Sink Strength Promoting Remobilization of Non-Structural Carbohydrates by Activating Sugar Signaling in Rice Stem during Grain Filling
Abstract
:1. Introduction
2. Results
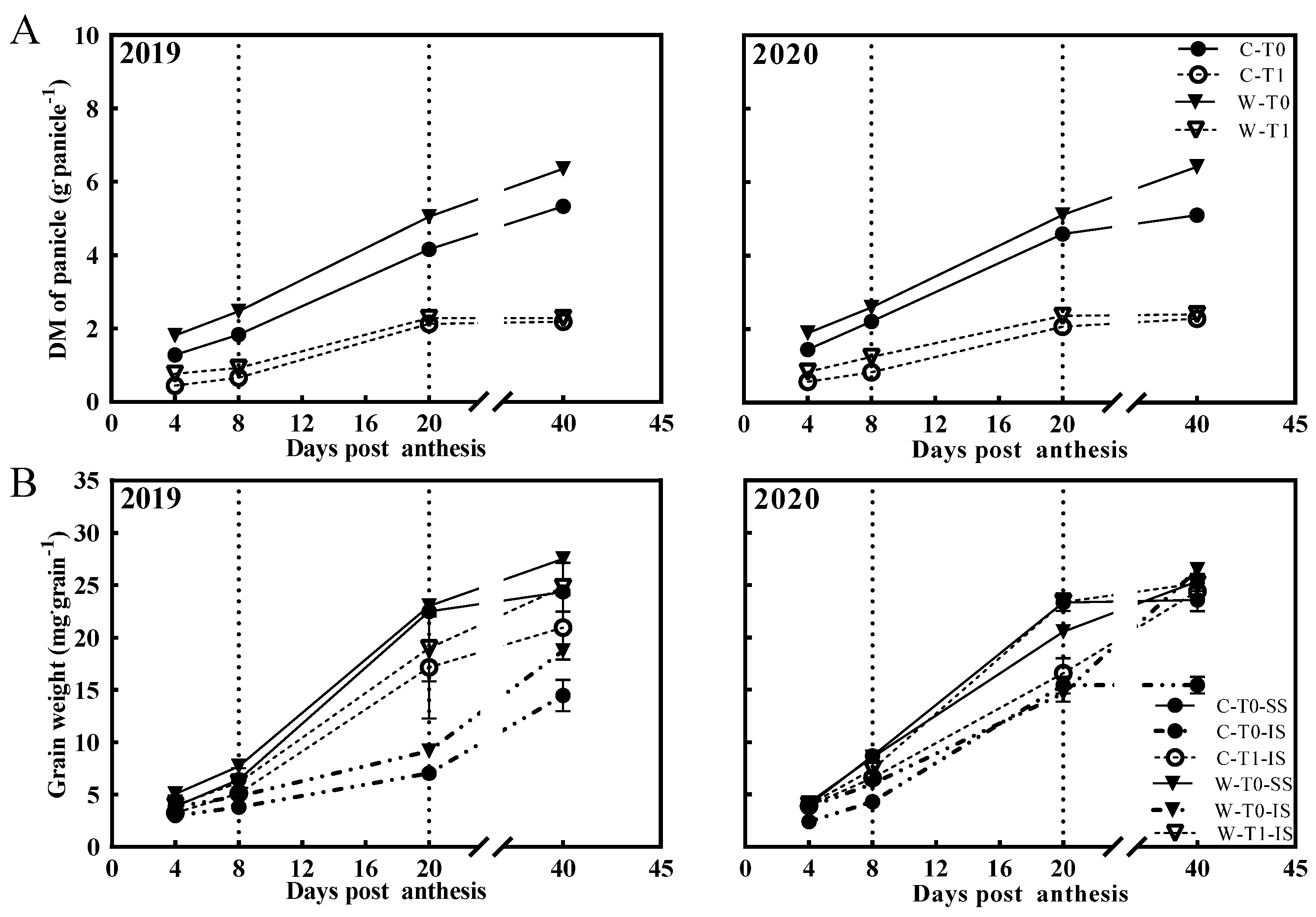
2.1. Grain Weight and Seed Setting Rate
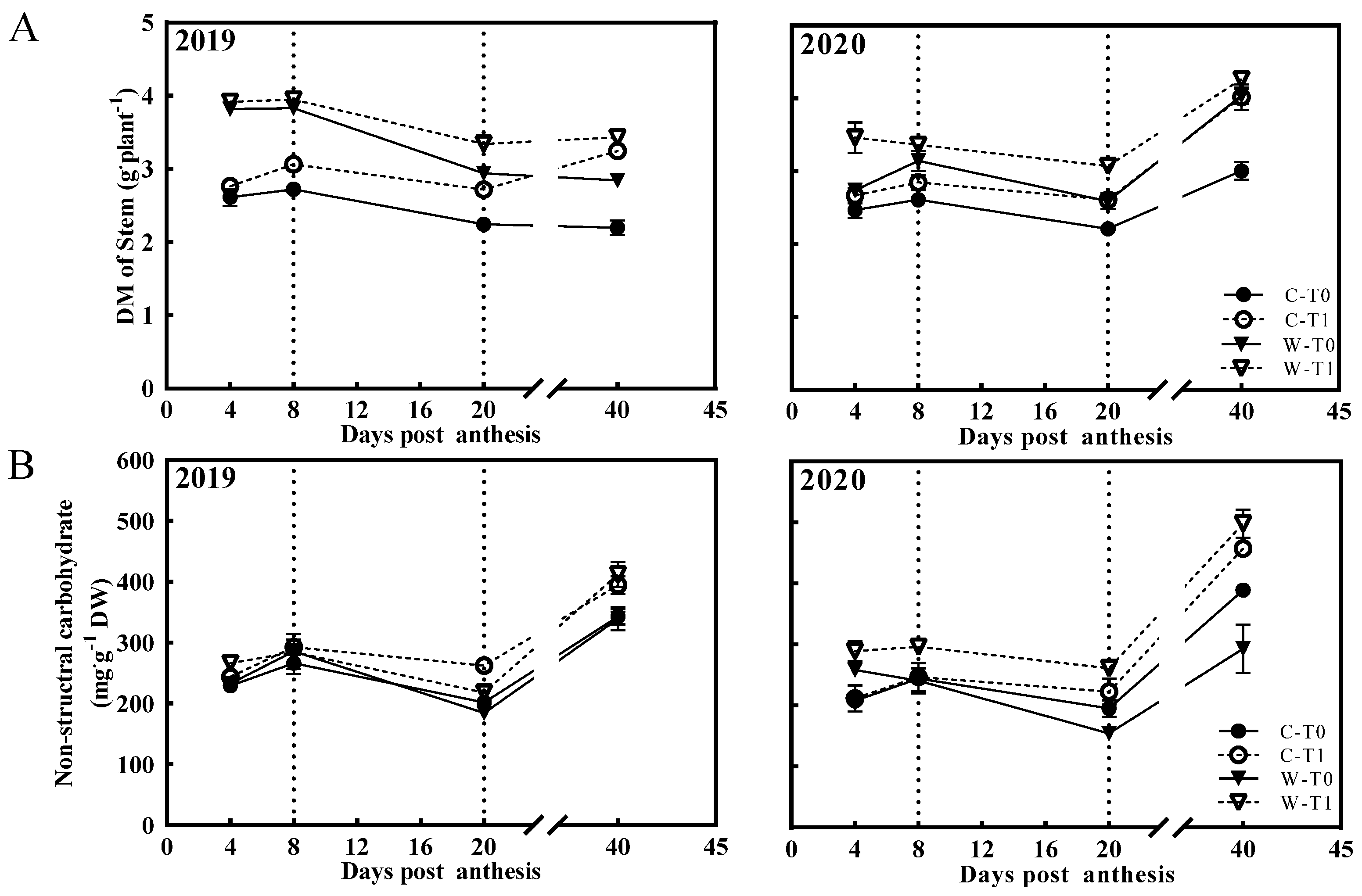
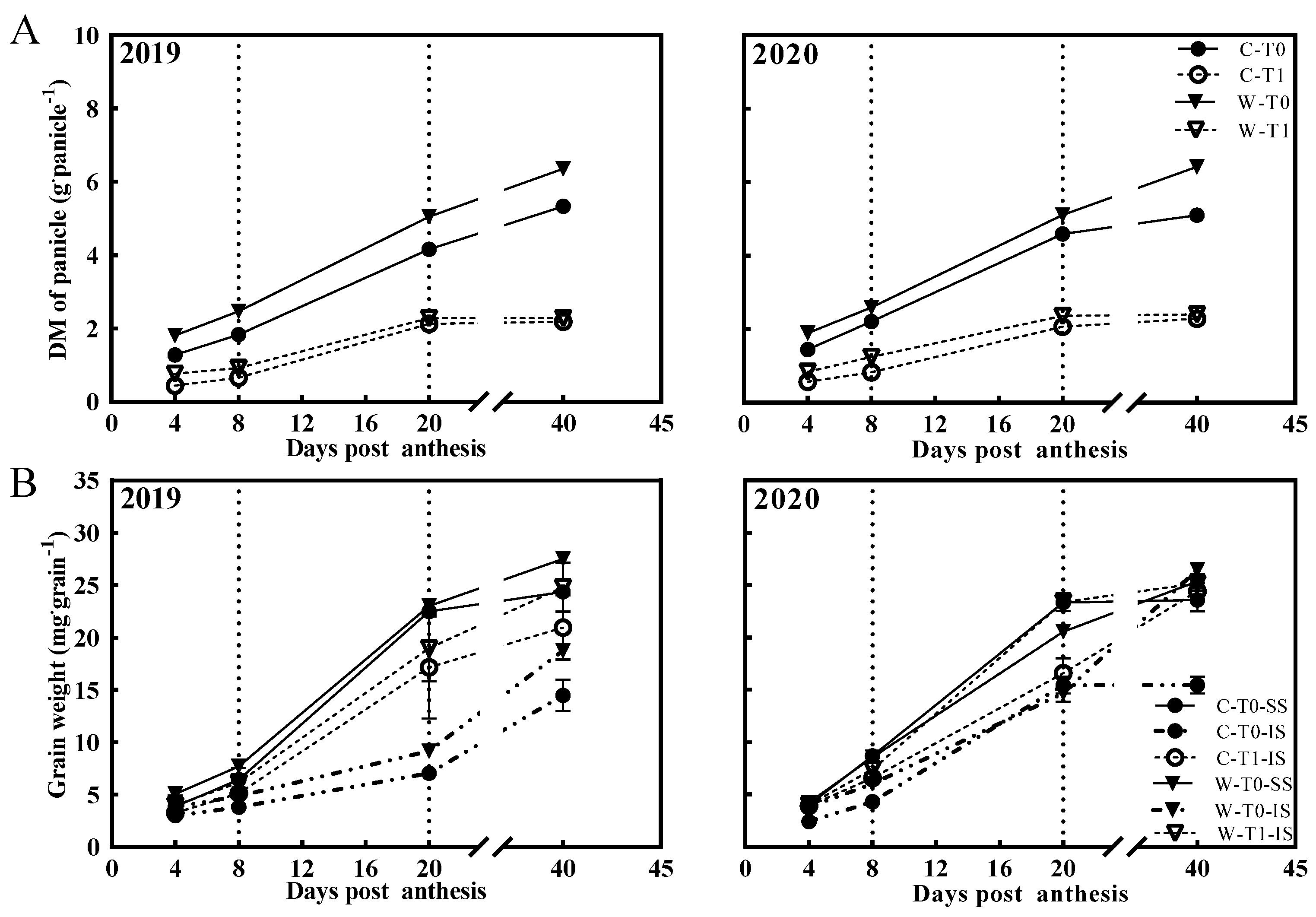
2.2. Dynamics of DM Accumulation and NSC Content
2.3. Metabolism of Carbohydrates in Stem
2.4. Regulation of Sugar Signaling in Stem
3. Discussion
3.1. Effects of Different SinK Strength to Soluble Carbohydrates’ Transportation in Rice Stem during Grain Filling
3.2. Sink Strength Regulates the Remobilization of Carbon Reserves in Stems during Grain Filling
3.3. Sink Strength May Be Related to the Regulation of Sugar Signaling Involved in the Carbon Reserve Remobilization of Stems
4. Materials and Methods
4.1. Plant Material and Growth Condition
4.2. Experimental Design
4.3. Sampling and Measurement
4.3.1. Agronomic Analysis of Panicle
4.3.2. Grain Weight and Grain Growth Rate
4.3.3. Dry Matter Analysis
4.3.4. Analysis of NSCs (Sucrose and Starch)
4.3.5. Analysis of Enzyme Activities in Stem
4.3.6. Analysis of T6P Content
4.3.7. Analysis of Relative Genes Expression
4.4. Statistical Analysis
5. Conclusions
Supplementary Materials
Author Contributions
Funding
Institutional Review Board Statement
Informed Consent Statement
Data Availability Statement
Conflicts of Interest
References
- Grassini, P.; Eskridge, K.M.; Cassman, K.G. Distinguishing between yield advances and yield plateaus in historical crop production trends. Nat. Commun. 2013, 4, 2918. [Google Scholar] [CrossRef] [PubMed]
- Tadashi, T.; Yusuke, I. Effects of assimilate supply and high temperature during grain-filling period on the occurrence of various types of chalky kernels in rice plants (Oryza sativa L.). Plant Prod. Sci. 2008, 11, 203–210. [Google Scholar]
- Yang, W.; Peng, S.; Dionisio-Sese, M.; Laza, R.C.; Visperas, R.M. Grain filling duration, a crucial determinant of genotypic variation of grain yield in field-grown tropical irrigated rice. Field Crop. Res. 2008, 105, 221–227. [Google Scholar] [CrossRef]
- Jiang, Z.; Chen, Q.; Chen, L.; Yang, H.; Zhu, M.; Ding, Y.; Li, W.; Liu, Z.; Jiang, Y.; Li, G. Efficiency of Sucrose to Starch Metabolism Is Related to the Initiation of Inferior Grain Filling in Large Panicle Rice. Front. Plant Sci. 2021, 12, 1944. [Google Scholar] [CrossRef] [PubMed]
- Chen, L.; Deng, Y.; Zhu, H.; Hu, Y.; Jiang, Z.; Tang, S.; Wang, S.; Ding, Y. The Initiation of Inferior Grain Filling is Affected by Sugar Translocation Efficiency in Large Panicle Rice. Rice 2019, 12, 75–88. [Google Scholar] [CrossRef] [PubMed] [Green Version]
- Yoshinaga, S.; Takai, T.; Arai-Sanoh, Y.; Ishimaru, T.; Kondo, M. Varietal differences in sink production and grain-filling ability in recently developed high-yielding rice (Oryza sativa L.) varieties in Japan. Field Crop. Res. 2013, 150, 74–82. [Google Scholar] [CrossRef]
- You, C.; Zhu, H.; Xu, B.; Huang, W.; Wang, S.; Ding, Y.; Liu, Z.; Li, G.; Chen, L.; Ding, C.; et al. Effect of Removing Superior Spikelets on Grain Filling of Inferior Spikelets in Rice. Front. Plant Sci. 2016, 7, 1161–1177. [Google Scholar] [CrossRef] [Green Version]
- Zhang, H.; Li, H.; Yuan, L.; Wang, Z.; Yang, J.; Zhang, J. Post-anthesis alternate wetting and moderate soil drying enhances activities of key enzymes in sucrose-to-starch conversion in inferior spikelets of rice. J. Exp. Bot. 2012, 63, 215–227. [Google Scholar] [CrossRef] [Green Version]
- Okamura, M.; Arai-Sanoh, Y.; Yoshida, H.; Mukouyama, T.; Adachi, S.; Yabe, S.; Nakagawa, H.; Tsutsumi, K.; Taniguchi, Y.; Kobayashi, N.; et al. Characterization of high-yielding rice cultivars with different grain-filling properties to clarify limiting factors for improving grain yield. Field Crop. Res. 2018, 219, 139–147. [Google Scholar] [CrossRef]
- Deng, Y.; Yu, Y.; Hu, Y.; Ma, L.; Lin, Y.; Wu, Y.; Wang, Z.; Wang, Z.; Bai, J.; Ding, Y.; et al. Auxin-Mediated Regulation of Dorsal Vascular Cell Development May Be Responsible for Sucrose Phloem Unloading in Large Panicle Rice. Front. Plant Sci. 2021, 12, 207. [Google Scholar] [CrossRef]
- Zakari, S.A.; Asad, M.; Han, Z.; Guan, X.; Zaidi, S.; Gang, P.; Cheng, F. Senescence-related translocation of nonstructural carbohydrate in rice leaf sheaths under different nitrogen supply. Agron. J. 2020, 112, 1601–1616. [Google Scholar] [CrossRef]
- Ouyang, N.; Sun, X.; Tan, Y.; Sun, Z.; Yu, D.; Liu, H.; Liu, C.; Liu, L.; Jin, L.; Zhao, B.; et al. Senescence-Specific Expression of RAmy1A Accelerates Non-structural Carbohydrate Remobilization and Grain Filling in Rice (Oryza sativa L.). Front. Plant Sci. 2021, 12, 647574. [Google Scholar] [CrossRef] [PubMed]
- Xu, H.; Wang, Z.; Xiao, F.; Yang, L.; Li, G.; Ding, Y.; Paul, M.J.; Li, W.; Liu, Z. Dynamics of dry matter accumulation in internodes indicates source and sink relations during grain-filling stage of japonica rice. Field Crop. Res. 2021, 263, 108009. [Google Scholar] [CrossRef]
- Braun, D.M.; Wang, L.; Ruan, Y.-L. Understanding and manipulating sucrose phloem loading, unloading, metabolism, and signalling to enhance crop yield and food security. J. Exp. Bot. 2013, 65, 1713–1735. [Google Scholar] [CrossRef] [PubMed] [Green Version]
- Jing, F.; Huang, Z.; Wang, Z.; Yang, J.; Zhang, J. Pre-anthesis non-structural carbohydrate reserve in the stem enhances the sink strength of inferior spikelets during grain filling of rice. Field Crops Res. 2011, 123, 170–182. [Google Scholar]
- Cock, J.H.; Yosiida, S. Accumulation of 14C-labelled Carbohydrate Before Flowering and its Subsequent Redistribution and Respiration in the Rice Plant. Jpn. J. Crop Sci. 1972, 41, 598–607. [Google Scholar] [CrossRef] [Green Version]
- MacNeill, G.J.; Mehrpouyan, S.; Minow, M.A.; Patterson, J.A.; Tetlow, I.J.; Emes, M.J.; Raines, C. Starch as a source, starch as a sink: The bifunctional role of starch in carbon allocation. J. Exp. Bot. 2017, 68, 4433–4453. [Google Scholar] [CrossRef]
- Wang, D.R.; Han, R.; Wolfrum, E.J.; McCouch, S.R. The buffering capacity of stems: Genetic architecture of nonstructural carbohydrates in cultivated Asian rice, Oryza sativa. New Phytol. 2017, 215, 658–671. [Google Scholar] [CrossRef] [Green Version]
- Lastdrager, J.; Hanson, J.; Smeekens, S. Sugar signals and the control of plant growth and development. J. Exp. Bot. 2014, 65, 799–807. [Google Scholar] [CrossRef]
- Fichtner, F.; Lunn, J.E. The Role of Trehalose 6-Phosphate (Tre6P) in Plant Metabolism and Development. Annu. Rev. Plant Biol. 2021, 72, 737–760. [Google Scholar] [CrossRef]
- Nuccio, M.L.; Wu, J.; Mowers, R.; Zhou, H.-P.; Meghji, M.; Primavesi, L.; Paul, M.; Chen, X.; Gao, Y.; Haque, E.; et al. Expression of trehalose-6-phosphate phosphatase in maize ears improves yield in well-watered and drought conditions. Nat. Biotechnol. 2015, 33, 862–869. [Google Scholar] [CrossRef] [PubMed]
- Lin, C.-R.; Lee, K.-W.; Chen, C.-Y.; Hong, Y.-F.; Chen, J.-L.; Lu, C.-A.; Chen, K.-T.; Ho, T.-H.D.; Yu, S.-M. SnRK1A-Interacting Negative Regulators Modulate the Nutrient Starvation Signaling Sensor SnRK1 in Source-Sink Communication in Cereal Seedlings under Abiotic Stress. Plant Cell 2014, 26, 808–827. [Google Scholar] [CrossRef] [Green Version]
- Paul, M.J.; Gonzalez-Uriarte, A.; Griffiths, C.A.; Hassani-Pak, K. The Role of Trehalose 6-Phosphate in Crop Yield and Resilience. Plant Physiol. 2018, 177, 12–23. [Google Scholar] [CrossRef] [PubMed] [Green Version]
- Nunes, C.; O’Hara, L.E.; Primavesi, L.F.; Delatte, T.L.; Schluepmann, H.; Somsen, G.W.; Silva, A.B.; Fevereiro, P.S.; Wingler, A.; Paul, M.J. The Trehalose 6-Phosphate/SnRK1 Signaling Pathway Primes Growth Recovery following Relief of Sink Limitation. Plant Physiol. 2013, 162, 1720–1732. [Google Scholar] [CrossRef] [PubMed] [Green Version]
- Li, G.; Pan, J.; Cui, K.; Yuan, M.; Hu, Q.; Wang, W.; Mohapatra, P.K.; Nie, L.; Huang, J.; Peng, S. Limitation of Unloading in the Developing Grains Is a Possible Cause Responsible for Low Stem Non-structural Carbohydrate Translocation and Poor Grain Yield Formation in Rice through Verification of Recombinant Inbred Lines. Front. Plant Sci. 2017, 8, 1389. [Google Scholar] [CrossRef] [Green Version]
- Roopendra, K.; Chandra, A.; Saxena, S. Increase in Sink Demand in Response to Perturbed Source–Sink Communication by Partial Shading in Sugarcane. Sugar Tech 2018, 21, 672–677. [Google Scholar] [CrossRef]
- Byung-Kook, H.; Lucas, W.J. The angiosperm phloem sieve tube system: A role in mediating traits important to modern agriculture. J. Exp. Bot. 2014, 65, 1799–1816. [Google Scholar]
- White, A.C.; Rogers, A.; Rees, M.; Osborne, C.P. How can we make plants grow faster? A source–sink perspective on growth rate. J. Exp. Bot. 2015, 67, 31–45. [Google Scholar] [CrossRef]
- Osorio, S.; Vallarino, J.G.; Szecowka, M.; Ufaz, S.; Tzin, V.; Angelovici, R.; Galili, G.; Fernie, A.R. Alteration of the Interconversion of Pyruvate and Malate in the Plastid or Cytosol of Ripening Tomato Fruit Invokes Diverse Consequences on Sugar but Similar Effects on Cellular Organic Acid, Metabolism, and Transitory Starch Accumulation. Plant Physiol. 2013, 161, 628–643. [Google Scholar] [CrossRef] [Green Version]
- Patrick, J.W.; Botha, F.C.; Birch, R.G. Metabolic engineering of sugars and simple sugar derivatives in plants. Plant Biotechnol. J. 2013, 11, 142–156. [Google Scholar] [CrossRef]
- Sheu, J.-J.; Yu, T.-S.; Tong, W.-F.; Yu, S.-M. Carbohydrate Starvation Stimulates Differential Expression of Rice α-Amylase Genes That Is Modulated through Complicated Transcriptional and Posttranscriptional Processes. J. Biol. Chem. 1996, 271, 26998–27004. [Google Scholar] [CrossRef] [PubMed] [Green Version]
- Bihmidine, S.; Baker, R.F.; Hoffner, C.; Braun, D.M. Sucrose accumulation in sweet sorghum stems occurs by apoplasmic phloem unloading and does not involve differential Sucrose transporter expression. BMC Plant Biol. 2015, 15, 186. [Google Scholar] [CrossRef] [PubMed] [Green Version]
- Li, Y.; Wang, W.; Feng, Y.; Tu, M.; Wittich, P.E.; Bate, N.J.; Messing, J. Transcriptome and metabolome reveal distinct carbon allocation patterns during internode sugar accumulation in different sorghum genotypes. Plant Biotechnol. J. 2018, 17, 472–487. [Google Scholar] [CrossRef] [PubMed] [Green Version]
- Vishal, B.; Krishnamurthy, P.; Ramamoorthy, R.; Kumar, P.P. OsTPS8 controls yield-related traits and confers salt stress tolerance in rice by enhancing suberin deposition. New Phytol. 2019, 221, 1369–1386. [Google Scholar] [CrossRef] [Green Version]
- Ma, J.; Hanssen, M.; Lundgren, K.; Hernández, L.; Delatte, T.; Ehlert, A.; Liu, C.; Schluepmann, H.; Dröge-Laser, W.; Moritz, T.; et al. The sucrose-regulated Arabidopsis transcription factor bZIP11 reprograms metabolism and regulates trehalose metabolism. New Phytol. 2011, 191, 733–745. [Google Scholar] [CrossRef]
- Oszvald, M.; Primavesi, L.F.; Griffiths, C.A.; Cohn, J.; Basu, S.S.; Nuccio, M.L.; Paul, M.J. Trehalose 6-Phosphate Regulates Photosynthesis and Assimilate Partitioning in Reproductive Tissue. Plant Physiol. 2018, 176, 2623–2638. [Google Scholar] [CrossRef] [Green Version]
- Kanegae, H.; Miyoshi, K.; Hirose, T.; Tsuchimoto, S.; Mori, M.; Nagato, Y.; Takano, M. Expressions of rice sucrose non-fermenting-1 related protein kinase 1 genes are differently regulated during the caryopsis development. Plant Physiol. Biochem. 2005, 43, 669–679. [Google Scholar] [CrossRef]
- Lu, C.-A.; Lin, C.-C.; Lee, K.-W.; Chen, J.-L.; Huang, L.-F.; Ho, S.-L.; Liu, H.-J.; Hsing, Y.-I.; Yu, S.-M. The SnRK1A Protein Kinase Plays a Key Role in Sugar Signaling during Germination and Seedling Growth of Rice. Plant Cell 2007, 19, 2484–2499. [Google Scholar] [CrossRef] [Green Version]
- Ruiz-Gayosso, A.; Rodríguez-Sotres, R.; Martínez-Barajas, E.; Coello, P. A role for the carbohydrate-binding module (CBM) in regulatory SnRK1 subunits: The effect of maltose on SnRK1 activity. Plant J. 2018, 96, 163–175. [Google Scholar] [CrossRef]
- Bledsoe, S.W.; Henry, C.; Griffiths, C.A.; Paul, M.; Feil, R.; Lunn, J.E.; Stitt, M.; Lagrimini, L.M. The role of Tre6P and SnRK1 in maize early kernel development and events leading to stress-induced kernel abortion. BMC Plant Biol. 2017, 17, 74. [Google Scholar] [CrossRef] [Green Version]
- Luo, Y.; Aoyama, S.; Fukao, Y.; Chiba, Y.; Sato, T.; Yamaguchi, J. Involvement of the membrane-localized ubiquitin ligase ATL8 in sugar starvation response in Arabidopsis. Plant Biotechnol. 2019, 36, 107–112. [Google Scholar] [CrossRef] [PubMed] [Green Version]
- Bihmidine, S.; Hunter, C.T., III; Johns, C.E.; Koch, K.E.; Braun, D.M. Regulation of assimilate import into sink organs: Update on molecular drivers of sink strength. Front. Plant Sci. 2013, 4, 177. [Google Scholar] [CrossRef] [PubMed] [Green Version]
- Figueroa, C.M.; Lunn, J.E. A Tale of Two Sugars: Trehalose 6-Phosphate and Sucrose. Plant Physiol. 2016, 172, 7. [Google Scholar] [CrossRef] [PubMed] [Green Version]
- Paul, M.J.; Oszvald, M.; Jesus, C.; Rajulu, C.; Griffiths, C.A. Increasing crop yield and resilience with trehalose 6-phosphate: Targeting a feast–famine mechanism in cereals for better source–sink optimization. J. Exp. Bot. 2017, 68, 4455–4462. [Google Scholar] [CrossRef] [PubMed] [Green Version]
- Kobata, T.; Yoshida, H.; Masiko, U.; Honda, T. Spikelet Sterility is Associated with a Lack of Assimilate in High-Spikelet-Number Rice. Agron. J. 2013, 105, 1821–1831. [Google Scholar] [CrossRef]
- Richards, F.J. A Flexible Growth Function for Empirical Use. J. Exp. Bot. 1959, 10, 290–301. [Google Scholar] [CrossRef]
- Ohnishi, M.; Horie, T. A Proxy Analysis of Nonstructural Carbohydrate in Rice Plan by Using the Gravimetric Method. Jpn. J. Crop Sci. 1999, 68, 126–136. [Google Scholar] [CrossRef] [Green Version]
- Yang, J.; Zhang, J.; Wang, Z.; Zhu, Q.; Wang, W. Remobilization of carbon reserves in response to water deficit during grain filling of rice. Field Crop. Res. 2001, 71, 47–55. [Google Scholar] [CrossRef]
- Yoshida, S.; Forno, D.A.; Cock, J.; International Rice Research Institute. Laboratory Manual for Physiological Studies of Rice; The International Rice Research Institute: Los Baños, Philippines, 1976; pp. 61–66. [Google Scholar]
- Nakamura, Y.; Yuki, K.; Park, S.-Y.; Ohya, T. Carbohydrate Metabolism in the Developing Endosperm of Rice Grains. Plant Cell Physiol. 1989, 30, 833–839. [Google Scholar] [CrossRef]
- Bhatia, S.; Singh, R. Phytohormone-mediated transformation of sugars to starch in relation to the activities of amylases, sucrose-metabolising enzymes in sorghum grain. Plant Growth Regul. 2002, 36, 97–104. [Google Scholar] [CrossRef]






| Year | Variety | Treatment | Spikelets per Panicle | 1000-Grain Weight (g) | Seed Setting Rate (%) |
|---|---|---|---|---|---|
| 2019 | CJ03 | T0 | 267.67 a | 21.87 c | 87.67 c |
| T1 | 91.17 b | 20.10 d | 93.00 b | ||
| W1844 | T0 | 275.67 a | 22.91 b | 84.92 d | |
| T1 | 97.92 b | 25.95 a | 95.58 a | ||
| 2020 | CJ03 | T0 | 259.75 a | 22.38 c | 92.25 b |
| T1 | 77.50 c | 20.97 d | 94.17 a | ||
| W1844 | T0 | 273.67 a | 24.35 b | 85.17 c | |
| T1 | 92.58 b | 25.19 a | 94.67 a |
| Year | Variety | Treatment | 1000-Grain Weight (g) | Seed Setting Rate (%) | ||
|---|---|---|---|---|---|---|
| Superior | Inferior | Superior | Inferior | |||
| 2019 | CJ03 | T0 | 24.53 c | 18.58 e | 91.87 a | 85.03 c |
| T1 | -- | 20.42 d | -- | 87.89 b | ||
| W1844 | T0 | 26.37 a | 20.65 d | 87.74 b | 84.49 c | |
| T1 | -- | 25.33 b | -- | 93.16 a | ||
| 2020 | CJ03 | T0 | 22.88 b | 17.62 d | 92.74 a | 85.27 cd |
| T1 | -- | 19.76 c | -- | 89.54 b | ||
| W1844 | T0 | 23.16 ab | 20.70 c | 87.54 bc | 83.81 d | |
| T1 | -- | 24.05 a | -- | 93.99 a | ||
| Year | Variety | Treatments | ΔW (g·plant−1) | ΔNSCs (mg·g−1) | Remobilization of NSCs (%) |
|---|---|---|---|---|---|
| 2019 | CJ03 | T0 | −0.48 ab | −64.43 b | 24.00 b |
| T1 | −0.34 a | −30.87 a | 10.67 c | ||
| W1844 | T0 | −0.89 c | −101.28 c | 35.00 a | |
| T1 | −0.60 b | −66.77 b | 23.67 b | ||
| 2020 | CJ03 | T0 | −0.40 b | −48.66 a | 20.33 b |
| T1 | −0.23 a | −23.95 a | 10.00 c | ||
| W1844 | T0 | −0.55 c | −86.72 b | 35.67 a | |
| T1 | −0.29 ab | −35.12 a | 12.00 c |
| Variety | Treatment | Sucrose Content (mg·g−1 FW) | Starch Content (mg·g−1 FW) | ||
|---|---|---|---|---|---|
| 8 DPA | 20 DPA | 8 DPA | 20 DPA | ||
| CJ03 | T0 | 11.34 c | 11.03 b | 20.90 b | 6.06 c |
| T1 | 32.14 a | 33.67 a | 35.93 a | 33.16 a | |
| W1844 | T0 | 11.06 c | 5.72 c | 6.53 c | 4.54 c |
| T1 | 24.34 b | 8.62 bc | 37.24 a | 12.63 b | |
Publisher’s Note: MDPI stays neutral with regard to jurisdictional claims in published maps and institutional affiliations. |
© 2022 by the authors. Licensee MDPI, Basel, Switzerland. This article is an open access article distributed under the terms and conditions of the Creative Commons Attribution (CC BY) license (https://creativecommons.org/licenses/by/4.0/).
Share and Cite
Jiang, Z.; Chen, Q.; Chen, L.; Liu, D.; Yang, H.; Xu, C.; Hong, J.; Li, J.; Ding, Y.; Sakr, S.; et al. Sink Strength Promoting Remobilization of Non-Structural Carbohydrates by Activating Sugar Signaling in Rice Stem during Grain Filling. Int. J. Mol. Sci. 2022, 23, 4864. https://doi.org/10.3390/ijms23094864
Jiang Z, Chen Q, Chen L, Liu D, Yang H, Xu C, Hong J, Li J, Ding Y, Sakr S, et al. Sink Strength Promoting Remobilization of Non-Structural Carbohydrates by Activating Sugar Signaling in Rice Stem during Grain Filling. International Journal of Molecular Sciences. 2022; 23(9):4864. https://doi.org/10.3390/ijms23094864
Chicago/Turabian StyleJiang, Zhengrong, Qiuli Chen, Lin Chen, Dun Liu, Hongyi Yang, Congshan Xu, Jinzhi Hong, Jiaqi Li, Yanfeng Ding, Soulaiman Sakr, and et al. 2022. "Sink Strength Promoting Remobilization of Non-Structural Carbohydrates by Activating Sugar Signaling in Rice Stem during Grain Filling" International Journal of Molecular Sciences 23, no. 9: 4864. https://doi.org/10.3390/ijms23094864
APA StyleJiang, Z., Chen, Q., Chen, L., Liu, D., Yang, H., Xu, C., Hong, J., Li, J., Ding, Y., Sakr, S., Liu, Z., Jiang, Y., & Li, G. (2022). Sink Strength Promoting Remobilization of Non-Structural Carbohydrates by Activating Sugar Signaling in Rice Stem during Grain Filling. International Journal of Molecular Sciences, 23(9), 4864. https://doi.org/10.3390/ijms23094864

