Physico-Chemical and Light-Induced Properties of Quinoline Azo-dyes Polymers
Abstract
1. Introduction
2. Results and Discussion
2.1. AFM Studies
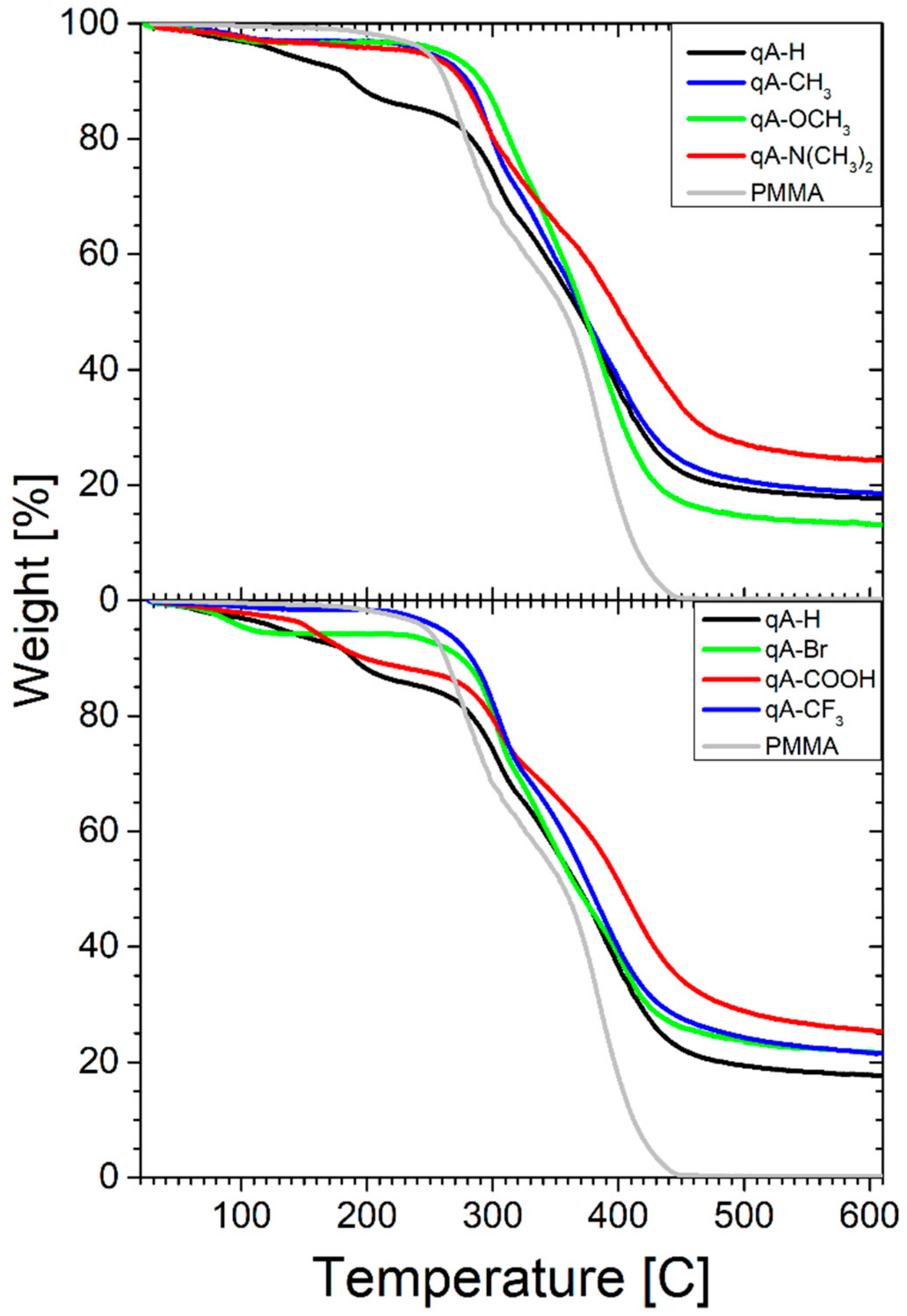
2.2. TGA/DSC Studies
2.3. UV-VIS Measurements
2.4. Ellipsometric Studies
2.5. Photoisomerization Studies
2.6. Holographic Grating Inscription
3. Materials and Methods
3.1. Materials and Synthesis
3.1.1. Polymerization
3.1.2. Density Functional Theory Geometry Optimization
3.2. Sample Preparation
3.3. Material Characterization
3.3.1. NMR and Mass Spectra
3.3.2. Thermal Measurements
3.3.3. Atomic Force Microscope
3.3.4. UV-Vis Spectra
3.3.5. Ellipsometry Measurements
3.3.6. Light-Responsive Behavior Measurements
3.3.7. Holographic Grating Inscription
4. Conclusions
Author Contributions
Funding
Acknowledgments
Conflicts of Interest
References
- Sekkat, Z.; Knoll, W. (Eds.) Photoreactive Organic Thin Films; Academic Press—Elsevier Science: Amsterdam, The Netherlands, 2002; pp. 1–582. [Google Scholar]
- Natansohn, A.; Rochon, P. Photoinduced Motions in Azo-Containing Polymers. Chem. Rev. 2002, 102, 4139–4417. [Google Scholar]
- Bandara, D.; Burdette, S.C. Photoisomerization in different classes of azobenzene. Chem. Soc. Rev. 2012, 41, 1809–1825. [Google Scholar] [CrossRef] [PubMed]
- Zidan, M.D.; Ajji, Z. Optical limiting behavior of disperse red 1 dye doped polymer. Opt. Laser Technol. 2011, 43, 934–937. [Google Scholar] [CrossRef]
- Xie, S.; Natansohn, A.; Rochon, P. Microstructure of Copolymers Containing Disperse Red 1 and Methyl Methacrylate. Macromolecules 1994, 27, 1885–1890. [Google Scholar] [CrossRef]
- Wang, X. Azo Polymers-Synthesis, Functions and Applications; Springer-Verlag: Berlin/Heidelberg, Germany, 2017; pp. 1–238. [Google Scholar]
- Derkowska-Zielinska, B.; Fedus, K.; Wang, H.; Cassagne, C.; Boudebs, G. Nonlinear optical characterization of Disperse Orange 3. Opt. Mater. 2017, 72, 545–548. [Google Scholar] [CrossRef]
- Merino, E.; Ribagorda, M. Control over molecular motion using the cis–trans photoisomerization of the azo group. Beilstein J. Org. Chem. 2012, 8, 1071–1090. [Google Scholar] [CrossRef]
- Bureš, F. Fundamental aspects of property tuning in push–pull molecules. RSC Adv. 2014, 4, 58826–58851. [Google Scholar] [CrossRef]
- Tawa, K.; Kamada, K.; Ohta, K. Azo-dye-structure dependence of photoinduced anisotropy observed in PMMA films. J. Photochem. Photobiol. A Chem. 2000, 134, 185–191. [Google Scholar] [CrossRef]
- Derkowska-Zielinska, B.; Skowronski, L.; Sypniewska, M.; Chomicki, D.; Smokal, V.; Kharchenko, O.; Naparty, M.; Krupka, O. Functionalized polymers with strong push-pull azo chromophores in side chain for optical application. Opt. Mater. 2018, 85, 391–398. [Google Scholar] [CrossRef]
- Derkowska-Zielinska, B.; Matczyszyn, K.; Dudek, M.; Samoc, M.; Czaplicki, R.; Kaczmarek-Kedziera, A.; Smokal, V.; Biitseva, A.; Krupka, O. All-Optical Poling and Two-Photon Absorption in Heterocyclic Azo Dyes with Different Side Groups. J. Phys. Chem. C 2019, 123, 725–734. [Google Scholar] [CrossRef]
- Derkowska-Zielinska, B.; Skowronski, L.; Biitseva, A.; Grabowski, A.; Naparty, M.K.; Smokal, V.; Kysil, A.; Krupka, O. Optical characterization of heterocyclic azo dyes containing polymers thin films. Appl. Surf. Sci. 2017, 421, 361–366. [Google Scholar] [CrossRef]
- Arslan, Ö.; Aydıner, B.; Yalçın, E.; Babür, B.; Seferoğlu, N.; Seferoğlu, Z. 8-Hydroxyquinoline based push-pull azo dye: Novel colorimetric chemosensor for anion detection. J. Mol. Struct. 2017, 1149, 499–509. [Google Scholar] [CrossRef]
- Saylam, A.; Seferoğlu, Z.; Ertan, N. Azo-8-hydroxyquinoline dyes: The synthesis, characterizations and determination of tautomeric properties of some new phenyl- and heteroarylazo-8-hydroxyquinolines. J. Mol. Liq. 2014, 195, 267–276. [Google Scholar] [CrossRef]
- El-Ghamaz, N.A.; El-Bindary, A.A.; El-Sonbati, A.Z.; Beshry, N.M. Geometrical structures, thermal, optical and electrical properties of azo quinoline derivatives. J. Mol. Liq. 2015, 211, 628–639. [Google Scholar] [CrossRef]
- El-Ghamaz, N.A.; El-Menyawy, E.M.; Diab, M.A.; El-Bindary, A.A.; El-Sonbati, A.Z.; Nozha, S.G. Optical and dielectrical properties of azo quinoline thin films. Solid State Sci. 2014, 30, 44–54. [Google Scholar] [CrossRef]
- Yan, Z.; Guang, S.; Xu, H.; Liu, X.Y. Quinoline-based azo derivative assembly: Optical limiting property and enhancement mechanism. Dyes Pigm. 2013, 99, 720–726. [Google Scholar] [CrossRef]
- Ghanadzadeh Gilani, A.; Moghadam, M.; Zakerhamidi, M.S.; Moradi, E. Solvatochromism, tautomerism and dichroism of some azoquinoline dyes in liquids and liquid crystals. Dyes Pigm. 2012, 92, 1320–1330. [Google Scholar] [CrossRef]
- Szala, M.; Nycz, J.E.; Malecki, G.J.; Sokolova, R.; Ramesova, S.; Switlicka-Olszewska, A.; Strzelczyk, R.; Podsiadly, R.; Machura, B. Synthesis of 5-azo-8-hydroxy-2-methylquinoline dyes and relevant spectroscopic, electrochemical and computational studies. Dyes Pigm. 2017, 142, 277–292. [Google Scholar] [CrossRef]
- Sarkar, R.; Mondal, P.; Rajak, K.K. Synthesis, structure and spectroscopic properties of Re(i) complexes incorporating 5-arylazo-8-hydroxyquinoline: A density functional theory/time-dependent density functional theory investigation. Dalton Trans. 2014, 43, 2859–2877. [Google Scholar] [CrossRef]
- Kashiwagi, T.; Inaba, A.; Brown, J.E.; Hatada, K.; Kitayama, T.; Masuda, E. Effects of Weak Linkages on the Thermal and Oxidative Degradation of Poly(methyl methacrylates). Macromolecules 1986, 19, 2160–2168. [Google Scholar] [CrossRef]
- Rau, H. Photoisomerization of Azobenzenes; Photochemistry and, Photophysic; Rabek, J.F., Ed.; CRC Press: Boca Raton, FL, USA, 1990; Chapter 4; Volume 2, pp. 119–141. [Google Scholar]
- Baroncini, M.; Groppi, J.; Corra, S.; Silvi, S.; Credi, A. Light-Responsive (supra)molecular architectures: Recent advances. Adv. Optical Mater. 2019, 7, 1900392. [Google Scholar] [CrossRef]
- Stranius, K.; Börjesson, K. Determining the Photoisomerization Quantum Yield of Photoswitchable Molecules in Solution and in the Solid State. Sci. Rep. 2017, 7, 41145. [Google Scholar] [CrossRef] [PubMed]
- Kajzar, F.; Swalen, J.D. (Eds.) Organic Thin Films for Waveguiding Nonlinear Optics, 1st ed.; CRC Press: Boca Raton, FL, USA, 1996; pp. 1–829. [Google Scholar]
- Xie, S.; Natansohn, A.; Rochon, P. Recent Developments in Aromatic Azo Polymers Research. Chem. Mater. 1993, 5, 403–411. [Google Scholar] [CrossRef]
- Liu, J.H.; Hsieh, C.D. Synthesis and physical properties of liquid-crystalline copolymers with azobenzene segments. J. Appl. Polym. Sci. 2006, 99, 2443–2453. [Google Scholar] [CrossRef]
- Airinei, A.; Fifere, N.; Homocianu, M.; Gaina, C.; Gaina, V.; Simionescu, B.C. Optical Properties of Some New Azo Photoisomerizable Bismaleimide Derivatives. Int. J. Mol. Sci. 2011, 12, 6176–6193. [Google Scholar] [CrossRef]
- Viswanathan, N.K.; Balasubramanian, S.; Li, L.; Tripathy, S.K.; Kumar, J. A Detailed Investigation of the Polarization-Dependent Surface-Relief-Grating Formation Process on Azo Polymer Films. Jpn. J. Appl. Phys. 1999, 38, 5928–5937. [Google Scholar] [CrossRef]
- Sankar, R.; Vijayalakshmi, S.; Subramanian, S.; Rajagopan, S.; Kaliyappan, T. Synthesis and chelation properties of new polymeric ligand derived from 8-hydroxy-5-azoquinoline hydroxyl benzene. Eur. Polym. J. 2007, 43, 4639–4646. [Google Scholar] [CrossRef]
- Smokal, V.; Krupka, A.; Kharchenko, O.; Krupka, O.; Derkowska-Zielinska, B.; Kolendo, A. Synthesis and photophysical properties of new styryquinoline-containing polymers. Mol. Cryst. Liq. Cryst. 2018, 661, 38–44. [Google Scholar] [CrossRef]
- Guichaoua, D.; Kulyk, B.; Smokal, V.; Migalska-Zalas, A.; Kharchenko, O.; Krupka, O.; Kolendo, O.; Sahraouia, B. UV irradiation induce NLO modulation in photochromic styrylquinoline-based polymers: Computational and experimental studies. Org. Electron. 2019, 66, 175–182. [Google Scholar] [CrossRef]
- Guichaoua, D.; Waszkowska, K.; Smokal, V.; Kharchenko, O.; Kulyk, B.; Krupka, O.; Migalska-Zalas, A.; Sahraoui, B. Functionalized methacrylic thiazolidinone polymer for optical applications. In Proceedings of the 2018 20th International Conference on Transparent Optical Networks (ICTON), Bucharest, Romania, 1–5 July 2018. [Google Scholar] [CrossRef]
- McDaniel, D.H.; Brown, H.C. An Extended Table of Hammett Substitutent Constants Based on the Ionization of Substituted Benzoic Acids. J. Org. Chem. 1958, 23, 420–427. [Google Scholar] [CrossRef]
- Skowronski, L.; Krupka, O.; Smokal, V.; Grabowski, A.; Naparty, M.; Derkowska-Zielinska, B. Optical properties of coumarins containing copolymers. Opt. Mater. 2015, 47, 18–23. [Google Scholar] [CrossRef]
- Wu, Y.; Cha, J.H.; Shim, H.K.; Seo, H.J.; Kim, S.I. Determination of photoisomerization parameters for a PMMA thin film doped with disperse orange 3. Opt. Mater. 2017, 73, 680–685. [Google Scholar] [CrossRef]











| Irradiation | qA-N(CH3)2 | qA-OCH3 | qA-CH3 | qA-H | qA-Br | qA-COOH | qA-CF3 | |
|---|---|---|---|---|---|---|---|---|
| Ra (nm) | before | 0.39 | 0.58 | 0.36 | 1.36 | 0.33 | 1.40 | 0.39 |
| after | 0.24 | 0.28 | 0.44 | 1.46 | 0.37 | 7.11 | 0.25 | |
| Rq (nm) | before | 0.49 | 0.86 | 0.56 | 1.76 | 0.43 | 1.88 | 0.72 |
| after | 0.34 | 0.38 | 0.53 | 1.96 | 0.50 | 8.95 | 0.54 | |
| L (nm) | 672 ± 2 | 680 ± 5 | 621 ± 2 | 485 ± 1 | 499 ± 2 | 368 ± 3 | 558 ± 1 |
| Parameters | PMMA | qA-N(CH3)2 | qA-OCH3 | qA-CH3 | qA-H | qA-Br | qA-COOH | qA-CF3 |
|---|---|---|---|---|---|---|---|---|
| T1max (°C) | 275 | 292 | 311 | 296 | 188 | 302 | 156 | 305 |
| Δm1 (%) | 41.5 | 32.6 | 24.0 | 25.4 | 7.0 | 24.6 | 9.4 | 29.0 |
| T2max (°C) | 385 | 400 | 389 | 370 | 304 | 404 | 306 | 381 |
| Δm2 (%) | 58.5 | 38.1 | 57.3 | 51.8 | 21.0 | 46.8 | 17.6 | 46.7 |
| T3max (°C) | - | - | - | - | 387 | - | 409 | - |
| Δm3 (%) | - | - | - | - | 46.8 | - | 44.3 | - |
| Char yield (%) at 600 °C | 0 | 24.4 | 13.7 | 18.7 | 17.8 | 21.8 | 25.5 | 21.6 |
| Energies | qA-N(CH3)2 | qA-OCH3 | qA-CH3 | qA-H | qA-Br | qA-COOH | qA-CF3 | |
|---|---|---|---|---|---|---|---|---|
| Eg | (eV) (nm) | 2.34 ± 0.05 530 ± 11 | 2.96 ± 0.05 419 ± 7 | 3.02 ± 0.06 411 ± 8 | 3.05 ± 0.05 407 ± 10 | 2.98 ± 0.05 416 ± 7 | 2.99 ± 0.05 415 ± 7 | 3.04 ± 0.07 408 ± 9 |
| E1 | (eV) (nm) | 2.48 ± 0.01 499 ± 2 | 3.21 ± 0.03 386 ± 4 | 2.64 ± 0.03 470 ± 6 | 2.74 ± 0.02 453 ± 3 | 2.68 ± 0.11 463 ± 19 | 3.19 ± 0.04 389 ± 5 | 2.71 ± 0.02 458 ± 4 |
| E2 | (eV) (nm) | 2.69 ± 0.03 460 ± 6 | 3.38 ± 7.74 367 ± 200 | 3.13 ± 0.02 396 ± 3 | 3.15 ± 0.01 394 ± 2 | 3.10 ± 0.02 400 ± 3 | 3.38 ± 0.03 367 ± 3 | 3.18 ± 0.01 390 ± 1 |
| E3 | (eV) (nm) | 2.87 ± 0.03 432 ± 5 | 3.38 ± 0.04 367 ± 4 | 3.35 ± 0.03 370 ± 3 | 3.62 ± 0.03 343 ± 3 | 3.33 ± 0.03 372 ± 4 | 4.00 ± 0.27 310 ± 22 | 3.38 ± 0.04 367 ± 4 |
| E4 | (eV) (nm) | 3.55 ± 0.22 349 ± 23 | 3.63 ± 0.12 342 ± 11 | 3.61 ± 0.04 343 ± 4 | 4.27 ± 0.03 290 ± 2 | 3.66 ± 0.10 339 ± 9 | 4.90 ± 0.12 253 ± 6 | 3.44 ± 0.04 360 ± 5 |
| E5 | (eV) (nm) | 3.84 ± 0.06 323 ± 5 | 4.75 ± 0.05 261 ± 3 | 3.69 ± 0.12 336 ± 11 | 3.69 ± 0.04 336 ± 4 | |||
| E6 | (eV) (nm) | 4.78 ± 0.09 259 ± 5 |
| qA-N(CH3)2 | qA-OCH3 | qA-CH3 | qA-H | qA-Br | qA-COOH | qA-CF3 | |
|---|---|---|---|---|---|---|---|
| Decay time τ (s) | - | 38.7 ± 0.9 | 58.58 ± 0.71 | 58.9 ± 1.4 | 55.3 ± 2.6 | 50.2 ± 1.1 | 71.0 ± 3.4 |
| Isomerization rate p (s−1) | - | (25.9 ± 0.6) × 10−3 | (17.07 ± 0.21) × 10−3 | (16.97 ± 0.41) × 10−3 | (18.09 ± 0.83) × 10−3 | (19.92 ± 0.42) × 10−3 | (14.1 ± 0.7) × 10−3 |
| Isosbestic points (nm) | - | 329 | 310 | 306 | 311 | 312 | 303 |
| 453 | 427 | 421 | 433 | 426 | 425 |
| qA-N(CH3)2 | qA-OCH3 | qA-CH3 | qA-H | qA-Br | qA-COOH | qA-CF3 | |
|---|---|---|---|---|---|---|---|
| Types of substituents | electron donating group | neutral | electron withdrawing group | ||||
| R | N(CH3)2 | OCH3 | CH3 | H | Br | COOH | CF3 |
| R’s Hammett sigma constant | −0.83 | −0.27 | -0.17 | 0 | 0.23 | 0.45 | 0.54 |
| Dipole moment (Debye) | 6.5 | 3.0 | 2.3 | 1.7 | 1.9 | 6.2 | 3.6 |
| qA-N(CH3)2 | qA-OCH3 | qA-CH3 | qA-H | qA-Br | qA-COOH | qA-CF3 | |
|---|---|---|---|---|---|---|---|
| Initial monomers mole ratio n/m | 1:3 | ||||||
| ratio n/m a | 1:3.1 | 1:3.0 | 1:3.2 | 1:3.2 | 1:3.1 | 1:3.1 | 1:2.9 |
| Mwb (g/mol) | 24800 | 36000 | 28100 | 25500 | 32000 | 25000 | 33200 |
| Mw/Mn b | 1.7 | 2.0 | 1.9 | 1.8 | 1.9 | 1.83 | 1.61 |
| Tg c (°C) | - | 121 | 122 | 135 | 94 | 129 | 128 |
© 2020 by the authors. Licensee MDPI, Basel, Switzerland. This article is an open access article distributed under the terms and conditions of the Creative Commons Attribution (CC BY) license (http://creativecommons.org/licenses/by/4.0/).
Share and Cite
Chomicki, D.; Kharchenko, O.; Skowronski, L.; Kowalonek, J.; Kozanecka-Szmigiel, A.; Szmigiel, D.; Smokal, V.; Krupka, O.; Derkowska-Zielinska, B. Physico-Chemical and Light-Induced Properties of Quinoline Azo-dyes Polymers. Int. J. Mol. Sci. 2020, 21, 5755. https://doi.org/10.3390/ijms21165755
Chomicki D, Kharchenko O, Skowronski L, Kowalonek J, Kozanecka-Szmigiel A, Szmigiel D, Smokal V, Krupka O, Derkowska-Zielinska B. Physico-Chemical and Light-Induced Properties of Quinoline Azo-dyes Polymers. International Journal of Molecular Sciences. 2020; 21(16):5755. https://doi.org/10.3390/ijms21165755
Chicago/Turabian StyleChomicki, Dariusz, Oksana Kharchenko, Lukasz Skowronski, Jolanta Kowalonek, Anna Kozanecka-Szmigiel, Dariusz Szmigiel, Vitalii Smokal, Oksana Krupka, and Beata Derkowska-Zielinska. 2020. "Physico-Chemical and Light-Induced Properties of Quinoline Azo-dyes Polymers" International Journal of Molecular Sciences 21, no. 16: 5755. https://doi.org/10.3390/ijms21165755
APA StyleChomicki, D., Kharchenko, O., Skowronski, L., Kowalonek, J., Kozanecka-Szmigiel, A., Szmigiel, D., Smokal, V., Krupka, O., & Derkowska-Zielinska, B. (2020). Physico-Chemical and Light-Induced Properties of Quinoline Azo-dyes Polymers. International Journal of Molecular Sciences, 21(16), 5755. https://doi.org/10.3390/ijms21165755

