Activation of Transposable Elements in Immune Cells of Fibromyalgia Patients
Abstract
1. Introduction
2. Results
2.1. Demographics and Other Characteristics of Participating Individuals
2.2. Overexpression of HERV Sequences in FM
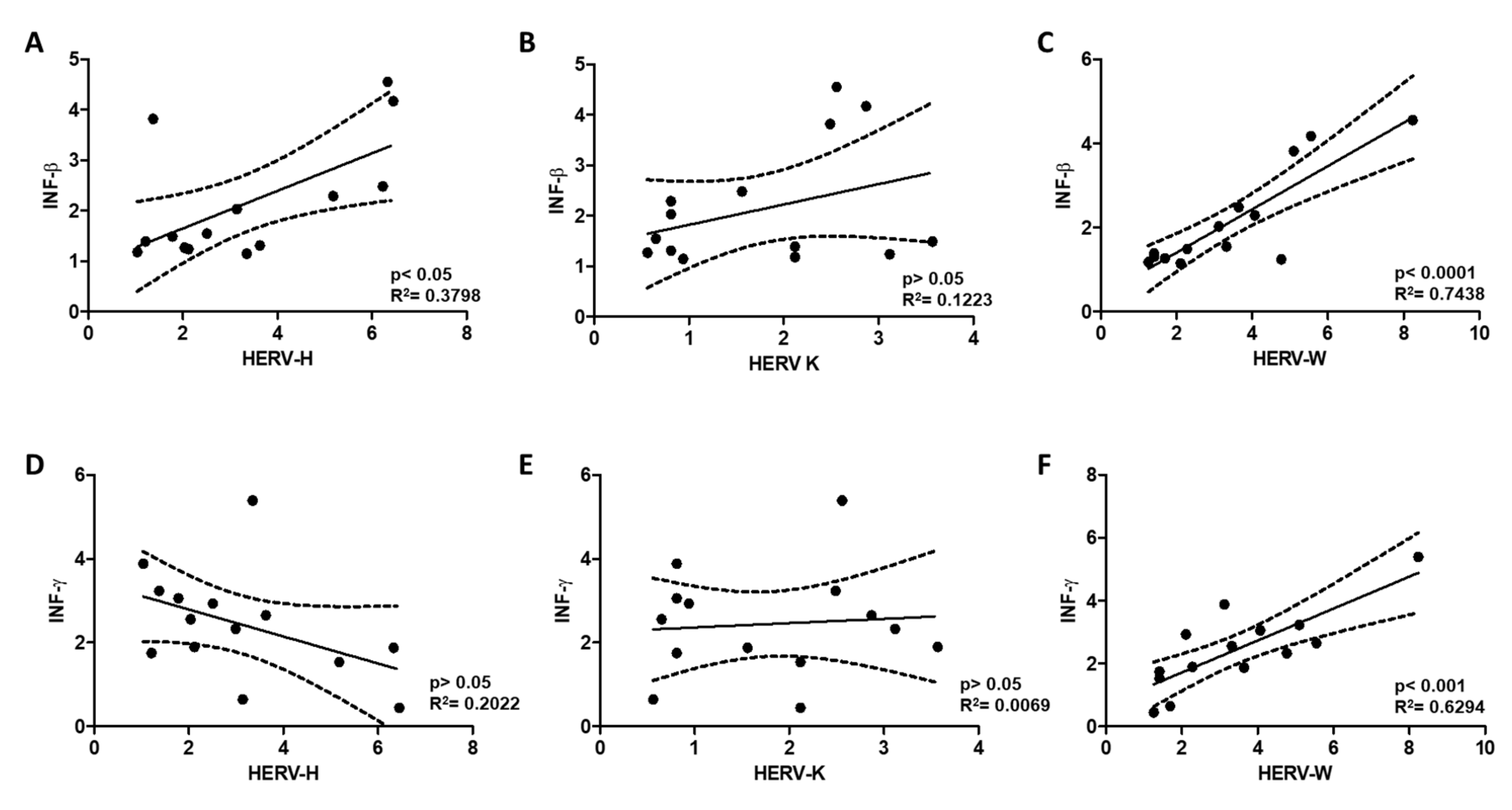
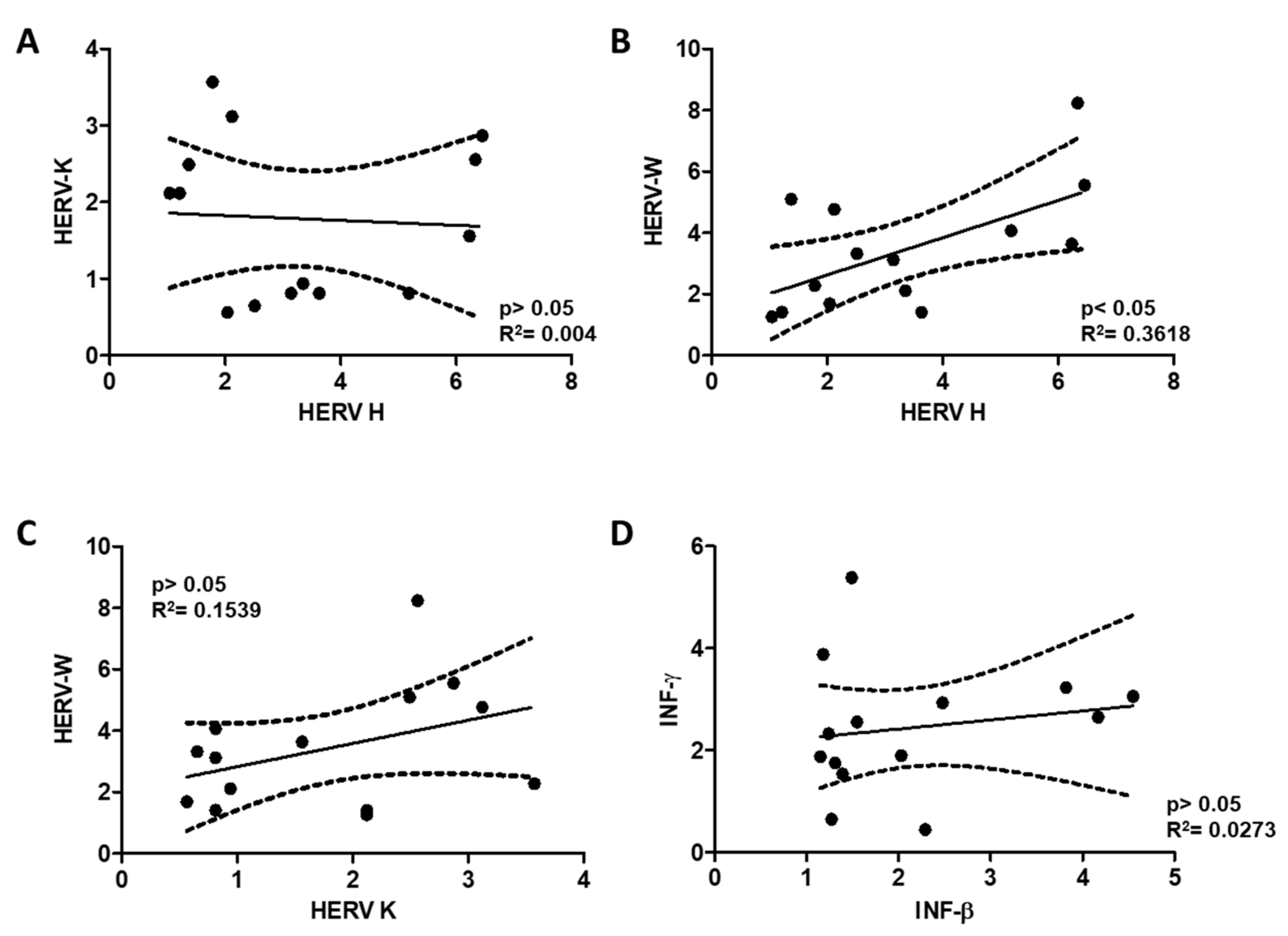
2.3. Interferon and TNF-α Levels in PBMCs of FM Patients Showing HERV Activation
2.4. tRNA Levels in FM Patients Overexpressing HERVs
3. Discussion
4. Materials and Methods
4.1. Participating Individuals and Associated Data
4.2. PBMC Isolation and Total RNA Extractions
4.3. RT-qPCR Amplification
4.4. Small RNA Northern Blot Analysis
4.5. Statistical Analysis and Plotting
5. Conclusions
Supplementary Materials
Author Contributions
Funding
Acknowledgments
Conflicts of Interest
Abbreviations
| HERV | Human Endogenous Retro Virus |
| TE | Transposable Element |
| INF | Interferon |
| TNF | Tumor Necrosis Factor |
| PBMC | Peripheral Blood Mononuclear Cell |
| ICD | International Classification of Diseases |
| FM | Fibromyalgia |
| ME/CFS | Myalgic Encephalomyelitis/Chronic Fatigue Syndrome |
| miRNA or miR | microRNA |
| tRNA | Transfer RNA |
| tsRNA | Transfer RNA small fragments |
References
- Boerma, T.; Harrison, J.; Jakob, R.; Mathers, C.; Schmider, A.; Weber, S. Revising the ICD: Explaining the WHO approach. Lancet 2016, 388, 2476–2477. [Google Scholar] [CrossRef]
- Wolfe, F.; Clauw, D.J.; Fitzcharles, M.A.; Goldenberg, D.L.; Katz, R.S.; Mease, P.; Russell, A.S.; Russell, I.J.; Winfield, J.B.; Yunus, M.B. The American College of Rheumatology preliminary diagnostic criteria for fibromyalgia and measurement of symptom severity. Arthritis Care Res. 2010, 62, 600–610. [Google Scholar] [CrossRef] [PubMed]
- Wolfe, F.; Clauw, D.J.; Fitzcharles, M.A.; Goldenberg, D.L.; Hauser, W.; Katz, R.L.; Mease, P.J.; Russell, A.S.; Russell, I.J.; Walitt, B. 2016 Revisions to the 2010/2011 fibromyalgia diagnostic criteria. Semin. Arthritis Rheum. 2016, 46, 319–329. [Google Scholar] [CrossRef]
- Jahan, F.; Nanji, K.; Qidwai, W.; Qasim, R. Fibromyalgia Syndrome: An Overview of Pathophysiology, Diagnosis and Management. Oman Med. J. 2012, 27, 192–195. [Google Scholar] [CrossRef] [PubMed]
- Rhudy, J.L.; DelVentura, J.L.; Terry, E.L.; Bartley, E.J.; Olech, E.; Palit, S.; Kerr, K.L. Emotional modulation of pain and spinal nociception in fibromyalgia. Pain 2013, 154, 1045–1056. [Google Scholar] [CrossRef] [PubMed]
- Fukuda, K.; Straus, S.E.; Hickie, I.; Sharpe, M.C.; Dobbins, J.G.; Komaroff, A. The chronic fatigue syndrome: A comprehensive approach to its definition and study. International Chronic Fatigue Syndrome Study Group. Ann. Intern. Med. 1994, 121, 953–959. [Google Scholar] [CrossRef] [PubMed]
- Carruthers, B.M.; Jain, A.K.; De Meirleir, K.L.; Peterson, D.L.; Klimas, N.G.; Lerner, A.; Bested, A.C.; Flor-Henry, P.; Joshi, P.; Powles, A.C.P.; et al. Myalgic encephalomyelitis/chronic fatigue syndrome: Clinical working case definition, diagnostic and treatment protocols. J. Chronic Fatigue Syndr. 2003, 11, 7–115. [Google Scholar] [CrossRef]
- Carruthers, B.M.; van de Sande, M.I.; De Meirleir, K.L.; Klimas, N.G.; Broderick, G.; Mitchell, T.; Staines, D.; Powles, A.C.P.; Speight, N.; Vallings, R.; et al. Myalgic encephalomyelitis: International Consensus Criteria. J. Intern. Med. 2011, 270, 3273–3278. [Google Scholar] [CrossRef]
- Committee on the Diagnostic Criteria for Myalgic Encephalomyelitis/Chronic Fatigue Syndrome, Board on the Health of Select Populations, Institute of Medicine. Beyond Myalgic Encephalomyelitis/ChronicFatigue Syndrome: Redefining an Illness; National Academies Press (US): Washington, DC, USA, 2015. [Google Scholar]
- Clayton, E.W. Beyond myalgic encephalomyelitis/chronic fatigue syndrome: A IOM report on redefining an illness. JAMA 2015, 313, 1101–1102. [Google Scholar] [CrossRef]
- Andrés-Rodríguez, L.; Borràs, X.; Feliu-Soler, A.; Pérez-Aranda, A.; Rozadilla-Sacanell, A.; Arranz, B.; Montero-Marin, J.; García-Campayo, J.; Angarita-Osorio, N.; Maes, M.; et al. Machine Learning to Understand the Immune-Inflammatory Pathways in Fibromyalgia. Int. J. Mol. Sci. 2019, 20, 4231. [Google Scholar]
- Strawbridge, R.; Sartor, M.L.; Scott, F.; Cleare, A.J. Inflammatory proteins are altered in chronic fatigue syndrome-A systematic review and meta-analysis. Neurosci. Biobehav. Rev. 2019, 107, 69–83. [Google Scholar] [CrossRef] [PubMed]
- Jiao, J.; Vincent, A.; Cha, S.S.; Luedtke, C.A.; Kim, C.H.; Oh, T.H. Physical Trauma and Infection as Precipitating Factors in Patients with Fibromyalgia. Am. J. Phys. Med. Rehabil. 2015, 94, 1075–1082. [Google Scholar] [CrossRef] [PubMed]
- Rasa, S.; Nora-Krukle, Z.; Henning, N.; Eliassen, E.; Shikova, E.; Harrer, T.; Scheibenbogen, C.; Murovska, M.; Prusty, B.K.; European Network on ME/CFS (EUROMENE). Chronic viral infections in myalgic encephalomyelitis/chronic fatigue syndrome (ME/CFS). J. Transl. Med. 2018, 16, 268. [Google Scholar] [CrossRef]
- Jones, G.T.; Atzeni, F.; Beasley, M.; Flu, B.E.; Sarzi-Puttini, P.; Macfarlane, G.J. The prevalence of fibromyalgia in the general population: A comparison of the American College of Rheumatology 1990, 2010, and modified 2010 classification criteria. Arthritis Rheumatol. 2015, 67, 568–575. [Google Scholar] [CrossRef]
- Estévez-López, F.; Castro-Marrero, J.; Wang, X.; Bakken, I.J.; Ivanovs, A.; Nacul, L.; Sepúlveda, N.; Strand, E.B.; Pheby, D.; European Network on ME/CFS (EUROMENE). Prevalence and incidence of myalgic encephalomyelitis/chronic fatigue syndrome in Europe- the Euro-epiME study from the European network EUROMENE: A protocol for a systematic review. BMJ Open 2018, 8, e020817. [Google Scholar] [CrossRef]
- Polli, A.; Godderis, L.; Ghosh, M.; Ickmans, K.; Nijs, J. Epigenetic and miRNA expression changes in people with pain: A systematic review. J. Pain 2019. [Google Scholar] [CrossRef]
- Surace, A.E.A.; Hedrich, C.M. The Role of Epigenetics in Autoimmune/Inflammatory Disease. Front. Immunol. 2019, 10, 1525. [Google Scholar] [CrossRef]
- Piletič, K.; Kunej, T. MicroRNA epigenetic signatures in human disease. Arch. Toxicol. 2016, 90, 2405–2419. [Google Scholar] [CrossRef]
- Menzies, V.; Lyon, D.E.; Archer, K.J.; Zhou, Q.; Brumelle, J.; Jones, K.H.; Gao, G.; York, T.P.; Jackson-Cook, C. Epigenetic alterations and an increased frequency of micronuclei in women with fibromyalgia. Nurs. Res. Pract. 2013, 2013, 795784. [Google Scholar] [CrossRef]
- De Andrade, D.C.; Maschietto, M.; Galhardoni, R.; Gouveia, G.; Chile, T.; Victorino Krepischi, A.C.; Dale, C.S.; Brunoni, A.R.; Parravano, D.V.; Cueva Moscoso, A.S.; et al. Epigenetics insights into chronic pain: DNA hypomethylation in fibromyalgia—A controlled pilot-study. Pain 2017, 158, 1473–1480. [Google Scholar]
- D’Agnelli, S.; Arendt-Nielsen, L.; Gerra, M.C.; Zatorri, K.; Boggiani, L.; Baciarello, M.; Bignami, E. Fibromyalgia: Genetics and epigenetics insights may provide the basis for the development of diagnostic biomarkers. Mol. Pain 2019, 15, 1744806918819944. [Google Scholar] [PubMed]
- Bjersing, J.L.; Lundborg, C.; Bokarewa, M.I.; Mannerkorpi, K. Profile of cerebrospinal microRNAs in fibromyalgia. PLoS ONE 2013, 8, e78762. [Google Scholar] [CrossRef] [PubMed]
- Bjersing, J.L.; Bokarewa, M.I.; Mannerkorpi, K. Profile of circulating microRNAs in fibromyalgia and their relation to symptom severity: An exploratory study. Rheumatol. Int. 2015, 35, 635–642. [Google Scholar] [CrossRef] [PubMed]
- Cerdá-Olmedo, G.; Mena-Durán, A.V.; Monsalve, V.; Oltra, E. Identification of a microRNA signature for the diagnosis of fibromyalgia. PLoS ONE 2015, 10, e0121903. [Google Scholar] [CrossRef]
- Masotti, A.; Baldassarre, A.; Guzzo, M.P.; Iannuccelli, C.; Barbato, C.; Di Franco, M. Circulating microRNA Profiles as Liquid Biopsies for the Characterization and Diagnosis of Fibromyalgia Syndrome. Mol. Neurobiol. 2017, 54, 7129–7136. [Google Scholar] [CrossRef]
- Leinders, M.; Doppler, K.; Klein, T.; Deckart, M.; Rittner, H.; Sommer, C.; Üçeyler, N. Increased cutaneous miR-let-7d expression correlates with small nerve fiber pathology in patients with fibromyalgia syndrome. Pain 2016, 157, 2493–2503. [Google Scholar] [CrossRef]
- Almenar-Pérez, E.; Sánchez-Fito, T.; Ovejero, T.; Nathanson, L.; Oltra, E. Impact of Polypharmacy on Candidate Biomarker miRNomes for the Diagnosis of Fibromyalgia and Myalgic Encephalomyelitis/Chronic Fatigue Syndrome: Striking Back on Treatments. Pharmaceutics 2019, 11, 126. [Google Scholar] [CrossRef]
- Brenu, E.W.; Staines, D.R.; Marshall-Gradisnik, S.M. Methylation profile of CD4+ T cells in chronic fatigue syndrome/myalgic encephalomyelitis. J. Clin. Cell Immunol. 2014, 5, 228. [Google Scholar]
- Trivedi, M.S.; Oltra, E.; Sarria, L.; Rose, N.; Beljanski, V.; Fletcher, M.A.; Klimas, N.G.; Nathanson, L. Identification of Myalgic Encephalomyelitis/Chronic Fatigue Syndrome-associated DNA methylation patterns. PLOS ONE 2018, 13, e0201066. [Google Scholar] [CrossRef]
- De Vega, W.C.; Erdman, L.; Vernon, S.D.; Goldenberg, A.; McGowan, P.O. Integration of DNA methylation & health scores identifies subtypes in myalgic encephalomyelitis/chronic fatigue syndrome. Epigenomics 2018, 10, 539–557. [Google Scholar]
- Hubley, R.; Finn, R.D.; Clements, J.; Eddy, S.R.; Jones, T.A.; Bao, W.; Smit, A.F.A.; Wheeler, T.J. The Dfam database of repetitive DNA families. Nucleic Acids Res. 2016, 44, D81–D89. [Google Scholar] [CrossRef] [PubMed]
- Saleh, A.; Macia, A.; Muotri, A.R. Transposable Elements, Inflammation, and Neurological Disease. Front. Neurol. 2019, 10, 894. [Google Scholar] [CrossRef] [PubMed]
- Almenar-Pérez, E.; Ovejero, T.; Sánchez-Fito, T.; Espejo, J.A.; Nathanson, L.; Oltra, E. Epigenetic Components of Myalgic Encephalomyelitis/Chronic Fatigue Syndrome Uncover Potential Transposable Element Activation. Clin. Ther. 2019, 41, 675–698. [Google Scholar] [CrossRef] [PubMed]
- Rodrigues, L.S.; Nali, L.H.D.S.; Leal, C.O.D.; Sabino, E.C.; Lacerda, E.M.; Kingdon, C.C.; Nacul, L.; Romano, C.M. HERV-K and HERV-W transcriptional activity in myalgic encephalomyelitis/chronic fatigue syndrome. Autoimmun. Highlights 2019, 10, 1–5. [Google Scholar] [CrossRef]
- Burckhardt, C.S.; Clark, S.R.; Bennett, R.M. The fibromyalgia impact questionnaire: Development and validation. J. Rheumatol. 1991, 18, 728–733. [Google Scholar]
- Rivera, J.; González, T. The Fibromyalgia Impact Questionnaire: A validated Spanish version to assess the health status in women with fibromyalgia. Clin. Exp. Rheumatol. 2004, 22, 554–560. [Google Scholar]
- Smets, E.; Garssen, B.; Bonke, B.; De Haes, J. The multidimensional Fatigue Inventory (MFI) psychometric qualities of an instrument to assess fatigue. J. Psychosom. Res. 1995, 39, 315–325. [Google Scholar] [CrossRef]
- McHorney, C.A.; Ware, J.E., Jr.; Raczek, A.E. The MOS 36-Item Short-Form Health Survey (SF-36): II. Psychometric and clinical tests of validity in measuring physical and mental health constructs. Med. Care 1993, 31, 247–263. [Google Scholar] [CrossRef]
- Johnston, J.B.; Silva, C.; Holden, J.; Warren, K.G.; Clark, A.W.; Power, C. Monocyte activation and differentiation augment human endogenous retrovirus expression: Implications for inflammatory brain diseases. Ann. Neurol. 2001, 50, 434–442. [Google Scholar] [CrossRef]
- Yang, T.; Yang, Y.; Wang, D.; Li, C.; Qu, Y.; Guo, J.; Shi, T.; Bo, W.; Sun, Z.; Asakawa, T. The clinical value of cytokines in chronic fatigue syndrome. J. Transl. Med. 2019, 17, 213. [Google Scholar] [CrossRef]
- Jungen, M.J.; Ter Meulen, B.; Van Osch, T.; Weinstein, H.; Ostelo, R. Inflammatory biomarkers in patients with sciatica: A systematic review. BMC Musculoskelet. Disord. 2019, 20, 156. [Google Scholar] [CrossRef] [PubMed]
- Boo, K.-H.; Yang, J.-S. Intrinsic Cellular Defenses against Virus Infection by Antiviral Type I Interferon. Yonsei Med. J. 2009, 51, 9–17. [Google Scholar] [CrossRef] [PubMed]
- Khabar, K.S.A.; Young, H.A. Post-transcriptional control of the interferon system. Biochim. 2007, 89, 761–769. [Google Scholar] [CrossRef]
- Oshiumi, H.; Mifsud, E.J.; Daito, T. Links between recognition and degradation of cytoplasmic viral RNA in innate immune response. Rev. Med. Virol. 2016, 26, 90–101. [Google Scholar] [CrossRef]
- Donovan, J.; Rath, S.; Kolet-Mandrikov, D.; Korennykh, A. Rapid RNase L-driven arrest of protein synthesis in the dsRNA response without degradation of translation machinery. RNA 2017, 23, 1660–1671. [Google Scholar] [PubMed]
- Andreoli, L.; Tincani, A. Undifferentiated connective tissue disease, fibromyalgia and the environmental factors. Curr. Opin. Rheumatol. 2017, 29, 355–360. [Google Scholar] [CrossRef]
- Newberry, F.; Hsieh, S.-Y.; Wileman, T.; Carding, S.R. Does the microbiome and virome contribute to myalgic encephalomyelitis/chronic fatigue syndrome? Clin. Sci. 2018, 132, 523–542. [Google Scholar] [CrossRef]
- Shimosako, N.; Kerr, J.R. Use of single-nucleotide polymorphisms (SNPs) to distinguish gene expression subtypes of chronic fatigue syndrome/myalgic encephalomyelitis (CFS/ME). J. Clin. Pathol. 2014, 67, 1078–1083. [Google Scholar] [CrossRef]
- Gheita, T.A.; Ezzat, Y.; Sayed, S.; El-Mardenly, G.; Hammam, W. Musculoskeletal manifestations in patients with malignant disease. Clin Rheumatol. 2010, 29, 181–188. [Google Scholar] [CrossRef]
- Chang, C.M.; Warren, J.L.; Engels, E.A. Chronic fatigue syndrome and subsequent risk of cancer among elderly US adults. Cancer 2012, 118, 5929–5936. [Google Scholar] [CrossRef]
- Martinez, G. tRNAs as primers and inhibitors of retrotransposons. Mob. Genet. Elements 2017, 7, 1–6. [Google Scholar] [CrossRef]
- Morandi, E.; Tanasescu, R.; Tarlinton, R.E.; Constantinescu, C.S.; Zhang, W.; Tench, C.; Gran, C. The association between human endogenous retroviruses and multiple sclerosis: A systematic review and meta-analysis. PLoS ONE 2017, 12, e0172415. [Google Scholar] [CrossRef]
- Wu, Z.; Mei, X.; Zhao, D.; Sun, Y.; Song, J.; Pan, W.; Shi, W. DNA methylation modulates HERV-E expression in CD4+ T cells from systemic lupus erythematosus patients. J. Dermatol. Sci. 2015, 77, 110–116. [Google Scholar] [CrossRef] [PubMed]
- Perot, P.; Mugnier, N.; Montgiraud, C.; Gimenez, J.; Jaillard, M.; Bonnaud, B.; Mallet, F. Microarray-Based Sketches of the HERV Transcriptome Landscape. PLOS ONE 2012, 7, e40194. [Google Scholar] [CrossRef] [PubMed]
- Jin, Y.; Tam, O.; Paniagua, E.; Hammell, M.G. TEtranscripts: A package for including transposable elements in differential expression analysis of RNA-seq datasets. Bioinform. 2015, 31, 3593–3599. [Google Scholar] [CrossRef]
- Yang, W.R.; Ardeljan, D.; Pacyna, C.N.; Payer, L.; Burns, K.H. SQuIRE reveals locus-specific regulation of interspersed repeat expression. Nucl. Acids Res. 2019, 47, e27. [Google Scholar] [CrossRef]
- Tanaka, N.; Meineke, B.; Shuman, S. RtcB, a Novel RNA Ligase, Can Catalyze tRNA Splicing and HAC1 mRNA Splicing in Vivo*. J. Boil. Chem. 2011, 286, 30253–30257. [Google Scholar] [CrossRef]
- Bazzichi, L.; Rossi, A.; Massimetti, G.; Giannaccini, G.; Giuliano, T.; De Feo, F.; Ciapparelli, A.; Dell’Osso, L.; Bombardieri, S. Cytokine patterns in fibromyalgia and their correlation with clinical manifestations. Clin. Exp. Rheumatol. 2007, 25, 225–230. [Google Scholar]
- Olszewski, M.; Groot, A.J.; Dastych, J.; Knol, E.F. TNF trafficking to human mast cell granules: Mature chain-dependent endocytosis. J. Immunol. 2007, 178, 5701–5709. [Google Scholar] [CrossRef]
- Olsnes, C.; Stavang, H.; Olofsson, J.; Aarstad, H.J. TNF-alpha is secreted by monocytes in transit to become macrophages, but not by peripheral blood monocytes, following OK-432 (lyophilized S. pyogenes) stimulation. Scand. J. Immunol. 2007, 66, 684–693. [Google Scholar] [CrossRef]
- Harley, J.B.; Gallagher, G. Lupus and interleukin 10. J. Rheumatol. 1998, 24, 2273–2275. [Google Scholar]
- Hasler, D.; Lehmann, G.; Murakawa, Y.; Klironomos, F.; Jakob, L.; Grässer, F.A.; Rajewsky, N.; Landthaler, M.; Meister, G. The Lupus Autoantigen La Prevents Mis-channeling of tRNA Fragments into the Human MicroRNA Pathway. Mol. Cell 2016, 63, 110–124. [Google Scholar] [CrossRef] [PubMed]
- Slota, J.A.; Booth, S.A. MicroRNAs in Neuroinflammation: Implications in Disease Pathogenesis, Biomarker Discovery and Therapeutic Applications. Non Coding RNA 2019, 5, 35. [Google Scholar] [CrossRef]
- NINDS. Common Data Elements. Available online: https://www.commondataelements.ninds.nih.gov/Myalgic%20Encephalomyelitis/Chronic%20Fatigue%20Syndrome (accessed on 22 December 2019).
- Nellåker, C.; Yao, Y.; Jones-Brando, L.; Mallet, F.; Yolken, R.H.; Karlsson, H. Transactivation of elements in the human endogenous retrovirus W family by viral infection. Retrovirology 2006, 3, 44. [Google Scholar] [CrossRef]
- Ahn, K.; Kim, H.-S. Structural and quantitative expression analyses of HERV gene family in human tissues. Mol. Cells 2009, 28, 99–103. [Google Scholar] [CrossRef]
- Mwale, F.; Wang, H.; Johnson, A.J.; Mont, M.A.; Antoniou, J. Abnormal vascular endothelial growth factor expression in mesenchymal stem cells from both osteonecrotic and osteoarthritic hips. Bull. NYU Hosp. Jt. Dis. 2011, 69 (Suppl. 1), S56–S61. [Google Scholar]
- Summer, H.; Grämer, R.; Dröge, P. Denaturing Urea Polyacrylamide Gel Electrophoresis (Urea PAGE). J. Vis. Exp. 2009, 32, e1485. [Google Scholar] [CrossRef]
- Schneider, C.A.; Rasband, W.S.; Eliceiri, K.W. NIH Image to ImageJ: 25 years of image analysis. Nat. Methods 2012, 9, 671–675. [Google Scholar] [CrossRef]






| Questionnaire | Mean | SD±SE | Range |
|---|---|---|---|
| FIQ | |||
| Total FIQ | 74.88 | 12.59±3.49 | 56.30-92.93 |
| Function | 5.76 | 1.847 ± 0.51 | 2.64-8.91 |
| Overall | 7.81 | 3.58 ± 0.99 | 1.43-10.01 |
| Symptoms | 6.38 | 2.955 ± 0.82 | 4.29-10.01 |
| MFI | |||
| General Fatigue | 17.31 | 3.23 ± 0.89 | 10-20 |
| Physical Fatigue | 17.00 | 2.97 ± 0.82 | 12-20 |
| Reduced Activity | 17.00 | 2.97 ± 0.82 | 12-20 |
| Reduced Motivation | 15.62 | 3.07 ± 0.85 | 11-20 |
| Mental Fatigue | 16.15 | 2.97 ± 0.82 | 12-20 |
| SF-36 | |||
| Physical Functioning (PF) | 33.75 | 17.73 ± 5.12 | 5-65 |
| Role Physical (RP) | 0.00 | 0.00 ± 0.00 | 0 |
| Bodily Pain (BP) | 22.08 | 17.48 ± 5.05 | 0-57.5 |
| General Health (GH) | 18.33 | 17.49 ± 5.05 | 0-45 |
| Vitality (VT) | 12.92 | 11.37 ± 3.28 | 0-35 |
| Social Functioning (SF) | 28.54 | 20.27 ± 5.85 | 0-77.5 |
| Role Emotional (RE) | 25.00 | 45.23±13.06 | 0-100 |
| Mental Health (MH) | 47.67 | 19.48 ± 5.62 | 28-80 |
| Primer | Sequence | Reference |
|---|---|---|
| HERV-W F | 5′-GGCCAGGCATCAGCCCAAGACTTG-3′ | [40] |
| HERV-W R | 5′-CTTTAGGGCCTGGAAAGCCACT-3′ | |
| HERV-H F | 5′-CTTTTATTACCCAATCTGCTCCCGAYAT-3′ | [40] |
| HERV-H R | 5′-TTTAGTGGTGGACAGTCTCTTTTCCARTG-3′ | |
| Interferon-β-F | 5′-ACCTCCGAAACTGAAGATCTCCTA-3′ | [66] |
| Interferon-β-R | 5′-TGCTGGTTGAAGAATGCTTGA-3′ | |
| Interferon-γ-F | 5′-GTGGAGACCATCAAGGAAGACA-3′ | self-designed |
| Interferon-γ-R | 5′-TGCTTTGCGTTGGACATTCA-3′ | |
| HERV-K env-F | 5′-CACAACTAAAGAAGCTGACG-3′ | [67] |
| HERV-K env-R | 5′-CATAGGCCCAGTTGGTATAG-3′ | |
| TNF-α F | 5′-AAGCCTGTAGCCCATGTTGTAGC-3′ | [40] |
| TNF-α R | 5′-GCCCCTCCACCATGTACTCCTCACC-3′ | |
| GAPDH F | 5′-TGAAGGTCGGAGTCAACGGAT-3′ | [68] |
| GAPDH R | 5′-TTCTCAGCCTTGACGGTGCCA-3′ |
© 2020 by the authors. Licensee MDPI, Basel, Switzerland. This article is an open access article distributed under the terms and conditions of the Creative Commons Attribution (CC BY) license (http://creativecommons.org/licenses/by/4.0/).
Share and Cite
Ovejero, T.; Sadones, O.; Sánchez-Fito, T.; Almenar-Pérez, E.; Espejo, J.A.; Martín-Martínez, E.; Nathanson, L.; Oltra, E. Activation of Transposable Elements in Immune Cells of Fibromyalgia Patients. Int. J. Mol. Sci. 2020, 21, 1366. https://doi.org/10.3390/ijms21041366
Ovejero T, Sadones O, Sánchez-Fito T, Almenar-Pérez E, Espejo JA, Martín-Martínez E, Nathanson L, Oltra E. Activation of Transposable Elements in Immune Cells of Fibromyalgia Patients. International Journal of Molecular Sciences. 2020; 21(4):1366. https://doi.org/10.3390/ijms21041366
Chicago/Turabian StyleOvejero, Tamara, Océane Sadones, Teresa Sánchez-Fito, Eloy Almenar-Pérez, José Andrés Espejo, Eva Martín-Martínez, Lubov Nathanson, and Elisa Oltra. 2020. "Activation of Transposable Elements in Immune Cells of Fibromyalgia Patients" International Journal of Molecular Sciences 21, no. 4: 1366. https://doi.org/10.3390/ijms21041366
APA StyleOvejero, T., Sadones, O., Sánchez-Fito, T., Almenar-Pérez, E., Espejo, J. A., Martín-Martínez, E., Nathanson, L., & Oltra, E. (2020). Activation of Transposable Elements in Immune Cells of Fibromyalgia Patients. International Journal of Molecular Sciences, 21(4), 1366. https://doi.org/10.3390/ijms21041366

