Phosphodiesterase-4 Inhibition Reduces Cutaneous Inflammation and IL-1β Expression in a Psoriasiform Mouse Model but Does Not Inhibit Inflammasome Activation
Abstract
:1. Introduction
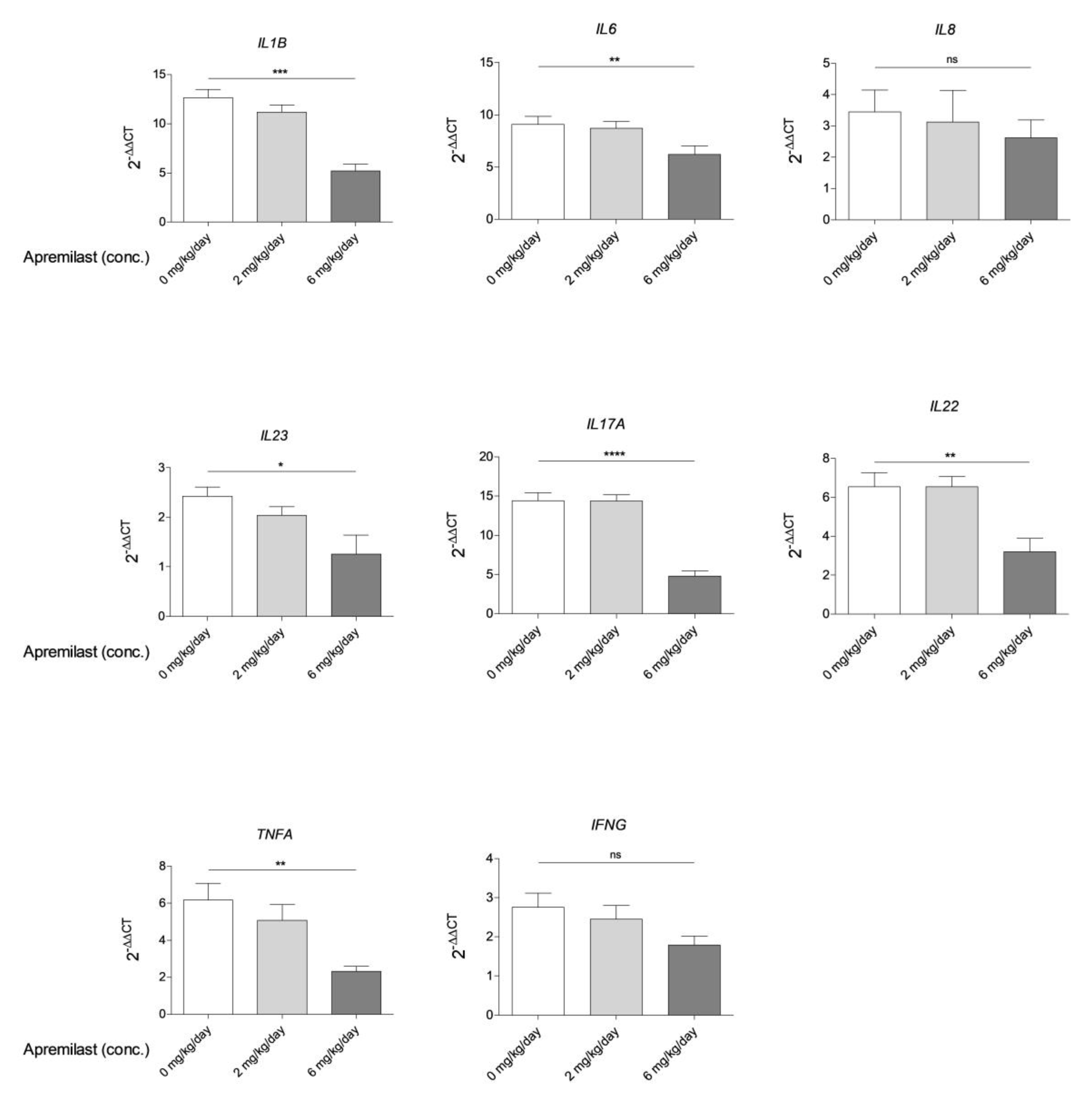
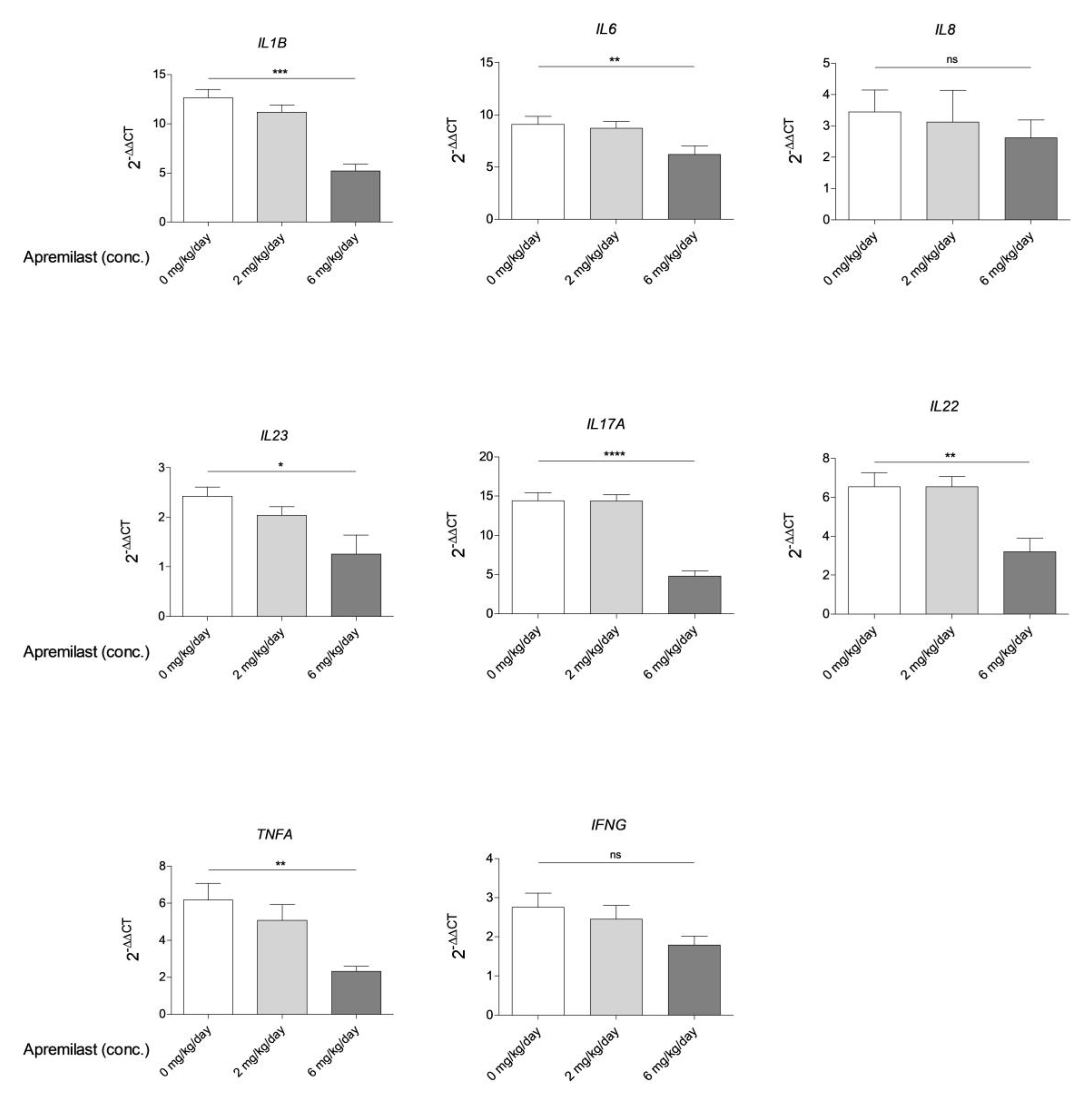
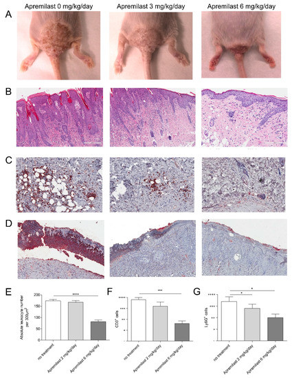
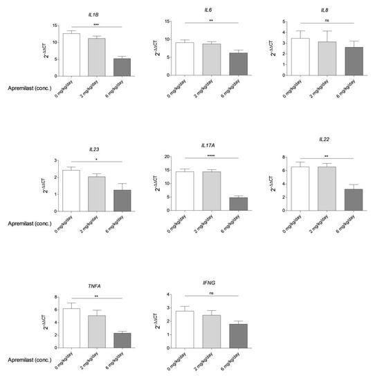
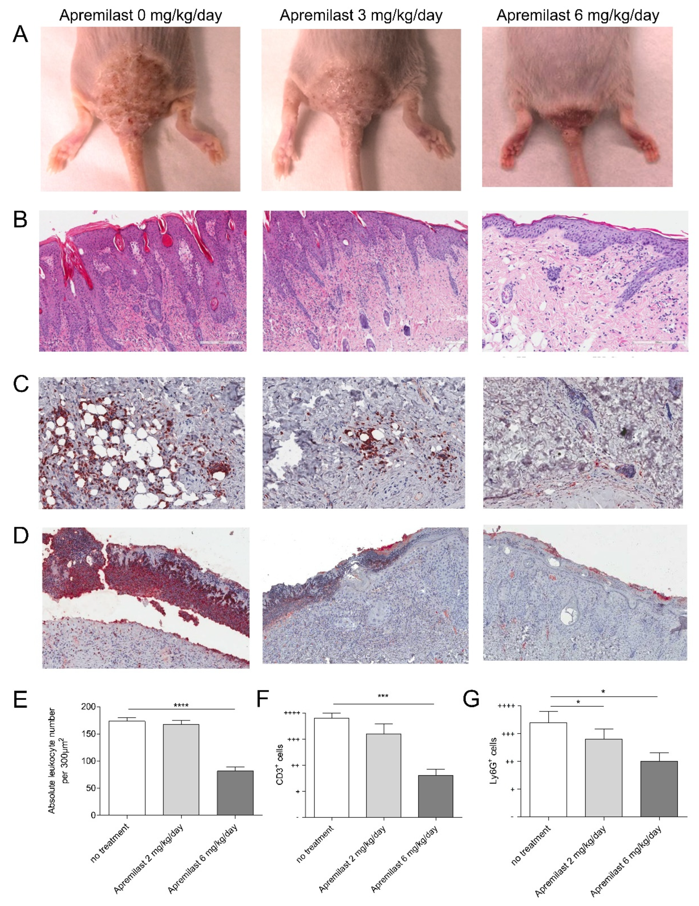
2. Results
3. Discussion
4. Materials and Methods
4.1. Mice
4.2. Human Blood Sampling
4.3. Apremilast Treatment of Mice
4.4. RNA Isolation, cDNA Synthesis and Real-Time qPCR
4.5. Immunohistochemistry
4.6. Culture of PBMCs
4.7. Culture of Human Primary Keratinocytes
4.8. Inflammasome Activation
4.9. Analysis of Supernatant
Author Contributions
Funding
Institutional Review Board Statement
Informed Consent Statement
Data Availability Statement
Conflicts of Interest
References
- Augustin, M.; Reich, K.; Glaeske, G.; Schaefer, I.; Radtke, M. Co-morbidity and age-related prevalence of psoriasis: Analysis of health insurance data in Germany. Acta. Derm. Venereol. 2010, 90, 147–151. [Google Scholar] [CrossRef] [Green Version]
- Gaspari, A.A. Innate and adaptive immunity and the pathophysiology of psoriasis. J. Am. Acad. Dermatol. 2006, 54, S67–S80. [Google Scholar] [CrossRef]
- Ramirez-Fort, M.K.; Levin, A.A.; Au, S.C.; Gottlieb, A.B. Continuous versus intermittent therapy for moderate-to-severe psoriasis. Clin. Exp. Rheumatol. 2013, 31, S63–S70. [Google Scholar] [PubMed]
- Barbagallo, J.; Spann, C.T.; Tutrone, W.D.; Weinberg, J.M. Narrowband UVB phototherapy for the treatment of psoriasis: A review and update. Cutis 2001, 68, 345–347. [Google Scholar]
- Heydendael, V.M.; Spuls, P.I.; Opmeer, B.C.; de Borgie, C.A.; Reitsma, J.B.; Goldschmidt, W.F.; Bossuyt, P.M.; Bos, J.D.; de Rie, M.A. Methotrexate versus cyclosporine in moderate-to-severe chronic plaque psoriasis. N. Engl. J. Med. 2003, 349, 658–665. [Google Scholar] [CrossRef] [Green Version]
- Nyfors, A. Benefits and adverse drug experiences during long-term methotrexate treatment of 248 psoriatics. Dan. Med. Bull. 1978, 25, 208–211. [Google Scholar]
- Altmeyer, P.J.; Matthes, U.; Pawlak, F.; Hoffmann, K.; Frosch, P.J.; Ruppert, P.; Wassilew, S.W.; Horn, T.; Kreysel, H.W.; Lutz, G.; et al. Antipsoriatic effect of fumaric acid derivatives. Results of a multicenter double-blind study in 100 patients. J. Am. Acad. Dermatol. 1994, 30, 977–981. [Google Scholar] [CrossRef]
- Altmeyer, P.; Hartwig, R.; Matthes, U. Efficacy and safety profile of fumaric acid esters in oral long-term therapy with severe treatment refractory psoriasis vulgaris. A study of 83 patients. Hautarzt 1996, 47, 190–196. [Google Scholar] [CrossRef] [PubMed]
- Gollnick, H.; Altmeyer, P.; Kaufmann, R.; Ring, J.; Christophers, E.; Pavel, S.; Ziegler, J. Topical calcipotriol plus oral fumaric acid is more effective and faster acting than oral fumaric acid monotherapy in the treatment of severe chronic plaque psoriasis vulgaris. Dermatology 2002, 205, 46–53. [Google Scholar] [CrossRef]
- Blauvelt, A.; Papp, K.; Gottlieb, A.; Jarell, A.; Reich, K.; Maari, C.; Gordon, K.B.; Ferris, L.K.; Langley, R.G.; Tada, Y.; et al. A head-to-head comparison of ixekizumab vs. guselkumab in patients with moderate-to-severe plaque psoriasis: 12-week efficacy, safety and speed of response from a randomized, double-blinded trial. Br. J. Dermatol. 2020, 182, 1348–1358. [Google Scholar] [CrossRef]
- Gottlieb, A.B.; Langley, R.G.; Philipp, S.; Sigurgeirsson, B.; Blauvelt, A.; Martin, R.; Papavassilis, C.; Mpofu, S. Secukinumab Improves Physical Function in Subjects With Plaque Psoriasis and Psoriatic Arthritis: Results from Two Randomized, Phase 3 Trials. J. Drugs Dermatol. 2015, 14, 821–833. [Google Scholar] [PubMed]
- Langley, R.G.; Elewski, B.E.; Lebwohl, M.; Reich, K.; Griffiths, C.E.; Papp, K.; Puig, L.; Nakagawa, H.; Spelman, L.; Sigurgeirsson, B.; et al. Secukinumab in plaque psoriasis—Results of two phase 3 trials. N. Engl. J. Med. 2014, 371, 326–338. [Google Scholar] [CrossRef] [PubMed] [Green Version]
- Reich, K.; Papp, K.A.; Armstrong, A.W.; Wasfi, Y.; Li, S.; Shen, Y.K.; Randazzo, B.; Song, M.; Kimball, A.B. Safety of guselkumab in patients with moderate-to-severe psoriasis treated through 100 weeks: A pooled analysis from the randomized VOYAGE 1 and VOYAGE 2 studies. Br. J. Dermatol. 2019, 180, 1039–1049. [Google Scholar] [CrossRef] [PubMed]
- Sbidian, E.; Chaimani, A.; Garcia-Doval, I.; Do, G.; Hua, C.; Mazaud, C.; Droitcourt, C.; Hughes, C.; Ingram, J.R.; Naldi, L.; et al. Systemic pharmacological treatments for chronic plaque psoriasis: A network meta-analysis. Cochrane Database Syst. Rev. 2017, 12, 1–499. [Google Scholar] [CrossRef]
- Gordon, K.B.; Duffin, K.C.; Bissonnette, R.; Prinz, J.C.; Wasfi, Y.; Li, S.; Shen, Y.K.; Szapary, P.; Randazzo, B.; Reich, K. A Phase 2 Trial of Guselkumab versus Adalimumab for Plaque Psoriasis. N. Engl. J. Med. 2015, 373, 136–144. [Google Scholar] [CrossRef]
- Menter, A.; Griffiths, C.E. Current and future management of psoriasis. Lancet 2007, 370, 272–284. [Google Scholar] [CrossRef]
- Sbidian, E.; Chaimani, A.; Afach, S.; Doney, L.; Dressler, C.; Hua, C.; Mazaud, C.; Phan, C.; Hughes, C.; Riddle, D.; et al. Systemic pharmacological treatments for chronic plaque psoriasis: A network meta-analysis. Cochrane Database Syst Rev. 2020, 1, CD011535. [Google Scholar] [CrossRef] [PubMed]
- Characteristics, E.S.o.P. FDA Label Reference ID: 4464834. Available online: https://www.accessdata.fda.gov/drugsatfda_docs/label/2019/205437Orig1s007lbl.pdf (accessed on 12 September 2021).
- Schafer, P.H.; Parton, A.; Gandhi, A.K.; Capone, L.; Adams, M.; Wu, L.; Bartlett, J.B.; Loveland, M.A.; Gilhar, A.; Cheung, Y.F.; et al. Apremilast, a cAMP phosphodiesterase-4 inhibitor, demonstrates anti-inflammatory activity in vitro and in a model of psoriasis. Br. J. Pharmacol. 2010, 159, 842–855. [Google Scholar] [CrossRef] [PubMed] [Green Version]
- Feldmeyer, L.; Keller, M.; Niklaus, G.; Hohl, D.; Werner, S.; Beer, H.D. The inflammasome mediates UVB-induced activation and secretion of interleukin-1beta by keratinocytes. Curr. Biol. 2007, 17, 1140–1145. [Google Scholar] [CrossRef] [Green Version]
- Pages, L.; Gavalda, A.; Lehner, M.D. PDE4 inhibitors: A review of current developments (2005–2009). Expert opin. Ther. Pat. 2009, 19, 1501–1519. [Google Scholar] [CrossRef]
- Conti, M.; Beavo, J. Biochemistry and physiology of cyclic nucleotide phosphodiesterases: Essential components in cyclic nucleotide signaling. Annu. Rev. Biochem. 2007, 76, 481–511. [Google Scholar] [CrossRef]
- Schafer, P. Apremilast mechanism of action and application to psoriasis and psoriatic arthritis. Biochem. Pharmacol. 2012, 83, 1583–1590. [Google Scholar] [CrossRef] [PubMed]
- Van Voorhees, A.S.; Stein Gold, L.; Lebwohl, M.; Strober, B.; Lynde, C.; Tyring, S.; Cauthen, A.; Sofen, H.; Zhang, Z.; Paris, M.; et al. Efficacy and safety of apremilast in patients with moderate to severe plaque psoriasis of the scalp: Results of a phase 3b, multicenter, randomized, placebo-controlled, double-blind study. J. Am. Acad. Dermatol. 2020, 83, 96–103. [Google Scholar] [CrossRef]
- Hatemi, G.; Mahr, A.; Ishigatsubo, Y.; Song, Y.W.; Takeno, M.; Kim, D.; Melikoglu, M.; Cheng, S.; McCue, S.; Paris, M.; et al. Trial of Apremilast for Oral Ulcers in Behcet’s Syndrome. N. Engl. J. Med. 2019, 381, 1918–1928. [Google Scholar] [CrossRef] [PubMed]
- Lee, G.S.; Subramanian, N.; Kim, A.I.; Aksentijevich, I.; Goldbach-Mansky, R.; Sacks, D.B.; Germain, R.N.; Kastner, D.L.; Chae, J.J. The calcium-sensing receptor regulates the NLRP3 inflammasome through Ca2+ and cAMP. Nature 2012, 492, 123–127. [Google Scholar] [CrossRef] [Green Version]
- Masters, S.L.; Simon, A.; Aksentijevich, I.; Kastner, D.L. Horror Autoinflammaticus: The Molecular Pathophysiology of Autoinflammatory Disease. Annu. Rev. Immunol. 2009, 27, 621–668. [Google Scholar] [CrossRef] [PubMed] [Green Version]
- Sokolowska, M.; Chen, L.Y.; Liu, Y.; Martinez-Anton, A.; Qi, H.Y.; Logun, C.; Alsaaty, S.; Park, Y.H.; Kastner, D.L.; Chae, J.J.; et al. Prostaglandin E2 Inhibits NLRP3 Inflammasome Activation through EP4 Receptor and Intracellular Cyclic AMP in Human Macrophages. J. Immunol. 2015, 194, 5472–5487. [Google Scholar] [CrossRef] [PubMed] [Green Version]
- Cai, Y.; Xue, F.; Quan, C.; Qu, M.; Liu, N.; Zhang, Y.; Fleming, C.; Hu, X.; Zhang, H.G.; Weichselbaum, R.; et al. A Critical Role of the IL-1beta-IL-1R Signaling Pathway in Skin Inflammation and Psoriasis Pathogenesis. J. Investig. Dermatol. 2019, 139, 146–156. [Google Scholar] [CrossRef] [PubMed] [Green Version]
- Fanoni, D.; Venegoni, L.; Vergani, B.; Tavecchio, S.; Cattaneo, A.; Leone, B.E.; Berti, E.; Marzano, A.V. Evidence for a role of autoinflammation in early-phase psoriasis. Clin. Exp. Immunol. 2019, 198, 283–291. [Google Scholar] [CrossRef] [PubMed] [Green Version]
- Sano, S.; Chan, K.S.; Carbajal, S.; Clifford, J.; Peavey, M.; Kiguchi, K.; Itami, S.; Nickoloff, B.J.; DiGiovanni, J. Stat3 links activated keratinocytes and immunocytes required for development of psoriasis in a novel transgenic mouse model. Nat. Med. 2005, 11, 43–49. [Google Scholar] [CrossRef] [PubMed]
- Danis, J.; Mellett, M. Nod-Like Receptors in Host Defence and Disease at the Epidermal Barrier. Int. J. Mol. Sci. 2021, 22, 4677. [Google Scholar] [CrossRef]
- Schroder, K.; Tschopp, J. The inflammasomes. Cell 2010, 140, 821–832. [Google Scholar] [CrossRef] [Green Version]
- Bissonnette, R.; Pariser, D.M.; Wasel, N.R.; Goncalves, J.; Day, R.M.; Chen, R.; Sebastian, M. Apremilast, an oral phosphodiesterase-4 inhibitor, in the treatment of palmoplantar psoriasis: Results of a pooled analysis from phase II PSOR-005 and phase III Efficacy and Safety Trial Evaluating the Effects of Apremilast in Psoriasis (ESTEEM) clinical trials in patients with moderate to severe psoriasis. J. Am. Acad. Dermatol. 2016, 75, 99–105. [Google Scholar] [CrossRef] [PubMed] [Green Version]
- Papp, K.; Reich, K.; Leonardi, C.L.; Kircik, L.; Chimenti, S.; Langley, R.G.; Hu, C.; Stevens, R.M.; Day, R.M.; Gordon, K.B.; et al. Apremilast, an oral phosphodiesterase 4 (PDE4) inhibitor, in patients with moderate to severe plaque psoriasis: Results of a phase III, randomized, controlled trial (Efficacy and Safety Trial Evaluating the Effects of Apremilast in Psoriasis [ESTEEM] 1). J. Am. Acad. Dermatol. 2015, 73, 37–49. [Google Scholar] [CrossRef] [PubMed]
- Li, H.; Fan, C.; Feng, C.; Wu, Y.; Lu, H.; He, P.; Yang, X.; Zhu, F.; Qi, Q.; Gao, Y.; et al. Inhibition of phosphodiesterase-4 attenuates murine ulcerative colitis through interference with mucosal immunity. Br. J. Pharmacol. 2019, 176, 2209–2226. [Google Scholar] [CrossRef]
- Hawkes, J.E.; Adalsteinsson, J.A.; Gudjonsson, J.E.; Ward, N.L. Research Techniques Made Simple: Murine Models of Human Psoriasis. J. Investig. Dermatol. 2018, 138, e1–e8. [Google Scholar] [CrossRef] [PubMed]
- Gopinath, S.D. Inhibition of Stat3 signaling ameliorates atrophy of the soleus muscles in mice lacking the vitamin D receptor. Skelet. Muscle 2017, 7, 1–17. [Google Scholar] [CrossRef] [PubMed] [Green Version]
- Visconti, B.; Paolino, G.; Carotti, S.; Pendolino, A.L.; Morini, S.; Richetta, A.G.; Calvieri, S. Immunohistochemical expression of VDR is associated with reduced integrity of tight junction complex in psoriatic skin. J. Eur. Acad. Dermatol. Venereol. 2015, 29, 2038–2042. [Google Scholar] [CrossRef]
- Lei, X.J.; Xu, Y.L.; Yang, Y.Q.; Bing, Y.W.; Zhao, Y.X. Vitamin D receptor regulates high-level glucose induced retinal ganglion cell damage through STAT3 pathway. Eur. Rev. Med. Pharmacol. Sci. 2018, 22, 7509–7516. [Google Scholar] [CrossRef] [PubMed]
- German, B.; Wei, R.; Hener, P.; Martins, C.; Ye, T.; Gottwick, C.; Yang, J.; Seneschal, J.; Boniface, K.; Li, M. Disrupting the IL-36 and IL-23/IL-17 loop underlies the efficacy of calcipotriol and corticosteroid therapy for psoriasis. JCI Insight 2019, 4, 1–17. [Google Scholar] [CrossRef] [Green Version]
- Schafer, P.H.; Chen, P.; Fang, L.; Wang, A.; Chopra, R. The pharmacodynamic impact of apremilast, an oral phosphodiesterase 4 inhibitor, on circulating levels of inflammatory biomarkers in patients with psoriatic arthritis: Substudy results from a phase III, randomized, placebo-controlled trial (PALACE 1). J. Immunol. Res. 2015, 2015, 1–10. [Google Scholar] [CrossRef] [PubMed]
- Schafer, P.H.; Truzzi, F.; Parton, A.; Wu, L.; Kosek, J.; Zhang, L.H.; Horan, G.; Saltari, A.; Quadri, M.; Lotti, R.; et al. Phosphodiesterase 4 in inflammatory diseases: Effects of apremilast in psoriatic blood and in dermal myofibroblasts through the PDE4/CD271 complex. Cell Signal. 2016, 28, 753–763. [Google Scholar] [CrossRef] [PubMed] [Green Version]




Publisher’s Note: MDPI stays neutral with regard to jurisdictional claims in published maps and institutional affiliations. |
© 2021 by the authors. Licensee MDPI, Basel, Switzerland. This article is an open access article distributed under the terms and conditions of the Creative Commons Attribution (CC BY) license (https://creativecommons.org/licenses/by/4.0/).
Share and Cite
Meier-Schiesser, B.; Mellett, M.; Ramirez-Fort, M.K.; Maul, J.-T.; Klug, A.; Winkelbeiner, N.; Fenini, G.; Schafer, P.; Contassot, E.; French, L.E. Phosphodiesterase-4 Inhibition Reduces Cutaneous Inflammation and IL-1β Expression in a Psoriasiform Mouse Model but Does Not Inhibit Inflammasome Activation. Int. J. Mol. Sci. 2021, 22, 12878. https://doi.org/10.3390/ijms222312878
Meier-Schiesser B, Mellett M, Ramirez-Fort MK, Maul J-T, Klug A, Winkelbeiner N, Fenini G, Schafer P, Contassot E, French LE. Phosphodiesterase-4 Inhibition Reduces Cutaneous Inflammation and IL-1β Expression in a Psoriasiform Mouse Model but Does Not Inhibit Inflammasome Activation. International Journal of Molecular Sciences. 2021; 22(23):12878. https://doi.org/10.3390/ijms222312878
Chicago/Turabian StyleMeier-Schiesser, Barbara, Mark Mellett, Marigdalia K. Ramirez-Fort, Julia-Tatjana Maul, Annika Klug, Nicola Winkelbeiner, Gabriele Fenini, Peter Schafer, Emmanuel Contassot, and Lars E. French. 2021. "Phosphodiesterase-4 Inhibition Reduces Cutaneous Inflammation and IL-1β Expression in a Psoriasiform Mouse Model but Does Not Inhibit Inflammasome Activation" International Journal of Molecular Sciences 22, no. 23: 12878. https://doi.org/10.3390/ijms222312878
APA StyleMeier-Schiesser, B., Mellett, M., Ramirez-Fort, M. K., Maul, J.-T., Klug, A., Winkelbeiner, N., Fenini, G., Schafer, P., Contassot, E., & French, L. E. (2021). Phosphodiesterase-4 Inhibition Reduces Cutaneous Inflammation and IL-1β Expression in a Psoriasiform Mouse Model but Does Not Inhibit Inflammasome Activation. International Journal of Molecular Sciences, 22(23), 12878. https://doi.org/10.3390/ijms222312878

