Discovery of Potential Antileishmanial Compounds Through Phenotypic Screening of an Alkaloid Library
Abstract
1. Introduction
2. Results
2.1. Strategy of Compound Screening Against Leishmania
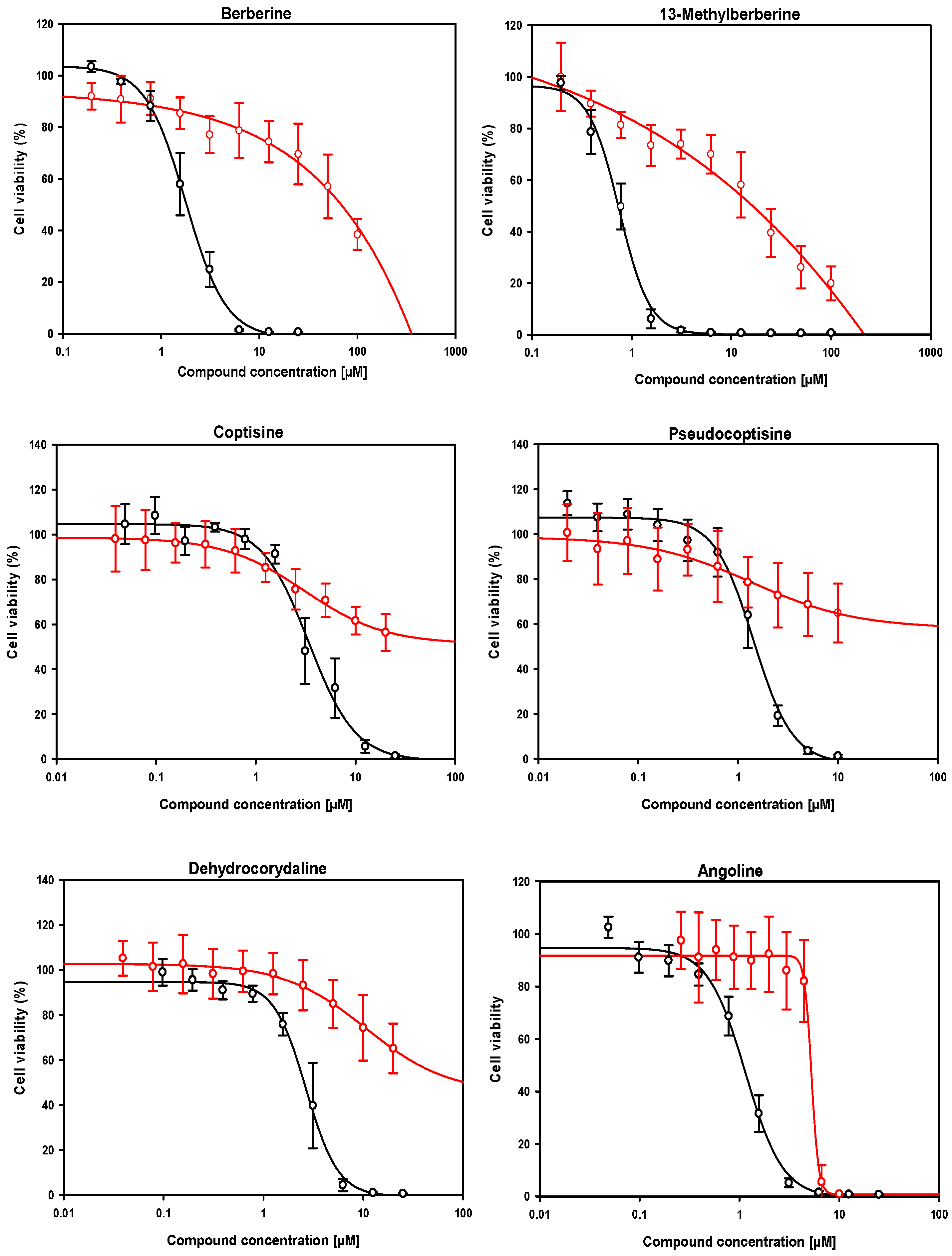
2.2. Primary Screening and Cheminformatics Hit Selection
3. Discussion
4. Materials and Methods
4.1. Preparation of the Drug Library
4.2. Experimental Animals and Ethical Statement
4.3. Leishmania donovani Strain
4.4. Isolation of Axenic Amastigotes of L. donovani IRFP from Bone Marrow
4.5. Culture of Ex Vivo Splenic Explants Infected with L. donovani IRFP
4.6. In Vitro Cytotoxicity and Tolerance Assessment
4.7. Chemo-Informatics
4.7.1. Chemical Clustering
4.7.2. Murcko Scaffold Enrichment
4.7.3. Predictive Druglikeness and ADMET
5. Conclusions
Supplementary Materials
Author Contributions
Funding
Institutional Review Board Statement
Informed Consent Statement
Data Availability Statement
Acknowledgments
Conflicts of Interest
Abbreviations
| NTD | Neglected Tropical Diseases |
| VL | Visceral Leishmaniasis |
| HTS | High-Throughput Screening |
| IRPF | Infrared Fluorescent Protein |
| DNDi | Drugs for Neglected Diseases Initiative |
| FBS | Fetal Bovine Serum |
| ADMET | Absorption, Distribution, Metabolism, Excretion and Toxicity |
| SMILES | Simplified Molecular Input Line Entry System |
| PAINS | Pan-Assay Interference Compounds |
References
- World Health Organization. Ending the Neglect to Attain the Sustainable Development Goals: A Road Map for Neglected Tropical Diseases 2021–2030; World Health Organization: Geneva, Switzerland, 2020. [Google Scholar]
- Hietanen, H.; Pfavayi, L.T.; Mutapi, F. Unlocking the blueprint to eliminating neglected tropical diseases: A review of efforts in 50 countries that have eliminated at least 1 NTD. PLoS Negl. Trop. Dis. 2025, 19, e0013424. [Google Scholar] [CrossRef]
- DNDi-Annual Report 2024. Available online: https://dndi.org/wp-content/uploads/2025/07/DNDi-AnnualReport-2024.pdf (accessed on 1 September 2025).
- Burza, S.; Croft, S.L.; Boelaert, M. Leishmaniasis. Lancet 2018, 392, 951–970. [Google Scholar] [CrossRef]
- Mann, S.; Frasca, K.; Scherrer, S.; Henao-Martínez, A.F.; Newman, S.; Ramanan, P.; Suarez, J.A. A review of leishmaniasis: Current knowledge and future directions. Curr. Trop. Med. Rep. 2021, 8, 121–132. [Google Scholar] [CrossRef]
- Jain, S.; Madjou, S.; Farah, J.; Agua, V.; Maia-Elkhoury, A.N.; Valadas, S.; Warusavithana, S.; Osman, M.; Yajima, A.; Beshahe, A.; et al. Global leishmaniasis surveillance updates 2023: 3 years of the NTD road map. Wkly. Epidemiol. Rec. 2024, 45, 653–669. [Google Scholar]
- Reguera, R.M.; Pérez-Pertejo, Y.; Gutiérrez-Corbo, C.; Domínguez-Asenjo, B.; Ordóñez, C.; García-Estrada, C.; Martínez-Valladares, M.; Balaña-Fouce, R. Current and promising novel drug candidates against visceral leishmaniasis. Pure Appl. Chem. 2019, 91, 1385–1404. [Google Scholar] [CrossRef]
- Swinney, D.C. Phenotypic vs. target-based drug discovery for first-in-class medicines. Clin. Pharm. Ther. 2013, 93, 299–301. [Google Scholar] [CrossRef] [PubMed]
- Reguera, R.M.; Calvo-Álvarez, E.; Alvarez-Velilla, R.; Balaña-Fouce, R. Target-based vs. phenotypic screenings in Leishmania drug discovery: A marriage of convenience or a dialogue of the deaf? Int. J. Parasitol. Drugs Drug Resist. 2014, 4, 355–357. [Google Scholar] [CrossRef] [PubMed][Green Version]
- Leelananda, S.P.; Lindert, S. Computational methods in drug discovery. Beilstein J. Org. Chem. 2016, 12, 2694–2718. [Google Scholar] [CrossRef] [PubMed]
- Frye, L.; Bhat, S.; Akinsanya, K.; Abel, R. From computer-aided drug discovery to computer-driven drug discovery. Drug Discov. Today Technol. 2021, 39, 111–117. [Google Scholar] [CrossRef]
- Harvey, A.L.; Edrada-Ebel, R.; Quinn, R.J. The re-emergence of natural products for drug discovery in the genomics era. Nat. Rev. Drug Discov. 2015, 14, 111–129. [Google Scholar] [CrossRef]
- Qiu, S.; Sun, H.; Zhang, A.H.; Xu, H.Y.; Yan, G.L.; Han, Y.; Wang, X.J. Natural alkaloids: Basic aspects, biological roles, and future perspectives. Chin. J. Nat. Med. 2014, 12, 401–406. [Google Scholar] [CrossRef] [PubMed]
- Cockram, P.E.; Smith, T.K. Active natural product scaffolds against trypanosomatid parasites: A review. J. Nat. Prod. 2018, 81, 2138–2154. [Google Scholar] [CrossRef] [PubMed]
- Daley, S.K.; Cordell, G.A. Alkaloids in contemporary drug discovery to meet global disease needs. Molecules 2021, 26, 3800. [Google Scholar] [CrossRef] [PubMed]
- Scotti, M.T.; Scotti, L.; Ishiki, H.; Ribeiro, F.F.; Cruz, R.M.; Oliveira, M.P.; Mendonça, F.J. Natural products as a source for antileishmanial and antitrypanosomal agents. Comb. Chem. High. Throughput Screen. 2016, 19, 537–553. [Google Scholar] [CrossRef]
- Calvo-Álvarez, E.; Stamatakis, K.; Punzón, C.; Álvarez-Velilla, R.; Tejería, A.; Escudero-Martínez, J.M.; Pérez-Pertejo, Y.; Fresno, M.; Balaña-Fouce, R.; Reguera, R.M. Infrared fluorescent imaging as a potent tool for in vitro, ex vivo and in vivo models of visceral leishmaniasis. PLoS Negl. Trop. Dis. 2015, 9, e0003666. [Google Scholar] [CrossRef]
- Sander, T.; Freyss, J.; von Korff, M.; Rufener, C. DataWarrior: An open-source program for chemistry aware data visualization and analysis. J. Chem. Inf. Model. 2015, 55, 460–473. [Google Scholar] [CrossRef]
- Berg, E.L. The future of phenotypic drug discovery. Cell Chem. Biol. 2021, 28, 424–430. [Google Scholar] [CrossRef]
- Ravinder; Bhaskar; Gangwar, S.; Goyal, N. Development of luciferase expressing Leishmania donovani axenic amastigotes as primary model for in vitro screening of antileishmanial compounds. Curr. Microbiol. 2012, 65, 696–700. [Google Scholar] [CrossRef]
- Zhang, J.H.; Chung, T.D.Y.; Oldenburg, K.R. A simple statistical parameter for use in evaluation and validation of high throughput screening assays. J. Biomol. Screen. 1999, 4, 67–73. [Google Scholar] [CrossRef]
- Balaña-Fouce, R.; Redondo, C.M.; Pérez-Pertejo, Y.; Díaz-González, R.; Reguera, R.M. Targeting atypical trypanosomatid DNA topoisomerase I. Drug Discov. Today 2006, 11, 733–740. [Google Scholar] [CrossRef]
- Bemis, G.W.; Murcko, M.A. The properties of known drugs. 1. Molecular frameworks. J. Med. Chem. 1996, 39, 2887–2893. [Google Scholar] [CrossRef]
- Lipinski, C.A.; Lombardo, F.; Dominy, B.W.; Feeney, P.J. Experimental and computational approaches to estimate solubility and permeability in drug discovery and development settings. Adv. Drug Deliv. Rev. 2001, 46, 3–26. [Google Scholar] [CrossRef] [PubMed]
- DNDi. Available online: https://dndi.org/diseases/visceral-leishmaniasis/projects-achievements/ (accessed on 1 September 2025).
- Yaluff, G.; Herrera, L.; Rolón, M.S.; Vega, C.; Cerecetto, H. The quinoline framework and related scaffolds in natural products with anti-Leishmania properties. Front. Chem. 2025, 13, 1571067. [Google Scholar] [CrossRef] [PubMed]
- Vermeersch, M.; da Luz, R.I.; Toté, K.; Timmermans, J.P.; Cos, P.; Maes, L. In vitro susceptibilities of Leishmania donovani promastigote and amastigote stages to antileishmanial reference drugs: Practical relevance of stage-specific differences. Antimicrob. Agents Chemother. 2009, 53, 3855–3859. [Google Scholar] [CrossRef] [PubMed]
- Fotie, J.; Bohle, D.S.; Olivier, M.; Adelaida Gómez, M.; Nzimiro, S. Trypanocidal and antileishmanial dihydrochelerythrine derivatives from Garcinia lucida. J. Nat. Prod. 2007, 70, 1650–1653. [Google Scholar] [CrossRef]
- Han, N.; Yang, Z.; Liu, Z.; Liu, H.; Yin, J. Research progress on natural benzophenanthridine alkaloids and their pharmacological functions: A review. Nat. Prod. Commun. 2016, 11, 1181–1188. [Google Scholar] [CrossRef]
- Peng, R.; Xu, M.; Xie, B.; Min, Q.; Hui, S.; Du, Z.; Liu, Y.; Yu, W.; Wang, S.; Chen, X.; et al. Insights on antitumor activity and mechanism of natural benzophenanthridine alkaloids. Molecules 2023, 28, 6588. [Google Scholar] [CrossRef]
- Fuchino, H.; Kawano, M.; Mori-Yasumoto, K.; Sekita, S.; Satake, M.; Ishikawa, T.; Kiuchi, F.; Kawahara, N. In vitro leishmanicidal activity of benzophenanthridine alkaloids from Bocconia pearcei and related compounds. Chem. Pharm. Bull. 2010, 58, 1047–1050. [Google Scholar] [CrossRef]
- Castillo, D.; Sauvain, M.; Rivaud, M.; Jullian, V. In vitro and in vivo activity of benzo[c]phenanthridines against Leishmania amazonensis. Planta Med. 2014, 80, 902–906. [Google Scholar] [CrossRef]
- Ornelas-Cruces, M.; Escalona-Montaño, A.R.; Salaiza-Suazo, N.; Sifontes-Rodríguez, S.; Aguirre-García, M.M. The potential role of sanguinarine as an inhibitor of leishmania pp2c in the induction of apoptosis. Acta Parasitol. 2025, 70, 35. [Google Scholar] [CrossRef]
- De Sarkar, S.; Sarkar, D.; Sarkar, A.; Dighal, A.; Staniek, K.; Gille, L.; Chatterjee, M. Berberine chloride mediates its antileishmanial activity by inhibiting Leishmania mitochondria. Parasitol. Res. 2019, 118, 335–345. [Google Scholar] [CrossRef] [PubMed]
- Saha, P.; Sen, R.; Hariharan, C.; Kumar, D.; Das, P.; Chatterjee, M. Berberine chloride causes a caspase-independent, apoptotic-like death in Leishmania donovani promastigotes. Free Radic. Res. 2009, 43, 1101–1110. [Google Scholar] [CrossRef] [PubMed]
- Saha, P.; Bhattacharjee, S.; Sarkar, A.; Manna, A.; Majumder, S.; Chatterjee, M. Berberine chloride mediates its anti-leishmanial activity via differential regulation of the mitogen activated protein kinase pathway in macrophages. PLoS ONE 2011, 6, e18467. [Google Scholar] [CrossRef] [PubMed]
- Alamzeb, M.; Saqib, A.; Mamoon-Ur-Rashid; Khan, B.; Ihsanullah; Adnan; Omer, M.; Ullah, A.; Ali, J.; Setzer, W.N.; et al. Antileishmanial potential of berberine alkaloids from berberis glaucocarpa roots: Molecular docking suggests relevant leishmania protein targets. Nat. Prod. Commun. 2021, 16, 805–812. [Google Scholar] [CrossRef]
- Zhang, N.; Xu, Y.; Yue, X.; Xiong, L.; Li, H.; Chen, L. Isolation, characterization and anti-inflammatory effect of alkaloids from the roots of Stemona tuberosa Lour. Phytochemistry 2024, 220, 114013. [Google Scholar] [CrossRef]
- Zhang, Z.X.; Li, S.Y.; Li, F.F.; Shi, Q.Y.; Tan, C.Y.; Wang, X.J.; Li, M.; Liu, Y.B.; Jin, J.; Li, Y.; et al. Meisoindigo acts as a molecular glue to target PKMYT1 for degradation in chronic myeloid leukemia therapy. Adv. Sci. 2025, 12, e2413676. [Google Scholar] [CrossRef]
- Venditto, V.J.; Simanek, E.E. Cancer therapies utilizing the camptothecins: A review of the in vivo literature. Mol. Pharm. 2010, 7, 307–349. [Google Scholar] [CrossRef]
- Thomas, A.; Pommier, Y. Targeting topoisomerase I in the era of precision medicine. Clin. Cancer Res. 2019, 25, 6581–6589. [Google Scholar] [CrossRef]
- Villa, H.; Otero Marcos, A.R.; Reguera, R.M.; Balaña-Fouce, R.; García-Estrada, C.; Pérez-Pertejo, Y.; Tekwani, B.L.; Myler, P.J.; Stuart, K.D.; Bjornsti, M.A.; et al. A novel active DNA topoisomerase I in Leishmania donovani. J. Biol. Chem. 2003, 278, 3521–3526. [Google Scholar] [CrossRef]
- Lee, J.; Beers, J.L.; Geffert, R.M.; Jackson, K.D. A review of CYP-mediated drug interactions: Mechanisms and in vitro drug-drug interaction assessment. Biomolecules 2024, 14, 99. [Google Scholar] [CrossRef]
- Yang, X.; Stojkovic, E.A.; Kuk, J.; Moffat, K. Crystal structure of the chromophore binding domain of an unusual bacteriophytochrome, RpBphP3, reveals residues that modulate photoconversion. Proc. Natl. Acad. Sci. USA 2007, 104, 12571–12576. [Google Scholar] [CrossRef]
- Reguera, R.M.; Fouce, R.B.; Cubría, J.C.; Bujidos, M.L.; Ordóñez, D. Fluorinated analogues of L-ornithine are powerful inhibitors of ornithine decarboxylase and cell growth of Leishmania infantum promastigotes. Life Sci. 1995, 56, 223–230. [Google Scholar] [CrossRef] [PubMed]
- Melcón-Fernández, E.; Galli, G.; García-Estrada, C.; Balaña-Fouce, R.; Reguera, R.M.; Pérez-Pertejo, Y. Miltefosine and nifuratel combination: A promising therapy for the treatment of Leishmania donovani visceral leishmaniasis. Int. J. Mol. Sci. 2023, 24, 1635. [Google Scholar] [CrossRef] [PubMed]
- Domínguez-Asenjo, B.; Gutiérrez-Corbo, C.; Álvarez-Bardón, M.; Pérez-Pertejo, Y.; Balaña-Fouce, R.; Reguera, R.M. Ex vivo phenotypic screening of two small repurposing drug collections identifies nifuratel as a potential new treatment against visceral and cutaneous leishmaniasis. ACS Infect. Dis. 2021, 7, 2390–2401. [Google Scholar] [CrossRef] [PubMed]
- Kuratnik, A.; Giardina, C. Intestinal organoids as tissue surrogates for toxicological and pharmacological studies. Biochem. Pharmacol. 2013, 85, 1721–1726. [Google Scholar] [CrossRef]
- Du, Y.; Li, X.; Niu, Q.; Mo, X.; Qui, M.; Ma, T.; Kuo, C.J.; Fu, H. Development of a miniaturized 3D organoid culture platform for ultra-high-throughput screening. J. Mol. Cell Biol. 2020, 12, 630–643. [Google Scholar] [CrossRef]
- Manelfi, C.; Gemei, M.; Talarico, C.; Cerchia, C.; Fava, A.; Lunghini, F.; Beccari, A.R. “Molecular Anatomy”: A new multi-dimensional hierarchical scaffold analysis. J. Cheminform 2021, 13, 54. [Google Scholar] [CrossRef]
- Yu, T.; Nantasenamat, C.; Kachenton, S.; Anuwongcharoen, N.; Piacham, T. Cheminformatic analysis and machine learning modeling to investigate androgen receptor antagonists to combat prostate cancer. ACS Omega 2023, 8, 6729–6742. [Google Scholar] [CrossRef]
- Daina, A.; Michielin, O.; Zoete, V. SwissADME: A free web tool to evaluate pharmacokinetics, drug-likeness and medicinal chemistry friendliness of small molecules. Sci. Rep. 2017, 7, 42717. [Google Scholar] [CrossRef]
- Gu, Y.; Yu, Z.; Wang, Y.; Chen, L.; Lou, C.; Yang, C.; Li, W.; Liu, G.; Tang, Y. admetSAR3.0: A comprehensive platform for exploration, prediction and optimization of chemical ADMET properties. Nucleic Acids Res. 2024, 52, W432–W438. [Google Scholar] [CrossRef]




| Product Name | IC50 Axenic Amastigotes (µM) | EC50 Intramacrophagic Amastigotes (µM) | CC50 RAW 264.7 (µM) | SI1 | CC50 HepG2 (µM) | SI2 |
|---|---|---|---|---|---|---|
| Dihydrochelerythrine | 0.06 ± 0.005 | 10.49 ± 0.75 | >50 | >4.8 | >50 | >4.8 |
| Ethoxysanguinarine | 0.21 ± 0.03 | 0.84 ± 0.03 | 1.62 ± 0.11 | 1.9 | 1.44 ± 0.03 | 1.7 |
| Angoline | 0.12 ± 0.01 | 1.15 ± 0.04 | 5.28 ± 0.28 | 4.6 | 5.15 ± 0.21 | 4.5 |
| Dihydrosanguinarine | 0.19 ± 0.01 | 8.55 ± 1.33 | 46.50 ± 10.07 | 5.4 | >40 | >4.7 |
| Chelerythrine | 0.08 ± 0.01 | 1.61 ± 0.05 | 5.51 ± 0.16 | 3.4 | 5.50 ± 0.64 | 3.4 |
| Sanguinarine | 0.19 ± 0.01 | 0.85 ± 0.03 | 1.84 ± 0.06 | 2.2 | 2.08 ± 0.06 | 2.4 |
| Nitidine | 0.27 ± 0.01 | 0.65 ± 0.03 | 2.01 ± 0.16 | 3.1 | 0.49 ± 0.02 | 0.7 |
| Berberine | 0.57 ± 0.08 | 1.76 ± 0.06 | >20 | >11.4 | >20 | >11.4 |
| 13-Methylberberine | 0.50 ± 0.04 | 0.75 ± 0.02 | >10 | >13.3 | 28.27 ± 9.18 | 37.7 |
| Dehydrocorydaline | 2.81 ± 0.49 | 2.68 ± 0.11 | >10 | >3.7 | >10 | >3.7 |
| Coptisine | 2.85 ± 0.25 | 3.39 ± 0.23 | >10 | >2.9 | >10 | >2.9 |
| Pseudocoptisine | 0.81 ± 0.12 | 1.43 ± 0.07 | >10 | >7.0 | >10 | >7.0 |
| Neotuberostemonine | 1.27 ± 0.06 | >25 | 39.14 ± 2.2 | >1.6 | >50 | >2.0 |
| Tuberostemonine | 2.06 ± 0.11 | >50 | 50.04 ± 5.51 | >1.0 | >40 | >0.8 |
| Dehydronuciferine | 1.23 ± 0.03 | >50 | 18.59 ± 1.11 | >0.37 | 25.54 ± 5.43 | >0.51 |
| Meisoindigo | 1.53 ± 0.21 | 9.30 ± 0.52 | 14.91 ± 0.90 | 1.6 | 20.44 ± 1.40 | 2.2 |
| Berberine | 13-Methylberberine | Angoline | Dehydrocorydaline | Pseudocoptisine | Coptisine | |||||||
|---|---|---|---|---|---|---|---|---|---|---|---|---|
| Swiss ADME | Admet SAR3.0 | Swiss ADME | Admet SAR3.0 | Swiss ADME | Admet SAR3.0 | Swiss ADME | Admet SAR3.0 | Swiss ADME | Admet SAR3.0 | Swiss ADME | Admet SAR3.0 | |
| Druglikeness rules | Result | Prob. | Result | Prob. | Result | Prob. | Result | Prob. | Result | Prob. | Result | Prob. |
| Lipinski rule | NV | 1 | NV | 1 | NV | 1 | NV | 1 | NV | 1 | NV | 1 |
| Absorption | Result | Prob. | Result | Prob. | Result | Prob. | Result | Prob. | Result | Prob. | Result | Prob. |
| GI/HIA | High | 0.96 | High | 0.98 | High | 0.98 | High | 0.98 | High | 0.99 | High | 0.98 |
| BBB | No | 0.96 | Yes | 0.98 | Yes | 0.96 | Yes | 0.94 | No | 0.98 | No | 0.98 |
| Metabolism | Result | Prob. | Result | Prob. | Result | Prob. | Result | Prob. | Result | Prob. | Result | Prob. |
| CYP450 1A2 inhibitor | Yes | 0.59 | No | 0.86 | Yes | 0.92 | No | 0.55 | Yes | 0.91 | Yes | 0.89 |
| CYP450 2C9 inhibitor | No | 0.28 | No | 0.50 | Yes | 0.60 | No | 0.17 | No | 0.64 | No | 0.63 |
| CYP450 2D6 inhibitor | No | 0.29 | Yes | 0.27 | Yes | 0.17 | Yes | 0.14 | No | 0.38 | No | 0.36 |
| CYP450 2C19 inhibitor | No | 0.56 | No | 0.77 | Yes | 0.85 | No | 0.44 | No | 0.87 | No | 0.88 |
| CYP450 3A4 inhibitor | No | 0.22 | No | 0.23 | Yes | 0.69 | Yes | 0.11 | No | 0.34 | No | 0.32 |
| Data Warrior | Admet SAR3.0 | Data Warrior | Admet SAR3.0 | Data Warrior | Admet SAR3.0 | Data Warrior | Admet SAR3.0 | Data Warrior | Admet SAR3.0 | Data Warrior | Admet SAR3.0 | |
| Toxicity | Result | Prob. | Result | Prob. | Result | Prob. | Result | Prob. | Result | Prob. | Result | Prob. |
| AMES test | None | 0.68 | None | 0.76 | High | 0.92 | None | 0.67 | None | 0.81 | None | 0.86 |
| Carcinogenicity | None | 0.52 | None | 0.56 | High | 0.77 | None | 0.57 | None | 0.63 | None | 0.58 |
Disclaimer/Publisher’s Note: The statements, opinions and data contained in all publications are solely those of the individual author(s) and contributor(s) and not of MDPI and/or the editor(s). MDPI and/or the editor(s) disclaim responsibility for any injury to people or property resulting from any ideas, methods, instructions or products referred to in the content. |
© 2025 by the authors. Licensee MDPI, Basel, Switzerland. This article is an open access article distributed under the terms and conditions of the Creative Commons Attribution (CC BY) license (https://creativecommons.org/licenses/by/4.0/).
Share and Cite
Soh-Kamdjo, C.; González-Montero, M.-C.; García-Estrada, C.; Melcón-Fernández, E.; Fernández-Rubio, C.; Pérez-Pertejo, Y.; Reguera, R.M.; Balaña-Fouce, R. Discovery of Potential Antileishmanial Compounds Through Phenotypic Screening of an Alkaloid Library. Molecules 2025, 30, 4210. https://doi.org/10.3390/molecules30214210
Soh-Kamdjo C, González-Montero M-C, García-Estrada C, Melcón-Fernández E, Fernández-Rubio C, Pérez-Pertejo Y, Reguera RM, Balaña-Fouce R. Discovery of Potential Antileishmanial Compounds Through Phenotypic Screening of an Alkaloid Library. Molecules. 2025; 30(21):4210. https://doi.org/10.3390/molecules30214210
Chicago/Turabian StyleSoh-Kamdjo, Cathy, María-Cristina González-Montero, Carlos García-Estrada, Estela Melcón-Fernández, Celia Fernández-Rubio, Yolanda Pérez-Pertejo, Rosa M. Reguera, and Rafael Balaña-Fouce. 2025. "Discovery of Potential Antileishmanial Compounds Through Phenotypic Screening of an Alkaloid Library" Molecules 30, no. 21: 4210. https://doi.org/10.3390/molecules30214210
APA StyleSoh-Kamdjo, C., González-Montero, M.-C., García-Estrada, C., Melcón-Fernández, E., Fernández-Rubio, C., Pérez-Pertejo, Y., Reguera, R. M., & Balaña-Fouce, R. (2025). Discovery of Potential Antileishmanial Compounds Through Phenotypic Screening of an Alkaloid Library. Molecules, 30(21), 4210. https://doi.org/10.3390/molecules30214210

