Update. Int. J. Mol. Sci. 2021, 22, 6587. [Google Scholar] [CrossRef] [PubMed]
- Maltseva, A.; Serra, C.; Kogevinas, M. Cancer Risk among Workers of a Secondary Aluminium Smelter. Occup. Med. 2016, 66, 412–414. [Google Scholar] [CrossRef] [PubMed]
- Spivey, W.H.; Skobeloff, E.M.; Levin, R.M. Effect of Magnesium Chloride on Rabbit Bronchial Smooth Muscle. Ann. Emerg. Med. 1990, 19, 1107–1112. [Google Scholar] [CrossRef] [PubMed]
- Rowe, B.H. Intravenous and Inhaled MgSO4 for Acute Asthma. Lancet Respir. Med. 2013, 1, 276–277. [Google Scholar] [CrossRef] [PubMed]
- Leiter, O.; Zhuo, Z.; Rust, R.; Wasielewska, J.M.; Grönnert, L.; Kowal, S.; Overall, R.W.; Adusumilli, V.S.; Blackmore, D.G.; Southon, A.; et al. Selenium Mediates Exercise-Induced Adult Neurogenesis and Reverses Learning Deficits Induced by Hippocampal Injury and Aging. Cell. Metab. 2022, 34, 408–423.e8. [Google Scholar] [CrossRef] [PubMed]
- Serra, M.; Columbano, A.; Ammarah, U.; Mazzone, M.; Menga, A. Understanding Metal Dynamics Between Cancer Cells and Macrophages: Competition or Synergism? Front. Oncol. 2020, 10, 646. [Google Scholar] [CrossRef] [PubMed]
- Agustí, A.; Celli, B.R.; Criner, G.J.; Halpin, D.; Anzueto, A.; Barnes, P.; Bourbeau, J.; Han, M.L.K.; Martinez, F.J.; de Oca, M.M.; et al. Global Initiative for Chronic Obstructive Lung Disease 2023 Report: GOLD Executive Summary. Eur. Respir. J. 2023, 61, 2300239. [Google Scholar] [CrossRef]
- Konz, T.; Migliavacca, E.; Dayon, L.; Bowman, G.; Oikonomidi, A.; Popp, J.; Rezzi, S. ICP-MS/MS-Based Ionomics: A Validated Methodology to Investigate the Biological Variability of the Human Ionome. J. Proteome Res. 2017, 16, 2080–2090. [Google Scholar] [CrossRef]



| Clinical Characteristics | HC | LC | COPD | COPD-LC | |
|---|---|---|---|---|---|
| Gender (male/female) | 38/16 | 29/18 | 60/14 | 15/1 | |
| Age (years ± SD) | 61 ± 11 | 66 ± 11 | 65 ± 9 | 56 ± 8 | |
| Smoking habits | Non-smoker | 24 | 11 | 0 | 1 |
| Smoker | 15 | 24 | 42 | 6 | |
| Ex-smoker | 15 | 12 | 32 | 9 | |
| Adenocarcinoma | - | 33 | - | 4 | |
| NSCLC type | Carcinoide | - | 2 | - | 6 |
| Squamous cell lung cancer | - | 8 | - | 2 | |
| Epidermoide | - | 4 | - | 4 | |
| Mild | - | - | 33 | 4 | |
| COPD grading | Moderate | - | - | 10 | 8 |
| Severe | - | - | 10 | 0 | |
| Very Severe | - | - | 21 | 4 | |
| Comorbidities | DM | 5 | 8 | 7 | 3 |
| AH | 17 | 18 | 34 | 11 | |
| DLP | 20 | 25 | 21 | 7 | |
Disclaimer/Publisher’s Note: The statements, opinions and data contained in all publications are solely those of the individual author(s) and contributor(s) and not of MDPI and/or the editor(s). MDPI and/or the editor(s) disclaim responsibility for any injury to people or property resulting from any ideas, methods, instructions or products referred to in the content. |
© 2023 by the authors. Licensee MDPI, Basel, Switzerland. This article is an open access article distributed under the terms and conditions of the Creative Commons Attribution (CC BY) license (https://creativecommons.org/licenses/by/4.0/).
Share and Cite
Callejón-Leblic, B.; Sánchez Espirilla, S.; Gotera-Rivera, C.; Santana, R.; Díaz-Olivares, I.; Marín, J.M.; Macario, C.C.; Cosio, B.G.; Fuster, A.; García, I.S.; et al. Metallomic Signatures of Lung Cancer and Chronic Obstructive Pulmonary Disease. Int. J. Mol. Sci. 2023, 24, 14250. https://doi.org/10.3390/ijms241814250
Callejón-Leblic B, Sánchez Espirilla S, Gotera-Rivera C, Santana R, Díaz-Olivares I, Marín JM, Macario CC, Cosio BG, Fuster A, García IS, et al. Metallomic Signatures of Lung Cancer and Chronic Obstructive Pulmonary Disease. International Journal of Molecular Sciences. 2023; 24(18):14250. https://doi.org/10.3390/ijms241814250
Chicago/Turabian StyleCallejón-Leblic, Belén, Saida Sánchez Espirilla, Carolina Gotera-Rivera, Rafael Santana, Isabel Díaz-Olivares, José M. Marín, Ciro Casanova Macario, Borja García Cosio, Antonia Fuster, Ingrid Solanes García, and et al. 2023. "Metallomic Signatures of Lung Cancer and Chronic Obstructive Pulmonary Disease" International Journal of Molecular Sciences 24, no. 18: 14250. https://doi.org/10.3390/ijms241814250
APA StyleCallejón-Leblic, B., Sánchez Espirilla, S., Gotera-Rivera, C., Santana, R., Díaz-Olivares, I., Marín, J. M., Macario, C. C., Cosio, B. G., Fuster, A., García, I. S., de-Torres, J. P., Feu Collado, N., Cabrera Lopez, C., Amado Diago, C., Romero Plaza, A., Fraysse, L. A. P., Márquez Martín, E., Marín Royo, M., Balcells Vilarnau, E., ... García-Barrera, T. (2023). Metallomic Signatures of Lung Cancer and Chronic Obstructive Pulmonary Disease. International Journal of Molecular Sciences, 24(18), 14250. https://doi.org/10.3390/ijms241814250

