Essential Oils Biofilm Modulation Activity, Chemical and Machine Learning Analysis—Application on Staphylococcus aureus Isolates from Cystic Fibrosis Patients
Abstract
1. Introduction
2. Results
2.1. Biofilm Production Modulation by EOs at Selected Fixed Concentrations
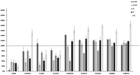
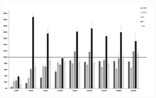
2.2. Quantitative Analysis of Biofilm Production by S. aureus Strains Treated with Selected EOs
2.3. SEM Observation of Eos Action on Biofilm Formation
2.4. Essential Oil Chemical Composition
2.5. Machine Learning Binary Classification
2.5.1. Datasets
2.5.2. Classification Models
Chemical Components Importance and Partial Dependences
Chemical Components Importance and Partial Dependences at 40% Biofilm Production Threshold Value
Chemical Components Importance and Partial Dependences at 80% Biofilm Production Threshold Value
Chemical Components Importance and Partial Dependences at 120% Biofilm Production Threshold Value
Chemical Components Importance and Partial Dependences for Antimicrobial Activity
3. Discussion
4. Materials and Methods
4.1. Ethics Approval and Informed Consent
4.2. S. aureus Clinical Isolates from CF Patients Used for the Biofilm Production Assays
4.3. Biofilm Production Assay in Presence of EO
4.4. SEM Protocols
4.5. Statistical Analysis of Biological Evaluation
4.6. Essential Oil Chemical Composition Analysis
4.7. Machine Learning Binary Classification
Supplementary Materials
Author Contributions
Funding
Conflicts of Interest
References
- Goss, C.H.; Muhlebach, M.S. Review: Staphylococcus aureus and mrsa in cystic fibrosis. J. Cyst. Fibros 2011, 10, 298–306. [Google Scholar] [CrossRef] [PubMed]
- Razvi, S.; Quittell, L.; Sewall, A.; Quinton, H.; Marshall, B.; Saiman, L. Respiratory microbiology of patients with cystic fibrosis in the united states, 1995 to 2005. Chest 2009, 136, 1554–1560. [Google Scholar] [CrossRef]
- Ren, C.L.; Morgan, W.J.; Konstan, M.W.; Schechter, M.S.; Wagener, J.S.; Fisher, K.A.; Regelmann, W.E.; Investigators and Coordinators of the Epidemiologic Study of Cystic Fibrosis. Presence of methicillin resistant staphylococcus aureus in respiratory cultures from cystic fibrosis patients is associated with lower lung function. Pediatr. Pulmonol. 2007, 42, 513–518. [Google Scholar] [CrossRef]
- Lange, J.; Heidenreich, K.; Higelin, K.; Dyck, K.; Marx, V.; Reichel, C.; Wamel, W.V.; Reijer, M.D.; Gorlich, D.; Kahl, B.C. Staphylococcus aureus pathogenicity in cystic fibrosis patients-results from an observational prospective multicenter study concerning virulence genes, phylogeny, and gene plasticity. Toxins 2020, 12, 279. [Google Scholar] [CrossRef]
- Wertheim, H.F.; Vos, M.C.; Ott, A.; van Belkum, A.; Voss, A.; Kluytmans, J.A.; van Keulen, P.H.; Vandenbroucke-Grauls, C.M.; Meester, M.H.; Verbrugh, H.A. Risk and outcome of nosocomial staphylococcus aureus bacteraemia in nasal carriers versus non-carriers. Lancet 2004, 364, 703–705. [Google Scholar] [CrossRef]
- Molina, A.; Del Campo, R.; Maiz, L.; Morosini, M.I.; Lamas, A.; Baquero, F.; Canton, R. High prevalence in cystic fibrosis patients of multiresistant hospital-acquired methicillin-resistant staphylococcus aureus st228-sccmeci capable of biofilm formation. J. Antimicrob. Chemother. 2008, 62, 961–967. [Google Scholar] [CrossRef] [PubMed]
- Dasenbrook, E.C.; Merlo, C.A.; Diener-West, M.; Lechtzin, N.; Boyle, M.P. Persistent methicillin-resistant staphylococcus aureus and rate of fev1 decline in cystic fibrosis. Am. J. Respir. Crit. Care Med. 2008, 178, 814–821. [Google Scholar] [CrossRef]
- Ghosh, A.; Jayaraman, N.; Chatterji, D. Small-molecule inhibition of bacterial biofilm. ACS Omega 2020, 5, 3108–3115. [Google Scholar] [CrossRef] [PubMed]
- Cusumano, Z.T.; Klein, R.D.; Hultgren, S.J. Innovative solutions to sticky situations: Antiadhesive strategies for treating bacterial infections. Microbiol. Spectr. 2016, 4. [Google Scholar] [CrossRef]
- Verderosa, A.D.; Totsika, M.; Fairfull-Smith, K.E. Bacterial biofilm eradication agents: A current review. Front. Chem. 2019, 7, 824. [Google Scholar] [CrossRef]
- Martinez, M.; Goncalves, S.; Felicio, M.R.; Maturana, P.; Santos, N.C.; Semorile, L.; Hollmann, A.; Maffia, P.C. Synergistic and antibiofilm activity of the antimicrobial peptide p5 against carbapenem-resistant pseudomonas aeruginosa. Biochim. Biophys. Acta Biomembr. 2019, 1861, 1329–1337. [Google Scholar] [CrossRef] [PubMed]
- Nair, S.; Desai, S.; Poonacha, N.; Vipra, A.; Sharma, U. Antibiofilm activity and synergistic inhibition of staphylococcus aureus biofilms by bactericidal protein p128 in combination with antibiotics. Antimicrob. Agents Chemother. 2016, 60, 7280–7289. [Google Scholar] [PubMed]
- Espina, L.; Pagan, R.; Lopez, D.; Garcia-Gonzalo, D. Individual constituents from essential oils inhibit biofilm mass production by multi-drug resistant staphylococcus aureus. Molecules 2015, 20, 11357–11372. [Google Scholar] [CrossRef] [PubMed]
- Pesavento, G.; Maggini, V.; Maida, I.; Lo Nostro, A.; Calonico, C.; Sassoli, C.; Perrin, E.; Fondi, M.; Mengoni, A.; Chiellini, C.; et al. Essential oil from origanum vulgare completely inhibits the growth of multidrug-resistant cystic fibrosis pathogens. Nat. Prod. Commun. 2016, 11, 861–864. [Google Scholar] [CrossRef]
- Bakkali, F.; Averbeck, S.; Averbeck, D.; Idaomar, M. Biological effects of essential oils--a review. Food. Chem. Toxicol. 2008, 46, 446–475. [Google Scholar] [CrossRef]
- Solorzano-Santos, F.; Miranda-Novales, M.G. Essential oils from aromatic herbs as antimicrobial agents. Curr. Opin. Biotechnol. 2012, 23, 136–141. [Google Scholar] [CrossRef]
- Artini, M.; Patsilinakos, A.; Papa, R.; Bozovic, M.; Sabatino, M.; Garzoli, S.; Vrenna, G.; Tilotta, M.; Pepi, F.; Ragno, R.; et al. Antimicrobial and antibiofilm activity and machine learning classification analysis of essential oils from different mediterranean plants against pseudomonas aeruginosa. Molecules 2018, 23, 482. [Google Scholar] [CrossRef]
- Patsilinakos, A.; Artini, M.; Papa, R.; Sabatino, M.; Bozovic, M.; Garzoli, S.; Vrenna, G.; Buzzi, R.; Manfredini, S.; Selan, L.; et al. Machine learning analyses on data including essential oil chemical composition and in vitro experimental antibiofilm activities against staphylococcus species. Molecules 2019, 24, 890. [Google Scholar] [CrossRef]
- Ragno, R.; Papa, R.; Patsilinakos, A.; Vrenna, G.; Garzoli, S.; Tuccio, V.; Fiscarelli, E.; Selan, L.; Artini, M. Essential oils against bacterial isolates from cystic fibrosis patients by means of antimicrobial and unsupervised machine learning approaches. Sci. Rep. 2020, 10, 2653. [Google Scholar] [CrossRef]
- Civitelli, L.; Panella, S.; Marcocci, M.E.; De Petris, A.; Garzoli, S.; Pepi, F.; Vavala, E.; Ragno, R.; Nencioni, L.; Palamara, A.T.; et al. In vitro inhibition of herpes simplex virus type 1 replication by mentha suaveolens essential oil and its main component piperitenone oxide. Phytomedicine 2014, 21, 857–865. [Google Scholar] [CrossRef]
- Tobi, H.; Kampen, J.K. Research design: The methodology for interdisciplinary research framework. Qual. Quant. 2018, 52, 1209–1225. [Google Scholar] [CrossRef] [PubMed]
- Garzoli, S.; Pirolli, A.; Vavala, E.; Di Sotto, A.; Sartorelli, G.; Bozovic, M.; Angiolella, L.; Mazzanti, G.; Pepi, F.; Ragno, R. Multidisciplinary approach to determine the optimal time and period for extracting the essential oil from mentha suaveolens ehrh. Molecules 2015, 20, 9640–9655. [Google Scholar] [CrossRef] [PubMed]
- DiMucci, D.; Kon, M.; Segre, D. Machine learning reveals missing edges and putative interaction mechanisms in microbial ecosystem networks. mSystems 2018, 3. [Google Scholar] [CrossRef] [PubMed]
- Qu, K.; Guo, F.; Liu, X.; Lin, Y.; Zou, Q. Application of machine learning in microbiology. Front. Microbiol. 2019, 10, 827. [Google Scholar] [CrossRef] [PubMed]
- Sabatino, M.; Fabiani, M.; Bozovic, M.; Garzoli, S.; Antonini, L.; Marcocci, M.E.; Palamara, A.T.; De Chiara, G.; Ragno, R. Experimental data based machine learning classification models with predictive ability to select in vitro active antiviral and non-toxic essential oils. Molecules 2020, 25, 2452. [Google Scholar] [CrossRef] [PubMed]
- Zheng, A. Evaluating Machine Learning Models; O’Reilly Media, Inc.: Sebastopol, CA, USA, 2015. [Google Scholar]
- Chicco, D.; Jurman, G. The advantages of the matthews correlation coefficient (mcc) over f1 score and accuracy in binary classification evaluation. BMC Genom. 2020, 21, 6. [Google Scholar] [CrossRef]
- Halimu, C.; Kasem, A.; Newaz, S.H.S. Empirical comparison of area under roc curve (auc) and mathew correlation coefficient (mcc) for evaluating machine learning algorithms on imbalanced datasets for binary classification. In Proceedings of the 3rd International Conference on Machine Learning and Soft Computing (Icmlsc 2019), Da Lat, Vietnam, 25–27 January 2019; pp. 1–6. [Google Scholar]
- Akoglu, H. User’s guide to correlation coefficients. Turk. J. Emerg. Med. 2018, 18, 91–93. [Google Scholar] [CrossRef] [PubMed]
- Powers, D.; Ailab. Evaluation: From precision, recall and f-measure to roc, informedness, markedness & correlation. J. Mach. Learn. Technol. 2011, 2, 2229–3981. [Google Scholar]
- Purkait, S.; Bhattacharya, A.; Bag, A.; Chattopadhyay, R.R. Evaluation of antibiofilm efficacy of essential oil components beta-caryophyllene, cinnamaldehyde and eugenol alone and in combination against biofilm formation and preformed biofilms of listeria monocytogenes and salmonella typhimurium. Lett. Appl. Microbiol. 2020. [Google Scholar] [CrossRef]
- Al-Shabib, N.A.; Husain, F.M.; Ahmad, I.; Baig, M.H. Eugenol inhibits quorum sensing and biofilm of toxigenic mrsa strains isolated from food handlers employed in saudi arabia. Biotechnol. Biotechnol. Equip. 2017, 31, 387–396. [Google Scholar] [CrossRef]
- Yadav, M.K.; Chae, S.W.; Im, G.J.; Chung, J.W.; Song, J.J. Eugenol: A phyto-compound effective against methicillin-resistant and methicillin-sensitive staphylococcus aureus clinical strain biofilms. PLoS ONE 2015, 10, e0119564. [Google Scholar] [CrossRef] [PubMed]
- Yoo, H.J.; Jwa, S.K. Inhibitory effects of beta-caryophyllene on streptococcus mutans biofilm. Arch. Oral Biol. 2018, 88, 42–46. [Google Scholar] [CrossRef] [PubMed]
- Trevisan, D.A.C.; da Silva, A.F.; Negri, M.; de Abreu, B.A.; Machinski, M.; Patussi, E.V.; Campanerut-Sa, P.A.Z.; Mikcha, J.M.G. Antibacterial and antibiofilm activity of carvacrol against salmonella enterica serotype typhimurium. Braz. J. Pharm. Sci. 2018, 54. [Google Scholar] [CrossRef]
- Subramenium, G.A.; Vijayakumar, K.; Pandian, S.K. Limonene inhibits streptococcal biofilm formation by targeting surface-associated virulence factors. J. Med. Microbiol. 2015, 64, 879–890. [Google Scholar] [CrossRef] [PubMed]
- Apolonio, J.; Faleiro, M.L.; Miguel, M.G.; Neto, L. No induction of antimicrobial resistance in staphylococcus aureus and listeria monocytogenes during continuous exposure to eugenol and citral. FEMS Microbiol. Lett. 2014, 354, 92–101. [Google Scholar] [CrossRef] [PubMed]
- Kifer, D.; Muzinic, V.; Klaric, M.S. Antimicrobial potency of single and combined mupirocin and monoterpenes, thymol, menthol and 1,8-cineole against staphylococcus aureus planktonic and biofilm growth. J. Antibiot. 2016, 69, 689–696. [Google Scholar] [CrossRef]
- Le, K.Y.; Dastgheyb, S.; Ho, T.V.; Otto, M. Molecular determinants of staphylococcal biofilm dispersal and structuring. Front. Cell Infect. Microbiol. 2014, 4, 167. [Google Scholar] [CrossRef]
- Langeveld, W.T.; Veldhuizen, E.J.A.; Burt, S.A. Synergy between essential oil components and antibiotics: A review. Crit. Rev. Microbiol. 2014, 40, 76–94. [Google Scholar] [CrossRef]
- Kerem, E.; Conway, S.; Elborn, S.; Heijerman, H.; Consensus, C. Standards of care for patients with cystic fibrosis: A european consensus. J. Cyst. Fibros 2005, 4, 7–26. [Google Scholar] [CrossRef]
- Aggarwal, S.; Jena, S.; Panda, S.; Sharma, S.; Dhawan, B.; Nath, G.; Singh, N.P.; Nayak, K.C.; Singh, D.V. Antibiotic susceptibility, virulence pattern, and typing of staphylococcus aureus strains isolated from variety of infections in india. Front. Microbiol. 2019, 10, 2763. [Google Scholar] [CrossRef]
- Entenza, J.M.; Betrisey, B.; Manuel, O.; Giddey, M.; Sakwinska, O.; Laurent, F.; Bizzini, A. Rapid detection of staphylococcus aureus strains with reduced susceptibility to vancomycin by isothermal microcalorimetry. J. Clin. Microbiol. 2014, 52, 180–186. [Google Scholar] [CrossRef] [PubMed]
- Bossu, M.; Selan, L.; Artini, M.; Relucenti, M.; Familiari, G.; Papa, R.; Vrenna, G.; Spigaglia, P.; Barbanti, F.; Salucci, A.; et al. Characterization of scardovia wiggsiae biofilm by original scanning electron microscopy protocol. Microorganisms 2020, 8, 807. [Google Scholar] [CrossRef] [PubMed]
- Bossu, M.; Saccucci, M.; Salucci, A.; Di Giorgio, G.; Bruni, E.; Uccelletti, D.; Sarto, M.S.; Familiari, G.; Relucenti, M.; Polimeni, A. Enamel remineralization and repair results of biomimetic hydroxyapatite toothpaste on deciduous teeth: An effective option to fluoride toothpaste. J. Nanobiotechnol. 2019, 17, 17. [Google Scholar] [CrossRef] [PubMed]
- Lo Torto, F.; Relucenti, M.; Familiari, G.; Vaia, N.; Casella, D.; Matassa, R.; Miglietta, S.; Marinozzi, F.; Bini, F.; Fratoddi, I.; et al. The effect of postmastectomy radiation therapy on breast implants: Material analysis on silicone and polyurethane prosthesis. Ann. Plast Surg. 2018, 81, 228–234. [Google Scholar] [CrossRef]
- Relucenti, M.; Miglietta, S.; Covelli, E.; Familiari, P.; Battaglione, E.; Familiari, G.; Barbara, M. Ciliated cell observation by sem on the surface of human incudo-malleolar-joint articular cartilage: Are they a new chondrocyte phenotype? Acta Otolaryngol. 2019, 139, 439–443. [Google Scholar] [CrossRef]
- Pedregosa, F.; Varoquaux, G.; Gramfort, A.; Michel, V.; Thirion, B.; Grisel, O.; Blondel, M.; Prettenhofer, P.; Weiss, R.; Dubourg, V.; et al. Scikit-learn: Machine learning in python. J. Mach. Learn. Res. 2011, 12, 2825–2830. [Google Scholar]
- Pechenizkiy, M.; Tsymbal, A.; Puuronen, S. Pca-based feature transformation for classification: Issues in medical diagnostics. In Proceedings of the 17th IEEE Symposium on Computer-Based Medical Systems, Bethesda, MD, USA, 25 June 2004; pp. 535–540. [Google Scholar]
- Bergstra, J.; Bardenet, R.; Kégl, B.; Bengio, Y. Algorithms for hyper-parameter optimization. In Proceedings of the 24th International Conference on Neural Information Processing Systems, Granada, Spain, 12–14 December 2011; pp. 2546–2554. [Google Scholar]
- Friedman, J.H. Greedy function approximation: A gradient boosting machine. Ann. Stat. 2001, 29, 1189–1232. [Google Scholar] [CrossRef]
- Choudhary, P.; Kramer, A.; datascience.com Team. Datascienceinc/Skater: Enable Interpretability via Rule Extraction(brl). Zenodo: 2018. Available online: https://zenodo.org/record/1198885#.X8jTC2VKjcN (accessed on 5 March 2018).
- Wei, P.; Lu, Z.; Song, J. Variable importance analysis: A comprehensive review. Reliab. Eng. Syst. Saf. 2015, 142, 399–432. [Google Scholar] [CrossRef]
- Baldi, P.; Brunak, S.; Chauvin, Y.; Andersen, C.A.F.; Nielsen, H. Assessing the accuracy of prediction algorithms for classification: An overview. Bioinformatics 2000, 16, 412–424. [Google Scholar] [CrossRef]









| N° | Chemical Component 1 | LRI 2 | LRI 3 | Peak Area (%) | |
|---|---|---|---|---|---|
| EO45 | EO58 | ||||
| 1 | α-pinene | 1031 | 1035 | 6.9 | 1.0 | 
| 2 | β-pinene | 1100 | 1105 | 6.3 | 3.8 | 
| 3 | sabinene | 1103 | 1107 | 7.2 | 0.6 | 
| 4 | 3-carene | 1142 | 1146 | 5.9 | - | 
| 5 | limonene | 1211 | 1210 | 11.1 | 8.8 | 
| 6 | β-ocimene | 1242 | 1239 | - | 0.1 | 
| 7 | γ-terpinene | 1251 | 1248 | - | 0.1 | 
| 8 | p-cymene | 1290 | 1287 | 1.1 | - | 
| 9 | δ-elemene | 1466 | 1465 | 2.7 | - | 
| 10 | α-cubebene | 1482 | 1481 | - | 0.5 | 
| 11 | α-copaene | 1485 | 1487 | 5.4 | - | 
| 12 | α-gurjunene | 1530 | 1527 | - | 0.4 | 
| 13 | linalool | 1533 | 1536 | 0.6 | - | 
| 14 | β-cubebene | 1546 | 1541 | 0.7 | - | 
| 15 | α-bergamotene | 1568 | 1566 | 0.1 | - | 
| 16 | β-elemene | 1600 | 1598 | 0.7 | - | 
| 17 | cyclohexanone, 2-(1-methylethylidene)- | 1611 | * | - | 1.0 | 
| 18 | terpinen-4-ol | 1628 | 1630 | 0.4 | 0.7 | 
| 19 | myrtenal | 1634 | 1632 | - | 0.3 | 
| 20 | β-caryophyllene | 1638 | 1634 | 33.6 | 7.3 | 
| 21 | pulegone | 1670 | 1665 | - | 59.8 | 
| 22 | γ-muurolene | 1674 | 1676 | 0.2 | - | 
| 23 | α-muurolene | 1692 | 1690 | 0.4 | 0.2 | 
| 24 | humulene | 1694 | 1693 | 2.4 | 1.1 | 
| 25 | germacrene D | 1728 | 1726 | - | 5.2 | 
| 26 | β-bisabolene | 1733 | 1733 | 1.9 | - | 
| 27 | β-eudesmene | 1748 | 1750 | 0.5 | - | 
| 28 | γ-cadinene | 1751 | 1753 | - | 0.2 | 
| 29 | δ-cadinene | 1760 | 1758 | 0.9 | - | 
| 30 | calamenene | 1832 | 1827 | 0.3 | 0.7 | 
| 31 | jasmone | 1952 | 1947 | - | 0.6 | 
| 32 | caryophyllene oxide | 1963 | 1960 | 9.7 | 0.2 | 
| 33 | humulene epoxide 2 | 2038 | 2040 | 0.5 | - | 
| 34 | cubenol | 2070 | 2074 | - | 0.2 | 
| 35 | spathulenol | 2133 | 2136 | 0.4 | - | 
| 36 | τ-muurolol | 2172 | 2178 | - | 0.1 | 
| 37 | thymol | 2184 | 2189 | - | 1.2 | 
| 38 | cinerolon | 2190 | * | - | 4.6 | 
| 39 | α-cadinol | 2220 | 2218 | - | 0.2 | 
| 40 | epi-bicyclosesquiphellandrene | 2230 | * | - | 0.9 | 
| Total (%) | 99.9 | 99.8 | |||
| ML Id a | Comb b | Strain c | ML Alg d | Nlevel e | MCC f | AUC g | Hyperparameters h | 
|---|---|---|---|---|---|---|---|
| ML1 | 1A | 6538P | svm | 4 | 0.94 | 0.98 | P i: True; k j: rbf; Cw k: {0: 1.0; 1: 3.0}; C l: 1 | 
| ML2 | 2A | 25923 | gb | 1 | 1 | 1 | ne l: 188; msl m: 18; md n: 33 | 
| ML3 | 2B | 25923 | dt | 4 | 0.54 | 0.69 | S v: best; mss w: 6; msl: 6; Mf x: None; md: 1; cr y: gini; cw: {0: 1.4; 1: 1.0} | 
| ML4 | 1C | 6538P | dt | 1 | 0.52 | 0.74 | cw: {0: 1.0; 1: 1.4}; cr: gini; md: 9; mf: None; msl: 5; mss: 4; s: best | 
| ML5 | 2C | 25923 | dt | 2 | 0.66 | 0.8 | s: best; mss: 11; msl: 6; mf: None; md: 16; cr: entropy; cw: {0: 1.2; 1: 1.0} | 
| ML6 | 6A | 6538P | svm | 1 | 0.82 | 0.9 | p: True; k: rbf; cw: {0: 1.0; 1: 1.3}; C: 41 | 
| ML7 | 7A | 25923 | dt | 3 | 0.61 | 0.78 | s: best; mss: 15; msl: 3; mf: None; md: 20; cr: gini; cw: {0: 2.5; 1: 1.0} | 
| ML8 | 6B | 6538P | lr | 1 | 0.73 | 0.84 | Sl z: newton-cg; pen aa: l2; mibb: 10000; cw: {0: 1.4; 1: 1.0}; C: 11 | 
| ML9 | 7B | 25923 | dt | 3 | 0.52 | 0.77 | s: best; mss: 6; msl: 1; mf: None; md: 6; cr: gini; cw: {0: 2.5; 1: 1.0} | 
| ML10 | 6C | 6538P | dt | 2 | 0.58 | 0.77 | s: best; mss: 11; msl: 11; mf: None; md: 11; cr: entropy; cw: 0: 1.5; 1: 1.0 | 
| ML11 | 7C | 25923 | dt | 4 | 0.56 | 0.65 | s: best; mss: 11; msl: 11; mf: None; md: 11; cr: entropy; cw: 0: 1.5; 1: 1.0 | 
| ML12 | 11A | 6538P | svm | 1 | 0.64 | 0.76 | p: True; k: rbf; cw: 0: 1.0; 1: 2.0; C: 4 | 
| ML13 | 14A | 5S | dt | 4 | 0.68 | 0.74 | cw: 0: 1.3; 1: 1.0; cr: gini; md: 14; mf: None; msl: 4; mss: 19; s: best | 
| ML14 | 11B | 6538P | gb | 1 | 0.57 | 0.68 | ne: 151; msl: 11; md: 61 | 
| ML15 | 15B | 19S | dt | 1 | 0.61 | 0.8 | s: best; mss: 11; msl: 1; mf: None; md: 16; cr: entropy; cw: 0: 1.0; 1: 1.5 | 
| ML16 | 16A | 6538P | knn | 1 | 0.59 | 0.76 | w: distance; p: 2; nn: 4; mp: None; m: manhattan; ls: 3; a: kd_tree | 
| ML17 | 16B | 6538P | dt | 1 | 0.74 | 0.83 | s: best; mss: 6; msl: 3; mf: None; md: 6; cr: entropy; cw: 0: 3.0; 1: 1.0 | 
| ML18 | 16C | 6538P | gb | 1 | 0.56 | 0.76 | ne: 181; msl: 1; md: 31 | 
| ML19 | 20C | 19S | lr | 1 | 0.74 | 0.87 | sl: saga; pen: l1; mi: 10000; cw: 0: 3.0; 1: 1.0; C: 51 | 
| ML20 | 23A | 4S | gb | 3 | 0.55 | 0.73 | ne: 4; msl: 13; md: 72 | 
| ML21 | 22B | 25923 | dt | 3 | 0.51 | 0.61 | s: best; mss: 2; msl: 19; mf: None; md: 1; cr: gini; cw: 0: 1.0; 1: 1.2 | 
| ML22 | 22C | 25923 | dt | 4 | 0.62 | 0.83 | cw: 0: 1.0; 1: 1.0; cr: gini; md: 14; mf: None; msl: 10; mss: 4; s: best | 
| ML23 | 1D | 6538P | svm | 3 | 0.69 | 0.85 | p: True; k: rbf; cw: 0: 1.0; 1: 3.0; C: 1 | 
| ML24 | 2D | 25923 | svm | 2 | 0.72 | 0.86 | p: True; k: rbf; cw: 0: 1.1; 1: 1.0; C: 11 | 
| ML25 | 3D | 4S | svm | 2 | 0.72 | 0.87 | p: True; k: rbf; cw: 0: 1.1; 1: 1.0; C: 11 | 
| ML26 | 4D | 5S | svm | 2 | 0.95 | 0.99 | p: True; k: linear; cw: 0: 1.0; 1: 1.3; C: 1 | 
| ML27 | 5D | 19S | svm | 2 | 0.81 | 0.93 | p: True; k: linear; cw: 0: 1.0; 1: 3.0; C: 1 | 
| T a | Anti-biofilm or Synergistic Antimicrobial b | Spectrum c | Pro-biofilm or Antisynergistic Antimicrobial d | Spectrum | |
|---|---|---|---|---|---|
| Biofilm modulation | 40 | eugenol | 6538P, 25923 | eucalyptol | 6538P | 
| β-caryophyllene | 6538P, 25923 | β-pinene | 6538P | ||
| β-pinene | 25923 | α-pinene | 25923 | ||
| p-cymen-8-ol | 25923 | ||||
| terpinolene | 25923 | ||||
| humulene | 25923 | ||||
| β-elemene | 25923 | ||||
| humulene epoxide 2 | 25923 | ||||
| α-cubebene | 25923 | ||||
| limonene | 25923, 6538P | ||||
| linalool | 6538P | ||||
| α-terpineol | 25923 | ||||
| borneol | 25923 | ||||
| 80 | o-cymene | 25923 | eucalyptol | 6538P, 25923 | |
| p-cymene | 25923 | eugenol | 6538P | ||
| α-terpineol | 6538P | α-terpineol | 25923 | ||
| limonene | 6538P | o-cymene | 25923 | ||
| β-caryophyllene | 6538P | sabinene | 6538P | ||
| humulene | 25923 | ||||
| β-caryophyllene | 25923 | ||||
| borneol | 25923 | ||||
| 120 | β-caryophyllene | 6538P, 19S | eucalyptol | 6538P | |
| α-terpineol | 6538P | ||||
| linalool | 6538P | ||||
| p-cymen-8-ol | 6538P | ||||
| borneol | 6538P, 19S | ||||
| α-pinene | 6538P | ||||
| β-pinene | 19S | ||||
| eucalyptol | 19S | ||||
| humulene | 19S | ||||
| caryophyllene oxide | 19S | ||||
| Antibacterial activity | Active or Inactive | eugenol | 25923, 4S | eucalyptol | 6538P, 5S, 19S | 
| carvacrol | 25923, 4S | limonene | 6538P, 19S | ||
| β-caryophyllene | 25923, 4S | β-pinene | |||
| p-cymene | 5S | ||||
| 1-octen-3-ol | 5S | ||||
| α-citral | 5S | 
| Publisher’s Note: MDPI stays neutral with regard to jurisdictional claims in published maps and institutional affiliations. | 
© 2020 by the authors. Licensee MDPI, Basel, Switzerland. This article is an open access article distributed under the terms and conditions of the Creative Commons Attribution (CC BY) license (http://creativecommons.org/licenses/by/4.0/).
Share and Cite
Papa, R.; Garzoli, S.; Vrenna, G.; Sabatino, M.; Sapienza, F.; Relucenti, M.; Donfrancesco, O.; Fiscarelli, E.V.; Artini, M.; Selan, L.; et al. Essential Oils Biofilm Modulation Activity, Chemical and Machine Learning Analysis—Application on Staphylococcus aureus Isolates from Cystic Fibrosis Patients. Int. J. Mol. Sci. 2020, 21, 9258. https://doi.org/10.3390/ijms21239258
Papa R, Garzoli S, Vrenna G, Sabatino M, Sapienza F, Relucenti M, Donfrancesco O, Fiscarelli EV, Artini M, Selan L, et al. Essential Oils Biofilm Modulation Activity, Chemical and Machine Learning Analysis—Application on Staphylococcus aureus Isolates from Cystic Fibrosis Patients. International Journal of Molecular Sciences. 2020; 21(23):9258. https://doi.org/10.3390/ijms21239258
Chicago/Turabian StylePapa, Rosanna, Stefania Garzoli, Gianluca Vrenna, Manuela Sabatino, Filippo Sapienza, Michela Relucenti, Orlando Donfrancesco, Ersilia Vita Fiscarelli, Marco Artini, Laura Selan, and et al. 2020. "Essential Oils Biofilm Modulation Activity, Chemical and Machine Learning Analysis—Application on Staphylococcus aureus Isolates from Cystic Fibrosis Patients" International Journal of Molecular Sciences 21, no. 23: 9258. https://doi.org/10.3390/ijms21239258
APA StylePapa, R., Garzoli, S., Vrenna, G., Sabatino, M., Sapienza, F., Relucenti, M., Donfrancesco, O., Fiscarelli, E. V., Artini, M., Selan, L., & Ragno, R. (2020). Essential Oils Biofilm Modulation Activity, Chemical and Machine Learning Analysis—Application on Staphylococcus aureus Isolates from Cystic Fibrosis Patients. International Journal of Molecular Sciences, 21(23), 9258. https://doi.org/10.3390/ijms21239258
 
        



 
       