Antibody Content against Epstein–Barr Virus in Blood Extracellular Vesicles Correlates with Disease Activity and Brain Volume in Patients with Relapsing–Remitting Multiple Sclerosis
Abstract
:1. Introduction
2. Results
2.1. Patients and Controls: Clinical and Demographic Data
2.2. Extracellular Vesicle Characterization
2.3. Higher EV Anti-VCA Titers Were Found in Patients Compared with Healthy Controls
2.4. Higher EV Anti-EBNA1 Antibody Levels Were Found in Patients with Disease Activity
2.5. Disease Status Did Not Modify EV Antibody Content
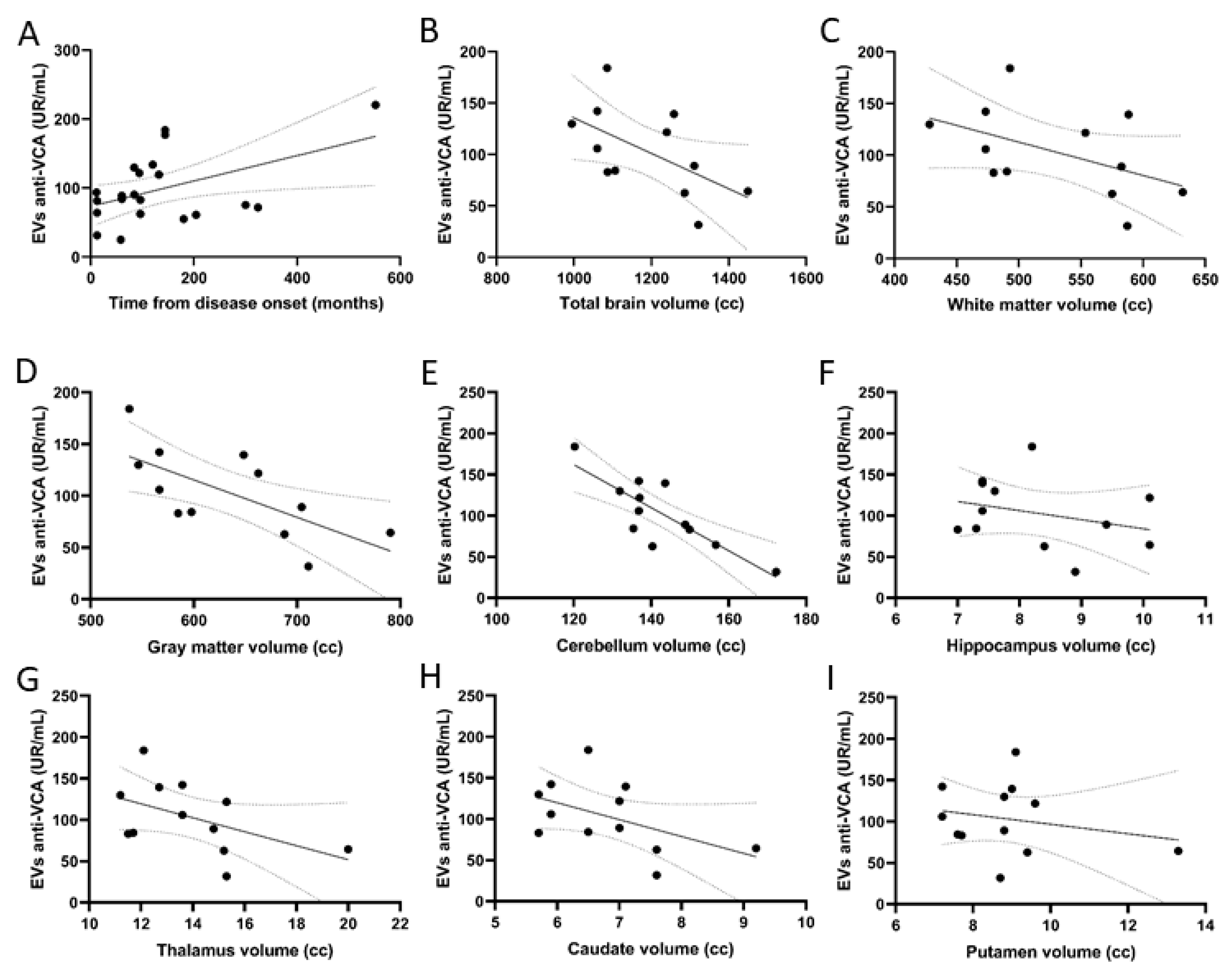
2.6. EV Antibody against VCA Content Correlated with Disease Onset
2.7. EV Anti-VCA Content Correlated with Brain Structure Volumes

2.8. Antibodies against Myelin Basic Protein (MBP) in EVs of MS Patients Correlated with EV Anti-VCA Content
3. Discussion
4. Materials and Methods
4.1. Patient Selection and Evaluation
4.2. Sample Collection and Analysis
4.3. Extracellular Vesicle Isolation
4.4. Extracellular Vesicle Characterization
4.5. Extracellular Vesicle Fragmentation for Analysis of Content in Antibodies
4.6. Determination of EV Content in Antibodies against EVB
4.7. Determination of EV Content in Autoantibodies against Myelin Antigens
4.8. Data Analysis
Author Contributions
Funding
Institutional Review Board Statement
Informed Consent Statement
Data Availability Statement
Conflicts of Interest
References
- Correale, J.; De los Milagros Bassani Molinas, M. Oligoclonal bands and antibody responses in Multiple Sclerosis. J. Neurol. 2002, 249, 375–389. [Google Scholar] [CrossRef] [PubMed]
- Lublin, F.D.; Reingold, S.C. Defining the clinical course of multiple sclerosis: The 2013 revisions. Neurology 2014, 83, 278–286. [Google Scholar] [CrossRef]
- Wootla, B.; Eriguchi, M. Is Multiple Sclerosis an Autoimmune Disease? Autoimmune Dis. 2012, 2012, 12. [Google Scholar] [CrossRef]
- Lutterotti, A.; Hayward-Koennecke, H. Antigen-Specific Immune Tolerance in Multiple Sclerosis—Promising Approaches and How to Bring Them to Patients. Front. Immunol. 2021, 12, 640935. [Google Scholar] [CrossRef]
- Yu, X.; Zizzo, Z. An appraisal of antigen identification and IgG effector functions driving host immune responses in multiple sclerosis. Mult. Scler. 2021, 56, 103328. [Google Scholar] [CrossRef] [PubMed]
- Bjornevik, K.; Münz, C. Epstein–Barr virus as a leading cause of multiple sclerosis: Mechanisms and implications. Nat. Rev. Neurol. 2023, 19, 160–171. [Google Scholar] [CrossRef]
- Ferraro, D.; Galli, V. Cerebrospinal fluid anti-Epstein-Barr virus specific oligoclonal IgM and IgG bands in patients with clinically isolated and Guillain-Barré syndrome. J. Neurovirol. 2017, 23, 329–334. [Google Scholar] [CrossRef]
- Houen, G.; Trier, N.H. Epstein-Barr Virus and Multiple Sclerosis. Front. Immunol. 2020, 11, 587078. [Google Scholar] [CrossRef]
- Aloisi, F.; Giovannoni, G. Epstein-Barr virus as a cause of multiple sclerosis: Opportunities for prevention and therapy. Lancet Neurol. 2023, 22, 338–349. [Google Scholar] [CrossRef] [PubMed]
- Tengvall, K.; Huang, J. Molecular mimicry between Anoctamin 2 and Epstein-Barr virus nuclear antigen 1 associates with multiple sclerosis risk. Proc. Natl. Acad. Sci. USA 2019, 116, 16955–16960. [Google Scholar] [CrossRef]
- Lanz, T.V.; Brewer, R.C. Clonally Expanded B Cells in Multiple Sclerosis Bind EBV EBNA1 and GlialCAM. Nature 2022, 603, 321. [Google Scholar] [CrossRef]
- Serafini, B.; Rosicarelli, B. Dysregulated Epstein-Barr virus infection in the multiple sclerosis brain. J. Exp. Med. 2007, 204, 2899–2912. [Google Scholar] [CrossRef]
- Gutiérrez-fernández, M.; de la Cuesta, F. Potential Roles of Extracellular Vesicles as Biomarkers and a Novel Treatment Approach in Multiple Sclerosis. Int. J. Mol. Sci. 2021, 22, 9011. [Google Scholar] [CrossRef] [PubMed]
- Otero-Ortega, L.; Laso-García, F. Low dose of extracellular vesicles identified that promote recovery after ischemic stroke. Stem Cell Res. Ther. 2020, 11, 70. [Google Scholar] [CrossRef]
- Torres Iglesias, G.; Fernández-Fournier, M. Dual role of peripheral B cells in multiple sclerosis: Emerging remote players in demyelination and novel diagnostic biomarkers. Front. Immunol. 2023, 14, 1224217. [Google Scholar] [CrossRef]
- Olsson, T.; Barcellos, L.F. Interactions between genetic, lifestyle and environmental risk factors for multiple sclerosis. Nat. Rev. Neurol. 2017, 13, 26–36. [Google Scholar] [CrossRef]
- Bjornevik, K.; Cortese, M. Longitudinal analysis reveals high prevalence of Epstein-Barr virus associated with multiple sclerosis. Science 2022, 375, 296–301. [Google Scholar] [CrossRef]
- Jacobs, B.M.; Giovannoni, G. Systematic review and meta-analysis of the association between Epstein–Barr virus, multiple sclerosis and other risk factors. Mult. Scler. 2020, 26, 1281. [Google Scholar] [CrossRef]
- Lünemann, J.D.; Jelčić, I. EBNA1-specific T cells from patients with multiple sclerosis cross react with myelin antigens and co-produce IFN- and IL-2. J. Exp. Med. 2008, 205, 1763–1773. [Google Scholar] [CrossRef] [PubMed]
- Pfuhl, C.; Oechtering, J. Association of serum Epstein-Barr nuclear antigen-1 antibodies and intrathecal immunoglobulin synthesis in early multiple sclerosis. J. Neuroimmunol. 2015, 285, 156–160. [Google Scholar] [CrossRef] [PubMed]
- Castellazzi, M.; Contini, C. Epstein-Barr virus-specific intrathecal oligoclonal IgG production in relapsing-remitting multiple sclerosis is limited to a subset of patients and is composed of low-affinity antibodies. J. Neuroinflammation 2014, 11, 188. [Google Scholar] [CrossRef] [PubMed]
- Domínguez-Mozo, M.I.; López-Lozano, L. Epstein-Barr Virus and multiple sclerosis in a Spanish cohort: A two-years longitudinal study. Front. Immunol. 2022, 13, 991662. [Google Scholar] [CrossRef] [PubMed]
- Serafini, B.; Rosicarelli, B. Epstein-Barr Virus in the central nervous system and cervical lymph node of a patient with primary progressive multiple sclerosis. J. Neuropathol. Exp. Neurol. 2014, 73, 729–731. [Google Scholar] [CrossRef] [PubMed]
- Magliozzi, R.; Serafini, B. B-Cell Enrichment and Epstein-Barr Virus Infection in Inflammatory Cortical Lesions in Secondary Progressive Multiple Sclerosis. J. Neuropathol. Exp. Neurol. 2013, 72, 29–41. [Google Scholar] [CrossRef] [PubMed]
- Veroni, C.; Serafini, B. Transcriptional profile and Epstein-Barr virus infection status of laser-cut immune infiltrates from the brain of patients with progressive multiple sclerosis. J. Neuroinflammation 2018, 15, 18. [Google Scholar] [CrossRef] [PubMed]
- Bar-Or, A.; Pender, M.P. Epstein–Barr Virus in Multiple Sclerosis: Theory and Emerging Immunotherapies. Trends Mol. Med. 2020, 26, 296. [Google Scholar] [CrossRef]
- Wang, Z.; Kennedy, P.G. Antibodies from Multiple Sclerosis Brain Identified Epstein-Barr Virus Nuclear Antigen 1 & 2 Epitopes which Are Recognized by Oligoclonal Bands. J. Neuroimmune Pharmacol. 2021, 16, 567–580. [Google Scholar] [CrossRef]
- Rand, K.H.; Houck, H. Epstein-Barr virus nuclear antigen-1 (EBNA-1) associated oligoclonal bands in patients with multiple sclerosis. J. Neurol. Sci. 2000, 173, 32–39. [Google Scholar] [CrossRef]
- Thompson, A.J.; Banwell, B.L. Diagnosis of multiple sclerosis: 2017 revisions of the McDonald criteria. Lancet Neurol. 2018, 17, 162–173. [Google Scholar] [CrossRef]
- Franciotta, D.; Luisa, A. Cerebrospinal BAFF and Epstein-Barr virus-specific oligoclonal bands in multiple sclerosis and other inflammatory demyelinating neurological diseases. J. Neuroimmunol. 2011, 230, 160–163. [Google Scholar] [CrossRef] [PubMed]
- Ruan, J.; Miao, X. Extracellular vesicles in neuroinflammation: Pathogenesis, diagnosis, and therapy. Mol. Ther. 2021, 29, 1946. [Google Scholar] [CrossRef] [PubMed]
- Palacio, P.L.; Pleet, M.L. Emerging role of extracellular vesicles in multiple sclerosis: From cellular surrogates to pathogenic mediators and beyond. J. Neuroimmunol. 2023, 377, 578064. [Google Scholar] [CrossRef] [PubMed]
- Delpech, J.C.; Herron, S. Neuroimmune crosstalk through extracellular vesicles in health and disease. Trends Neurosci. 2019, 42, 361. [Google Scholar] [CrossRef]
- Furuta, M.; Shimizu, T. Clinical evaluation of repeat apheresis donors in Japan. Vox Sang. 1999, 77, 17–23. [Google Scholar] [CrossRef]
- Kreft, I.C.; Hoogendijk, A.J. Mass spectrometry-based analysis on the impact of whole blood donation on the global plasma proteome. Transfusion 2023, 63, 564–573. [Google Scholar] [CrossRef] [PubMed]
- Coughlan, C.; Bruce, K.D. Exosome Isolation by Ultracentrifugation and Precipitation: A Comparison of Techniques for Downstream Analyses. Curr. Protoc. Cell Biol. 2020, 88, e110. [Google Scholar] [CrossRef]




| Active MS | Not Active MS | Healthy Control | ||
|---|---|---|---|---|
| Sex (women, %) | 74.4 | 57.1 | 75.0 | p > 0.05 |
| Age, years (mean ± SD) | 40.2 ± 8.4 | 43.4 ± 7.7 | 29.9 ± 8.7 * | * p = 0.001 |
| Time from disease onset (mean ± SD) | 4.8 ± 4.4 | 18.4 ± 12.6 | * p = 0.01 | |
| EDSS | 1 (IQR 2) | 1.5 (IQR 2.5) | p > 0.05 | |
| SDMT | 49.5 ± 13.8 | 43.2 ± 20.8 | p > 0.05 | |
| 9HPT_DH (s) | 21.5 ± 3.4 | 23.3 ± 2.1 | p > 0.05 | |
| 9HPT_NDH (s) | 25.6 ± 5.9 | 28.2 ± 10.8 | p > 0.05 |
Disclaimer/Publisher’s Note: The statements, opinions and data contained in all publications are solely those of the individual author(s) and contributor(s) and not of MDPI and/or the editor(s). MDPI and/or the editor(s) disclaim responsibility for any injury to people or property resulting from any ideas, methods, instructions or products referred to in the content. |
© 2023 by the authors. Licensee MDPI, Basel, Switzerland. This article is an open access article distributed under the terms and conditions of the Creative Commons Attribution (CC BY) license (https://creativecommons.org/licenses/by/4.0/).
Share and Cite
Fernández-Fournier, M.; López-Molina, M.; Torres Iglesias, G.; Botella, L.; Chamorro, B.; Laso-García, F.; Puertas, I.; Tallón Barranco, A.; Otero-Ortega, L.; Frank-García, A.; et al. Antibody Content against Epstein–Barr Virus in Blood Extracellular Vesicles Correlates with Disease Activity and Brain Volume in Patients with Relapsing–Remitting Multiple Sclerosis. Int. J. Mol. Sci. 2023, 24, 14192. https://doi.org/10.3390/ijms241814192
Fernández-Fournier M, López-Molina M, Torres Iglesias G, Botella L, Chamorro B, Laso-García F, Puertas I, Tallón Barranco A, Otero-Ortega L, Frank-García A, et al. Antibody Content against Epstein–Barr Virus in Blood Extracellular Vesicles Correlates with Disease Activity and Brain Volume in Patients with Relapsing–Remitting Multiple Sclerosis. International Journal of Molecular Sciences. 2023; 24(18):14192. https://doi.org/10.3390/ijms241814192
Chicago/Turabian StyleFernández-Fournier, Mireya, MariPaz López-Molina, Gabriel Torres Iglesias, Lucía Botella, Beatriz Chamorro, Fernando Laso-García, Inmaculada Puertas, Antonio Tallón Barranco, Laura Otero-Ortega, Ana Frank-García, and et al. 2023. "Antibody Content against Epstein–Barr Virus in Blood Extracellular Vesicles Correlates with Disease Activity and Brain Volume in Patients with Relapsing–Remitting Multiple Sclerosis" International Journal of Molecular Sciences 24, no. 18: 14192. https://doi.org/10.3390/ijms241814192
APA StyleFernández-Fournier, M., López-Molina, M., Torres Iglesias, G., Botella, L., Chamorro, B., Laso-García, F., Puertas, I., Tallón Barranco, A., Otero-Ortega, L., Frank-García, A., & Díez-Tejedor, E. (2023). Antibody Content against Epstein–Barr Virus in Blood Extracellular Vesicles Correlates with Disease Activity and Brain Volume in Patients with Relapsing–Remitting Multiple Sclerosis. International Journal of Molecular Sciences, 24(18), 14192. https://doi.org/10.3390/ijms241814192

