The Systems of Naringenin with Solubilizers Expand Its Capability to Prevent Neurodegenerative Diseases
Abstract
:1. Introduction
2. Results
2.1. The Preparation of the Systems
2.2. X-ray Powder Diffraction
2.3. Fourier-Transform Infrared Spectroscopy
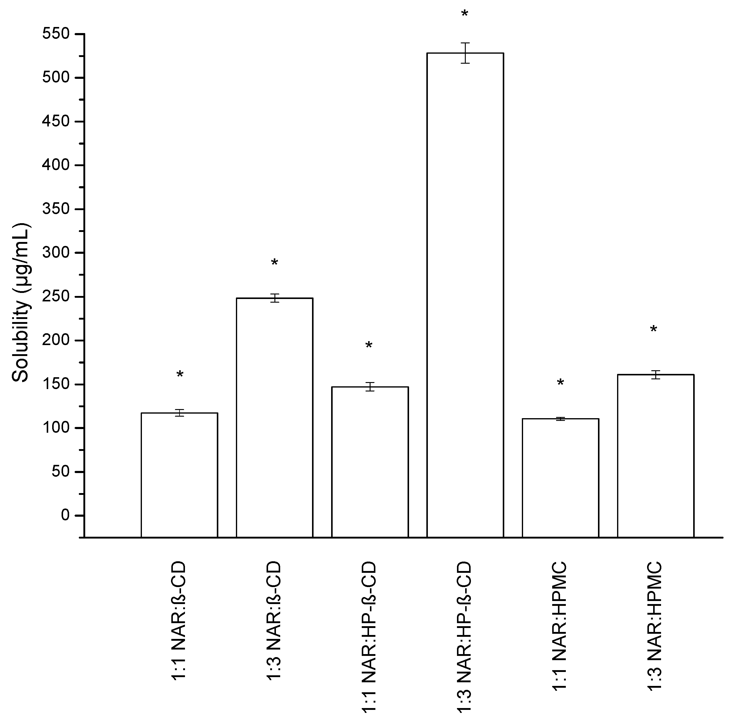
2.4. The Solubility Study
2.5. The Apparent Solubility Study
2.6. Membrane Permeability
2.7. Antioxidant Activity
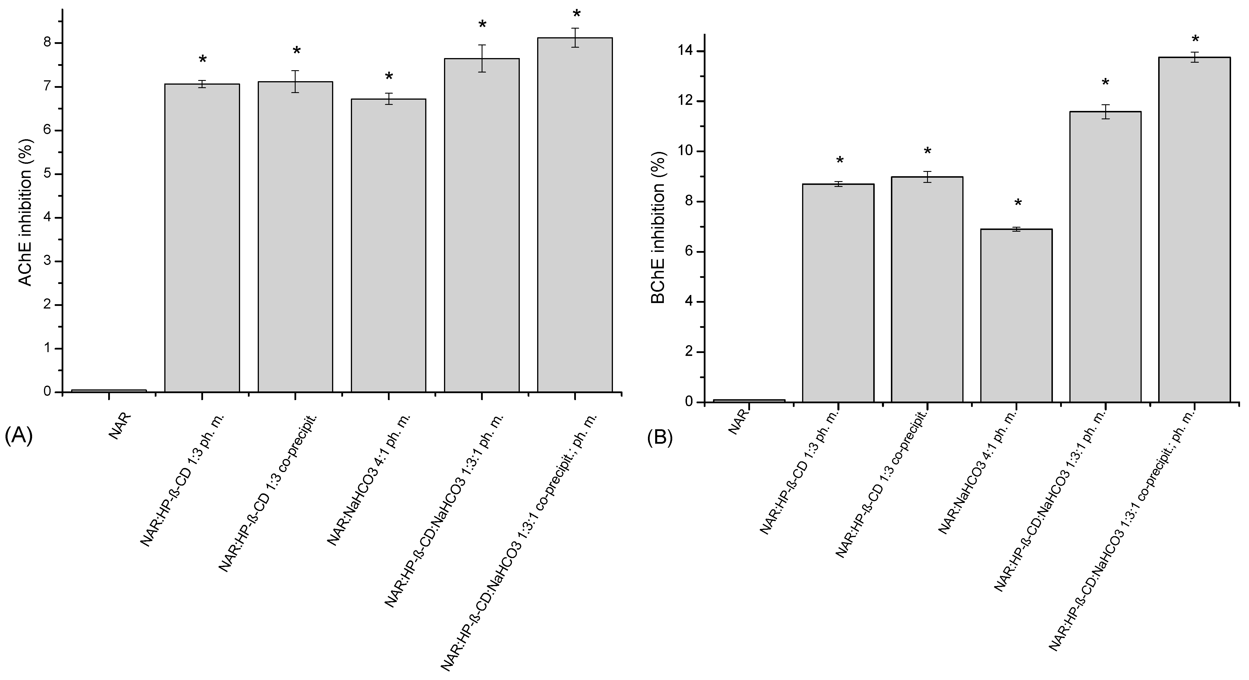
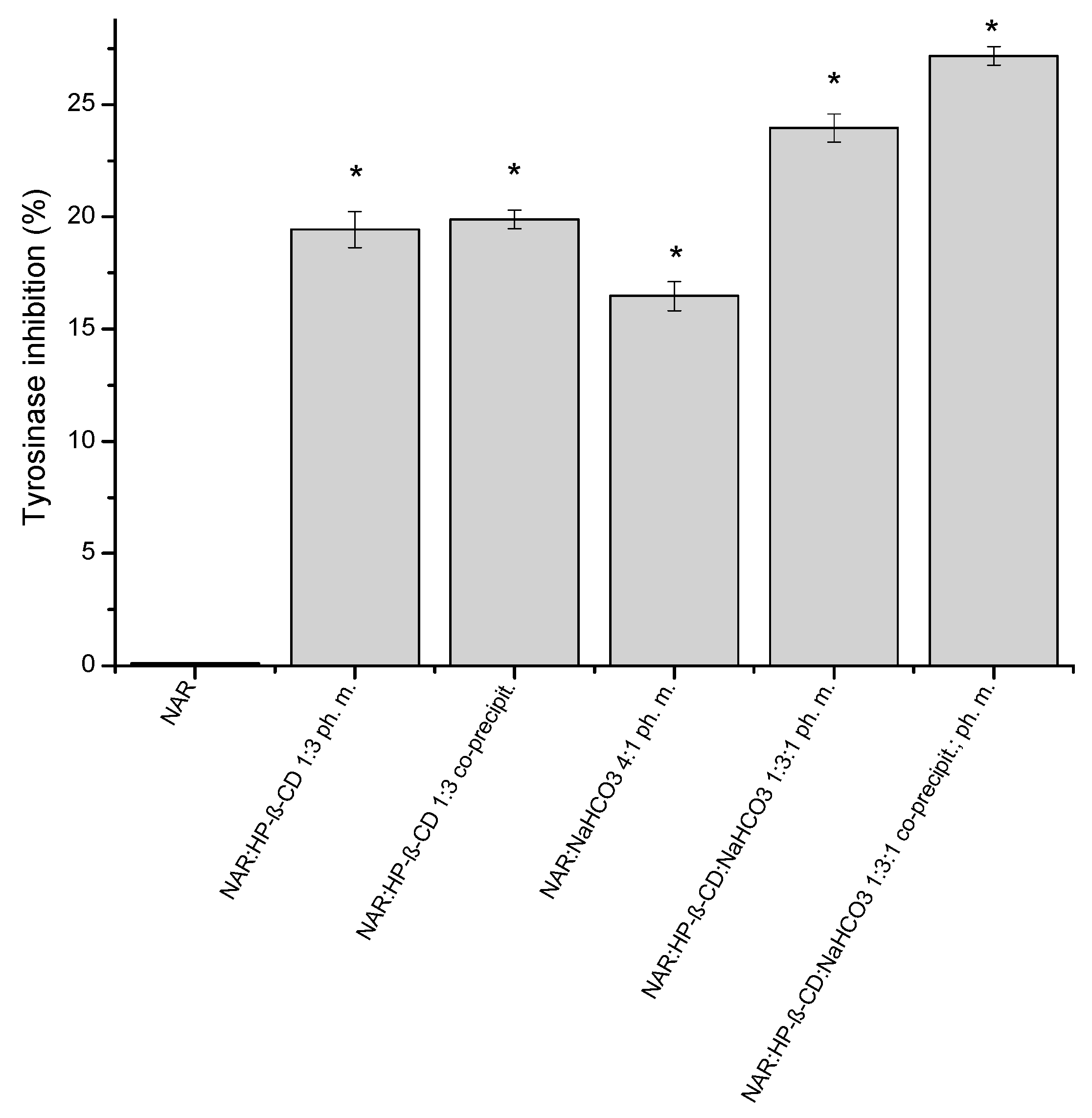
2.8. Inhibition of Enzymes Influencing the Development of Neurodegenerative Diseases
2.9. Docking
2.10. Molecular Dynamics
3. Discussion
4. Materials and Methods
4.1. Materials
4.2. Methods
4.2.1. The Preparation of the Systems
4.2.2. Fourier-Transform Infrared Spectroscopy
4.2.3. X-ray Powder Diffraction
4.2.4. Chromatographic Conditions
4.2.5. The Solubility Study
4.2.6. The Dissolution Rate
4.2.7. Membrane Permeability
4.2.8. Antioxidant Activity
4.2.9. Inhibition of Enzymes Influencing the Development of Neurodegenerative Diseases
4.2.10. Docking
4.2.11. Molecular Dynamics
4.2.12. Statistical Analysis
5. Conclusions
Supplementary Materials
Author Contributions
Funding
Institutional Review Board Statement
Data Availability Statement
Conflicts of Interest
Abbreviations
| ABTS | 2,2′-azino-bis[3-ethylbenzthiazoline-6-sulphonic acid] |
| AChE | acetylcholinesterase |
| ANOVA | one-way analysis of variance |
| API | active pharmaceutical ingredient |
| ATCI | acetylthiocholine iodide |
| ATR | attenuated total reflectance |
| AUC | area under the curve |
| BBB | blood-brain barrier |
| BChE | butyrylcholinesterase |
| BCS | biopharmaceutics classification system |
| BTCI | butyrylthiocholine iodide |
| CNS | central nervous system |
| CUPRAC | cupric ion reducing antioxidant capacity |
| DAD | diode-array detector |
| DFT | Density functional theory |
| DTNB | 5,5′-dithio-bis-(2-nitrobenzoic) acid |
| FRAP | ferric reducing antioxidant power |
| FT-IR | Fourier-transform infrared spectroscopy |
| GIT | gastrointestinal tract |
| HP-β-CD | hydroxypropyl-β-cyclodextrin |
| HPLC | high-performance liquid chromatography |
| HPMC | hydroxypropylmethylcellulose |
| MD | molecular dynamics |
| NaHCO3 | sodium bicarbonate |
| NAR | naringenin |
| PAMPA | parallel artificial membrane permeability assay |
| RDF | radial distribution functions |
| TNB | 3-carboxy-4-nitrothiolate |
| WHO | World Health Organization |
| XRPD | X-ray powder diffraction |
References
- Amor, S.; Puentes, F.; Baker, D.; Van Der Valk, P. Inflammation in neurodegenerative diseases. Immunology 2010, 129, 154–169. [Google Scholar] [CrossRef] [PubMed]
- WHO. Dementia. 2021. Available online: https://www.who.int/news-room/fact-sheets/detail/dementia (accessed on 8 October 2021).
- Nouri, Z.; Fakhri, S.; El-Senduny, F.F.; Sanadgol, N.; Abd-ElGhani, G.E.; Farzaei, M.H.; Chen, J.-T. On the neuroprotective effects of naringenin: Pharmacological targets, signaling pathways, molecular mechanisms, and clinical perspective. Biomolecules 2019, 9, 690. [Google Scholar] [CrossRef] [PubMed] [Green Version]
- Salehi, B.; Fokou, P.V.T.; Sharifi-Rad, M.; Zucca, P.; Pezzani, R.; Martins, N.; Sharifi-Rad, J. The therapeutic potential of naringenin: A review of clinical trials. Pharmaceuticals 2019, 12, 11. [Google Scholar] [CrossRef] [PubMed] [Green Version]
- Testai, L.; Da Pozzo, E.; Piano, I.; Pistelli, L.; Gargini, C.; Breschi, M.C.; Braca, A.; Martini, C.; Martelli, A.; Calderone, V. The citrus flavanone naringenin produces cardioprotective effects in hearts from 1 year old rat, through activation of mitoBK channels. Front. Pharmacol. 2017, 8, 71. [Google Scholar] [CrossRef] [Green Version]
- Yang, L.-J.; Ma, S.-X.; Zhou, S.-Y.; Chen, W.; Yuan, M.-W.; Yin, Y.-Q.; Yang, X.-D. Preparation and characterization of inclusion complexes of naringenin with β-cyclodextrin or its derivative. Carbohydr. Polym. 2013, 98, 861–869. [Google Scholar] [CrossRef] [PubMed]
- Wen, J.; Liu, B.; Yuan, E.; Ma, Y.; Zhu, Y. Preparation and physicochemical properties of the complex of naringenin with hydroxypropyl-β-cyclodextrin. Molecules 2010, 15, 4401–4407. [Google Scholar] [CrossRef] [Green Version]
- Ji, P.; Yu, T.; Liu, Y.; Jiang, J.; Xu, J.; Zhao, Y.; Hao, Y.; Qiu, Y.; Zhao, W.; Wu, C. Naringenin-loaded solid lipid nanoparticles: Preparation, controlled delivery, cellular uptake, and pulmonary pharmacokinetics. Drug Des. Devel. Ther. 2016, 10, 911. [Google Scholar] [CrossRef] [Green Version]
- Xu, X.; Yu, H.; Hang, L.; Shao, Y.; Ding, S.; Yang, X. Preparation of naringenin/β-cyclodextrin complex and its more potent alleviative effect on choroidal neovascularization in rats. Biomed. Res. Int. 2014, 2014, 623509. [Google Scholar] [CrossRef] [PubMed]
- Dahlgren, D.; Lennernäs, H. Intestinal Permeability and Drug Absorption: Predictive Experimental, Computational and in vivo Approaches. Pharmaceutics 2019, 11, 411. [Google Scholar] [CrossRef] [PubMed] [Green Version]
- Benet, L.Z. The role of BCS (biopharmaceutics classification system) and BDDCS (biopharmaceutics drug disposition classification system) in drug development. J. Pharm. Sci. 2013, 102, 34–42. [Google Scholar] [CrossRef] [PubMed] [Green Version]
- Kanaze, F.I.; Bounartzi, M.I.; Georgarakis, M.; Niopas, I. Pharmacokinetics of the citrus flavanone aglycones hesperetin and naringenin after single oral administration in human subjects. Eur. J. Clin. Nutr. 2007, 61, 472–477. [Google Scholar] [CrossRef] [PubMed] [Green Version]
- Alam, M.A.; Subhan, N.; Rahman, M.M.; Uddin, S.J.; Reza, H.M.; Sarker, S.D. Effect of citrus flavonoids, naringin and naringenin, on metabolic syndrome and their mechanisms of action. Adv. Nutr. 2014, 5, 404–417. [Google Scholar] [CrossRef]
- Shulman, M.; Cohen, M.; Soto-Gutierrez, A.; Yagi, H.; Wang, H.; Goldwasser, J.; Lee-Parsons, C.W.; Benny-Ratsaby, O.; Yarmush, M.L.; Nahmias, Y. Enhancement of naringenin bioavailability by complexation with hydroxypropoyl-β-cyclodextrin. PLoS ONE 2011, 6, e18033. [Google Scholar] [CrossRef] [Green Version]
- Khan, A.W.; Kotta, S.; Ansari, S.H.; Sharma, R.K.; Ali, J. Self-nanoemulsifying drug delivery system (SNEDDS) of the poorly water-soluble grapefruit flavonoid Naringenin: Design, characterization, in vitro and in vivo evaluation. Drug Deliv. 2015, 22, 552–561. [Google Scholar] [CrossRef]
- Khan, A.W.; Kotta, S.; Ansari, S.H.; Sharma, R.K.; Ali, J. Enhanced dissolution and bioavailability of grapefruit flavonoid Naringenin by solid dispersion utilizing fourth generation carrier. Drug Dev. Ind. Pharm. 2015, 41, 772–779. [Google Scholar] [CrossRef]
- Rincón-López, J.; Almanza-Arjona, Y.C.; Riascos, A.P.; Rojas-Aguirre, Y. Technological evolution of cyclodextrins in the pharmaceutical field. J. Drug Deliv. Sci. Technol. 2020, 61, 102156. [Google Scholar] [CrossRef]
- Rasheed, A.; Ashok, K.C.K.; Sravanthi, V.V.N.S. Cyclodextrins as Drug Carrier Molecule: A Review. Sci. Pharm. 2008, 76, 567–598. [Google Scholar] [CrossRef]
- Semalty, A.; Tanwar, Y.S.; Semalty, M. Preparation and characterization of cyclodextrin inclusion complex of naringenin and critical comparison with phospholipid complexation for improving solubility and dissolution. J. Therm. Anal. Calorim. 2014, 115, 2471–2478. [Google Scholar] [CrossRef]
- Jha, D.K.; Shah, D.S.; Amin, P.D. Thermodynamic Aspects of the Preparation of Amorphous Solid Dispersions of Naringenin with Enhanced Dissolution Rate. Int. J. Pharm. 2020, 583, 119363. [Google Scholar] [CrossRef] [PubMed]
- Song, I.-S.; Cha, J.-S.; Choi, M.-K. Enhanced oral bioavailability of naringenin administered in a mixed micelle formulation with Pluronic F127 and Tween 80 in rats. J. Pharm. Investig. 2015, 45, 633–640. [Google Scholar] [CrossRef]
- Sree, V.S.; Vaiyana, R.C. Fundamental Aspects of a Third Component Used in Ternary Solid Dispersion: A Review. Int. J. Appl. Pharm. 2021, 13, 11–17. [Google Scholar] [CrossRef]
- Guan, M.; Shi, R.; Zheng, Y.; Zeng, X.; Fan, W.; Wang, Y.; Su, W. Characterization, in Vitro and in Vivo Evaluation of Naringenin-Hydroxypropyl-β-Cyclodextrin Inclusion for Pulmonary Delivery. Molecules 2020, 25, 554. [Google Scholar] [CrossRef] [PubMed]
- Lauro, M.; Simone, F.; Sansone, F.; Iannelli, P.; Aquino, R. Preparations and release characteristics of naringin and naringenin gastro-resistant microparticles by spray-drying. J. Drug Deliv. Sci. Technol. 2007, 17, 119–124. [Google Scholar] [CrossRef]
- Wang, G.F.; Dai, C.L.; Liao, Z.G.; Zhao, G.W.; Liang, X.L.; Yang, M.; Zhong, S.J.; Zhang, N. Characterization, physical stability, and dissolution behavior of naringenin/mannitol solid dispersions prepared by solvent evaporation method with three drying methods. In Advanced Materials Research; Trans Tech Publications Ltd.: Zürich, Switzerland, 2011; Volume 236, pp. 2264–2272. [Google Scholar]
- Luo, D.; Pei, X.; Fu, H.; Yang, X.; Long, S.; Zhang, L.; Gong, W. Modification of sodium bicarbonate and its effect on foaming behavior of polypropylene. e-Polymers 2021, 21, 366–376. [Google Scholar] [CrossRef]
- Yan, H.-H.; Zhang, J.-Q.; Ren, S.-H.; Xie, X.-G.; Huang, R.; Jin, Y.; Lin, J. Experimental and computational studies of naringin/cyclodextrin inclusion complexation. J. Incl. Phenom. Macrocycl. Chem. 2017, 88, 15–26. [Google Scholar] [CrossRef]
- Ficarra, R.; Tommasini, S.; Raneri, D.; Calabrò, M.L.; Di Bella, M.R.; Rustichelli, C.; Gamberini, M.C.; Ficarra, P. Study of flavonoids/beta-cyclodextrins inclusion complexes by NMR, FT-IR, DSC, X-ray investigation. J. Pharm. Biomed. Anal. 2002, 29, 1005–1014. [Google Scholar] [CrossRef]
- Rowe, R.C.; Sheskey, P.; Quinn, M. Handbook of Pharmaceutical Excipients; Libros Digitales-Pharmaceutical Press: London, UK, 2009; ISBN 1582121354. [Google Scholar]
- Hobbs, C.A.; Saigo, K.; Koyanagi, M.; Hayashi, S. Magnesium stearate, a widely-used food additive, exhibits a lack of in vitro and in vivo genotoxic potential. Toxicol. Rep. 2017, 4, 554–559. [Google Scholar] [CrossRef]
- Stasiłowicz, A.; Tykarska, E.; Rosiak, N.; Sałat, K.; Furgała-Wojas, A.; Plech, T.; Lewandowska, K.; Pikosz, K.; Pawłowicz, K.; Cielecka-Piontek, J. The Inclusion of Tolfenamic Acid into Cyclodextrins Stimulated by Microenvironmental pH Modification as a Way to Increase the Anti-Migraine Effect. J. Pain Res. 2021, 14, 981. [Google Scholar] [CrossRef]
- Orrego-Lagarón, N.; Martínez-Huélamo, M.; Vallverdú-Queralt, A.; Lamuela-Raventos, R.M.; Escribano-Ferrer, E. High gastrointestinal permeability and local metabolism of naringenin: Influence of antibiotic treatment on absorption and metabolism. Br. J. Nutr. 2015, 114, 169–180. [Google Scholar] [CrossRef] [Green Version]
- Fischer, H.; Kansy, M.; Avdeef, A.; Senner, F. Permeation of permanently positive charged molecules through artificial membranes—Influence of physico-chemical properties. Eur. J. Pharm. Sci. 2007, 31, 32–42. [Google Scholar] [CrossRef]
- Faria, A.; Mateus, N.; Calhau, C. Flavonoid transport across blood-brain barrier: Implication for their direct neuroprotective actions. Nutr. Aging 2012, 1, 89–97. [Google Scholar] [CrossRef] [Green Version]
- Youdim, K.A.; Qaiser, M.Z.; Begley, D.J.; Rice-Evans, C.A.; Abbott, N.J. Flavonoid permeability across an in situ model of the blood–brain barrier. Free Radic. Biol. Med. 2004, 36, 592–604. [Google Scholar] [CrossRef] [PubMed]
- Di, L.; Kerns, E.H.; Fan, K.; McConnell, O.J.; Carter, G.T. High throughput artificial membrane permeability assay for blood–brain barrier. Eur. J. Med. Chem. 2003, 38, 223–232. [Google Scholar] [CrossRef]
- Kang, J.; Kim, H.R.; Yoon, S.H.; Jang, B.-S.; Choi, D.S.; Park, S.H. Radioprotective effect of naringin and naringenin against cellular damage and oxidative stress of γ-irradiated mice. Korean J. Food Sci. Technol. 2017, 49, 659–667. [Google Scholar] [CrossRef]
- Martinez, R.M.; Pinho-Ribeiro, F.A.; Steffen, V.S.; Silva, T.C.C.; Caviglione, C.V.; Bottura, C.; Fonseca, M.J.V.; Vicentini, F.T.M.C.; Vignoli, J.A.; Baracat, M.M. Topical formulation containing naringenin: Efficacy against ultraviolet B irradiation-induced skin inflammation and oxidative stress in mice. PLoS ONE 2016, 11, e0146296. [Google Scholar] [CrossRef] [Green Version]
- Lalkovičová, M.; Danielisová, V. Neuroprotection and antioxidants. Neural. Regen. Res. 2016, 11, 865. [Google Scholar] [CrossRef]
- Huang, W.-J.; Zhang, X.; Chen, W.-W. Role of oxidative stress in Alzheimer’s disease. Biomed. Rep. 2016, 4, 519–522. [Google Scholar] [CrossRef] [Green Version]
- Dias, V.; Junn, E.; Mouradian, M.M. The role of oxidative stress in Parkinson’s disease. J. Parkinsons. Dis. 2013, 3, 461–491. [Google Scholar] [CrossRef] [Green Version]
- Plazinska, A.; Plazinski, W. Comparison of Carbohydrate Force Fields in Molecular Dynamics Simulations of Protein–Carbohydrate Complexes. J. Chem. Theory Comput. 2021, 17, 2575–2585. [Google Scholar] [CrossRef]
- Kanaze, F.I.; Kokkalou, E.; Niopas, I.; Barmpalexis, P.; Georgarakis, E.; Bikiaris, D. Dissolution rate and stability study of flavanone aglycones, naringenin and hesperetin, by drug delivery systems based on polyvinylpyrrolidone (PVP) nanodispersions. Drug Dev. Ind. Pharm. 2010, 36, 292–301. [Google Scholar] [CrossRef]
- Chen, X.; Guo, T.; Zhang, K.; Chen, J.; Wang, C.; Ren, X.; Wang, Q.; Yang, Y.; Liu, C.; Tan, W. Simultaneous improvement to solubility and bioavailability of active natural compound isosteviol using cyclodextrin metal-organic frameworks. Acta Pharm. Sin. B 2021. [Google Scholar] [CrossRef]
- Wu, X.; Ge, W.; Shao, T.; Wu, W.; Hou, J.; Cui, L.; Wang, J.; Zhang, Z. Enhancing the oral bioavailability of biochanin A by encapsulation in mixed micelles containing Pluronic F127 and Plasdone S630. Int. J. Nanomed. 2017, 12, 1475. [Google Scholar] [CrossRef] [PubMed] [Green Version]
- Oliveira, A.P.; Silva, A.L.N.; Viana, L.G.F.C.; Silva, M.G.; Lavor, É.M.; Oliveira-Júnior, R.G.; Alencar-Filho, E.B.; Lima, R.S.; Mendes, R.L.; Rolim, L.A. β-Cyclodextrin complex improves the bioavailability and antitumor potential of cirsiliol, a flavone isolated from Leonotis nepetifolia (Lamiaceae). Heliyon 2019, 5, e01692. [Google Scholar] [CrossRef] [Green Version]
- Kostelnik, A.; Pohanka, M. Inhibition of Acetylcholinesterase and Butyrylcholinesterase by a Plant Secondary Metabolite Boldine. Biomed. Res. Int. 2018, 2018, 9634349. [Google Scholar] [CrossRef] [Green Version]
- Lim, T.Y.; Lim, Y.Y.; Yule, C.M. Evaluation of antioxidant, antibacterial and anti-tyrosinase activities of four Macaranga species. Food Chem. 2009, 114, 594–599. [Google Scholar] [CrossRef]
- PL-Grid Project. Available online: http://www.plgrid.pl/ (accessed on 5 December 2021).
- Frisch, M.J.; Trucks, G.W.; Schlegel, H.B.; Scuseria, G.; Robb, M.; Cheeseman, J.; Scalmani, G.; Barone, V.; Mennucci, B.; Petersson, G. Gaussian 09, Revision C. 01; Gaussian, Inc.: Wallingford, CT, USA, 2009. [Google Scholar]
- Dennington, R.; Keith, T.; Millam, J. GaussView, Version 5; Semichem Inc.: Shawnee Mission, KS, USA, 2009. [Google Scholar]
- Stasiłowicz, A.; Tykarska, E.; Lewandowska, K.; Kozak, M.; Miklaszewski, A.; Kobus-Cisowska, J.; Szymanowska, D.; Plech, T.; Jenczyk, J.; Cielecka-Piontek, J. Hydroxypropyl-β-cyclodextrin as an effective carrier of curcumin–piperine nutraceutical system with improved enzyme inhibition properties. J. Enzym. Inhib. Med. Chem. 2020, 35, 1811–1821. [Google Scholar] [CrossRef] [PubMed]
- Jha, D.K.; Shah, D.S.; Talele, S.R.; Amin, P.D. Correlation of two validated methods for the quantification of naringenin in its solid dispersion: HPLC and UV spectrophotometric methods. SN Appl. Sci. 2020, 2, 698. [Google Scholar] [CrossRef] [Green Version]
- Simionato, L.D.; Petrone, L.; Baldut, M.; Bonafede, S.L.; Segall, A.I. Comparison between the dissolution profiles of nine meloxicam tablet brands commercially available in Buenos Aires, Argentina. Saudi Pharm. J. 2018, 26, 578–584. [Google Scholar] [CrossRef]
- Apak, R.; Güçlü, K.; Özyürek, M.; Karademir, S.E.N.; Altun, M. Total antioxidant capacity assay of human serum using copper (II)-neocuproine as chromogenic oxidant: The CUPRAC method. Free Radic. Res. 2005, 39, 949–961. [Google Scholar] [CrossRef]
- Re, R.; Pellegrini, N.; Proteggente, A.; Pannala, A.; Yang, M.; Rice-Evans, C. Antioxidant activity applying an improved ABTS radical cation decolorization assay. Free Radic. Biol. Med. 1999, 26, 1231–1237. [Google Scholar] [CrossRef]
- Ellman, G.L.; Courtney, K.D.; Andres, V., Jr.; Featherstone, R.M. A new and rapid colorimetric determination of acetylcholinesterase activity. Biochem. Pharmacol. 1961, 7, 88–95. [Google Scholar] [CrossRef]
- Hanwell, M.D.; Curtis, D.E.; Lonie, D.C.; Vandermeersch, T.; Zurek, E.; Hutchison, G.R. Avogadro: An advanced semantic chemical editor, visualization, and analysis platform. J. Cheminform. 2012, 4, 17. [Google Scholar] [CrossRef] [Green Version]
- Rappé, A.K.; Casewit, C.J.; Colwell, K.S.; Goddard, W.A., III; Skiff, W.M. UFF, a full periodic table force field for molecular mechanics and molecular dynamics simulations. J. Am. Chem. Soc. 1992, 114, 10024–10035. [Google Scholar] [CrossRef]
- Trott, O.; Olson, A.J. AutoDock Vina: Improving the speed and accuracy of docking with a new scoring function, efficient optimization, and multithreading. J. Comput. Chem. 2010, 31, 455–461. [Google Scholar] [CrossRef] [PubMed] [Green Version]
- Abraham, M.J.; Murtola, T.; Schulz, R.; Páll, S.; Smith, J.C.; Hess, B.; Lindahl, E. GROMACS: High performance molecular simulations through multi-level parallelism from laptops to supercomputers. SoftwareX 2015, 1, 19–25. [Google Scholar] [CrossRef] [Green Version]
- Hatcher, E.R.; Guvench, O.; MacKerell, A.D., Jr. CHARMM additive all-atom force field for acyclic polyalcohols, acyclic carbohydrates, and inositol. J. Chem. Theory Comput. 2009, 5, 1315–1327. [Google Scholar] [CrossRef] [Green Version]
- de Jong, D.H.; Singh, G.; Bennett, W.F.D.; Arnarez, C.; Wassenaar, T.A.; Schafer, L.V.; Periole, X.; Tieleman, D.P.; Marrink, S.J. Improved parameters for the martini coarse-grained protein force field. J. Chem. Theory Comput. 2013, 9, 687–697. [Google Scholar] [CrossRef] [PubMed]
- Hockney, R.W.; Eastwood, J.W. Computer Simulation Using Particles; CRC Press: Boca Raton, FL, USA, 2021; ISBN 0367806932. [Google Scholar]
- Bussi, G.; Donadio, D.; Parrinello, M. Canonical sampling through velocity rescaling. J. Chem. Phys. 2007, 126, 14101. [Google Scholar] [CrossRef] [PubMed] [Green Version]
- Parrinello, M.; Rahman, A. Polymorphic transitions in single crystals: A new molecular dynamics method Polymorphic transitions in single crystals: A new molecular dynamics method. J. Appl. Phys. 2005, 7182. [Google Scholar] [CrossRef]
- Hockney, R.W. The potential calculation and some applications. Methods Comput. Phys. 1970, 9, 136. [Google Scholar]
- Miyamoto, S.; Kollman, P. SETTLE: An analytical version of the shake an RATTLE algorithms for molecular simulation. J. Comput. Chem. 1992, 13, 952–962. [Google Scholar] [CrossRef]
- Hess, B.; Bekker, H.; Berendsen, H.J.C.; Fraaije, J.G.E.M. LINCS: A linear constraint solver for molecular simulations. J. Comput. Chem. 1997, 18, 1463–1472. [Google Scholar] [CrossRef]
- Darden, T.; York, D.; Pedersen, L. Particle mesh Ewald: An N⋅log (N) method for Ewald sums in large systems. J. Chem. Phys. 1993, 98, 10089–10092. [Google Scholar] [CrossRef] [Green Version]










| System | Ratio | Method | Solubility (μg/mL) |
|---|---|---|---|
| NAR:HP-β-CD:NaHCO3 | 1.125:3.375:0.5 | Co-precipitation, grinding | 956.598 ± 13.556 (*) |
| NAR:HP-β-CD:NaHCO3 | 1:3:1 | Co-precipitation, grinding | 1156.504 ± 16.163 (*) |
| NAR:HP-β-CD:Mg stearate | 1:3:4 | Co-precipitation, grinding | 835.502 ± 7.991 (*) |
| NAR:β-CD:NaHCO3 | 1.125:3.375:0.5 | Co-precipitation, grinding | 740.775 ± 6.161 (*) |
| NAR:β-CD:NaHCO3 | 1:3:1 | Co-precipitation, grinding | 892.559 ± 13.760 (*) |
| NAR:β-CD:Mg stearate | 1:3:4 | Co-precipitation, grinding | 670.907 ± 4.975 (*) |
| NAR:HPMC:NaHCO3 | 1.125:3.375:0.5 | Co-precipitation, grinding | 753.488 ± 9.678 (*) |
| NAR:HPMC:NaHCO3 | 1:3:1 | Co-precipitation, grinding | 848.531 ± 11.674 (*) |
| NAR:HPMC:Mg stearate | 1:3:4 | Co-precipitation, grinding | 771.459 ± 6.007 (*) |
| NAR/ph. m./System | Max. Water Conc. (µg/mL) | ABTS ASSAY | CUPRAC ASSAY |
|---|---|---|---|
| Radical Inhibition (%) | EC | ||
| NAR | 2.52 | 0.00 | 0.00 |
| NAR:HP-β-CD 1:3 ph. m. | 506.29 | 37.43 ± 1.16 (*) | 0.44 ± 0.03 (*) |
| NAR:HP-β-CD 1:3 co-pr. | 542.11 | 38.43 ± 1.23 (*) | 0.46 ± 0.04 (*) |
| NAR:NaHCO3 4:1 ph. m. | 278.29 | 28.73 ± 0.61 (*) | 0.29 ± 0.02 (*) |
| NAR:HP-β-CD:NaHCO3 1:3:1 ph. m. | 875.14 | 45.39 ± 2.01 (*) | 0.64 ± 0.04 (*) |
| NAR:HP-β-CD:NaHCO3 1:3:1 co-pr.; ph. m. | 1156.50 | 49.45 ± 2.41 (*) | 0.77 ± 0.05 (*) |
Publisher’s Note: MDPI stays neutral with regard to jurisdictional claims in published maps and institutional affiliations. |
© 2022 by the authors. Licensee MDPI, Basel, Switzerland. This article is an open access article distributed under the terms and conditions of the Creative Commons Attribution (CC BY) license (https://creativecommons.org/licenses/by/4.0/).
Share and Cite
Stasiłowicz-Krzemień, A.; Gołębiewski, M.; Płazińska, A.; Płaziński, W.; Miklaszewski, A.; Żarowski, M.; Adamska-Jernaś, Z.; Cielecka-Piontek, J. The Systems of Naringenin with Solubilizers Expand Its Capability to Prevent Neurodegenerative Diseases. Int. J. Mol. Sci. 2022, 23, 755. https://doi.org/10.3390/ijms23020755
Stasiłowicz-Krzemień A, Gołębiewski M, Płazińska A, Płaziński W, Miklaszewski A, Żarowski M, Adamska-Jernaś Z, Cielecka-Piontek J. The Systems of Naringenin with Solubilizers Expand Its Capability to Prevent Neurodegenerative Diseases. International Journal of Molecular Sciences. 2022; 23(2):755. https://doi.org/10.3390/ijms23020755
Chicago/Turabian StyleStasiłowicz-Krzemień, Anna, Michał Gołębiewski, Anita Płazińska, Wojciech Płaziński, Andrzej Miklaszewski, Marcin Żarowski, Zofia Adamska-Jernaś, and Judyta Cielecka-Piontek. 2022. "The Systems of Naringenin with Solubilizers Expand Its Capability to Prevent Neurodegenerative Diseases" International Journal of Molecular Sciences 23, no. 2: 755. https://doi.org/10.3390/ijms23020755
APA StyleStasiłowicz-Krzemień, A., Gołębiewski, M., Płazińska, A., Płaziński, W., Miklaszewski, A., Żarowski, M., Adamska-Jernaś, Z., & Cielecka-Piontek, J. (2022). The Systems of Naringenin with Solubilizers Expand Its Capability to Prevent Neurodegenerative Diseases. International Journal of Molecular Sciences, 23(2), 755. https://doi.org/10.3390/ijms23020755

