Development of Pistachio Shell-Based Bioadsorbents Through Pyrolysis for CO2 Capture and H2S Removal
Abstract
1. Introduction
2. Results and Discussion
2.1. Adsorbents Characterization
2.1.1. Elemental Analysis
2.1.2. Thermal Stability
2.1.3. Surface Area
2.1.4. Morphology and EDS Surface Analysis
2.2. CO2 Adsorption Studies
| Feedstock | Pyrolysis Temperature (°C) | Activation Method | SSA (m2 g−1) | Adsorption Conditions | CO2 Adsorption Capacity (mmol g−1) | REF |
|---|---|---|---|---|---|---|
| Pistachio shell | 450 | None | 293 | 30 °C and 1 bar | 0.96 | This work |
| Almond shell | 600 | None | 21 | 25 °C and 1 bar | 1.59 | [31] |
| Sawdust | 500 | None | 22 | 25 °C and 1 bar | 0.98 | [32] |
| Coconut shell | 1000 | None | 1250 | 25 °C and 1 bar | 0.53 | [33] |
| Pistachio shell | 450 | CO2 (700 °C for 1 h) | 340 | 30 °C and 1 bar | 1.3 | This work |
| Wood pellet | 1000 | CO2 (550 °C for 1 h) | 287 | 25 °C and 1 bar | 0.26 | [33] |
| Almond shell | 600 | CO2 (750 °C for 2 h) | 1090 | 25 °C and 1 bar | 2.7 | [34] |
| Pistachio shell | 450 | KOH (600 °C for 1 h) | 531 | 30 °C and 1 bar | 2.17 | This work |
| Bamboo Sawdust | 1200 | KOH (550 ° for 1 h) | 526 | 25 °C and 1 bar | 0.69 | [33] |
| Chicken manure | 400 | KOH (700 °C for 1 h) | 22 | 25 °C and 1 bar | 1.95 | [35] |
| Coffee grounds | 400 | Ammoxidation and KOH (600 °C for 1 h) | 990 | 35 °C and 1 bar | 2.67 | [30] |
2.2.1. Effect of CO2 Concentration
2.2.2. Regeneration Performance
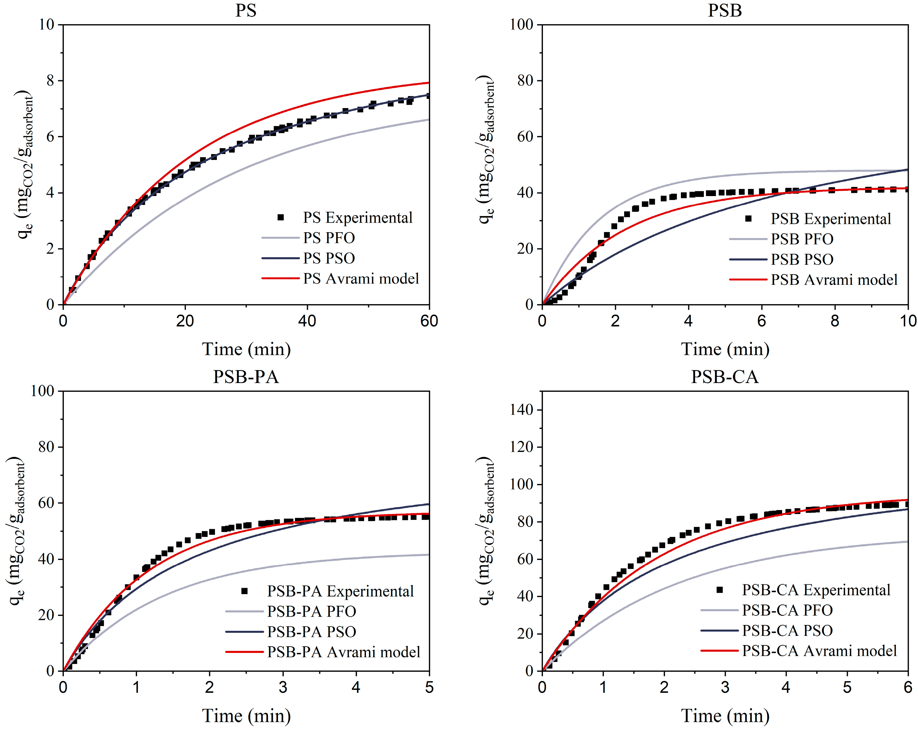
2.2.3. CO2 Adsorption Kinetics
2.3. Dynamic H2S Adsorption
3. Materials and Methods
3.1. Materials
3.2. Preparation of the Biochar-Based Adsorbents
3.3. Adsorbents Characterization
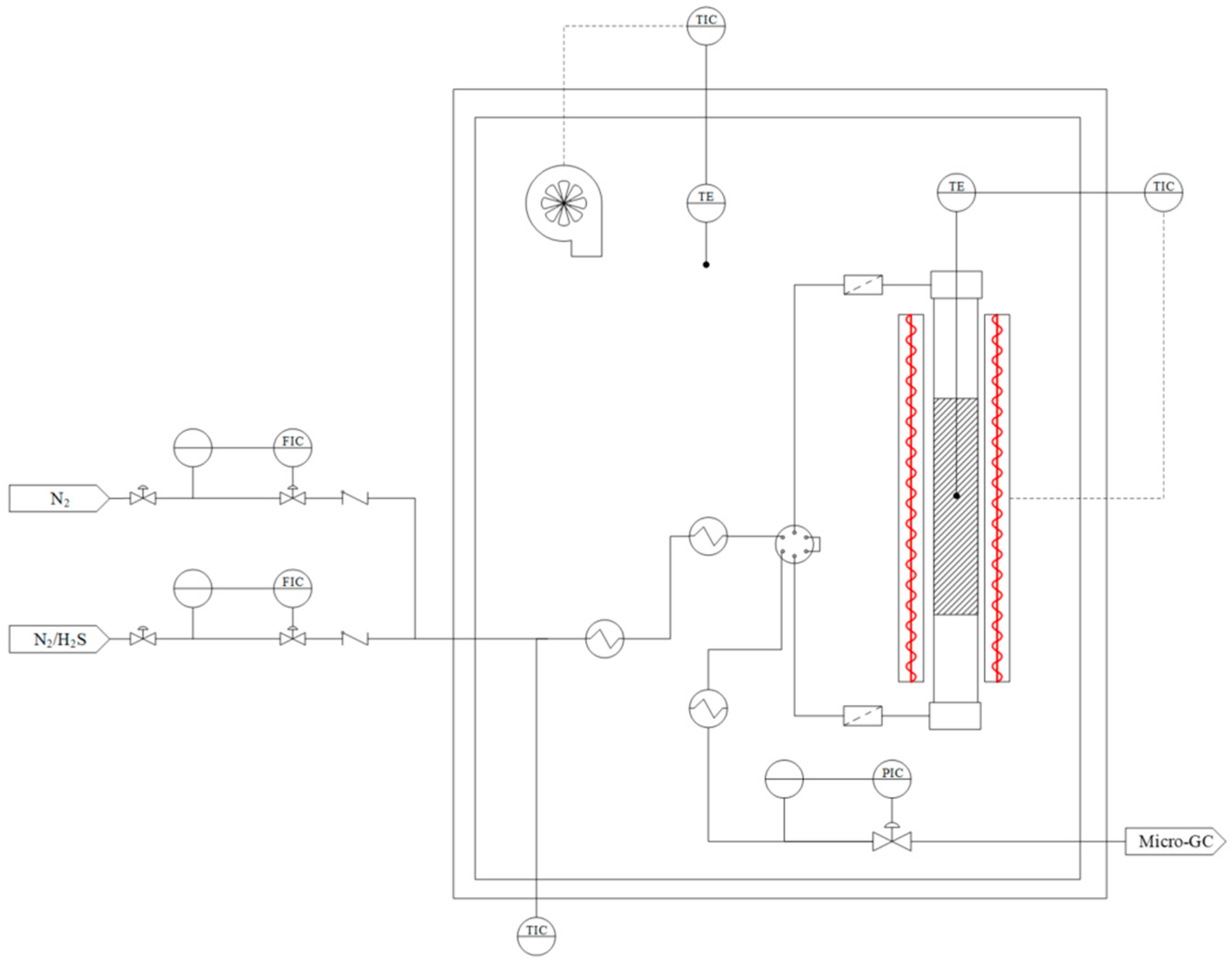
3.4. Adsorption Procedures
3.4.1. CO2 Adsorbent Procedure
3.4.2. H2S Removal at Low Temperature
4. Conclusions
Supplementary Materials
Author Contributions
Funding
Informed Consent Statement
Data Availability Statement
Conflicts of Interest
Abbreviations
| BET | Brunauer–Emmett–Teller |
| BJH | Barrett–Joyner–Halenda |
| DTG | Derivative thermogravimetry |
| IUPAC | International Union of Pure and Applied Chemistry |
| MFCs | Mass flow controllers |
| PFO | Pseudo first order |
| PIC | Pressure indicator controller |
| PS | Pistachio shell |
| PSB | Pistachio shell biochar |
| PSB-CA | Pistachio shell biochar chemically activated |
| PSB-PA | Pistachio shell biochar physically activated |
| PSO | Pseudo second order |
| SSA | Specific surface area |
| TGA | Thermogravimetric analysis |
| TIC | Temperature indicator controller |
| WHSV | Weight hourly space velocity |
References
- Chen, W.-H.; Naveen, C.; Ghodke, P.K.; Sharma, A.K.; Bobde, P. Co-pyrolysis of lignocellulosic biomass with other carbonaceous materials: A review on advance technologies, synergistic effect, and future prospectus. Fuel 2023, 345, 128177. [Google Scholar] [CrossRef]
- Ronsse, F.; van Hecke, S.; Dickinson, D.; Prins, W. Production and characterization of slow pyrolysis biochar: Influence of feedstock type and pyrolysis conditions. GCB Bioenergy 2013, 5, 104–115. [Google Scholar] [CrossRef]
- Sajjadi, B.; Chen, W.-Y.; Egiebor, N.O. A comprehensive review on physical activation of biochar for energy and environmental applications. Rev. Chem. Eng. 2019, 35, 735–776. [Google Scholar] [CrossRef]
- Jung, S.; Park, Y.-K.; Kwon, E.E. Strategic use of biochar for CO2 capture and sequestration. J. CO2 Util. 2019, 32, 128–139. [Google Scholar] [CrossRef]
- Sajjadi, B.; Zubatiuk, T.; Leszczynska, D.; Leszczynski, J.; Chen, W.Y. Chemical activation of biochar for energy and environmental applications: A comprehensive review. Rev. Chem. Eng. 2019, 35, 777–815. [Google Scholar] [CrossRef]
- Hoang, A.T.; Varbanov, P.S.; Nižetić, S.; Sirohi, R.; Pandey, A.; Luque, R.; Ng, K.H.; Pham, V.V. Perspective review on Municipal Solid Waste-to-energy route: Characteristics, management strategy, and role in circular economy. J. Clean. Prod. 2022, 359, 131897. [Google Scholar] [CrossRef]
- Análisis de la Realidad Productiva y Cultivo Ecológico de Frutos Secos; Subdirección General de Frutas y Hortalizas y Viticultura: Madrid, Spain, 2022.
- Tonbul, Y. Pyrolysis of pistachio shell as a biomass. J. Therm. Anal. Calorim. 2008, 91, 641–647. [Google Scholar] [CrossRef]
- Kursunoglu, S.; Demir, I. The potential of pistachio shell-based activated carbons for metal removal from aqueous solutions: A review. Energy Sources Part A Recovery Util. Environ. Eff. 2022, 44, 8572–8590. [Google Scholar] [CrossRef]
- Komnitsas, K.; Zaharaki, D.; Pyliotis, I.; Vamvuka, D.; Bartzas, G. Assessment of Pistachio Shell Biochar Quality and Its Potential for Adsorption of Heavy Metals. Waste Biomass Valorization 2015, 6, 805–816. [Google Scholar] [CrossRef]
- Saghir, S.; Pu, C.; Fu, E.; Wang, Y.; Xiao, Z. Synthesis of high surface area porous biochar obtained from pistachio shells for the efficient adsorption of organic dyes from polluted water. Surf. Interfaces 2022, 34, 102357. [Google Scholar] [CrossRef]
- Wen, C.; Liu, T.; Wang, D.; Wang, Y.; Chen, H.; Luo, G.; Zhou, Z.; Li, C.; Xu, M. Biochar as the effective adsorbent to combustion gaseous pollutants: Preparation, activation, functionalization and the adsorption mechanisms. Prog. Energy Combust. Sci. 2023, 99, 101098. [Google Scholar] [CrossRef]
- Villardon, A.; Alcazar-Ruiz, A.; Dorado, F.; Sanchez- Silva, L. Enhancing carbon dioxide uptake in biochar derived from husk biomasses: Optimizing biomass particle size and steam activation conditions. J. Environ. Chem. Eng. 2024, 12, 113352. [Google Scholar] [CrossRef]
- Li, X.; Shen, Q.; Zhang, D.; Mei, X.; Ran, W.; Xu, Y.; Yu, G. Functional Groups Determine Biochar Properties (pH and EC) as Studied by Two-Dimensional 13C NMR Correlation Spectroscopy. PLoS ONE 2013, 8, e65949. [Google Scholar] [CrossRef]
- Pathomrotsakun, J.; Nakason, K.; Kraithong, W.; Khemthong, P.; Panyapinyopol, B.; Pavasant, P. Fuel properties of biochar from torrefaction of ground coffee residue: Effect of process temperature, time, and sweeping gas. Biomass Convers. Biorefinery 2020, 10, 743–753. [Google Scholar] [CrossRef]
- Salazar-Cruz, B.A.; Chávez-Cinco, M.Y.; Morales-Cepeda, A.B.; Ramos-Galván, C.E.; Rivera-Armenta, J.L. Evaluation of Thermal Properties of Composites Prepared from Pistachio Shell Particles Treated Chemically and Polypropylene. Molecules 2022, 27, 426. [Google Scholar] [CrossRef]
- Açıkalın, K. Pyrolytic characteristics and kinetics of pistachio shell by thermogravimetric analysis. J. Therm. Anal. Calorim. 2012, 109, 227–235. [Google Scholar] [CrossRef]
- Fu, Y.; Shen, Y.; Zhang, Z.; Ge, X.; Chen, M. Activated bio-chars derived from rice husk via one- and two-step KOH-catalyzed pyrolysis for phenol adsorption. Sci. Total Environ. 2019, 646, 1567–1577. [Google Scholar] [CrossRef]
- Ma, M.; Ying, H.; Cao, F.; Wang, Q.; Ai, N. Adsorption of congo red on mesoporous activated carbon prepared by CO2 physical activation. Chin. J. Chem. Eng. 2020, 28, 1069–1076. [Google Scholar] [CrossRef]
- Hong, S.-M.; Choi, S.W.; Kim, S.H.; Lee, K.B. Porous carbon based on polyvinylidene fluoride: Enhancement of CO2 adsorption by physical activation. Carbon 2016, 99, 354–360. [Google Scholar] [CrossRef]
- Sing, K.S.W. Reporting physisorption data for gas/solid systems with special reference to the determination of surface area and porosity (Recommendations 1984). Pure Appl. Chem. 1985, 57, 603–619. [Google Scholar] [CrossRef]
- Martín-Martínez, J.M. Adsorción Física de Gases y Vapores por Carbones; Universidad de Alicante, Secretariado de Publicaciones: Alicante, Spain, 1990. [Google Scholar]
- Alhassan, M.; Andresen, J. Effect of Bone during Fixed Bed Pyrolysis of Pistachio Nut Shell. Int. J. Sci. Eng. Investig. 2013, 2, 37–48. [Google Scholar]
- Shafawi, A.N.; Mohamed, A.R.; Lahijani, P.; Mohammadi, M. Recent advances in developing engineered biochar for CO2 capture: An insight into the biochar modification approaches. J. Environ. Chem. Eng. 2021, 9, 106869. [Google Scholar] [CrossRef]
- Xu, X.; Kan, Y.; Zhao, L.; Cao, X. Chemical transformation of CO2 during its capture by waste biomass derived biochars. Environ. Pollut. 2016, 213, 533–540. [Google Scholar] [CrossRef] [PubMed]
- Oschatz, M.; Antonietti, M. A search for selectivity to enable CO2 capture with porous adsorbents. Energy Environ. Sci. 2018, 11, 57–70. [Google Scholar] [CrossRef]
- D’Alessandro, D.M.; Smit, B.; Long, J.R. Carbon Dioxide Capture: Prospects for New Materials. Angew. Chem. Int. Ed. 2010, 49, 6058–6082. [Google Scholar] [CrossRef]
- Yuan, X.; Wang, J.; Deng, S.; Dissanayake, P.D.; Wang, S.; You, S.; Yip, A.C.K.; Li, S.; Jeong, Y.; Tsang, D.C.W.; et al. Sustainable Food Waste Management: Synthesizing Engineered Biochar for CO2 Capture. ACS Sustain. Chem. Eng. 2022, 10, 13026–13036. [Google Scholar] [CrossRef]
- Tang, Z.; Gao, J.; Zhang, Y.; Du, Q.; Feng, D.; Dong, H.; Peng, Y.; Zhang, T.; Xie, M. Ultra-microporous biochar-based carbon adsorbents by a facile chemical activation strategy for high-performance CO2 adsorption. Fuel Process. Technol. 2023, 241, 107613. [Google Scholar] [CrossRef]
- Liu, S.-H.; Huang, Y.-Y. Valorization of coffee grounds to biochar-derived adsorbents for CO2 adsorption. J. Clean. Prod. 2018, 175, 354–360. [Google Scholar] [CrossRef]
- Plaza, M.G.; Pevida, C.; Martín, C.F.; Fermoso, J.; Pis, J.J.; Rubiera, F. Developing almond shell-derived activated carbons as CO2 adsorbents. Sep. Purif. Technol. 2010, 71, 102–106. [Google Scholar] [CrossRef]
- Liu, J.; Liu, G.; Zhang, W.; Li, Z.; Jin, H.; Xing, F. A new approach to CO2 capture and sequestration: A novel carbon capture artificial aggregates made from biochar and municipal waste incineration bottom ash. Constr. Build. Mater. 2023, 398, 132472. [Google Scholar] [CrossRef]
- Zhang, C.; Ji, Y.; Li, C.; Zhang, Y.; Sun, S.; Xu, Y.; Jiang, L.; Wu, C. The Application of Biochar for CO2 Capture: Influence of Biochar Preparation and CO2 Capture Reactors. Ind. Eng. Chem. Res. 2023, 62, 17168–17181. [Google Scholar] [CrossRef] [PubMed]
- González, A.S.; Plaza, M.G.; Rubiera, F.; Pevida, C. Sustainable biomass-based carbon adsorbents for post-combustion CO2 capture. Chem. Eng. J. 2013, 230, 456–465. [Google Scholar] [CrossRef]
- Yıldız, Z.; Kaya, N.; Topcu, Y.; Uzun, H. Pyrolysis and optimization of chicken manure wastes in fluidized bed reactor: CO2 capture in activated bio-chars. Process Saf. Environ. Prot. 2019, 130, 297–305. [Google Scholar] [CrossRef]
- Kumar, A.; Singh, E.; Mishra, R.; Lo, S.-L.; Kumar, S. A green approach towards sorption of CO2 on waste derived biochar. Environ. Res. 2022, 214, 113954. [Google Scholar] [CrossRef]
- Monazam, E.R.; Shadle, L.J.; Miller, D.C.; Pennline, H.W.; Fauth, D.J.; Hoffman, J.S.; Gray, M.L. Equilibrium and kinetics analysis of carbon dioxide capture using immobilized amine on a mesoporous silica. AIChE J. 2013, 59, 923–935. [Google Scholar] [CrossRef]
- Wang, J.; Guo, X. Adsorption kinetic models: Physical meanings, applications, and solving methods. J. Hazard. Mater. 2020, 390, 122156. [Google Scholar] [CrossRef]
- Revellame, E.D.; Fortela, D.L.; Sharp, W.; Hernandez, R.; Zappi, M.E. Adsorption kinetic modeling using pseudo-first order and pseudo-second order rate laws: A review. Clean. Eng. Technol. 2020, 1, 100032. [Google Scholar] [CrossRef]
- Liu, Q.; Shi, J.; Zheng, S.; Tao, M.; He, Y.; Shi, Y. Kinetics Studies of CO2 Adsorption/Desorption on Amine-Functionalized Multiwalled Carbon Nanotubes. Ind. Eng. Chem. Res. 2014, 53, 11677–11683. [Google Scholar] [CrossRef]
- Liu, F.; Chen, S.; Gao, Y. Synthesis of porous polymer based solid amine adsorbent: Effect of pore size and amine loading on CO2 adsorption. J. Colloid Interface Sci. 2017, 506, 236–244. [Google Scholar] [CrossRef]
- Wei, M.; Yu, Q.; Duan, W.; Hou, L.; Liu, K.; Qin, Q.; Liu, S.; Dai, J. Equilibrium and Kinetics Analysis of CO2 Adsorption on Waste Ion-exchange Resin-based Activated Carbon. J. Taiwan Inst. Chem. Eng. 2017, 77, 161–167. [Google Scholar] [CrossRef]
- Yang, C.; Wang, Y.; Liang, M.; Su, Z.; Liu, X.; Fan, H.; Bandosz, T.J. Towards improving H2S catalytic oxidation on porous carbon materials at room temperature: A review of governing and influencing factors, recent advances, mechanisms and perspectives. Appl. Catal. B Environ. 2023, 323, 122133. [Google Scholar] [CrossRef]
- Panwar, N.L.; Pawar, A. Influence of activation conditions on the physicochemical properties of activated biochar: A review. Biomass Convers. Biorefinery 2022, 12, 925–947. [Google Scholar] [CrossRef]
- Choudhury, A.; Lansing, S. Adsorption of hydrogen sulfide in biogas using a novel iron-impregnated biochar scrubbing system. J. Environ. Chem. Eng. 2021, 9, 104837. [Google Scholar] [CrossRef]
- Adib, F.; Bagreev, A.; Bandosz, T.J. Adsorption/Oxidation of Hydrogen Sulfide on Nitrogen-Containing Activated Carbons. Langmuir 2000, 16, 1980–1986. [Google Scholar] [CrossRef]
- Huang, D.; Wang, N.; Bai, X.; Chen, Y.; Xu, Q. The influencing mechanism of O2, H2O, and CO2 on the H2S removal of food waste digestate-derived biochar with abundant minerals. Biochar 2022, 4, 71. [Google Scholar] [CrossRef]
- Hervy, M.; Pham Minh, D.; Gérente, C.; Weiss-Hortala, E.; Nzihou, A.; Villot, A.; Le Coq, L. H2S removal from syngas using wastes pyrolysis chars. Chem. Eng. J. 2018, 334, 2179–2189. [Google Scholar] [CrossRef]
- Vuppaladadiyam, A.K.; Jena, M.K.; Hakeem, I.G.; Patel, S.; Veluswamy, G.; Thulasiraman, A.V.; Surapaneni, A.; Shah, K. A critical review of biochar versus hydrochar and their application for H2S removal from biogas. Rev. Environ. Sci. Bio/Technol. 2024, 23, 699–737. [Google Scholar] [CrossRef]
- Ho, Y.S.; McKay, G. Pseudo-second order model for sorption processes. Process Biochem. 1999, 34, 451–465. [Google Scholar] [CrossRef]
- Shafeeyan, M.S.; Daud, W.M.A.W.; Shamiri, A.; Aghamohammadi, N. Modeling of Carbon Dioxide Adsorption onto Ammonia-Modified Activated Carbon: Kinetic Analysis and Breakthrough Behavior. Energy Fuels 2015, 29, 6565–6577. [Google Scholar] [CrossRef]
- Serna-Guerrero, R.; Sayari, A. Modeling adsorption of CO2 on amine-functionalized mesoporous silica. 2: Kinetics and breakthrough curves. Chem. Eng. J. 2010, 161, 182–190. [Google Scholar] [CrossRef]
- Fernández-Martínez, R.; Ortiz, I.; Gómez-Mancebo, M.B.; Alcaraz, L.; Fernández, M.; López, F.A.; Rucandio, I.; Sánchez-Hervás, J.M. Transformation of Graphite Recovered from Batteries into Functionalized Graphene-Based Sorbents and Application to Gas Desulfurization. Molecules 2024, 29, 3577. [Google Scholar] [CrossRef] [PubMed]
- Sánchez, J.M.; Ruiz, E.; Otero, J. Selective Removal of Hydrogen Sulfide from Gaseous Streams Using a Zinc-Based Sorbent. Ind. Eng. Chem. Res. 2005, 44, 241–249. [Google Scholar] [CrossRef]












| Adsorbent | C% (d.b) | H% (d.b) | N% (d.b) | S% (d.b) | O% 1 (d.b) | H/C | O/C | Ash% | pH | ρ (g/mL) | Production Yield (%) |
|---|---|---|---|---|---|---|---|---|---|---|---|
| PS | 45.5 | 6.8 | 0.10 | <0.10 | 47.7 | 1.8 | 0.79 | <0.10 | 6.87 | 0.579 | - |
| PSB | 88.4 | 3.6 | 0.33 | <0.10 | 7.42 | 0.49 | 0.06 | 0.25 | 9.11 | 0.407 | 23.3 |
| PSB-CA | 77.7 | 2.5 | 0.28 | <0.10 | 15.72 | 0.39 | 0.15 | 3.8 | 9.4 | 0.479 | 22.8 |
| PSB-PA | 95.3 | 1.6 | 0.42 | <0.10 | 2.36 | 0.20 | 0.02 | 0.32 | 8.84 | 0.449 | 20.2 |
| Adsorbent | BET Area(m2/g) | Area Micro (m2/g) | Area External (m2/g) | VT (cm3/g) | Vp micro (cm3/g) | Vp meso (cm3/g) | DAvg (nm) | Total Intrusion Volume (cm3/g) | Total Pore Area (m2/g) | Porosity (%) |
|---|---|---|---|---|---|---|---|---|---|---|
| PS | 0.2 | 0.0004 | 0.22 | 0.001 | - | 0.001 | 6.12 | 0.16 | 4.3 | 17 |
| PSB | 293 | 238 | 55 | 0.14 | 0.11 | 0.031 | 1.92 | 0.58 | 9.6 | 47 |
| PSB-CA | 531 | 448 | 82 | 0.23 | 0.21 | 0.024 | 1.90 | 0.73 | 8.7 | 47 |
| PSB-PA | 340 | 165 | 174 | 0.16 | 0.07 | 0.08 | 1.82 | 0.67 | 7.2 | 45 |
| Model | Parameter | PS | PSB | PSB-PA | PSB-CA |
|---|---|---|---|---|---|
| PFO | qe (mg g−1) | 7.6 | 48 | 43 | 62 |
| k1 (min−1) | 0.035 | 0.64 | 0.72 | 0.46 | |
| R2 | 0.9967 | 0.9643 | 0.9435 | 0.9413 | |
| PSO | qe (mg g−1) | 11 | 83 | 80 | 115 |
| k2 (min−1) | 0.0038 | 0.0017 | 0.0072 | 0.0043 | |
| R2 | 0.9950 | 0.2979 | 0.8458 | 0.8505 | |
| Avrami | qe (mg g−1) | 8.7 | 40 | 57 | 96 |
| nAv | 0.32 | 0.62 | 1.13 | 1.04 | |
| kAv (min−1) | 0.052 | 2.20 | 0.75 | 0.56 | |
| R2 | 0.9953 | 0.9794 | 0.9692 | 0.9580 | |
| Experimental | qe exp (mg g−1) | 8.4 | 42 | 57 | 87 |
| Model | Parameter | PS | PSB | PSB-PA | PSB-CA |
|---|---|---|---|---|---|
| PFO | qe (mg g−1) | 7.7 | 41 | 58 | 92 |
| k1 (min−1) | 0.050 | 0.60 | 0.99 | 0.67 | |
| R2 | 0.9970 | 0.9667 | 0.9997 | 0.9976 | |
| PSO | qe (mg g−1) | 10 | 49 | 71 | 115 |
| k2 (min−1) | 0.0043 | 0.0013 | 0.014 | 0.0058 | |
| R2 | 0.9997 | 0.9286 | 0.9692 | 0.98629 | |
| Avrami | qe | 8.3 | 40 | 55 | 89 |
| NAv | 0.86 | 1.64 | 1.29 | 1.12 | |
| kAv (min−1) | 0.052 | 0.62 | 0.99 | 0.70 | |
| R2 | 0.9995 | 0.9986 | 0.9997 | 0.9996 | |
| Experimental | qe exp (mg g−1) | 8.4 | 42 | 57 | 87 |
Disclaimer/Publisher’s Note: The statements, opinions and data contained in all publications are solely those of the individual author(s) and contributor(s) and not of MDPI and/or the editor(s). MDPI and/or the editor(s) disclaim responsibility for any injury to people or property resulting from any ideas, methods, instructions or products referred to in the content. |
© 2025 by the authors. Licensee MDPI, Basel, Switzerland. This article is an open access article distributed under the terms and conditions of the Creative Commons Attribution (CC BY) license (https://creativecommons.org/licenses/by/4.0/).
Share and Cite
Márquez Negro, A.; Martí, V.; Sánchez-Hervás, J.M.; Ortiz, I. Development of Pistachio Shell-Based Bioadsorbents Through Pyrolysis for CO2 Capture and H2S Removal. Molecules 2025, 30, 1501. https://doi.org/10.3390/molecules30071501
Márquez Negro A, Martí V, Sánchez-Hervás JM, Ortiz I. Development of Pistachio Shell-Based Bioadsorbents Through Pyrolysis for CO2 Capture and H2S Removal. Molecules. 2025; 30(7):1501. https://doi.org/10.3390/molecules30071501
Chicago/Turabian StyleMárquez Negro, Alejandro, Verónica Martí, José María Sánchez-Hervás, and Isabel Ortiz. 2025. "Development of Pistachio Shell-Based Bioadsorbents Through Pyrolysis for CO2 Capture and H2S Removal" Molecules 30, no. 7: 1501. https://doi.org/10.3390/molecules30071501
APA StyleMárquez Negro, A., Martí, V., Sánchez-Hervás, J. M., & Ortiz, I. (2025). Development of Pistachio Shell-Based Bioadsorbents Through Pyrolysis for CO2 Capture and H2S Removal. Molecules, 30(7), 1501. https://doi.org/10.3390/molecules30071501

