Chitosan Derivatives as Important Biorefinery Intermediates. Quaternary Tetraalkylammonium Chitosan Derivatives Utilized in Anion Exchange Chromatography for Perchlorate Removal
Abstract
:1. Introduction


2. Results and Discussion
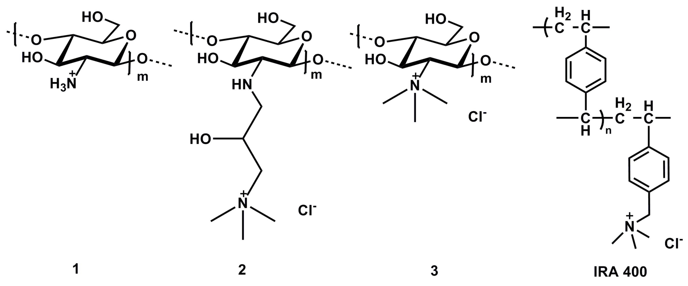
2.1. Polymer Structure


2.2. Solid Phase Extraction (SPE) Column Performance

3. Experimental Section
3.1. General
3.2. Polymer Synthesis
3.3. Fe(III) Nanoparticles
| Polymer | Absorbance | Fe(III) Loading (mmol/g) |
|---|---|---|
| Chitosan-Fe | 0.13 | 0.05 |
| CHI-Q188-Fe | 1.02 | 0.41 |
| TMC-Fe | 0.81 | 0.32 |
3.4. Perchlorate Quantitation
| Polymer | Tot (mg) | SD (×10−3) | Tot (mmol) (×10−2) | SD (×10−4) | % Recovered | SD |
|---|---|---|---|---|---|---|
| IRA400 (Cl) | 0.18 | 2.47 | 2.25 | 3 | 36.78 | 0.49 |
| CHI | 0.18 | 5.55 | 2.32 | 7 | 37.84 | 1.11 |
| CHI-Q188 | 0.20 | 3.47 | 2.48 | 4 | 40.53 | 0.69 |
| CHI-Fe | 0.18 | 5.10 | 2.22 | 6 | 36.29 | 1.02 |
| CHI-Q188-Fe | 0.18 | 3.41 | 2.31 | 4 | 37.81 | 0.68 |
| TMC-Fe | 0.30 | 5.26 | 3.73 | 6 | 60.86 | 1.05 |
4. Conclusions
Acknowledgments
Author Contributions
Conflicts of Interest
References
- Budarin, V.; Shuttleworth, P.; Dodson, J.; Hunt, A.; Lanigan, B.; Marriott, R.; Milkowski, K.; Wilson, A.; Breeden, S.; Fan, J.; et al. Use of green chemical technologies in an integrated biorefinery. Energy Environ. Sci. 2011, 4, 471–479. [Google Scholar] [CrossRef]
- Lin, C.; Pfaltzgraff, L.; Herrero-Davila, L.; Mubofu, E.; Abderrahim, S.; Clark, J.; Koutinas, A.; Kopsahelis, N.; Stamatelatou, K.; Dickson, F.; et al. Food waste as a valuable resource for the production of chemicals, materials and fuels. Current situation and global perspective. Energy Environ. Sci. 2013, 6, 426–464. [Google Scholar] [CrossRef]
- Vaca-Garcia, C. Biomaterials. In Introduction to Chemicals from Biomass, 1st ed.; Clark, J., Deswarte, F., Eds.; John Wiley and Sons: West Sussex, UK, 2008; pp. 103–142. [Google Scholar]
- Clark, J.; Luque, R.; Matharu, A. Green chemistry, biofuels, and biorefinery. Annu. Rev. Chem. Biomol. Eng. 2012, 3, 183–207. [Google Scholar] [CrossRef] [PubMed]
- Fazeni, K.; Lindorfer, J. The Energy Institute at the Johannes Kepler University. 2011. Available online: (accessed on 28 February 2015).
- Muzzarelli, R.; Muzzarelli, C. Chitosan chemistry: Relevance to the biomedical sciences. Adv. Polym. Sci. 2005, 186, 151–209. [Google Scholar]
- Inamdor, N.; Mourya, V. Chitosan-modifications and applications: Opportunities galore. React. Funct. Polym. 2008, 68, 1013–1051. [Google Scholar] [CrossRef]
- Daly, W.; Manuszak-Guerrini, M. Antimicrobial properties of quaternary ammonium cellulose and chitosan derivatives. Polym. Mater. Sci. Eng. 1998, 79, 220–221. [Google Scholar]
- Ali, S.; Pal, S.; Singh, R. Flocculation performance of modified chitosan in an aqueous suspension. J. Appl. Polym. Sci. 2010, 118, 2592–2600. [Google Scholar] [CrossRef]
- Jia, Z.; Shen, D.; Xu, W. Synthesis and antibacterial activities of quaternary ammonium salt of chitosan. Carbohydr. Res. 2001, 333, 1–6. [Google Scholar] [CrossRef] [PubMed]
- Dai, J.; Ren, F.; Tao, C.; Bai, Y. Synthesis of cross-linked chitosan and application to adsorption and speciation of Se (VI) and Se (IV) in environmental water samples by inductively coupled plasma optical emission spectrometry. Int. J. Mol. Sci. 2011, 12, 4009–4020. [Google Scholar] [CrossRef]
- Elwakeel, K. Environmental application of chitosan resins for the treatment of water and wastewater: A reviewic>. J. Dispers. Sci. Technol. 2010, 31, 273–288. [Google Scholar] [CrossRef]
- Parker, H.; Hunt, A.; Budarin, V.; Shuttleworth, P.; Miller, K.; Clark, J. The importance of being porous: Polysaccharide-derived mesoporous materials for use in dye. RSC Adv. 2012, 2, 8992–8997. [Google Scholar] [CrossRef]
- Taylor, P.; Okosieme, O.; Murphy, R.; Hales, C.; Chiusano, E.; Maina, E.; Joomun, M.; Bestwick, J.; Smyth, P.; Paradice, R.; et al. Maternal perchlorate levels in women with borderline thyroid function during pregnancy and the cognitive development of their offspring: data from the controlled antenatal thyroid study. J. Clin. Endocrinol. Metab. 2014, 99, 4291–4298. [Google Scholar] [CrossRef] [PubMed]
- Doyle, E. United States Environmental Protection Agency. (accessed on 15 January 2015).
- Ye, L.; You, H.; Yao, J.; Su, H. Water treatment technologies for perchlorate: A review. Desalination 2012, 298, 1–12. [Google Scholar] [CrossRef]
- Hou, P.; Cannon, F.; Brown, N.; Byrne, T.; Gu, X.; Nieto-Delgado, C. Granular activated carbon anchored with quaternary ammonium/epoxide-forming compounds to enhance perchlorate removal from groundwater. Carbon 2013, 53, 197–207. [Google Scholar] [CrossRef]
- Byrne, T.; Gu, X.; Hou, P.; Cannon, F.; Brown, N.; Nieto-Delgado, C. Quaternary nitrogen activated carbons for removal of perchlorate with electrochemical regeneration. Carbon 2014, 73, 1–12. [Google Scholar] [CrossRef]
- Memon, S.; Bhatti, A.; Memon, N. New calix[4]arene appended amberlite XAD-4 resin with versatile perchlorate removal efficiency. J. Chem. Eng. Data 2013, 58, 2819–2827. [Google Scholar] [CrossRef]
- Brown, G.; Gu, B. The Chemistry of Perchlorate in the Environment in Perchlorate: Environmental Occurrence,Interactions and Treatment; Coates, J., Gu, B., Eds.; Springer: New York, NY, USA, 2006; pp. 17–48. [Google Scholar]
- Gurol, M.; Kim, K. Investigation of perchlorate removal in drinking water sources by chemical methods. In Perchlorate in the Environment: Treatment and Remediation through Anion Exchange or Chemical Reduction; Springer: New Orleans, LA, USA, 2000. [Google Scholar]
- Cumbal, L.; Delgado, D.; Murgueitio, E. Degradation of perchlorate dissolved in water by a combined application of ion exchange resin and zerovalent iron nanoparticles. In Advanced Oxidation Technologies: Sustainable Solutions for Environmental Treatments; Litter, M., Candal, R., Meichtry, J., Eds.; CRC Press: London, UK, 2014; pp. 119–129. [Google Scholar]
- Xu, X.; Gao, B.; Jin, B.; Zhena, H.; Wang, X.; Dai, M. Study of microbial perchlorate reduction: Considering of multiple pH, electron acceptors and donors. J. Hazard. Mater. 2015, 285, 228–235. [Google Scholar] [CrossRef] [PubMed]
- Arthur, R.; Torlapati, J.; Shin, K.; Cha, D.; Yoon, Y.; Son, A. Process control factors for continuous microbial perchlorate reduction in the presence of zero-valent iron. Front. Environ. Sci. Eng. 2014, 8, 386–393. [Google Scholar] [CrossRef]
- Lv, L.; Xie, Y.; Liu, G.; Liu, G.; Yu, J. Removal of perchlorate from aqueous solution by cross-linked Fe(III)-chitosan complex. J. Environ. Sci. 2014, 26, 792–800. [Google Scholar] [CrossRef]
- Mosier-Boss, P. Recent Developments in Perchlorate Detection in Perchlorate: Environmental Occurrence, Interactions and Treatment; Coates, J., Gu, B., Eds.; Springer: New York, NY, USA, 2006; pp. 111–153. [Google Scholar]
- Burns, D.; Chimpalee, N.; Harriott, M. Flow-injection extraction-spectrophotometric determination of perchlorate with brilliant green. Anal. Chim. Acta 1989, 217, 177–181. [Google Scholar] [CrossRef]
- Wan, Y.; Peppley, B.; Creber, K.; Tam Bui, V. Anion-exchange membranes composed of quaternized-chitosan derivatives for alkaline fuel cells. J. Power Sources 2010, 195, 3785–3793. [Google Scholar] [CrossRef]
- Lim, S.; Hudson, S. Synthesis and antimicrobial activity of a water-soluble chitosan derivative with a fiber-reactive group. Carbohydr. Res. 2004, 339, 313–319. [Google Scholar] [CrossRef] [PubMed]
- Polnok, A.; Borchard, G.; Verhoef, J.; Sarisuta, N.; Junginger, H. Influence of methylation process on the degree of quaternization of N-trimethyl chitosan chloride. Eur. J. Pharm. Biopharm. 2004, 57, 77–83. [Google Scholar] [CrossRef] [PubMed]
- Tsai, Z.; Wang, J.; Kuo, H.; Shen, C.; Wang, J.; Yen, T. Preparation and characterization of ferrofluid stabilized with biocompatible chitosan and dextran sulfate hybrid biopolymer as a potential magnetic resonance imaging (MRI) T2 contrast agent. J. Magn. Mater. 2010, 322, 208–213. [Google Scholar] [CrossRef]
- Shen, C.; Wu, S.; Tsai, Z.; Wang, J.; Yen, T.; Tsai, J.; Shih, M.; Liu, C. Characterization of quaternized chitosan-stabilized iron oxide nanoparticles as a novel potential magnetic resonance imaging contrast agent for cell tracking. Polym. Int. 2011, 60, 945–950. [Google Scholar] [CrossRef]
- Belessi, V.; Zboril, R.; Tucek, J.; Mashlan, M.; Tzitzios, V.; Petridis, D. Ferrofluids from magnetic-chitosan hybrids. Chem. Mater. 2008, 20, 3298–3305. [Google Scholar] [CrossRef]
- Tripp, A.; Clifford, D. Selectivity considerations in modeling the treatment of perchlorate using ion-exchange processes. In Ion Exchange and Solvent Extraction: A Series of Advances; Marcus, Y., SenGupta, A., Eds.; CRC Press: New York, NY, USA, 2004; Volume 16, p. 5. [Google Scholar]
- Jardine, M.; Sayed, S. Chitosan as an Advanced Healthcare Material in Advanced Biomaterials and Biodevices; Tiwari, A., Nordin, A., Eds.; Scrivener Publishing: Massachusetts, MA, USA, 2014; pp. 147–182. [Google Scholar]
- Xie, Y.; Li, S.; Wang, F.; Liu, G. 2010, 156, 56–63. [CrossRef]
- Skoog, D.; West, D.; Holler, F.; Crouch, S. Analytical Chemistry: An Introduction, 7th ed.; Thomson-Brooks/Cole: California, CA, USA, 2000; pp. 547–592. [Google Scholar]
© 2015 by the authors; licensee MDPI, Basel, Switzerland. This article is an open access article distributed under the terms and conditions of the Creative Commons Attribution license (http://creativecommons.org/licenses/by/4.0/).
Share and Cite
Sayed, S.; Jardine, A. Chitosan Derivatives as Important Biorefinery Intermediates. Quaternary Tetraalkylammonium Chitosan Derivatives Utilized in Anion Exchange Chromatography for Perchlorate Removal. Int. J. Mol. Sci. 2015, 16, 9064-9077. https://doi.org/10.3390/ijms16059064
Sayed S, Jardine A. Chitosan Derivatives as Important Biorefinery Intermediates. Quaternary Tetraalkylammonium Chitosan Derivatives Utilized in Anion Exchange Chromatography for Perchlorate Removal. International Journal of Molecular Sciences. 2015; 16(5):9064-9077. https://doi.org/10.3390/ijms16059064
Chicago/Turabian StyleSayed, Shakeela, and Anwar Jardine. 2015. "Chitosan Derivatives as Important Biorefinery Intermediates. Quaternary Tetraalkylammonium Chitosan Derivatives Utilized in Anion Exchange Chromatography for Perchlorate Removal" International Journal of Molecular Sciences 16, no. 5: 9064-9077. https://doi.org/10.3390/ijms16059064
APA StyleSayed, S., & Jardine, A. (2015). Chitosan Derivatives as Important Biorefinery Intermediates. Quaternary Tetraalkylammonium Chitosan Derivatives Utilized in Anion Exchange Chromatography for Perchlorate Removal. International Journal of Molecular Sciences, 16(5), 9064-9077. https://doi.org/10.3390/ijms16059064
