Abstract
Synthetic auxins are used in agriculture as herbicides worldwide, which leads to localized pollution and their potential entry into food crops during early developmental stages. Triticum aestivum L. is a major agricultural crop, and for this reason, understanding the mechanisms by which herbicides affect photosynthetic and lipid metabolic processes in wheat is crucial for assessing yield reduction risks. This study aimed to evaluate the toxic effects of three synthetic auxins, 1-naphthaleneacetic acid (NAA), 2,4-dichlorophenoxyacetic acid (2,4-D), and clopyralid (CLD) on growth parameters, membrane permeability, lipid peroxidation (LPO) product content, fatty acid (FA) profiles, and photosynthetic pigment levels in both etiolated and green spring wheat seedlings. FA content was assessed using gas chromatography-mass spectrometry. The results revealed that NAA and 2,4-D exerted the most pronounced inhibitory effects on seedling growth, whereas 2,4-D and CLD increased membrane permeability. In etiolated seedlings exposed to synthetic auxins, there was an elevation in FA content noted. Conversely, in green seedlings, exposure to all tested synthetic auxins led to a reduction in FA content, particularly affecting polyunsaturated fatty acids (PUFAs), as well as declines in chlorophyll and carotenoid levels. CLD reduced odd-chain fatty acid content (OCFAs) and very long-chain fatty acid content (VLCFAs) to undetectable levels. The increase in LPO products under the action of 2,4-D and CLD indicates oxidative stress as a possible cause of the decrease in PUFA content in green seedlings. These findings suggest that synthetic auxins have detrimental impacts on the photosynthetic apparatus of wheat, which in turn may have negative consequences for its productivity.
1. Introduction
Auxins belong to a group of the most important plant growth-regulating hormones. They control almost all aspects of plant growth and development, encompassing root formation, stem elongation, and tropic growth among others [1,2]. In recent years, the important role of auxins as coordinators of hormonal crosstalk has been identified not only under normal conditions but also under stress influences [3]. The major natural auxin, indol-3-acetic acid (IAA), is a derivative of the amino acid tryptophan and is synthesized in plants with the participation of tryptophan aminotransferases and YUCCA (YUC) flavin-dependent monooxygenases (Figure 1) [2]. Synthetic analogues of natural auxins, namely, 1-naphthaleneacetic acid (NAA), 2,4-dichlorophenoxyacetic acid (2,4-D), and 2-methyl-4-chlorophenoxyacetic acid, were first developed in the 1940s (Figure 1) [4]. Clopyralid (3,6-dichloro-2-pyridinecarboxylic acid, CLD) was introduced by Dow AgroSciences LLC in 1975 (Figure 1) [5]. Over the past decades, these compounds have served as the basis for the agrochemicals used to prevent pre-harvest fruit drop in tree crops, obtain parthenocarpic fruits, and stimulate root formation. However, synthetic auxins have found their broadest application as herbicides for treating grain crops to control the growth of dicotyledonous weeds [6]. The utilization of 2,4-D and CLD in agriculture as systemic and selective herbicides stems from their ability to disrupt the hormonal networks [7]. These compounds act as agonists of natural auxin, mimicking its biological activities and inducing unregulated cellular proliferation, damage to vascular tissues, and deformation in roots and shoots [6]. NAA is used in agriculture to prevent fruit drop and improve fruit quality. It stimulates root formation and sugar accumulation [8,9]. There are studies indicating both lower toxicity of NAA [10] and similar toxic effects of NAA and 2,4-D on plants [11].
Figure 1.
Natural auxin IAA (indol-3-acetic acid) and its synthetic analogues NAA (1-naphthaleneacetic acid), 2,4-D (2,4-dichlorophenoxyacetic acid), and CLD (3,6-dichloro-2-pyridinecarboxylic acid, clopyralid).
Despite being in use for more than 80 years, 2,4-D remains a component of approximately 1500 commercial agrochemicals [12]. Its enduring popularity stems from relatively high efficiency, selectivity, and low cost. However, prolonged global reliance on auxinic herbicides has led to the emergence of resistant weed species [13,14]. To counteract herbicide resistance, the range of auxin-based herbicides continues to expand. Manufacturers are increasingly incorporating adjuvants and additives that enhance the penetration of active substances, while also raising the concentration levels of active ingredients [15,16]. Such a strategy may have severe consequences for both ecosystem health and agricultural sustainability. Due to their relatively high resistance to synthetic auxins against physical and chemical environmental factors, the intensified use of synthetic auxins may cause localized pollution of soils and water [14]. Consequently, auxin-based herbicides can infiltrate cultivated plants, including cereals, during germination and seedling development, when these plants are most susceptible to such chemicals.
Triticum aestivum L. is one of the major agricultural crops and the most widely consumed cereal in the world [17]. The adaptability of wheat to environmental conditions has enabled its cultivation across a broad range of temperate climates [18]. Under optimal conditions, wheat yields can exceed 10 t/ha [17]. However, exposure to adverse environmental factors leads to substantial yield reductions [19]. Therefore, it is crucial to investigate all factors that may negatively affect wheat productivity, including the effects of herbicides. Although both 2,4-D and CLD have long been utilized in agricultural practices, research into their physiological impacts has predominantly centered around elucidating alterations in the metabolic pathways of dicotyledonous plants [7,20,21,22,23]. Conversely, information regarding the influence of synthetic auxins on the physiology and metabolism of cereals remains fragmented and contradictory [24,25,26,27]. However, studies have shown that 2,4-D at early developmental stages can cause stem shortening, suppress the development of leaves, roots, and spikelets, and reduce wheat yields [25]. Overlapping CLD treatments in winter wheat also resulted in visible plant damage and a 19% yield reduction [26]. Pyone et al. (2025) found no inhibitory effect of CLD on root and shoot growth in winter wheat [27]. Thus, exposure to synthetic auxins at early stages of plant growth may negatively affect the uniformity of cereal seedlings, impair fundamental metabolic processes, and ultimately compromise crop yields. Consequently, the specific effects of auxin-based herbicides on resistant plants during their early developmental stages require thorough and systematic investigation.
One pivotal aspect of cellular metabolism concerns lipid synthesis and membrane formation, as the membrane structure fundamentally determines cellular integrity, functionality, and homeostasis [28]. FAs serve as the predominant structural constituents of membrane lipids, substantially determining their structure, fluidity, and functional properties. FA composition and concentration vary during plant ontogeny and under different environmental factors [29,30,31]. Membrane structure and fluidity, which determine membrane permeability and the activity of membrane-bound enzymes, largely depend on PUFA content in membrane lipids [31]. High PUFA content, particularly linolenic acid (C18:3), is associated with increased plant tolerance to drought, salinity, and low and high temperatures [32,33,34,35,36]. PUFAs also serve as precursors of bioactive molecules, such as phytooxylipins and nitroalkenes, and participate in stress signaling [37,38,39,40]. Lipid and fatty acid composition can be altered by herbicides. Aryloxyphenoxypropionates and cyclohexanediones inhibit plastidic acetyl-CoA carboxylase; thiocarbamates and chloroacetanilides inhibit elongases and C18:2 desaturases; acetamides, chloroacetanilides, oxyacetamides, and tetrazolinone inhibit VLCFA synthesis [41,42,43,44,45]. Research on the effects of auxin-type herbicides on plant lipid metabolism is limited. NAA and 2,4-D enhanced lipid synthesis and accumulation in cells of the unicellular alga Chlorella pyrenoidosa under mixotrophic cultivation [46]. 2,4-D increased membrane permeability, LPO product levels, and reduced the C18:2/C18:1 fatty acid ratio in the fungus Trichoderma harzianum, which is widely used for protecting plants against pathogens and abiotic stresses [47]. No studies examining the effects of CLD on lipid synthesis in plants were found in the available literature.
This study investigates the effects of NAA, 2,4-D, and CLD on growth, membrane structure, and fatty acid composition in spring wheat (Triticum aestivum L.) seedlings. The experiments employed both etiolated and green seedlings to identify the effects of synthetic auxins, specifically on the formation of the photosynthetic apparatus. The use of three synthetic auxins with different toxicities—NAA, 2,4-D, and CLD—enabled differentiation of their individual effects and identification of shared characteristics typical of this group of chemicals.
2. Results
2.1. Synthetic Auxins Influence on Growth Characteristics of Spring Wheat Etiolated and Green Seedlings
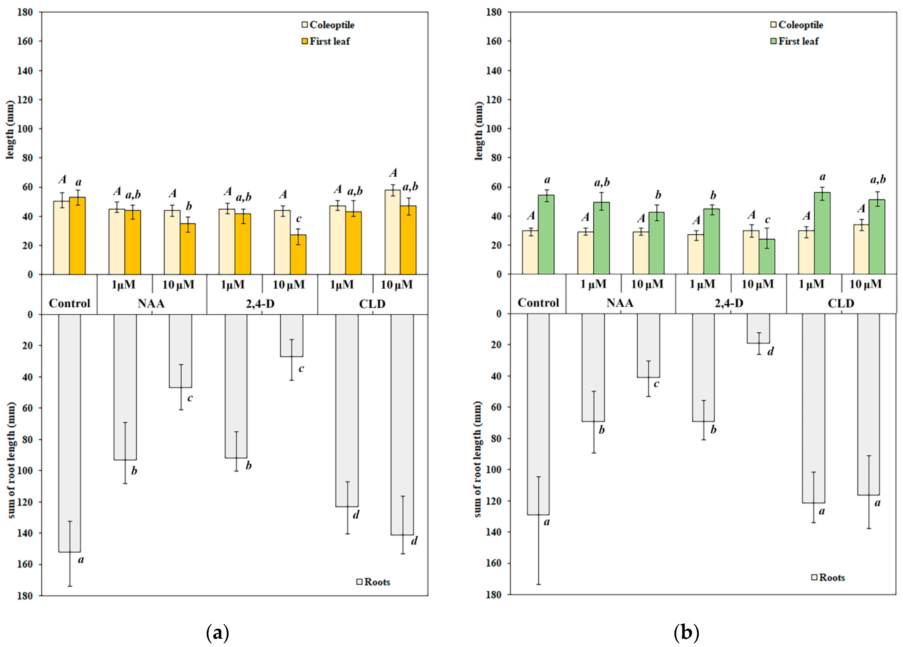
The toxic effects of NAA, 2,4-D, and CLD were primarily assessed by measuring the inhibition of shoot elongation and total root length. The synthetic auxins had minimal impact on shoot elongation in etiolated seedlings. Neither NAA, 2,4-D, nor CLD affected coleoptile elongation at either concentration tested (Figure 2a,c; Figure 3a). Statistically significant inhibition of first leaf growth occurred only with 10 μM NAA and 10 μM 2,4-D treatments, reducing growth by 35% and 50%, respectively. CLD did not alter first leaf growth (Figure 2a,c; Figure 3a).
Figure 2.
Photos of 4-day-old etiolated (a,c) and green (b,d) spring wheat seedlings: control and treated with synthetic auxins. Control—seedlings grown in water; NAA—seedlings grown in 1-naphthaleneacetic acid water solution; 2,4-D—seedlings grown in 2,4-dichlorophenoxyacetic acid water solution; CLD—seedlings grown in 3,6-dichloro-2-pyridinecarboxylic acid water solution. Concentration of synthetic auxin solutions: 1 μM and 10 μM. Scale bar is 10 mm.
Figure 3.
Changes in shoot and root length in 4-day-old etiolated (a) and green (b) spring wheat seedlings under synthetic auxin treatments. Treatment designations correspond to those in Figure 2. Data are presented as median (Q50) with interquartile range [Q25; Q75]. Distribution normality was assessed using the Shapiro–Wilk test. Statistical analysis employed the Kruskal–Wallis one-way ANOVA on ranks followed by Dunn’s multiple comparison test. Letters ‘a’, ‘b’, ‘c’ and ‘d’ indicate differences between variants. Uppercase letters indicate differences in coleoptile length, lowercase letters indicate differences in the lengths of the first leaf and roots. Statistically significant differences between treatments (p < 0.05) are indicated by different letters. n = 4.
All tested auxins inhibited total root length growth in etiolated seedlings. Treatment with 1 μM NAA and 1 μM 2,4-D reduced root growth by approximately 40% (Figure 2a,c; Figure 3a). Both NAA and 2,4-D showed dose-dependent effects, with inhibition increasing to 70% and 80%, respectively, at higher concentrations. In contrast, CLD treatment produced concentration-independent inhibition of total root length growth, ranging from 10 to 20% regardless of the concentration used (Figure 2a,c; Figure 3a). Tested auxins did not affect the coleoptile elongation and only slightly inhibited first leaf growth, but the inhibition of total root length growth was more significant. The toxic effect of NAA and 2,4-D on etiolated seedlings was more pronounced than that of CLD.
The effects of synthetic auxins on the shoot elongation in green seedlings closely mirrored those observed in etiolated seedlings. NAA, 2,4-D, and CLD did not affect coleoptile elongation in green seedlings (Figure 2b,d; Figure 3b). First leaf elongation remained unchanged under 1 μM NAA treatment. However, 10 μM NAA produced a weaker inhibitory effect compared to etiolated seedlings, reducing first leaf elongation by approximately 20% (Figure 2b,d; Figure 3b). 2,4-D had a stronger inhibitory effect on seedlings grown in light than in darkness: it inhibited first leaf growth in green seedlings at 1 μM, with the effect intensifying at higher concentrations to approximately 20% and 55% inhibition at 1 μM and 10 μM, respectively (Figure 2b,d; Figure 3b). had no detectable effects on first leaf growth in either darkness or light.
The toxic effects of NAA and 2,4-D on total root length were enhanced in the light. In green seedlings, root growth inhibition by 1 μM NAA and 1 μM 2,4-D increased to nearly 50% (Figure 2b,d; Figure 3b). While 10 μM NAA reduced root length to the same extent as in etiolated seedlings (by 70%), the effect of 10 μM 2,4-D was slightly stronger in light, reaching 85% inhibition (Figure 2b,d; Figure 3b). CLD, on the contrary, had no visible effect on root growth under light conditions.
Thus, NAA and 2,4-D similarly affected shoot elongation and total root length in both etiolated and green seedlings, with dose-dependent responses and more pronounced growth inhibition in green seedlings. CLD showed no significant inhibitory effect on spring wheat seedling growth.
2.2. Synthetic Auxins Influence on Fresh and Dry Weight of Spring Wheat Etiolated and Green Seedlings
Auxin-induced changes in the accumulation of fresh and dry biomass of etiolated and green spring wheat seedlings correlated directly with changes in shoot and root growth rates. In etiolated seedlings, 10 μM NAA and 10 μM 2,4-D reduced fresh shoot biomass by 15% and 35%, respectively (Table 1). However, dry biomass accumulation was significantly reduced only by 10 μM 2,4-D treatment, with a decrease of 30%. Thus, the inhibition of shoot growth caused by NAA resulted primarily from suppressed cell elongation and acid growth. CLD had no effect on shoot biomass accumulation in etiolated seedlings.
Table 1.
Influence of synthetic auxin treatments on the fresh and dry biomasses of shoots and roots of 4-day-old etiolated and green spring wheat seedlings.
Treatment with 1 μM and 10 μM NAA reduced fresh root biomass accumulation in etiolated seedlings by approximately 30% and 60%, respectively (Table 1). Dry root biomass accumulation was reduced only at a higher NAA concentration (10 μM), showing a 50% reduction compared to controls (Table 1). The herbicide 2,4-D was more potent, reducing fresh root biomass by 40% and 80%, and dry root biomass by 30% and 65%, at 1 μM and 10 μM, respectively (Table 1). Dry root biomass accumulation decreased by 30% and 65% under 1 μM and 10 μM 2,4-D treatment, respectively. Both NAA and 2,4-D demonstrated clear dose-dependent effects on root biomass accumulation. In contrast, CLD showed no effect on root biomass accumulation in etiolated seedlings.
In green seedlings, similar patterns were observed when studying the effects of synthetic auxins on shoot and root biomass growth, with NAA and 2,4-D exhibiting preserved dose-dependent responses, while CLD remained ineffective. Fresh shoot biomass accumulation was reduced by 15% at 1 μM NAA and 30% at 10 μM NAA (Table 1). Dry shoot biomass accumulation was reduced to only at 10 μM NAA, showing 25% inhibition. 2,4-D at 1 μM and 10 μM inhibited fresh shoot biomass by 20% and 45%, and dry shoot biomass by 10% and 35%, respectively (Table 1). Treatment with 1 μM and 10 μM NAA inhibited fresh root biomass accumulation by 30% and 65%, respectively (Table 1). The effects of NAA on dry root biomass accumulation were similar to those observed for dry shoot biomass: no changes were detected at 1 μM NAA, while 10 μM NAA reduced dry root biomass accumulation by 50%. 2,4-D at 1 μM and 10 μM inhibited fresh root biomass growth in green seedlings by approximately 30% and 70%, respectively (Table 1). At the same time, inhibition of dry root biomass accumulation under the action of 1 μM and 10 μM 2,4-D was 25 and 60%, respectively. CLD had no effect on biomass accumulation in shoots and a weak effect on fresh root biomass of green seedlings.
These findings demonstrate that NAA and 2,4-D inhibited both linear growth parameters and biomass accumulation in etiolated and green spring wheat seedlings, with 2,4-D exhibiting greater phytotoxicity. Treatment with 2,4-D reduced fresh and dry biomass growth. CLD showed no detectable effect on fresh or dry biomass accumulation in shoots and a weak effect on the fresh biomass of spring wheat seedlings’ roots. The toxicity of NAA and 2,4-D to green seedling growth and biomass accumulation may result from their impairment of photosynthetic apparatus formation.
2.3. Synthetic Auxins Influence on the Electrolyte Yield in Green and Etiolated Seedlings
The analysis of electrolyte yield allows for the assessment of changes in membrane permeability in response to external influence and provides an indirect measure of its severity. We found that in etiolated seedlings, 2,4-D and CLD increased electrolyte yield 2-fold and 1.5-fold, respectively (Figure 4a). The effect, however, was not dose-dependent. In green seedlings, an increase in electrolyte yield was exclusively induced by 10 μM 2,4-D and 10 μM CLD, showing 3-fold and 2-fold increases, respectively (Figure 4b). Treatment with 1 or 10 μM NAA did not increase electrolyte yield in either etiolated or green seedlings.
Figure 4.
Yield of electrolytes in 4-day etiolated (a) and green (b) spring wheat seedlings under synthetic auxin treatment. Treatment designations correspond to those in Figure 2. Data are presented as the arithmetic mean (M) ± standard deviation (S.D.). Distribution normality was assessed using the Shapiro–Wilk test. One-way analysis of variance and the procedure of multiple comparisons of means according to the Fisher LSD method were used. Letters ‘a’ and ‘b’ indicate differences between variants. Statistically significant differences between treatments (p < 0.05) are indicated by different letters. n = 4.
The results indicate that while CLD had no detectable effects on growth, it significantly altered cell membrane structure and permeability. NAA exerted a growth-inhibitory effect that was not associated with membrane alterations. In contrast, 2,4-D affected both growth parameters and membrane function.
2.4. Synthetic Auxins Influence on the Photosynthetic Pigments Content in Etiolated and Green Seedling Shoots
To assess the toxic effects of synthetic auxins, the content of photosynthetic pigments in spring wheat green seedling shoots was determined after exposure to these auxins. All synthetic auxins examined reduced chlorophyll and carotenoid content in green seedlings, though with varying degrees of severity. Treatment with 1 μM NAA and 1 μM CLD did not alter chlorophyll a content, whereas 10 μM NAA and 10 μM CLD decreased chlorophyll a levels by approximately 30% (Figure 5a). The effect of 2,4-D was more pronounced: 1 μM 2,4-D reduced chlorophyll a content by 30%, while 10 μM 2,4-D treatment resulted in an almost 2-fold decrease (Figure 5a). Chlorophyll b content showed a different response pattern. Only 10 μM 2,4-D treatment significantly affected chlorophyll b levels, causing approximately 35% reduction. No changes in chlorophyll b content were observed following treatment with NAA or CLD at either concentration, or with 1 μM 2,4-D (Figure 5a).
Figure 5.
Content of chlorophylls a and b (a) and carotenoids (b,c) in 4-day-old spring wheat seedlings under synthetic auxin treatment. (a,b) Contents of chlorophylls and carotenoids in green seedlings; (c) content of carotenoids in etiolated seedlings. Treatment designations correspond to those in Figure 2. Data are presented as the arithmetic mean (M) ± standard deviation (S.D.). Distribution normality was assessed using the Shapiro–Wilk test. One-way analysis of variance and the procedure of multiple comparisons of means according to the Fisher LSD method were used. Letters ‘a’, ‘b’, ‘c’ and ‘d’ indicate differences between variants. Uppercase letters in (a) indicate differences in chlorophyll a content, lowercase letters in (a) indicate differences in chlorophyll b content. Statistically significant differences between treatments (p < 0.05) are indicated by different letters. n = 4.
Synthetic auxin treatment significantly altered carotenoid content in green seedlings. NAA exhibited concentration-dependent effects similar to those observed for chlorophyll: 1 μM NAA did not affect carotenoid levels, while 10 μM NAA caused approximately 30% reduction (Figure 5b). The inhibitory effect of 2,4-D and CLD was similar. Treatment with 1 μM 2,4-D and 1 μM CLD reduced carotenoid content by approximately 20%, while 10 μM concentrations of these compounds decreased carotenoid levels by 45% and 35%, respectively (Figure 5b).
In etiolated seedlings, the negative effect of synthetic auxins on carotenoid synthesis was also evident in the absence of light. Treatment with 10 μM NAA, as well as both concentrations of 2,4-D and CLD, reduced carotenoid content by approximately 45–65% (Figure 5c). Consistent with other experimental results, NAA exhibited the least pronounced toxic effects, influencing carotenoid synthesis in etiolated seedling shoots only at the higher concentration of 10 μM.
2.5. Synthetic Auxins Influence on the LPO Products Content in Etiolated and Green Seedling Shoots
The toxic effect of synthetic auxins could be associated with their influence on the redox metabolism of cells and the activation of LPO processes. It was shown that treatment of spring wheat seedlings with synthetic auxins did not affect LPO in the dark (Figure 6a). In green seedling shoots, LPO product content increased by approximately 20–25% under the action of 2,4-D and CLD in both studied concentrations. The effect of 2,4-D and CLD was not dose-dependent (Figure 6b). Consistent with other experimental parameters, NAA exhibited the least pronounced effect. Treatment with 1 μM NAA did not affect the intensity of LPO. The effect of 10 μM NAA did not lead to a statistically significant increase in the LPO products; however, the diagram shows a clear trend toward increased LPO activity. LPO product concentrations in green seedlings treated with 10 μM NAA were intermediate between control levels and the elevated concentrations observed in seedlings treated with 2,4-D and CLD (Figure 6b). Activation of LPO processes may explain the toxic effect of 2,4-D and CLD in green seedlings.
Figure 6.
Content of malondialdehyde in 4-day etiolated (a) and green (b) spring wheat seedlings under synthetic auxin treatment. Treatment designations correspond to those in Figure 2. Data are presented as median (Q50) and interquartile range [Q25; Q75]. Distribution normality was assessed using the Shapiro–Wilk test. The Kruskal–Wallis one-way analysis of variance on ranks and all pairwise multiple comparison procedures (Dunn’s method) were used. Letters ‘a’ and ‘b’ indicate differences between variants. Statistically significant differences between treatments (p < 0.05) are indicated by different letters. n = 4.
2.6. Synthetic Auxins Influence on Fatty Acid Content and Composition in Etiolated Seedlings
Analysis of etiolated spring wheat seedling shoots revealed fatty acids with chain lengths ranging from 14 to 22 carbon atoms (Table 2). The saturated fatty acids (SFAs) identified included myristic (C14:0), palmitic (C16:0), heptadecanoic (C17:0), stearic (C18:0), arachidic (C20:0), and behenic (C22:0) acids. Monounsaturated fatty acids (MUFAs) comprised hexadecanoic acid isomers (C16:1), oleic acid (C18:1ω9), cis-vaccenic acid (C18:1ω7), cis-13-octadecenoic acid (C18:1ω5), and gondoic acid (C20:1ω9) (Table 2). PUFAs were linoleic acid (C18:2ω6) and α-linolenic acid (C18:3ω3). The predominant SFAs in etiolated seedling shoots were palmitic (C16:0) and stearic (C18:0), while the key UFAs were oleic (C18:1ω9), linoleic (C18:2ω6), and α-linolenic (C18:3ω3). These five FAs constitute the main pathway of FA metabolism in plants and comprise the majority of both storage and membrane lipids. Therefore, we focused primarily on changes in these five FAs in response to synthetic auxin treatment.
Table 2.
Comparative analysis of fatty acid content and composition in shoots of 4-day-old etiolated seedlings of spring wheat under exogenous auxin treatment.
We first examined changes in the five major FAs in etiolated seedlings following synthetic auxin treatment. Palmitic acid content increased 1.5-fold with 10 μM 2,4-D and 1 μM CLD, and nearly 2-fold with 10 μM CLD (Table 2). Stearic acid content increased 2-fold with 1 μM CLD and 3-fold with 10 μM CLD (Table 2).
Although 1 μM NAA did not affect UFA content, 10 μM NAA increased linoleic acid content 1.5-fold (Table 2). Similarly, 1 μM 2,4-D did not affect UFA content. The effect of 10 μM 2,4-D was more pronounced than that of 10 μM NAA. Treatment with 10 μM 2,4-D increased oleic and linoleic acid content 1.5-fold, and α-linolenic acid content 1.3-fold. Significant changes in major UFA content were also observed under the CLD action (Table 2). Treatment of etiolated seedlings with 1 μM and 10 μM CLD increased oleic acid content 1.3-fold and 1.7-fold, respectively. Additionally, 1 μM CLD increased linoleic and α-linolenic acid content approximately 1.5-fold (Table 2). However, 10 μM CLD did not affect the content of these fatty acids.
Of particular note are the changes in minor FA content in etiolated seedling shoots following synthetic auxin treatment. Treatment with 10 μM 2,4-D decreased cis-vaccenic acid (C18:1ω7) content 1.5-fold (Table 2). The effect of CLD on minor UFAs content depended on auxin concentration. Treatment with 1 μM CLD increased cis-vaccenic and cis-13-octadecenoic acid content nearly 2-fold. In contrast, 10 μM CLD did not affect cis-vaccenic acid content but decreased cis-13-octadecenoic acid content to trace levels (Table 2). Also noteworthy, palmitoleic acid and other hexadecenoic acid isomers decreased to trace levels following CLD treatment at both concentrations (Table 2). Of the SFAs in etiolated shoot seedlings, acids with an odd number of atoms (OCFAs) are particularly notable. Heptadecanoic acid was present in small quantities, while its precursor, pentadecanoic acid, was detected only in trace quantities. These FAs are of interest because their synthesis begins not with traditional acetyl-CoA, but with propionyl-CoA. Among all synthetic auxins studied, only CLD significantly affected the content of heptadecanoic acid: upon treatment with 10 μM CLD, its content decreased below the detection limit. Additionally, VLCFAs were detected in spring wheat shoots. These include SFAs—arachidic and behenic acids, as well as MUFA—gondoic acid. Their content remained unchanged after treatment with NAA and 2,4-D. However, treatment of etiolated seedlings with CLD at both concentrations tested decreased arachidic and behenic acid content to trace levels (Table 2). The content of gondoic acid dropped to trace values upon exposure to just 10 μM CLD. Meanwhile, when the seedlings were treated with 1 μM CLD, only a tendency towards a decrease in the content of this acid was observed.
Thus, synthetic auxins, notably 2,4-D and CLD, promoted de novo synthesis and desaturation of the major FAs. These observations are corroborated by marked increases in ΣSFA and ΣUFA (Table 2). Conversely, NAA exhibits weaker effects on FA synthesis: no detectable increase in ΣSFA levels occurred upon NAA treatment, though a modest rise in ΣUFA was observed after exposure to 10 μM NAA, suggesting increased activity in desaturation reactions, along with overall enhancement of FA synthesis and elongation. Desaturases utilize SFAs possessing corresponding carbon chain lengths as substrates. During the enzymatic reaction, these SFAs are actively consumed, thereby preventing their substantial accumulation, even under conditions of robust synthetic activity. The elongation and desaturation of fatty acids, serving as subsidiary processes in plant cell metabolism, were mostly inhibited by synthetic auxins, with this effect being particularly pronounced for CLD.
2.7. Synthetic Auxins Influence on Fatty Acid Content and Composition in Green Seedlings
Our study revealed that green shoots of spring wheat seedlings contain the same spectrum of fatty acids as etiolated shoots. Notwithstanding this similarity, the initial content of fatty acids, as well as the nature of auxin-induced changes in their profile, differed significantly compared to those observed in shoots from etiolated seedlings. The total content of FAs in green shoot seedlings was almost 2.5 times higher than that observed in the etiolated shoot seedlings (Table 2 and Table 3). This difference was mainly due to the higher level of UFAs. ΣUFA in green seedlings were 2.7 times higher than in etiolated seedlings, while ΣSFA in green seedlings exceeded that in etiolated ones only 1.5 times (Table 2 and Table 3). Almost all major FAs, including both SFAs and UFAs, namely palmitic, stearic, oleic, and linoleic acids, in green shoot seedlings were 2 times higher than in etiolated shoot seedlings (Table 2 and Table 3). The difference in α-linolenic acid content was even more significant, with C18:3ω3 concentrations 4-fold higher in green seedlings than in etiolated seedlings. Notably, several minor FAs exhibited higher concentrations in green seedlings compared to etiolated ones. Both behenic and cis-vaccenic acid levels increased approximately 3-fold in green seedlings compared to etiolated ones (Table 2 and Table 3).
Table 3.
Comparative analysis of fatty acid content and composition in shoots of 4-day-old green seedlings of spring wheat under exogenous auxin treatment.
Changes in FA content in green shoot spring wheat seedlings following treatment with synthetic auxins differed from those observed in etiolated seedlings treated with NAA, 2,4-D, and CLD. Unlike in etiolated seedlings, auxin treatment of green seedlings altered myristic acid levels. Treatment with 1 μM 2,4-D decreased C14:0 levels in green seedlings by nearly 2-fold, whereas treatment with 10 μM CLD increased levels by 1.6-fold (Table 3). These contrasting effects on a key precursor of all other fatty acids suggest that NAA, 2,4-D, and CLD differ in their mechanisms of action on fatty acid metabolism. The changes in FA content along the main metabolic FA pathway under the influence of synthetic auxins can be categorized into three distinct patterns. The first pattern was observed with 10 μM NAA treatment. In this treatment, all major FAs showed significant reductions, with the exception of stearic acid. Palmitic, oleic, and linoleic acid levels decreased by approximately 1.7–1.8 times; α-linolenic acid levels decreased by 2.1 times (Table 3). The second pattern, observed when green seedlings were treated with 1 μM 2,4-D and 1 μM CLD, showed that the content of α-linolenic acid decreased within a similar range as palmitic, oleic, and linoleic acids—approximately 1.6–1.8 times (Table 3). Similar changes in major FAs occurred under the action of 10 μM 2,4-D: palmitic, oleic, and α-linolenic acid levels decreased by 1.3–1.6 times, whereas linoleic acid content remained unchanged. The third pattern was observed after 10 μM CLD treatment. In this case, only α-linolenic acid was affected—its content decreased by 1.6 times, while other FAs in the main metabolic pathway remained unchanged (Table 3).
Treatment of green seedlings with synthetic auxins also negatively affected minor FA metabolism. Treatment with 10 μM CLD resulted in certain MUFAs being no longer detectable, including cis-13-octadecenoic acid (C18:1ω5) and hexadecenoic acid (C16:1) isomers (Table 3). Additionally, CLD treatment at both concentrations eliminated heptadecanoic acid, an odd-chain fatty acid. Changes in VLCFAs were particularly marked, specifically for behenic acid. The action of 1 μM NAA led to an almost 5-fold increase in behenic acid content in green seedlings, whereas 1 μM 2,4-D reduced levels of this acid by more than 18 times (Table 3). Notably, treatment with 1 μM NAA increased VLCFAs content while showing a trend toward decreased major FA content (Table 3). Although changes in major FAs were not statistically significant, this trend was sufficiently pronounced to suggest that NAA treatment shifts fatty acid synthesis and elongation pathways in green seedlings toward enhanced production of regulatory FAs, particularly behenic acid.
These results demonstrate that NAA, 2,4-D, and CLD had significantly different effects on FA synthesis, elongation, and desaturation in green spring wheat seedlings. Low doses of NAA promoted a shift in FA metabolism toward elongation processes and VLCFA formation. Higher NAA concentrations inhibited FA precursor synthesis, resulting in decreased levels of all major FAs. 2,4-D negatively affected both de novo FA synthesis and elongation/desaturation processes, indicated by decreased levels of both SFAs and UFAs. In contrast, CLD treatment primarily decreased UFA levels, possibly due to both inhibited desaturation processes and increased LPO.
Overall, analysis of FA content changes in etiolated and green spring wheat seedlings revealed that NAA, 2,4-D, and CLD increased the content of key SFAs and UFAs in etiolated seedlings but decreased their content in green seedlings. CLD had the most pronounced effect on OCFA and VLCFA content.
3. Discussion
Herbicide application remains fundamental to modern agriculture for controlling weed competition. Equally important is the degradation rate of these compounds, as herbicide persistence in soil during crop establishment can substantially impair yields. Over half of European soils now contain pesticide residues, representing a major environmental concern [48]. The half-life of compounds is determined primarily by their chemical structure, but is also influenced by environmental conditions such as temperature, humidity, and solar radiation exposure. For instance, 2,4-D is classified as a moderately persistent substance, with a half-life ranging from 20 to 312 days depending on environmental conditions [12]. In contrast, CLD exhibits a half-life of 2 to 14 months and demonstrates high resistance to both physical and chemical environmental factors, showing virtually no degradation under anaerobic composting conditions [49,50]. CLD contamination of soil and water resources represents a significant environmental challenge, as this compound resists metabolic degradation in plants and animals and can persist in feed or organic residues, even in countries where its use has been banned [51]. Furthermore, CLD exhibits high water solubility, readily migrates into groundwater systems, and can be transported over considerable distances, thereby posing potential risks to aquatic ecosystems [52,53]. Given the lack of comprehensive monitoring of pesticide residues—particularly auxin herbicides—investigating the effects of residual herbicides on crop growth and development represents a critical research priority. The synthetic auxin concentrations employed in this study (1 and 10 μM) are comparable to levels detected in natural water bodies and treated water supplies globally [54].
According to its chemical structure, the natural auxin IAA is a heterocyclic compound based on indole (Figure 1). Synthetic auxin analogues, including NAA and 2,4-D, mimic natural auxin activity but differ structurally: NAA is a non-heterocyclic compound derived from naphthalene, while 2,4-D is derived from phenoxyacetic acid (Figure 1). CLD is a picolinic acid derivative containing a pyridine heterocycle with a nitrogen atom in its structure (Figure 1). Despite these structural differences, NAA, 2,4-D, and CLD can mimic natural auxin action because they fulfill three essential molecular requirements for auxin bioactivity: a planar structure, a carboxyl group, and a specific distance between these features [55]. However, structural variations among synthetic auxins result in different degrees of toxicity and distinct metabolic effects in plants. Thus, although NAA is considered the archetypal synthetic auxin, several studies indicate its reduced genotoxic potential compared to 2,4-D and demonstrate its beneficial effects on plant physiological processes [8,9,10].
In general, plants respond to auxin herbicides similarly to high doses of natural auxins (e.g., IAA), but responses are more pronounced due to the slower degradation of synthetic auxins [56]. Natural auxin plays an important role in regulating plant architecture and organ development, including root system formation [57,58]. Local auxin maxima in the root apex maintain the quiescent center and stem cell pool [59]. Lateral root formation and development also occur under auxin control [60]. Therefore, exposure to auxin agonists through the root system during early developmental stages would be expected to significantly impact plant formation and growth, particularly by affecting root systems.
Consistent with this, our results showed that synthetic auxins exerted their strongest inhibitory effects on root growth, although the degree of inhibition varied significantly among the different auxins (Figure 2 and Figure 3). The most significant effects on both root and shoot growth were observed with 2,4-D and NAA, while CLD was weaker in this regard (Figure 2 and Figure 3). Primary manifestations of 2,4-D toxicity include thickening of roots and leaves, inhibition of their growth, and, in some cases, complete growth arrest, and structural and functional disruption of vascular tissues [61]. Notably, NAA exhibited an inhibitory effect comparable to that of 2,4-D in our experiments (Figure 2 and Figure 3), although some of the literature reports indicate lower toxicity for NAA [10]. Similar findings were reported by Da Costa et al., who observed that NAA suppressed adventitious root growth in Arabidopsis thaliana L., while 2,4-D not only inhibited growth but also promoted callus formation [62]. Consistent with our results, the effects of both NAA and 2,4-D on A. thaliana were dose-dependent [62].
The inhibitory effect of synthetic auxins, particularly NAA and 2,4-D, extended to shoot growth in our study (Figure 2 and Figure 3). Decreased linear growth rates were generally accompanied by reduced fresh biomass accumulation. Additionally, seedlings treated with 10 μM 2,4-D exhibited decreased dry biomass growth (Table 1). Notably, the inhibitory effects of NAA and 2,4-D on growth processes were more pronounced in green seedlings than in etiolated ones (Figure 2 and Figure 3, Table 1). The inhibitory effect of CLD on growth processes in spring wheat seedlings was rather weak compared to NAA and 2,4-D (Figure 2 and Figure 3, Table 1). The differences between the effects of NAA and 2,4-D versus CLD may be attributed to distinct metabolic pathways of these compounds within plant cells. One detoxification pathway for 2,4-D in cereals involves irreversible hydroxylation followed by conjugation with sugars [56].
Sugars serve not only as an energy source through ATP synthesis during their oxidation, but also as carbon skeletons for amino acid and protein synthesis. Their utilization in binding toxic compounds may contribute to the pronounced growth inhibition and reduced dry biomass accumulation observed in green wheat seedlings treated with 2,4-D (Figure 2 and Figure 3, Table 1). CLD is absorbed across membranes in its non-ionized form through passive diffusion and accumulates unchanged in the cytoplasm [63]. While CLD can accumulate in the cytoplasm via an ion-trapping mechanism, this binding is reversible and does not impede its translocation through the vascular system [63]. There is no evidence for CLD binding to water-soluble carbohydrates or amino acids.
Conversely, the greater physiological effects of NAA and 2,4-D result from their ability to mimic auxin signaling via the TIR1/AFB-Aux/IAA pathway [56,64]. This signaling pathway is initiated when auxin binds to the receptor proteins TIR1 (Transport Inhibitor Response 1) and AFB (Auxin Signaling F-Box) [65]. The conformation of the auxin binding site in TIR1 allows accommodation of synthetic auxin analogues, including NAA and 2,4-D, thereby modifying auxin signaling via the TIR1/AFB-Aux/IAA pathway [64]. Additionally, PIN-FORMED auxin transporters can transport several phenoxyacetic acid-based herbicides, including 2,4-D, across membranes using the same mechanism as endogenous auxins [66]. Such effects have not yet been detected for CLD.
The minor effects of CLD on wheat seedling growth suggest negligible biochemical and cellular transformations when exposed to this compound. Nonetheless, we have identified multiple CLD-induced changes in FA content (Table 2 and Table 3), which were not always accompanied by changes in membrane permeability (Figure 4). Specifically, the application of NAA caused marked changes in seedling growth and essential FAs levels, yet no changes in membrane permeability were observed (Table 2 and Table 3; Figure 2, Figure 3 and Figure 4). We propose that the increased efflux of electrolytes observed under the influence of 2,4-D and CLD arises not from biochemical modification of membrane lipid composition but instead results from direct interaction of these molecules with polar lipids. Indeed, the chemical structure of 2,4-D, particularly that of CLD, appears to facilitate such interactions. As previously reported by M. Flasiński and K. Hąc-Wydro, natural IAA binds more strongly to lipid monolayers than does NAA [67]. Since the naphthalene ring of the NAA molecule occupies a much larger volume than the indole system of IAA, its penetration between the polar headgroups of phospholipids becomes restricted [68]. At the same time, the phenolic ring of 2,4-D and the pyridine ring of CLD are much closer in volume to that of natural IAA, thereby allowing them to interact more easily with lipid molecules. In addition, the CLD molecule is capable of forming hydrogen bonds, which also facilitates its interaction with the polar headgroups of phospho- and glycolipid molecules [49].
De novo FA biosynthesis is a multistage complex process involving dozens of enzymes. Changes in FA synthesis occur during plant adaptation to environmental stressors. For instance, modifications in the expression of the gene encoding β-ketoacyl carrier protein reductase (KAR) affect membrane stability and, consequently, thermotolerance in rice [67]. Enhanced activity of FA desaturases, which catalyze the introduction of double bonds and the formation of UFAs, correlates with cold resistance in plants [69]. Treatment with synthetic auxins resulted in significant modifications to the individual fatty acid profile of spring wheat seedlings, thereby demonstrating the considerable efficacy of these compounds. The nature of the observed changes depended on the seedlings’ metabolic state (Table 2 and Table 3). In etiolated seedlings, synthetic auxin treatment resulted in enhanced FA synthesis, elongation, and desaturation, as evidenced by increased levels of both individual FA and total FA content (Table 2). A similar increase in PUFA content in heterotrophic tissues was observed in soybean zygotic embryos treated with exogenous auxins (NAA and 2,4-D) [70]. Of particular interest, NAA (10 mg/L) specifically increased the level of linoleic acid but not α-linolenic acid, a result that aligns with our findings (Table 2). The authors conclude that 2,4-D enhanced the efficiency of desaturation processes in extraplastidial compartments. Conversely, in green seedlings, a significant decrease in FA content was observed, primarily in PUFAs, specifically linoleic and α-linolenic acids (Table 3). Currently, no data indicate that 2,4-D or other auxin-type herbicides directly affect the activity of enzymes involved in fatty acid synthesis in plant green tissues. Instead, the reduction in specific FAs caused by these compounds is primarily attributed to oxidative stress [21,71].
In heterotrophic plant tissues, FA synthesis rates are substantially reduced, particularly for PUFAs. This occurs because the metabolic machinery that supplies precursors and cofactors is predominantly allocated to supporting the development of the chloroplast system [31]. Acetyl-CoA carboxylase, the initial enzyme of FA synthesis, is activated by light, and the rate of its activity determines the overall rate of lipid synthesis [72,73]. Consistent with this, the total FA content, especially USFA, was significantly lower in etiolated spring wheat seedlings compared to green ones (Table 2 and Table 3). In heterotrophic tissues, the FA synthesis machinery is localized mainly in proplastids, where NADH serves as the preferred cofactor over NADPH [74]. NADH is generated through the oxidation of seed storage compounds; consequently, no deficiency occurs during the initial stages of seedling development, and thus no limitation exists on the activity of the corresponding FA synthesis enzymes. Notably, in etiolated seedlings, treatment with 10 μM CLD resulted in the greatest increase in key SFAs (palmitic and stearic acids) and MUFA (oleic acid). Concurrently, VLCFA content decreased to undetectable levels (Table 2). These data suggest that CLD may inhibit VLCFA elongases, similar to acetamide, chloroacetamide, and oxyacetamide herbicides [42,43]. However, given the limited research on this mechanism, this hypothesis remains speculative and requires further investigation.
The fundamental distinction between etiolated and green wheat seedling metabolism lies in the absence of photosynthesis in the former; consequently, seed storage compounds represent the sole carbon source for synthesizing any organic substance. Current research has established that photosynthesis is the main carbon source for de novo FA synthesis in plants. For instance, pyruvate dehydrogenase in leaves provides the majority of acetyl-CoA required for FA synthesis [75]. In the present study, all synthetic auxins examined negatively affected photosynthetic apparatus development and function in spring wheat seedlings, as evidenced by decreased levels of chlorophylls, carotenoids, and α-linolenic acid (Figure 5, Table 3). The effects of NAA, 2,4-D, and CLD on carotenoid synthesis are quite remarkable, providing further evidence of structural and functional disruption to the photosynthetic apparatus. Carotenoids serve dual roles as light-harvesting pigments and as photoprotective stabilizers of thylakoid membranes [76,77]. Reduced carotenoid content negatively affects the formation of the photosynthetic apparatus, particularly light-harvesting complexes and photosystem reaction centers. Consequently, photosynthesis disruption caused by auxin agonists negatively affected FA synthesis, which further inhibited the formation and function of the photosynthetic apparatus. Interestingly, J. Lang et al. reported that CLD did not affect photosynthetic function in Malva moschata, likely because plants were treated at approximately 50 days of age, when vascular tissues and photosynthetic organs were already fully developed [78].
α-Linolenic acid within thylakoid membrane lipids enhances membrane fluidity and can become excited to facilitate electron transport under elevated membrane potential [79,80]. In contrast, free α-linolenic acid inhibits electron transport and photoreductive activity in both photosystems (PSs), with particularly pronounced effects on PS II [81]. Therefore, this fatty acid plays a crucial role in photosynthetic apparatus structure and function by actively regulating photosynthetic processes. Consequently, any change in α-linolenic acid levels affects overall plant cell metabolism. Various experimental models and plant species have demonstrated a link between PUFA content and photosynthesis. On one hand, high photosynthetic activity is a necessary factor for PUFA synthesis in green plant tissues. For example, when comparing two tea cultivars, Jincha 2 and Wuniuzao, higher levels of FA synthesis precursors, α-linolenic acid, and its derivatives (such as methyl dihydrojasmonate) were found in Jincha 2, which exhibited higher photosynthetic rates, stomatal conductance, and transpiration rates [82]. Conversely, high PUFA content in thylakoid membrane lipids makes them susceptible targets for ROS and contributes to photosynthesis disruption under stress conditions. This is illustrated by heat-tolerant rice cultivars, which exhibited reduced linoleic and α-linolenic acid content alongside lower electrolyte leakage, reduced malondialdehyde (MDA) accumulation, and maintenance of maximum PSII quantum yield (Fv/Fm) [83]. Similarly, the FA composition of thylakoid membrane lipids shifted toward higher proportions of SFAs and MUFAs in the brown macroalga Undaria pinnatifida following prolonged high-intensity light exposure [84]. Increased SFA content has also been observed in Amaranthus caudatus and wheat (T. aestivum) under drought conditions [85]. Thus, reduced PUFA content is not merely a consequence of impaired photosynthetic activity but also contributes to membrane stabilization by limiting lipid peroxidation intensity.
The decrease observed in the content of PUFAs, especially linoleic and α-linolenic acids, in green seedlings exposed to NAA, 2,4-D, and CLD may be attributed to several mechanisms: reduced synthesis of FA precursors (e.g., stearic acid C18:0), increased LPO, and decreased desaturase activity. Reduction in C18 PUFA precursor content was mainly observed with high-concentration NAA and 2,4-D treatments (Table 3). Increased LPO product accumulation occurred predominantly in seedlings treated with 2,4-D and CLD. Previous studies have shown that 2,4-D toxicity is largely determined by its ability to enhance ROS generation in cells [86,87]. Likely, this ROS accumulation under 2,4-D treatment results from increased activity of enzymes, including xanthine oxidoreductase, acyl-CoA oxidase, and lipoxygenase [72]. The latter two enzymes participate in USFA oxidation; therefore, their potential activation during treatment with 2,4-D likely contributed to the PUFA reduction we observed in green seedlings. These findings suggest there could be some mechanisms underlying PUFA reduction in treated seedlings. In green seedlings, NAA disrupted PUFA biosynthesis, probably by inhibiting the synthesis and elongation of SFAs, which serve as essential precursors for PUFA formation. In contrast, CLD reduced PUFA content through enhanced LPO. Probably, 2,4-D employed a dual mechanism, affecting PUFA biosynthesis and promoting LPO. If we assume that CLD reduces UFA content by activating LPO processes, it is noteworthy that in most cases this reduction was observed at 1 μM, but not at 10 μM CLD (Table 3). This differs significantly from the results obtained for NAA and 2,4-D, which more markedly reduced the UFA content in green seedling shoots at 10 μM (Table 3). Auxin-type herbicides are known to enhance the generation of ROS in plant tissues, which affects the activity of antioxidant defense enzymes in cells [86]. We suggest that low CLD concentrations were insufficient for the rapid activation of this defense system, but that an increased dose of CLD enhanced the activity of antioxidant enzymes. Our preliminary experimental data suggest this particular mechanism, but further verification is required.
While the direct effects of NAA, 2,4-D, and CLD on desaturase activity require further investigation, their disruption of the photosynthetic apparatus may indirectly affect soluble desaturase function. These enzymes, localized in plastid stroma, receive electrons from NADH via ferredoxin [88,89]. As ferredoxin reduction depends on non-cyclic electron transport through the thylakoid electron transport chain, any disruption of photosynthesis would be expected to compromise the activity of these soluble desaturases.
Additionally, synthetic auxins, especially CLD, significantly altered minor FA synthesis, including OCFAs and VLCFAs (Table 2 and Table 3). Given the crucial roles these specialized lipids play in membrane homeostasis, intercellular communication, cuticular wax biosynthesis, and seed germination [90], changes in their metabolism are likely to have profound implications for plant development.
4. Materials and Methods
4.1. Plant Material, Growth Conditions, and Synthetic Auxins Treatments
Etiolated and green 4-day-old seedlings of soft spring wheat (variety Novosibirskaya 29) were used. Seeds were rinsed and sterilized with 0.1% KMnO4 and moistened with water, and left to swell for 24 h. Then the seeds were rinsed once more and transferred to a mesh grid stretched over 100 mL vessels. The vessels contained either water (Control) or aqueous solution of 1 and 10 μM of the following synthetic auxins: 1-naphthaleneacetic acid (NAA), 2,4-dichlorophenoxyacetic acid (2,4-D), and 3,6-dichloro-2-pyridinecarboxylic acid (clopyralid, CLD) (Sigma-Aldrich, St. Louis, MO, USA) dissolved in water. These concentrations were selected based on preliminary experiments. The grids were positioned so that water or solution contacted the mesh by 1–2 mm. Germination proceeded for 4 days in growth chambers (Binder, Tuttlingen, Germany) under one of two conditions: a 16 h photoperiod (23 °C day/20 °C night) or continuous darkness (22–26 °C). The water and solutions were changed every 2 days. All physiological and biochemical parameters were analyzed using freshly collected samples. For the assessment of lipid peroxidation products and for lipid extraction, the samples were frozen in liquid nitrogen.
4.2. Determination of Growth Parameters
To assess the toxic effect of the synthetic auxins on spring wheat, growth was measured in both green and etiolated seedlings. After four days of germination, the lengths of the coleoptile, first leaf, and the total root system were measured. The degree of growth inhibition was calculated for each parameter (coleoptile, first leaf, and roots) using the following ratio: (Control Length − Treatment Length)/Control Length.
Fresh and dry shoot and root biomass were also measured. Fresh biomass was determined immediately after cutting shoots and roots. Dry biomass was measured after drying the samples in an oven at 72 °C for 48 h. Three independent experiments were conducted, with 50 seedlings per experiment.
4.3. Determination of Electrolyte Yield
For the determination of electrolyte yield, freshly cut seedling shoots (200 mg) were placed into 100 mL vessels containing distilled water (50 mL). The vessels were covered with foil to minimize evaporation and incubated for 24 h in darkness at room temperature. Evaluation of the electrolyte yield was assessed using the conductivity meter HI 8734 (Hanna Instruments Inc., Nusfalau, Jud. Salaj, Romania). The electrical conductivity was measured at room temperature and again after the samples were boiled for 20 min. Before each measurement, the volume of water in the vessel was readjusted to 50 mL. Electrolyte yield (V, %)was calculated using the formula V = 100 × (Lt/Lk), where Lt is the electrical conductivity after the 24 h incubation at room temperature, and Lk is the electrical conductivity of the same sample after boiling [91].
4.4. Determination of Photosynthetic Pigments Content
Chlorophyll and carotenoid contents in shoots (coleoptile + first leaf) were determined according to Gavrilenko, Zhigalova [92]. Freshly cut shoot samples (50 mg) were homogenized, and pigments were extracted with 1 mL of chilled 80% acetone containing MgCO3. The homogenate was transferred into the test tubes and left to extract for 24 h at 4 °C in darkness. Then the samples were centrifuged at 7000× g for 10 min at 4 °C. The extract was transferred to a clear tube; the residual pellet was mixed with a chilled 80% acetone (1 mL) repeatedly and again centrifuged. The procedure was repeated until the pellet became completely discolored. The final extract volume was 7 mL. If necessary, the volume was adjusted with the solvent.
Chlorophyll a, chlorophyll b, and carotenoid contents in the extract were determined spectrophotometrically at a wavelength of 665, 649, and 440 nm, respectively. Chlorophyll content was calculated using Werner’s formulas: for chlorophyll a—Cchla = 11.63 × D665 − 2.39 × D649; for chlorophyll b—Cchlb = 20.11 × D649 − 5.18 × D665; for chlorophyll a + chlorophyll b—Cchla+b = 6.45 × D665 − 17.72 × D649. Carotenoid content was calculated using Wettstein’s formula Ccar = 4.695 × D440 − 0.268 × Cchla+b. Chlorophylls and carotenoid content were represented as Ccar, Cchla, Cchlb, Cchla+b, mg × L−1. Pigment content (mg × g−1 FW) was calculated by the formula F = C × V/(P × 1000), where C is pigment concentration (mg × L−1), V is volume of extract (mL), and P is plant fresh weight (g).
4.5. Determination of Lipid Peroxidation Products
The content of LPO products in shoots was determined by measuring thiobarbituric acid-reactive products (TBA-RP), as described previously [93]. Freshly cut shoot samples (about 500 mg) were frozen in liquid nitrogen, homogenized in 2.0 mL of 0.1% TCA, and centrifuged at 12,000× g for 15 min. A 0.5 mL aliquot of the supernatant was combined with 1 mL of 0.5% (w/v) TBA in 20% TCA. The resulting mixture was incubated in a boiling water bath for 30 min. The reaction was terminated by rapid cooling on ice. Then, the samples were centrifuged at 12,000× g for 5 min (MiniSpin, Eppendorf, Hamburg, Germany). The absorbance of the resulting supernatant was measured at 532 and 600 nm (SmartSpec Plus, BioRad, United States). TBA-RP content was calculated using the extinction coefficient of TBA 155/(mM cm) after subtracting the nonspecific absorbance at 600 nm and expressed as nM × g−1 FW.
4.6. Lipid Extraction Procedure
Freshly cut shoots (~600 mg) were frozen in liquid nitrogen and ground. To extract lipids, 10–15 mL of chloroform: methanol mixture (1:2 v/v) containing ionol (2,6-di-tert-butyl-4-methylphenol, final concentration of 0.001%) was added to the samples [94]. For quantitative analysis of FA content, 10 μg of nonadecanoic acid (C19:0) was added to the samples as an internal standard. To enhance the separation of water-soluble components, 1–1.5 mL of 0.1% NaCl aqueous solution was added. The lower chloroform fraction containing common lipids was collected for analysis. Chloroform was removed under vacuum using an IR-1LT rotary evaporator (Labtex, Moscow, Russia). The dry lipid residue was re-dissolved in 2 mL of 5% H2SO4 in methanol for transesterification at 55–60 °C for 30 min. The reaction was then stopped by rapid cooling of the mixture. Hexane (4–5 mL) was added to separate the FA methyl esters [95]. The upper fraction of hexane containing FA methyl esters was evaporated to a volume of 200–400 μL. This concentrated sample was applied to aluminum silica gel plates (Sorbfil PTSH-AF-V, Krasnodar, Russia) for the purification of FA methyl esters in a chamber with benzene. To visualize the area containing FA methyl esters, a small portion of the plate was treated with 10% H2SO4 in methanol and heated. Purified FAs methyl esters were extracted from the appropriate area on the plate with chloroform and evaporated using an IR-1LT rotary evaporator (Labtex, Moscow, Russia) at 55 °C to obtain a dry residue. The resulting residue was dissolved in 500 μL of hexane for gas–liquid chromatography analysis.
4.7. Analysis of FA Methyl Esters
The sample of FA methyl esters in hexane (1 μL) was injected into a gas chromatography-mass spectrometer 5973N/6890N MSD/DS (Agilent Technologies, Santa Clara, CA, USA). The analysis employed a quadrupole mass detector with electron impact (EI) ionization at 70 eV. Detection was performed in a total ion current recording. Separation of individual ions of FA methyl esters was achieved using an HP-INNOWAX capillary column (30 m × 250 μm × 0.50 μm) (Agilent Technologies, Santa Clara, CA, USA) with polyethylene glycol as the stationary phase and helium as the carrier gas. The gas flow rate was maintained at 1 mL/min. Operating temperatures were as follows: evaporator, 250 °C; ion source, 230 °C; detector, 150 °C; and transfer line, 280 °C. Scan range was 41–450 amu. The flow separation was 5:1. Chromatographic separation was performed isocratically at 200 °C.
Individual FA methyl esters were identified by calculating the equivalent length of the aliphatic chain (ECL) and comparing mass spectra with the NIST 05 and Christie libraries. Identification was further confirmed by comparing retention times with those of authentic standards (Supelco® 37 Component FAME Mix, Sigma-Aldrich, St. Louis, MO, USA). The relative content of FAs was determined by the internal normalization method and expressed as weight percent (wt%) of the total FA content in the sample, taking into account the FA response factors. Nonadecanoic acid (C19:0), which is absent in the sample, was used as the internal standard. The absolute content of each fatty acid (Pi) was calculated from the total weight of FA methyl esters (FAME) in the sample (P Total FAME) and the relative percentage of that acid (Ci % rel) using the following formula: Pi = P Total FAME*Ci wt%/100. The content of FAs was expressed as μg × g−1 FW.
4.8. Statistical Analysis
At least four independent experiments were performed for each experimental variant. Statistical analysis was carried out using SigmaPlot v.14.0. software. The statistical significance of differences between variants was determined using ANOVA. Data are presented as arithmetic mean (M) ± standard deviation (S.D.) for normally distributed data or as median (Q50) with interquartile range [Q25; Q75] for non-normally distributed data. Normality of distribution was assessed using the Shapiro–Wilk test. For normally distributed data, one-way analysis of variance (ANOVA) was performed, followed by Fisher’s least significant difference (LSD) test for multiple comparisons. For non-normally distributed data, the Kruskal–Wallis one-way ANOVA on ranks was used, followed by Dunn’s test for pairwise multiple comparisons. Statistical significance was set at p < 0.05. In figures and tables, significant differences between variants are indicated by different letters.
5. Conclusions
This study demonstrates that CLD, unlike NAA and 2,4-D, did not significantly affect spring wheat seedling growth. However, both 2,4-D and CLD substantially increased cell membrane permeability, whereas NAA did not. The observed differences in toxic effects among NAA, 2,4-D, and CLD likely result from both the structural differences between the molecules and their distinct impacts on plant signaling and metabolic pathways. The stronger effects on membrane structure and activation of lipid peroxidation processes by 2,4-D and CLD likely account for their toxicity. The three synthetic auxins had distinct effects on FA metabolism that differed between etiolated and green spring wheat seedlings. In heterotrophic seedlings, NAA, 2,4-D, and CLD treatment enhanced FA synthesis, elongation, and desaturation processes. Conversely, in green seedlings, synthetic auxin treatment decreased both SFA and UFA content. A decrease in α-linolenic acid, chlorophylls, and carotenoids under synthetic auxin treatment indicates impaired photosynthetic apparatus formation and function, which would likely compromise wheat grain yield and quality. The decrease in PUFA content in NAA-treated green seedlings occurred mainly due to reduced synthesis and elongation of SFAs, which are precursors to PUFAs. CLD decreased PUFA content through activation of LPO processes, while 2,4-D affected PUFAs through both pathways. The results demonstrate the toxic effects of the synthetic auxins studied during early stages of spring wheat development and describe, for the first time, their effects on fatty acid metabolism and photosynthetic apparatus formation in this species. The data obtained in this study highlight the need for monitoring herbicide residues in soils and assessing their risks to the development and physiological status of major crops, including cereals. As the obtained results may be cultivar-specific, further research on various winter and spring wheat cultivars is required to identify general patterns.
Author Contributions
Conceptualization, I.V.L. and O.I.G.; methodology, I.V.L., K.A.K., M.S.P., I.V.P., N.S.Z., A.V.K., T.P.P., L.V.D., E.G.R. and O.I.G.; validation, I.V.L., K.A.K., I.V.P., N.S.Z., A.V.K., L.V.D. and O.I.G.; formal analysis, I.V.L., K.A.K., I.V.P. and O.I.G.; investigation, I.V.L., K.A.K., M.S.P., I.V.P., N.S.Z., A.V.K., T.P.P. and O.I.G.; resources, I.V.L. and O.I.G.; data curation, I.V.L.; writing—original draft preparation, I.V.L.; writing—review and editing, I.V.L., T.P.P., L.V.D., E.G.R. and O.I.G.; visualization, I.V.L.; supervision, I.V.L.; project administration, O.I.G.; funding acquisition, O.I.G. All authors have read and agreed to the published version of the manuscript.
Funding
This research was carried out within the state assignment of the Ministry of Science and Higher Education of the Russian Federation for the Siberian Institute of Plant Physiology and Biochemistry of the Siberian Branch of RAS (Project State Registration No. 125021902487-9).
Institutional Review Board Statement
Not applicable.
Informed Consent Statement
Not applicable.
Data Availability Statement
The original contributions presented in the study are included in this article. Further inquiries can be directed to the corresponding author.
Acknowledgments
The authors are grateful to Natalya A. Sokolova for her assistance in analyzing FA methyl esters. Collections of the Bioresource Center of Collective Use and Equipment at the Bioanalitika Center of Collective Use of the Siberian Institute of Plant Physiology and Biochemistry SB RAS (Irkutsk, Russia) were used.
Conflicts of Interest
The authors declare no conflicts of interest.
Abbreviations
The following abbreviations are used in this manuscript:
| CLD | 3,6-Dichloro-2-pyridinecarboxylic acid, clopyralid |
| 2,4-D | 2,4-Dichlorophenoxyacetic acid |
| FAs | Fatty acids |
| IAA | Indol-3-acetic acid |
| LPO | Lipid peroxydation |
| MUFAs | Monounsaturated fatty acids |
| NAA | α-Naphthylacetic acid |
| OCFAs | Fatty acids with odd carbon numbers |
| PUFAs | Polyunsaturated fatty acids |
| SFAs | Saturated fatty acids |
| VLCFAs | Very long-chain fatty acids |
| UFAs | Unsaturated fatty acids |
References
- Tang, W.; Yu, Y.; Xu, T. The interplay between extracellular and intracellular auxin signaling in plants. J. Genet. Genom. 2025, 52, 14–25. [Google Scholar] [CrossRef]
- Blakeslee, J.J.; Rossi, T.S.; Kriechbaumer, V. Auxin biosynthesis: Spatial regulation and adaptation to stress. J. Exp. Bot. 2019, 70, 5041–5049. [Google Scholar] [CrossRef] [PubMed]
- Verna, V.; Ravindran, P.; Kumar, P.P. Plant hormone-mediated regulation of stress responses. BMC Plant Biol. 2016, 16, 86. [Google Scholar] [CrossRef]
- Grossmann, K. Mediation of herbicide effects by hormone interactions. J. Plant Growth Regul. 2003, 22, 109–122. [Google Scholar] [CrossRef]
- Cox, C. Clopyralid. J. Pest. Reform. 1998, 18, 15–19. [Google Scholar]
- Song, Y. Insight into the mode of action of 2,4-dichlorophenoxyacetic acid (2,4-D) as an herbicide. J. Integ. Plant Biol. 2014, 56, 106–113. [Google Scholar] [CrossRef]
- Namiki, S.; Seike, N.; Watanabe, E. Physiological disorder of plants depending on clopyralid concentration in the soil and plant. J. Pestic. Sci. 2019, 44, 136–140. [Google Scholar] [CrossRef]
- Tao, J.; Zhong, W.; Huang, L.; Huang, Y.; Xu, I.; Tu, H.; Chen, Y.; Shi, J.; Jia, H.; Huang, C. Effects of foliar spraying 1-naphthaleneacetic acid on the exocarp and fruit quality of Actinidia chinensis. J. Plant Growth Regul. 2025, 44, 5977–5995. [Google Scholar] [CrossRef]
- Khandaker, M.M.; Rasdi, M.Z.M.; Naeimah, N.N.; Mat, N. Effects of naphthalene acetic acid (NAA) on the plant growth and sugar effects on the cut flowers Mokara Chark Kuan orchid. Biosci. J. 2017, 33, 19–30. [Google Scholar] [CrossRef]
- Abass, M.H.; Al-Utbi, S.D.; Al-Samir, E.A.R.H. Genotoxicity assessment of high concentrations of 2,4-D, NAA and dicamba on date palm callus (Phoenix dactylifera L.) using protein profile and RAPD markers. J. Genet. Engineer. Biotech. 2017, 15, 287–295. [Google Scholar] [CrossRef]
- Fargašová, A. Comparative study of plant growth hormone (herbicide) toxicity in various biological subjects. Ecotoxicol. Environ. Safety 1994, 29, 359–364. [Google Scholar] [CrossRef] [PubMed]
- Islam, F.; Wang, J.; Farooq, M.A.; Khan, M.S.S.; Xu, L.; Zhu, J.; Zhao, M.; Muños, S.; Li, Q.X.; Zhou, W. Potential impact of the herbicide 2,4-dichlorophenoxyacetic acid on human and ecosystems. Environ. Int. 2018, 111, 332–351. [Google Scholar] [CrossRef]
- Busi, R.; Goggin, D.E.; Heap, I.M.; Horak, M.J.; Jugulam, M.; Masters, R.A.; Napier, R.M.; Riar, D.S.; Satchivi, N.M.; Torra, J.; et al. Weed resistance to synthetic auxin herbicides. Pest Manag. Sci. 2018, 74, 2265–2276. [Google Scholar] [CrossRef]
- Parven, A.; Meftaul, I.M.; Venkateswarlu, K.; Megharaj, M. Herbicides in modern sustainable agriculture: Environmental fate, ecological implications, and human health concerns. Int. J. Environ. Sci. Technol. 2025, 22, 1181–1202. [Google Scholar] [CrossRef]
- Liu, Q.; Shi, R.-C.; Li, H.-T.; Wei, W.; Yuan, X.; Liu, S.-Z.; Cao, Y.-M. Study on design, synthesis and herbicidal activity of novel 6-indazolyl-2-picolinic acids. Molecules 2024, 29, 332. [Google Scholar] [CrossRef]
- Li, H.; Wei, W.; Shi, R.; Gou, Y.; Li, X.; Li, C.; Li, Y.; Cao, Y.; Liu, S. Study on design, synthesis and herbicidal activity of novel 4-amino-6-(5-aryl-substituted-1-pyrazolyl)-3-chloro-5-fluoro-2-picolinic acids. Molecules 2025, 30, 1022. [Google Scholar] [CrossRef]
- Shewry, P.R. Wheat. J. Exp. Bot. 2009, 60, 1537–1553. [Google Scholar] [CrossRef]
- Ud Dowla, M.A.N.N.; Edwards, I.; O’Hara, G.; Islam, S.; Ma, W. Developing Wheat for improved yield and adaptation under a changing climate: Optimization of a few key genes. Engineering 2018, 4, 514–522. [Google Scholar] [CrossRef]
- Deng, X.-P.; Shan, L.; Inanaga, S.; Inoue, M. Water-saving approaches for improving wheat production. J. Sci. Food Agric. 2005, 85, 1379–1388. [Google Scholar] [CrossRef]
- Karuppanapandian, T.; Wang, H.W.; Prabakaran, N.; Jeyalakshmi, K.; Kwon, M.; Manoharan, K.; Kim, W. 2,4-Dichlorophenoxyacetic acid-induced leaf senescence in mung bean (Vigna radiata L. Wilczek) and senescence inhibition by co-treatment with silver nanoparticles. Plant Physiol. Biochem. 2011, 49, 168–177. [Google Scholar] [CrossRef] [PubMed]
- Pazmiño, D.M.; Rodríguez-Serrano, M.; Romero-Puertas, M.C.; Archilla-Ruiz, A.; Del Río, L.A.; Sandalio, L.M. Differential response of young and adult leaves to herbicide 2,4- dichlorophenoxyacetic acid in pea plants: Role of reactive oxygen species. Plant Cell Environ. 2011, 34, 1874–1889. [Google Scholar] [CrossRef] [PubMed]
- Rubert, J.; Somavilla, I.; Leichtweiss, E.; Neto, R.A.; Thomasi, R.; Tarouco, C.; Berghetti, A.; Nicoloso, F.; Ulguim, A. The influence of 2,4-D and dicamba on the physiology of olive seedlings. Pesq. Agropec. Bras. 2023, 59, e03233. [Google Scholar] [CrossRef]
- Soukupová, M.; Koudela, M. Effects of two herbicides on strawberry plants. Acta Univ. Agric. Silvic. Mendel. Brun. 2024, 72, 15–23. [Google Scholar] [CrossRef]
- Gülengül, S.C.; Karabulut, F. Physiological and biochemical effects of 2.4-D herbicide in wheat (Triticum aestivum L.) varieties. J. Sci. Technol. 2021, 11, 6–12. [Google Scholar] [CrossRef]
- Kumar, S.; Singh, A.K. A review on herbicide 2, 4-D damage reports in wheat (Triticum aestivum L.). J. Chem. Pharm. Res. 2010, 2, 118–124. [Google Scholar]
- Soltani, N.; Shropshire, C.; Sikkema, P.H. Winter wheat tolerance to clopyralid applied in the fall, spring, or fall followed by spring. J. Agricul. Sci. 2025, 17, 21–26. [Google Scholar] [CrossRef]
- Pyone, W.W.; Bell, R.W.; Rose, M.T.; McGrath, G.S. Herbicide dose-response thresholds in sands to assess the risk of non-target damage to winter grain crops. PLoS ONE 2025, 20, e0330225. [Google Scholar] [CrossRef] [PubMed]
- Cassim, A.M.; Gouguet, P.; Gronnier, J.; Laurent, N.; Germain, V.; Grison, M.; Boutté, Y.; Gerbeau-Pissot, P.; Simon-Plas, F.; Mongrand, S. Plant lipids: Key players of plasma membrane organization and function. Prog. Lipid Res. 2019, 73, 1–27. [Google Scholar] [CrossRef]
- Geneste, T.; Faure, J.-D. Plant polyunsaturated fatty acids: Biological roles, regulation and biotechnological applications. In Advances in Botanical Research, 1st ed.; Rébeillé, F., Eric Maréchal, E., Eds.; Academic Press: Cambridge, MA, USA, 2022; pp. 253–286. [Google Scholar] [CrossRef]
- Lyubushkina, I.V.; Polyakova, M.S.; Pomortsev, A.V.; Kirichenko, K.A.; Korsukova, A.V.; Zabanova, N.S.; Pobezhimova, T.P.; Grabel’nykh, O.I.; Dudareva, L.V.; Voinikov, V.K. Efficiency of androgenesis in vitro in the culture of isolated winter wheat anthers: The influence of the duration of low-temperature pretreatment of donor plants on the content of lipid peroxidation products and fatty acid composition in flowers from different parts of the spike. Rus. J. Plant Physiol. 2023, 70, 214. [Google Scholar] [CrossRef]
- He, M.; Ding, N.-Z. Plant unsaturated fatty acids: Multiple roles in stress response. Front. Plant Sci. 2020, 11, 562785. [Google Scholar] [CrossRef] [PubMed]
- Zhang, J.; Liu, H.; Sun, J.; Li, B.; Zhu, Q.; Chen, S.; Zhang, H. Arabidopsis fatty acid desaturase FAD2 is required for salt tolerance during seed germination and early seedling growth. PLoS ONE 2012, 7, e30355. [Google Scholar] [CrossRef]
- Sánchez-Martín, J.; Canales, F.J.; Tweed, J.K.S.; Lee, M.R.F.; Rubiales, D.; Gómez-Cadenas, A.; Arbona, V.; Mur, L.A.J.; Prats, E. Fatty acid profile changes during gradual soil water depletion in oats suggests a role for jasmonates in coping with drought. Front. Plant Sci. 2018, 9, 1077. [Google Scholar] [CrossRef]
- Habibi, F.; García-Pastor, M.E.; Guillén, F.; Serrano, M.; Valero, D. Fatty acid composition in relation to chilling susceptibility of blood orange cultivars at different storage temperatures. Plant Physiol. Biochem. 2021, 166, 770–776. [Google Scholar] [CrossRef]
- Tian, J.; Tian, L.; Chen, M.; Chen, Y.; Wei, A. Low temperature affects fatty acids profiling and key synthesis genes expression patterns in Zanthoxylum bungeanum Maxim. Int. J. Mol. Sci. 2022, 23, 2319. [Google Scholar] [CrossRef] [PubMed]
- Yin, L.; Xu, J.; Zhang, L.; Liu, D.; Zhang, C.; Liu, T.; Wang, S.; Deng, X. Altered fatty acid composition confers improved drought acclimation in maize. Plant Physiol. Biochem. 2024, 206, 108274. [Google Scholar] [CrossRef] [PubMed]
- Mata-Pérez, C.; Padilla, M.N.; Sánchez-Calvo, B.; Begara-Morales, J.C.; Valderrama, R.; Chaki, M.; Barroso, J.B. Biological properties of nitro-fatty acids in plants. Nitric Oxide 2018, 78, 176–179. [Google Scholar] [CrossRef] [PubMed]
- Wang, K.; Guo, Q.; Froehlich, J.E.; Hersh, H.L.; Zienkiewicz, A.; Howe, G.A.; Benning, C. Two abscisic acid-responsive plastid lipase genes involved in jasmonic acid biosynthesis in Arabidopsis thaliana. Plant Cell. 2018, 30, 1006–1022. [Google Scholar] [CrossRef]
- Christie, W.W.; Harwood, J.L. Oxidation of polyunsaturated fatty acids to produce lipid mediators. Essays Biochem. 2020, 64, 401–421. [Google Scholar] [CrossRef]
- Rehman, M.; Saeed, M.S.; Fan, X.; Salam, A.; Munir, R.; Yasin, M.U.; Khan, A.R.; Muhammad, S.; Ali, B.; Ali, I.; et al. The multifaceted role of jasmonic acid in plant stress mitigation: An overview. Plants 2023, 12, 3982. [Google Scholar] [CrossRef]
- Abulnaja, K.O.; Harwood, J.L. Interaction of thiocarbamate herbicides with fatty acid synthesis in germinating peas and their microsomal fractions. Phytochemistry 1994, 30, 2883–2887. [Google Scholar] [CrossRef]
- Möllers, C.; Albrecht, S. Screening herbicide effects on lipid metabolism of storage lipids by in vitro culture of microspore-derived embryoids of Brassica napus. J. Plant Physiol. 1994, 144, 376–384. [Google Scholar] [CrossRef]
- Trenkamp, S.; Martin, W.; Tietjen, K. Specific and differential inhibition of very-long-chain fatty acid elongases from Arabidopsis thaliana by different herbicides. Proc. Natl. Acad. Sci. USA 2004, 101, 11903–11908. [Google Scholar] [CrossRef] [PubMed]
- Yang, X.; Guschina, I.A.; Hurst, S.; Wood, S.; Langford, M.; Hawkes, T.; Harwood, J.L. The action of herbicides on fatty acid biosynthesis and elongation in barley and cucumber. Pest. Manag. Sci. 2010, 66, 794–800. [Google Scholar] [CrossRef] [PubMed]
- Ore, A.; Olayinka, E.T. Toxic mechanisms of aryloxyphenoxypropionates in target and non-target organisms. Int. J. Biochem. Res. Rev. 2019, 27, 1–11. [Google Scholar] [CrossRef]
- Yu, J.; You, X.; Wang, Y.; Jin, C.; Zhao, Y.; Guo, L. Focus on the role of synthetic phytohormone for mixotrophic growth and lipid accumulation by Chlorella pyrenoidosa. Chemosphere 2022, 308, 136558. [Google Scholar] [CrossRef]
- Mironenka, J.; Różalska, S.; Soboń, A.; Bernat, P. Lipids, proteins and extracellular metabolites of Trichoderma harzianum modifications caused by 2,4-dichlorophenoxyacetic acid as a plant growth stimulator. Ecotoxicol. Environ. Safety 2020, 194, 110383. [Google Scholar] [CrossRef] [PubMed]
- Mitić, D.L.; Pucarević, M.; Milinković, M.; Lazić, S.; Šušnjar, A.; Vuković, S.; Ećimović, J.; Mitrić, S.; Šunjka, D. The occurrence and distribution of herbicides in soil and irrigation canals in a high-input farming region of Serbia. Environments 2025, 12, 246. [Google Scholar] [CrossRef]
- Almeida, A.R.R.P.; Pinheiro, B.D.A.; Lobo Ferreira, A.I.M.C.; Monte, M.J.S. Thermodynamic stability of fenclorim and clopyralid. Molecules 2022, 27, 39. [Google Scholar] [CrossRef]
- Tandon, S.; Singh, A. Residue behavior of clopyralid herbicide in soil and sugar beet crop under subtropical field conditions. J. Food Prot. 2022, 85, 735–739. [Google Scholar] [CrossRef]
- Saito, R.; Ikenaga, O.; Ishihara, S.; Shibata, H.; Iwafune, T.; Sato, T.; Yamashita, Y. Determination of herbicide clopyralid residues in crops grown clopyralid-contaminated soils. J. Pestic. Sci. 2010, 35, 479–482. [Google Scholar] [CrossRef]
- Sura, S.; Waiser, M.; Tumber, V.; Lawrence, J.R.; Cessna, A.J.; Glozier, N. Effects of glyphosate and two herbicide mixtures on microbial communities in prairie wetland ecosystems: A mesocosm approach. J. Environ. Qual. 2012, 41, 732–743. [Google Scholar] [CrossRef]
- Vurn, R.; Tajnaiová, L.; Kofroňová, J. The influence of herbicides to marine organisms Aliivibrio fischeri and Artemia salina. Toxics 2021, 9, 275. [Google Scholar] [CrossRef]
- Tizaoui, C.; Mezughi, K.; Bickley, R. Heterogeneous photocatalytic removal of the herbicide clopyralid and its comparison with UV/H2O2 and ozone oxidation techniques. Desalinization 2011, 273, 197–204. [Google Scholar] [CrossRef]
- Raggi, S.; Doyle, S.M.; Robert, S. Auxin: At the crossroads between chemistry and biology. In The Chemical Biology of Plant Biostimulants, 1st ed.; Geelen, D., Xu, L., Eds.; John Wiley & Sons Ltd.: Chichester, UK, 2020; pp. 123–153. [Google Scholar] [CrossRef]
- Todd, O.E.; Figueiredo, M.R.A.; Morran, S.; Soni, N.; Preston, C.; Kubeš, M.F.; Napier, R.; Gaines, T.A. Synthetic auxin herbicides: Finding the lock and key to weed resistance. Plant Sci. 2020, 300, 110631. [Google Scholar] [CrossRef]
- Benjamins, R.; Scheres, B. Auxin: The looping star in plant development. Annu. Rev. Plant Biol. 2008, 59, 443–465. [Google Scholar] [CrossRef] [PubMed]
- Overoode, P.; Fukaki, H.; Beeckman, T. Auxin control of root development. Cold Spring Harb. Perspect. Biol. 2010, 2, a001537. [Google Scholar] [CrossRef] [PubMed]
- Sabatini, S.; Beis, D.; Wolkenfelt, H.; Murfett, J.; Guilfoyle, T.; Malamy, J.; Benfey, P.; Leyser, O.; Bechtold, N.; Weisbeek, P. An auxin-dependent distal organizer of pattern and polarity in the Arabidopsis root. Cell 1999, 99, 463–472. [Google Scholar] [CrossRef]
- Cavallari, N.; Artner, C.; Benkova, E. Auxin-regulated lateral root organogenesis. Cold Spring Harb. Perspect. Biol. 2021, 13, a039941. [Google Scholar] [CrossRef]
- Grossmann, K. Auxin herbicides: Current status of mechanism and mode of action. Pest. Manag. Sci. 2009, 66, 113–120. [Google Scholar] [CrossRef]
- Da Costa, C.T.; Gaeta, M.L.; de Araujo Mariath, J.E.; Offringa, R.; Fett-Neto, A.G. Comparative adventitious root development in pre-etiolated and flooded Arabidopsis hypocotyls exposed to different auxins. Plant Physiol. Biochem. 2018, 127, 161–168. [Google Scholar] [CrossRef]
- Devine, M.D.; Bestman, H.D.; Vanden Born, W.H. Uptake and accumulation of the herbicides chlorsulfuron and clopyralid in excised pea root tissue. Plant Physiol. 1987, 85, 82–86. [Google Scholar] [CrossRef] [PubMed]
- Zhao, Y.; Hasenstein, K.H. Physiological interactions of antiauxins with auxin in roots. J. Plant Physiol. 2010, 167, 879–884. [Google Scholar] [CrossRef]
- Calderón Villalobos, L.I.A.; Lee, S.; de Oliveira, C.; Ivetac, A.; Brandt, W.; Armitage, L.; Sheard, L.B.; Tan, X.; Parry, G.; Mao, H.; et al. A combinatorial TIR1/AFB-Aux/IAA co-receptor system for differential sensing of auxin. Nat. Chem. Biol. 2012, 8, 477–485. [Google Scholar] [CrossRef]
- Schulz, L.; Ung, K.L.; Zuzki, L.; Koutnik-Abele, S.; Schiøtt, B.; Stokes, D.L.; Pedersen, B.P.; Hammes, U.Z. Transport of phenoxyacetic acid herbicides by PIN-FORMED auxin transporters. Nat. Plants 2025, 11, 1049–1059. [Google Scholar] [CrossRef]
- Chen, F.; Dong, G.; Wang, F.; Shi, Y.; Zhu, J.; Zhang, Y.; Ruan, B.; Wu, Y.; Feng, X.; Zhao, C.; et al. A β-ketoacyl carrier protein reductase confers heat tolerance via the regulation of fatty acid biosynthesis and stress signaling in rice. New Phytol. 2021, 232, 655–672. [Google Scholar] [CrossRef]
- Flasiński, M.; Hąc-Wydro, K. Natural vs. synthetic auxin: Studies on the interactions between plant hormones and biological membrane lipids. Environ. Res. 2014, 133, 123–134. [Google Scholar] [CrossRef]
- Upchurch, R.G. Fatty acid unsaturation, mobilization, and regulation in the response of plants to stress. Biotechnol. Lett. 2008, 30, 967–977. [Google Scholar] [CrossRef]
- Liu, W.; Hildebrand, D.F.; Collins, G.B. Auxin-regulated changes of fatty acid content and composition in soybean zygotic embryo cotyledons. Plant Sci. 1995, 106, 31–42. [Google Scholar] [CrossRef]
- Traxler, C.; Gaines, T.A.; Küpper, A.; Luemmen, P.; Dayan, F.E. The nexus between reactive oxygen species and the mechanism of action of herbicides. J. Biol. Chem. 2023, 299, 105267. [Google Scholar] [CrossRef] [PubMed]
- Cronan, J.E., Jr.; Waldrop, G.L. Multi-subunit acetyl-CoA carboxylases. Prog. Lipid Res. 2002, 41, 407–435. [Google Scholar] [CrossRef] [PubMed]
- Niazi, D.; Moorhead, G.B.G. Plant acetyl-CoA carboxylase: The homomeric form and the heteromeric form. BBA Adv. 2025, 7, 100148. [Google Scholar] [CrossRef]
- Nothelfer, H.G.; Barckhaus, R.H.; Spener, F. Localisation and characterization of the fatty acid synthesizing system in cells of Glycine max (soubean) suspension cultures. Biochim. Biophys. Acta 1977, 489, 370–380. [Google Scholar] [CrossRef] [PubMed]
- Harwood, J.L. Fatty acid biosynthesis. In Plant Lipids: Biology, Utilisation and Manipulation; Murphy, D.J., Ed.; Blackwell Publishing: Oxford, UK, 2005; pp. 27–66. [Google Scholar]
- Havaux, M. Carotenoids as membrane stabilizers in chloroplasts. Trends Plant Sci. 1998, 3, 147–151. [Google Scholar] [CrossRef]
- Quian-Ulloa, R.; Stange, C. Carotenoid biosynthesis and plastid development in Plants: The role of light. Int. J. Mol. Sci. 2021, 22, 1184. [Google Scholar] [CrossRef]
- Lang, J.; Barták, M.; Váczi, P.; Hájek, J. Effect of some herbicides on primary photosynthesis in Malva moschata as a prospective plant for agricultural grass mixtures. Agronomy 2023, 14, 10. [Google Scholar] [CrossRef]
- De Carvalho, C.C.C.R.; Caramujo, M.J. The various roles of fatty acids. Molecules 2018, 23, 2583. [Google Scholar] [CrossRef] [PubMed]
- Javidi, M.R.; Maali-Amiri, R.; Poormazaheri, H.; Niaraki, M.S.; Kariman, K. Cold stress-induced changes in metabolism of carbonyl compounds and membrane fatty acid composition in chickpea. Plant Physiol. Biochem. 2022, 192, 10–19. [Google Scholar] [CrossRef]
- Su, M.; Wu, X.; Liu, C.; Chunxiang, Q.; Xiaoqing, L.; Liang, C.; Hao, H.; Fashui, H. Promotion of energy transfer and oxygen evolution in spinach photosystem II by nano-anatase TiO2. Biol. Trace Element Res. 2007, 119, 183–192. [Google Scholar] [CrossRef][Green Version]
- Jiang, L.; Liu, S.; Hu, X.; Li, D.; Chen, L.; Weng, X.; Zheng, Z.; Chen, X.; Zhuang, J.; Li, X.; et al. The impact of photosynthetic characteristics and metabolomics on the fatty acid biosynthesis in tea seeds. Foods 2023, 12, 3821. [Google Scholar] [CrossRef]
- Prasertthai, P.; Paethaisong, W.; Theerakulpisut, P.; Dongsansuk, A. High Temperature alters leaf lipid membrane composition associated with photochemistry of PSII and membrane thermostability in rice seedlings. Plants 2022, 11, 1454. [Google Scholar] [CrossRef]
- Zhukova, N.V.; Yakovleva, I.M. Modulations of photosynthetic membrane lipids and fatty acids in response to high light in brown algae (Undaria pinnatifida). Plants 2025, 14, 1818. [Google Scholar] [CrossRef]
- Khamis, G.; Alsherif, E.A.; Korany, S.M.; Aldailami, D.A.; Aloufi, A.S.; Khalaf, M.H.; Hamed, S.M.; Maridueña-Zavala, M.G.; Al Jaouni, S.K.; Selim, S. Drought stress differentially influences growth, physiology, and metabolite accumulation in Triticum aestivum (C3) and Amaranthus caudatus (C4) plants. BMC Plant Biol. 2025, 25, 1199. [Google Scholar] [CrossRef]
- Pazmiño, D.M.; Romero-Puertas, M.C.; Sandalio, L.M. Insights into the toxicity mechanism of and cell response to the herbicide 2.4-D in plants. Plant Signal. Behav. 2012, 7, 425–427. [Google Scholar] [CrossRef]
- Pinto, A.; Azenha, M.; Fidalgo, F.; Teixeira, J. 2.4-dichlorophenoxyacetic acid detoxification occurs primarily in tomato leaves by the glutathione S-transferase phi members 4 and 5. Sci. Hortic. 2023, 321, 112214. [Google Scholar] [CrossRef]
- Berestovoy, M.A.; Pavlenko, O.S.; Goldenkova-Pavlova, I. Plant fatty acid desaturases: Role in the life of plants and biotechnological potential. Biol. Bull. Rev. 2020, 10, 127–139. [Google Scholar] [CrossRef]
- Heinz, E. Biosynthesis of polyunsaturated fatty acids. In Lipid Metabolism in Plants, 1st ed.; Moore, T.S., Ed.; CRC Press: Boca Raton, FL, USA, 2018; pp. 55–56. [Google Scholar] [CrossRef]
- Batsale, M.; Bahammou, D.; Fouillen, L.; Mongrand, S.; Joubès, J.; Domergue, F. Biosynthesis and functions of very-long-chain fatty acids in the responses of plants to abiotic and biotic stresses. Cells 2021, 10, 1284. [Google Scholar] [CrossRef]
- Borovik, O.A.; Grabelnych, O.I. Mitochondrial alternative cyanide-resistant oxidase is involved in an increase of heat stress tolerance in spring wheat. J. Plant Physiol. 2018, 231, 310–317. [Google Scholar] [CrossRef]
- Gavrilenko, V.F.; Zhigalova, T.V. Large Workshop on Photosynthesis; Academa: Moscow, Russia, 2003; pp. 54–55. (In Russian) [Google Scholar]
- Heath, R.L.; Packer, L. Photoperoxidation in isolated chloroplasts: I. Kinetics and stoichiometry of fatty acid peroxidation. Arch. Biochem. Biophys. 1968, 125, 189–198. [Google Scholar] [CrossRef] [PubMed]
- Kates, M. Techniques of Lipidology: Isolation, Analysis and Identification of Lipids, 3rd ed.; Newport Somerville: Ottawa, ON, Canada, 2010; pp. 347–349. [Google Scholar]
- Christie, W.W. Preparation of ester derivatives of fatty acids for chromatographic analysis. In Advances in Lipid Methodology; Christie, W.W., Ed.; Oily Press: Dundee, UK, 1993; p. 69. [Google Scholar]
Disclaimer/Publisher’s Note: The statements, opinions and data contained in all publications are solely those of the individual author(s) and contributor(s) and not of MDPI and/or the editor(s). MDPI and/or the editor(s) disclaim responsibility for any injury to people or property resulting from any ideas, methods, instructions or products referred to in the content. |
© 2025 by the authors. Licensee MDPI, Basel, Switzerland. This article is an open access article distributed under the terms and conditions of the Creative Commons Attribution (CC BY) license (https://creativecommons.org/licenses/by/4.0/).





