Simultaneous Measurements of Nanotrace Amounts of Lead and Cadmium Using an Environmentally Friendly Sensor (An Activated Glassy Carbon Electrode Modified with a Bismuth Film)
Abstract
1. Introduction
2. Results and Discussion
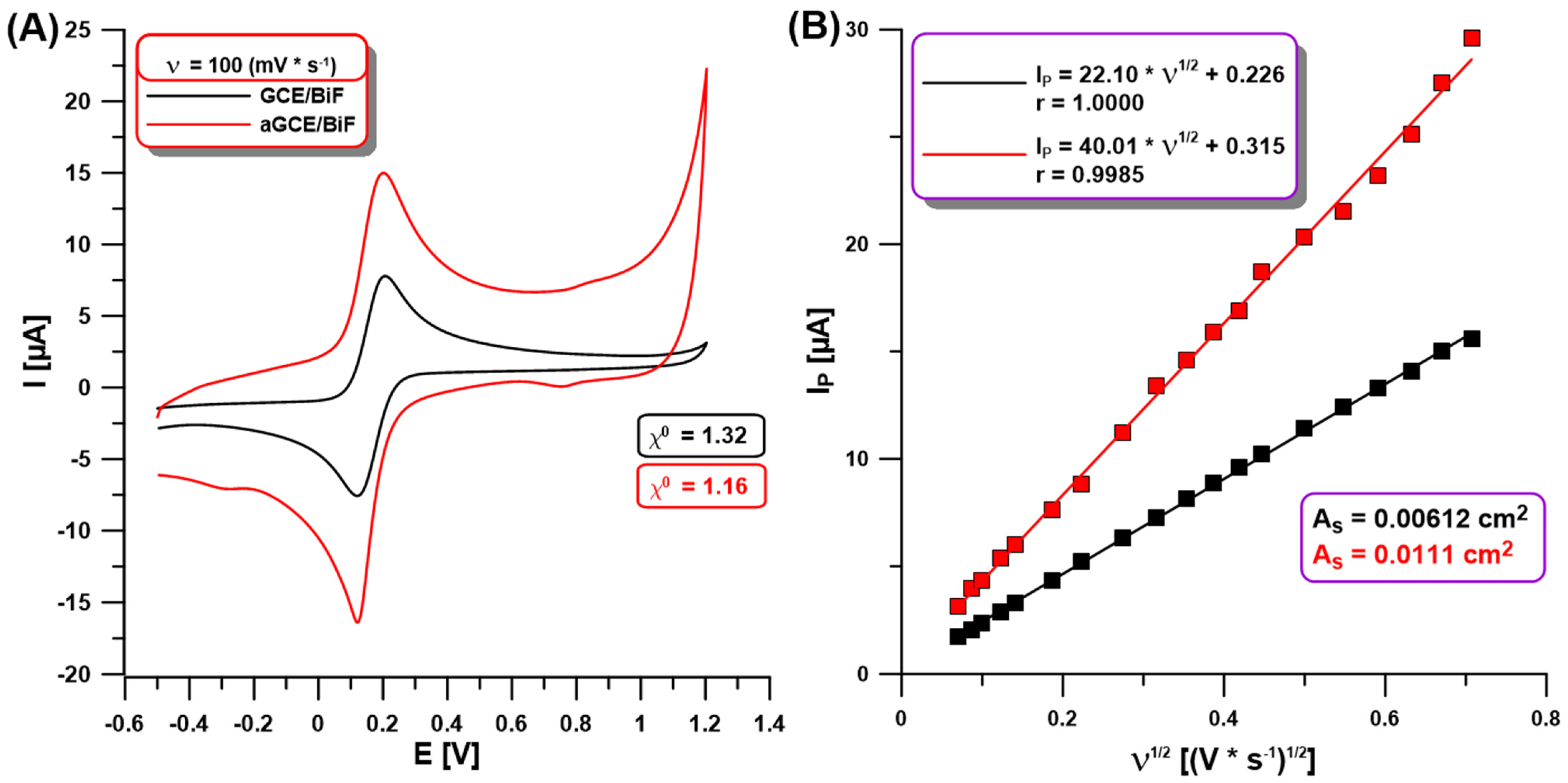
2.1. Activation of the Electrode Surface

| Electrode | Technique | Linear Range [nM] | LOD [nM] | Analyzed Sample | Ref. | ||
|---|---|---|---|---|---|---|---|
| Cd(II) | Pb(II) | Cd(II) | Pb(II) | ||||
| HMDE | DPAdCSV | 1.8–266.9 | 2.4–337.8 | 0.089 | 0.082 | Food | [9] |
| CMCPE | DPASV | 250.0–25,000.0 | 100.0–15,000.0 | 40.0 | 10.0 | Water | [10] |
| SPCE/poly(BCP)/Bi | DPASV | 0–2224.0 | 0–1207.0 | 0.32 | 0.13 | Wastewater | [11] |
| GCE/BiF/NanoSiO2 | SWASV | 17.8–1334.0 | 9.7–724.0 | 5.34 | 0.96 | Water | [12] |
| BDDE | SWASV | 50.0–3985.0 | 48.0–7954.0 | 30.0 | 17.50 | - | [13] |
| GCE/MoSI | DPASV | 4.5–1334.0 | 7.2–724.0 | 0.89 | 2.17 | Tap water | [14] |
| GNs@AgNP | SWASV | 21.3–192.0 | 198.0–989.0 | 0.21 | 0.21 | Water | [15] |
| GCE/NHgFE | SWAdSV | 4.5–356.0 | 2.4–193.0 | 1.78 | 0.96 | CRM | [25] |
| GCE/HgF-N-L | SWASV | 16.0–222.0 | 1.9–145.0 | 0.089 | 0.39 | Tap water | [26] |
| GE/poly(PCA) | SWASV | 356.0–8896.0 | 193.0–4826.0 | 137.0 | 66.0 | Freshwater and water | [27] |
| GCE/MnCo2O4NPs | LSASV | 50.0–1600.0 | 50.0–40,000.0 | 7.02 | 8.06 | Distilled, tap, and river water | [28] |
| GSPE/Bi2O3 | SWASV | 17.8–177.9 | 9.6–96.5 | 15.10 | 2.41 | Groundwater | [19] |
| GSPE/CS@Bi2O3 | SWASV | 17.8–177.9 | 9.6–96.5 | 13.30 | 0.96 | Groundwater | [19] |
| SPGE/Nafion/BiF | SWASV | 444.8–2668.8 | 96.5–1447.9 | 35.60 | 14.50 | River water | [20] |
| GCE/Au-GN-SeCys/BiF | SWASV | 4.5–889.6 | 2.4–482.6 | 0.71 | 0.24 | Groundwater, soil, and plant samples | [21] |
| GCE/Bi2O3@NPBi | SWASV | 4.5–1779.2 | 2.4–965.3 | 0.27 | 0.10 | Tap water | [22] |
| CFME/BiF | SWASV | 357.1–1785.7 | 193.1–965.3 | - | 5.31 | - | [23] |
| GCE/BiF | DPASV | 0–356.0 | 0–241.0 | 0.80 | 0.77 | Water | [24] |
| aGCE/BiF | SWASV | 5.0–100.0 | 2.0–200.0 | 0.62 | 0.18 | CRM and river water | This work |
2.2. pH and Concentration Studies of Supporting Electrolyte
2.3. Bi(III) Concentration and Deposition/Accumulation Studies
2.4. Effect of Technique Parameters
2.5. Electrochemical Cleaning, Calibration, Sensitivity, and Application
3. Materials and Methods
3.1. Instrumentation
3.2. Reagents
3.3. GCE Surface Activation and SWASV Measurements
4. Conclusions
Author Contributions
Funding
Institutional Review Board Statement
Informed Consent Statement
Data Availability Statement
Conflicts of Interest
References
- Mitra, S.; Chakraborty, A.J.; Tareq, A.M.; Emran, T.B.; Nainu, F.; Khusro, A.; Idris, A.M.; Khandaker, M.U.; Osman, H.; Alhumaydhi, F.A.; et al. Impact of heavy metals on the environment and human health: Novel therapeutic insights to counter the toxicity. J. King Saud Univ. Sci. 2022, 34, 101865. [Google Scholar] [CrossRef]
- Manju, M. Effects of heavy metals on human health. Int. J. Res. Granthaalayah 2015, 3, 1–7. [Google Scholar]
- Sall, M.L.; Diaw, A.K.D.; Gningue-Sall, D.; Aaron, S.E.; Aaron, J.-J. Toxic heavy metals: Impact on the environment and human health and treatment with conducting organic polymers, a review. Environ. Sci. Pollut. Res. 2020, 27, 29927–29942. [Google Scholar] [CrossRef]
- Zhang, H.; Reynolds, M. Cadmium exposure in living organisms: A short review. Sci. Total Environ. 2019, 678, 761–767. [Google Scholar] [CrossRef]
- Galal-Gorchev, H. Dietary intake, levels in food and estimated intake of lead, cadmium, and mercury. Food Addit. Contam. 1993, 10, 115–128. [Google Scholar] [CrossRef] [PubMed]
- Oymak, T.; Tokalıoğlu, Ş.; Yılmaz, V.; Kartal, Ş.; Aydın, D. Determination of lead and cadmium in food samples by the coprecipitation method. Food Chem. 2009, 113, 1314–1317. [Google Scholar] [CrossRef]
- Zhang, Z.; Shimbo, S.; Ochi, N.; Eguchi, M.; Watanabe, T.; Moon, C.; Ikeda, M. Determination of lead and cadmium in food and blood by inductively coupled plasma mass spectrometry: A comparison with graphite furnace atomic absorption spectrometry. Sci. Total Environ. 1997, 205, 179–187. [Google Scholar] [CrossRef]
- Alqahtani, A.M.; Mojally, M.; Sayqal, A.; Ainousah, B.E.; Alqmash, A.; Alzahrani, S.; Alqurashi, G.; Wawi, O.; Alsharif, A. Determination of lead and cadmium concentration in cosmetic products in the Saudi market. J. Umm Al-Qura Univ. Appl. Sci. 2024, 10, 146–155. [Google Scholar] [CrossRef]
- Abbasi, S.; Khodarahmiyan, K.; Abbasi, F. Simultaneous determination of ultra trace amounts of lead and cadmium in food samples by adsorptive stripping voltammetry. Food Chem. 2011, 128, 254–257. [Google Scholar] [CrossRef]
- Hu, C.; Wu, K.; Dai, X.; Hu, S. Simultaneous determination of lead(II) and cadmium(II) at a diacetyldioxime modified carbon paste electrode by differential pulse stripping voltammetry. Talanta 2003, 60, 17–24. [Google Scholar] [CrossRef]
- Birara, A.; Washe, A.P.; Bayeh, Y.; Ashebr, T.G. Simultaneous quantification of Cd(II) and Pb(II) by bismuth/poly(bromocresol purple) modified screen-printed carbon-electrode in wastewater. Int. J. Electrochem. Sci. 2024, 19, 100431. [Google Scholar] [CrossRef]
- Yang, D.; Wang, L.; Chen, Z.; Megharaj, M.; Naidu, R. Voltammetric Determination of Lead (II) and Cadmium (II) Using a Bismuth Film Electrode Modified with Mesoporous Silica Nanoparticles. Electrochim. Acta 2014, 132, 223–229. [Google Scholar] [CrossRef]
- Pei, J.; Yu, X.; Zhang, C.; Liu, X. Development of a Boron-Doped Diamond Electrode for the Simultaneous Detection of Cd2+ and Pb2+ in Water. Int. J. Electrochem. Sci. 2019, 14, 3393–3407. [Google Scholar] [CrossRef]
- Lin, H.; Li, M.; Mihailovič, D. Simultaneous Determination of Copper, Lead, and Cadmium Ions at a Mo6S9−xIx Nanowires Modified Glassy Carbon Electrode Using Differential Pulse Anodic Stripping Voltammetry. Electrochim. Acta 2015, 154, 184–189. [Google Scholar] [CrossRef]
- Liu, Y.; Zhang, J.; Du, X.; Cao, Y.; Sun, Y. One-step synthesis of Ag nanoparticles decorated graphene for application in electrochemical detection of Pb2+ and Cd2+ ions. Int. J. Electrochem. Sci. 2021, 16, 210551. [Google Scholar] [CrossRef]
- Tyszczuk-Rotko, K.; Keller, A.; Gorylewski, D.; Kozak, J.; Staniec, K.; Wójciak, M.; Sowa, I. Sensitive and selective antioxidant curcumin analysis using anionic surfactant modified glassy carbon electrode. Microchem. J. 2024, 201, 110697. [Google Scholar] [CrossRef]
- Abdel-Aziz, A.M.; Hassan, H.H.; Badr, I.H.A. Activated Glassy Carbon Electrode as an Electrochemical Sensing Platform for the Determination of 4-Nitrophenol and Dopamine in Real Samples. ACS Omega 2022, 7, 34127–34135. [Google Scholar] [CrossRef]
- Abdel-Aziz, A.M.; Hassan, H.H.; Badr, I.H.A. Glassy carbon electrode electromodification in the presence of organic monomers: Electropolymerization versus activation. Anal. Chem. 2020, 92, 7947–7954. [Google Scholar] [CrossRef]
- De Benedetto, A.; Torre, A.D.; Guascito, M.R.; Di Corato, R.; Chirivì, L.; Rinaldi, R.; Aloisi, A. Spectroscopic investigations of a commercial graphite screen printed electrode modified by bismuth oxide drop deposition and electrochemical reduction, for cadmium and lead ions simultaneous determination. J. Electroanal. Chem. 2024, 964, 118341. [Google Scholar] [CrossRef]
- Albalawi, I.; Hogan, A.; Alatawi, H.; Moore, E. A sensitive electrochemical analysis for cadmium and lead based on Nafion-Bismuth film in a water sample. Sens. Bio-Sens. Res. 2021, 34, 100454. [Google Scholar] [CrossRef]
- Al-Hossainy, A.F.; Abd-Elmageed, A.A.I.; Ibrahim, A.T.A. Synthesis, structural and optical properties of gold nanoparticle-graphene-selenocysteine composite bismuth ultrathin film electrode and its application to Pb(II) and Cd(II) determination. Arab. J. Chem. 2019, 12, 2853–2863. [Google Scholar] [CrossRef]
- Wang, Y.; Wu, X.; Sun, J.; Wang, C.; Zhu, G.; Bai, L.P.; Jiang, Z.H.; Zhang, W. Stripping voltammetric determination of cadmium and lead ions based on a bismuth oxide surface-decorated nanoporous bismuth electrode. Electrochem. Commun. 2022, 136, 107233. [Google Scholar] [CrossRef]
- Wang, J.; Lu, J.; Hocevar, S.B.; Farias, P.A.; Ogorevc, B. Bismuth-coated carbon electrodes for anodic stripping voltammetry. Anal. Chem. 2000, 72, 3218–3222. [Google Scholar] [CrossRef]
- Rojas-Romo, C.; Aliaga, M.E.; Arancibia, V.; Gomez, M. Determination of Pb(II) and Cd(II) via anodic stripping voltammetry using an in-situ bismuth film electrode. Increasing the sensitivity of the method by the presence of Alizarin Red S. Microchem. J. 2020, 159, 105373. [Google Scholar] [CrossRef]
- Nagles, E.; Arancibia, V.; Rtos, R. Determination of Lead and Cadmium in the Presence of Quercetin–5′–sulfonic Acid by Adsorptive Stripping Voltammetry with a Hanging Mercury Drop Electrode and a Nafion–coated Mercury Film Electrode. Int. J. Electrochem. Sci. 2012, 7, 4545–4558. [Google Scholar] [CrossRef]
- Lara, J.; Torres, J.F.; Beltrán, O.G.; Nagles, E.; Hurtado, J. Simultaneous Determination of Lead and Cadmium by Stripping Voltammetry Using in-situ Mercury Film Glassy Carbon Electrode Coated with Nafion-Macrocyclic Ester. Int. J. Electrochem. Sci. 2017, 12, 6920–6929. [Google Scholar] [CrossRef]
- Lima, T.M.; Soares, P.I.; Do Nascimento, L.A.; Franco, D.L.; Pereira, A.C.; Ferreira, L.F. A novel electrochemical sensor for simultaneous determination of cadmium and lead using graphite electrodes modified with poly(p-coumaric acid). Microchem. J. 2021, 168, 106406. [Google Scholar] [CrossRef]
- Antunović, V.; Ilić, M.; Baošić, R.; Jelić, D.; Lolić, A. Synthesis of MnCo2O4 nanoparticles as modifiers for simultaneous determination of Pb(II) and Cd(II). PLoS ONE 2019, 14, e0210904. [Google Scholar] [CrossRef]
- Kozak, J.; Tyszczuk-Rotko, K.; Gorylewski, D. A nanoporous screen-printed carbon sensor for environmental and clinical monitoring of the antibiotic ciprofloxacin. Measurement 2023, 222, 113626. [Google Scholar] [CrossRef]
- Kozak, J.; Tyszczuk-Rotko, K. Screen-printed gold electrode for ultrasensitive voltammetric determination of the antipsychotic drug thioridazine. Measurement 2023, 217, 113107. [Google Scholar] [CrossRef]
- Linsinger, T.P.J. Comparison of Measurements Results with the Certified Value. ERM Application Note 1. July 2005. Available online: https://crm.jrc.ec.europa.eu/ (accessed on 1 February 2025).






| Analytical Parameter | Cd(II) | Pb(II) |
|---|---|---|
| Measured value ± SD a (µg/L) | 0.508 ± 0.0254 | 0.312 ± 0.0172 |
| Certified value ± 2σ b (µg/L) | 0.524 ± 0.0602 | 0.346 ± 0.0695 |
| Δm c | 0.016 | 0.034 |
| UΔ d | 0.062 | 0.121 |
Disclaimer/Publisher’s Note: The statements, opinions and data contained in all publications are solely those of the individual author(s) and contributor(s) and not of MDPI and/or the editor(s). MDPI and/or the editor(s) disclaim responsibility for any injury to people or property resulting from any ideas, methods, instructions or products referred to in the content. |
© 2025 by the authors. Licensee MDPI, Basel, Switzerland. This article is an open access article distributed under the terms and conditions of the Creative Commons Attribution (CC BY) license (https://creativecommons.org/licenses/by/4.0/).
Share and Cite
Tyszczuk-Rotko, K.; Keller, A. Simultaneous Measurements of Nanotrace Amounts of Lead and Cadmium Using an Environmentally Friendly Sensor (An Activated Glassy Carbon Electrode Modified with a Bismuth Film). Molecules 2025, 30, 1308. https://doi.org/10.3390/molecules30061308
Tyszczuk-Rotko K, Keller A. Simultaneous Measurements of Nanotrace Amounts of Lead and Cadmium Using an Environmentally Friendly Sensor (An Activated Glassy Carbon Electrode Modified with a Bismuth Film). Molecules. 2025; 30(6):1308. https://doi.org/10.3390/molecules30061308
Chicago/Turabian StyleTyszczuk-Rotko, Katarzyna, and Aleksy Keller. 2025. "Simultaneous Measurements of Nanotrace Amounts of Lead and Cadmium Using an Environmentally Friendly Sensor (An Activated Glassy Carbon Electrode Modified with a Bismuth Film)" Molecules 30, no. 6: 1308. https://doi.org/10.3390/molecules30061308
APA StyleTyszczuk-Rotko, K., & Keller, A. (2025). Simultaneous Measurements of Nanotrace Amounts of Lead and Cadmium Using an Environmentally Friendly Sensor (An Activated Glassy Carbon Electrode Modified with a Bismuth Film). Molecules, 30(6), 1308. https://doi.org/10.3390/molecules30061308

