Extractive Electrospray Ionization Mass Spectrometry for Rapid Analysis of Organic and Inorganic Selenium in Honey
Abstract
1. Introduction
2. Results and Discussion
2.1. EESI-MS Spectrum
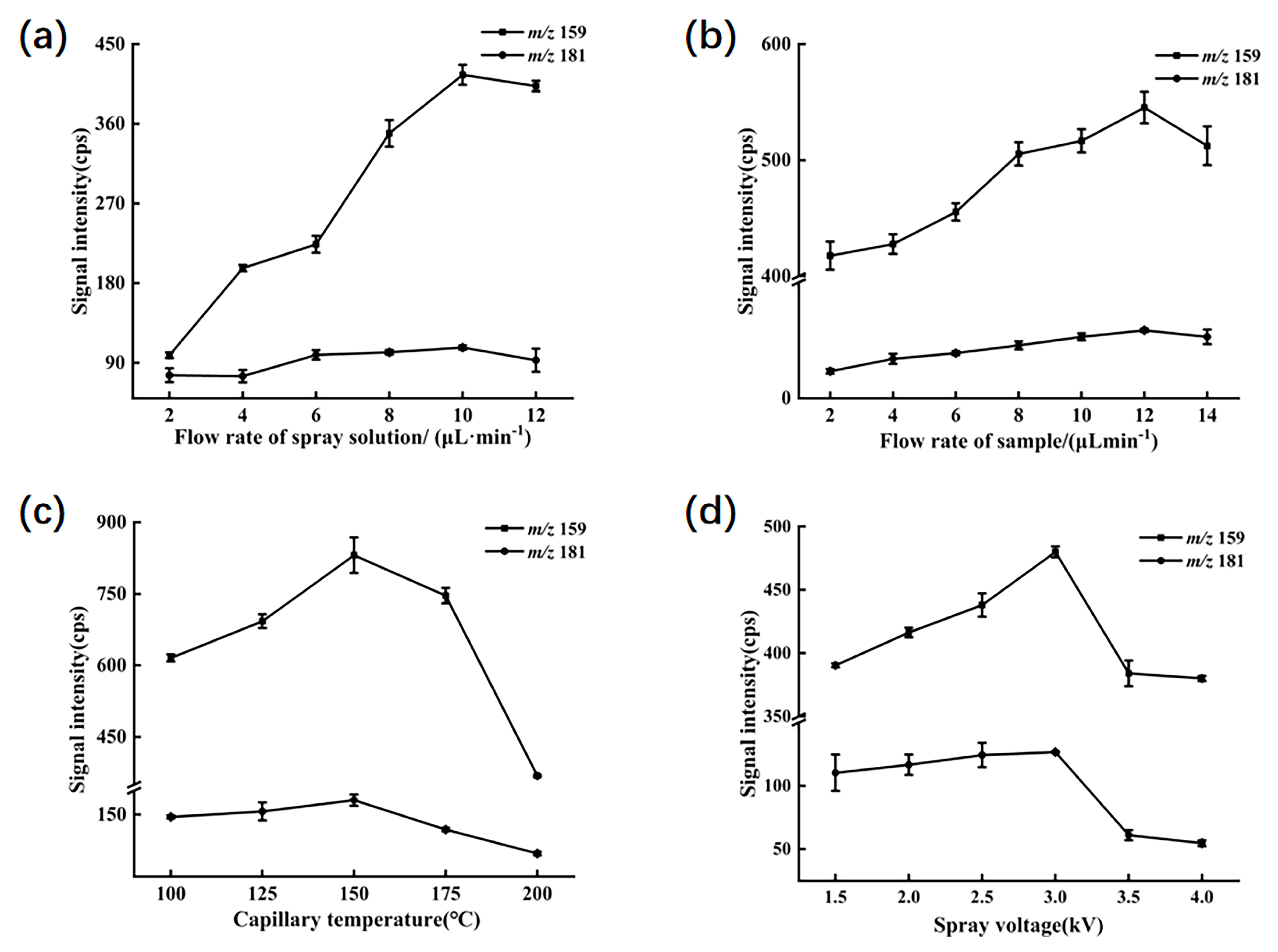
2.2. Experimental Optimization
2.3. Performance
2.4. Detection of Honey from Different Origins
3. Materials and Methods
3.1. Materials
3.2. Instruments and Reagents
3.3. Reactive EESI-MS Analysis
4. Conclusions
Author Contributions
Funding
Institutional Review Board Statement
Informed Consent Statement
Data Availability Statement
Acknowledgments
Conflicts of Interest
Abbreviations
| EESI-MS | Extractive electrospray ionization mass spectrometry |
| MS | Mass Spectrometry |
| GC-MS | Gas chromatography–mass spectrometry |
| ICP | Inductively Coupled Plasma |
| ASS | Atomic Absorption Spectroscopy |
| HPLC | High-Performance Liquid Chromatography |
| UHPLC | Ultra-High-Performance Liquid Chromatography |
| NMR | Nuclear magnetic resonance |
| LOD | The limits of detection |
| LOQ | The limits of quantification |
| CID | Collision-induced dissociation |
| OPD | o-Phenylenediamine |
| SeMet | Selenomethionine |
| Se | Selenium |
| KD | Keshan disease |
References
- Rayman, M.P. Selenium and human health. Lancet 2012, 379, 1256–1268. [Google Scholar] [CrossRef]
- Kieliszek, M. Selenium–fascinating microelement, properties and sources in food. Molecules 2019, 24, 1298. [Google Scholar] [CrossRef]
- Qi, Z.; Duan, A.; Ng, K. Selenoproteins in health. Molecules 2023, 29, 136. [Google Scholar] [CrossRef]
- Huang, J.; Xie, L.; Song, A.; Zhang, C. Selenium status and its antioxidant role in metabolic diseases. Oxid. Med. Cell. Longev. 2022, 2022, 7009863. [Google Scholar] [CrossRef]
- Vinceti, M.; Filippini, T.; Del Giovane, C.; Dennert, G.; Zwahlen, M.; Brinkman, M.; Zeegers, M.P.A.; Horneber, M.; D’Amico, R.; Crespi, C.M. Selenium for preventing cancer. Cochrane Database Syst. Rev. 2018, 1, CD005195. [Google Scholar] [CrossRef]
- Hariharan, S.; Dharmaraj, S. Selenium and selenoproteins: It’s role in regulation of inflammation. Inflammopharmacology 2020, 28, 667–695. [Google Scholar] [CrossRef]
- Vinceti, M.; Filippini, T.; Wise, L.A. Environmental selenium and human health: An update. Curr. Environ. Health Rep. 2018, 5, 464–485. [Google Scholar] [CrossRef]
- Zhou, H.; Wang, T.; Li, Q.; Li, D. Prevention of Keshan disease by selenium supplementation: A systematic review and meta-analysis. Biol. Trace Elem. Res. 2018, 186, 98–105. [Google Scholar] [CrossRef]
- Genchi, G.; Lauria, G.; Catalano, A.; Sinicropi, M.S.; Carocci, A. Biological activity of selenium and its impact on human health. Int. J. Mol. Sci. 2023, 24, 2633. [Google Scholar] [CrossRef]
- Vinceti, M.; Burlingame, B.; Filippini, T.; Naska, A.; Bargellini, A.; Borella, P. The epidemiology of selenium and human health. In Selenium: Its Molecular Biology and Role in Human Health; Springer: Cham, Switzerland, 2016; pp. 365–376. [Google Scholar]
- Palma-Morales, M.; Huertas, J.R.; Rodríguez-Pérez, C. A comprehensive review of the effect of honey on human health. Nutrients 2023, 15, 3056. [Google Scholar] [CrossRef]
- Navaei-Alipour, N.; Mastali, M.; Ferns, G.A.; Saberi-Karimian, M.; Ghayour-Mobarhan, M. The effects of honey on pro-and anti-inflammatory cytokines: A narrative review. Phytother. Res. 2021, 35, 3690–3701. [Google Scholar] [CrossRef]
- Pereira, T.C.; Cruz, A.G.; Guimarães, J.T.; Cravotto, G.; Flores, E.M.M. Ultrasonication for honey processing and preservation: A brief overview. Food Res. Int. 2023, 174, 113579. [Google Scholar] [CrossRef]
- Kakaei, M.; Rehman, F.U.; Fazeli, F. The effect of chickpeas metabolites on human diseases and the application of their valuable nutritional compounds suitable for human consumption. Cell. Mol. Biomed. Rep. 2024, 4, 30–42. [Google Scholar] [CrossRef]
- He, S.; Niu, Y.; Xing, L.; Liang, Z.; Song, X.; Ding, M.; Huang, W. Research progress of the detection and analysis methods of heavy metals in plants. Front. Plant Sci. 2024, 15, 1310328. [Google Scholar] [CrossRef]
- Fang, G.; Lv, Q.; Liu, C.; Huo, M.; Wang, S. An ionic liquid improved HPLC-ICP-MS method for simultaneous determination of arsenic and selenium species in animal/plant-derived foodstuffs. Anal. Methods 2015, 7, 8617–8625. [Google Scholar] [CrossRef]
- González-Gómez, L.; Pereira, J.A.M.; Morante-Zarcero, S.; Câmara, J.S.; Sierra, I. Green extraction approach based on μSPEed® followed by HPLC-MS/MS for the determination of atropine and scopolamine in tea and herbal tea infusions. Food Chem. 2022, 394, 133512. [Google Scholar] [CrossRef]
- Han, Z.; Wen, M.; Zhang, H.; Zhang, L.; Wan, X.; Ho, C.-T. LC-MS based metabolomics and sensory evaluation reveal the critical compounds of different grades of Huangshan Maofeng green tea. Food Chem. 2022, 374, 131796. [Google Scholar] [CrossRef]
- Bartosińska, E.; Buszewska-Forajta, M.; Siluk, D. GC–MS and LC–MS approaches for determination of tocopherols and tocotrienols in biological and food matrices. J. Pharmaceut. Biomed. 2016, 127, 156–169. [Google Scholar] [CrossRef]
- Khosrowshahi, E.M.; Nemati, M.; Farajzadeh, M.A.; Mogaddam, M.R.A. In situ adsorbent formation based dispersive micro-solid phase extraction using a deep eutectic solvent as an elution solvent for the extraction of some pesticides from honey samples prior to GC-MS analysis. Anal. Methods 2021, 13, 4724–4731. [Google Scholar] [CrossRef]
- Rhee, Y.; Shilliday, E.R.; Matviychuk, Y.; Nguyen, T.; Robinson, N.; Holland, D.J.; Connolly, P.R.J.; Johns, M.L. Detection of honey adulteration using benchtop 1 H NMR spectroscopy. Anal. Methods 2023, 15, 1690–1699. [Google Scholar] [CrossRef]
- Achanta, P.S.; Jaki, B.U.; McAlpine, J.B.; Friesen, J.B.; Niemitz, M.; Chen, S.-N.; Pauli, G.F. Quantum mechanical NMR full spin analysis in pharmaceutical identity testing and quality control. J. Pharmaceut. Biomed. 2021, 192, 113601. [Google Scholar] [CrossRef]
- Khanhuathon, Y.; Siriangkhawut, W.; Chantiratikul, P.; Grudpan, K. Flow-batch method with a sequential injection system for spectrophotometric determination of selenium (IV) in selenium-enriched yeast using o-phenylenediamine. Anal. Lett. 2013, 46, 1779–1792. [Google Scholar] [CrossRef]
- Huang, L.; Jiang, H.; Li, B.; Chen, L.Y.; Yang, T.T.; Wang, J.; Chen, H.W. Rapid Determination of Organic and Inorganic Selenium in Poultry Tissues by Internal Extractive Electrospray Ionization Mass Spectrometry. Anal. Chem. 2025, 97, 1837–1844. [Google Scholar] [CrossRef] [PubMed]
- Qin, M.; Qian, Y.; Huang, L.; Zhong, C.; Li, M.; Yu, J.; Chen, H. Extractive electrospray ionization mass spectrometry for analytical evaluation and synthetic preparation of pharmaceutical chemicals. Front. Pharmacol. 2023, 14, 1110900. [Google Scholar] [CrossRef]
- Cao, J.; Cheng, Y.; Xu, B.; Wang, Y.; Wang, F. Determination of Different Selenium Species in Selenium-Enriched Polysaccharide by HPLC-ICP-MS. Food Anal. Methods 2021, 14, 2420–2429. [Google Scholar] [CrossRef]
- Su, D.; Zhang, J.X.; Tie, M.; Xue, S.W.; Zhao, X.; Song, Y.H. Selenium speciation analysis of selenium-enriched Shiitake mushrooms (Lentinula edodes) by HPLC-ESI-MS. J. Food Compos. Anal. 2024, 136, 106829. [Google Scholar] [CrossRef]
- Castillo Busto, M.E.; Ward-Deitrich, C.; Evans, S.O.; Rayman, M.P.; Jameson, M.B.; Goenaga-Infante, H. Selenium speciation studies in cancer patients to evaluate the responses of biomarkers of selenium status to different selenium compounds. Anal. Bioanal. Chem. 2024, 416, 2835–2848. [Google Scholar] [CrossRef]
- Zdziebłowska, S.; Zajda, J.; Ruzik, L. Microalgae enriched in selenium as a good source of micronutrients. Food Biosci. 2024, 59, 103908. [Google Scholar] [CrossRef]
- Johnson, T.M.; Bullen, T.D.; Zawislanski, P.T. Selenium stable isotope ratios as indicators of sources and cycling of selenium: Results from the northern reach of san francisco bay. Environ. Sci. Technol. 2000, 34, 2075–2079. [Google Scholar] [CrossRef]
- Huang, L.; Wang, J.; Jiang, H.; Chen, L.; Chen, H. On-line determination of selenium compounds in tea infusion by extractive electrospray ionization mass spectrometry combined with a heating reaction device. Chin. Chem. Lett. 2024, 36, 109896. [Google Scholar] [CrossRef]
- Ermer, J. Validation in pharmaceutical analysis. Part I: An integrated approach. J. Pharm. Biomed. Anal. 2001, 24, 755–767. [Google Scholar] [CrossRef]
- Alcântara, D.B.; Nascimento, R.F.; Lopes, G.S.; Grinberg, P. Evaluation of different strategies for determination of selenomethionine (SeMet) in selenized yeast by asymmetrical flow field flow fractionation coupled to inductively coupled plasma mass spectrometry (AF4-ICP-MS). Anal. Methods 2020, 12, 3351–3360. [Google Scholar] [CrossRef]
- Li, J.; Huang, C.; Lai, L.; Wang, L.; Li, M.; Tan, Y.; Zhang, T. Selenium hyperaccumulator plant cardamine enshiensis: From discovery to application. Environ. Geochem. Health 2023, 45, 5515–5529. [Google Scholar] [CrossRef]
- Yu, T.; Hou, W.; Hou, Q.; Ma, W.; Xia, X.; Li, Y.; Yan, B.; Yang, Z. Safe utilization and zoning on natural selenium-rich land resources: A case study of the typical area in Enshi County, China. Environ. Geochem. Health 2020, 42, 2803–2818. [Google Scholar] [CrossRef]
- Wu, Y.; Liu, J.; Kang, S.; Dai, Z.; Ma, S. Rapid analysis of aristolochic acids and aristolactams in Houttuyniae herba by LC–MS/MS. Molecules 2022, 27, 8969. [Google Scholar] [CrossRef]
- Zhou, Y.; Cui, M.; Yin, Q.; Deng, M.; Hao, Y.; Huang, X.; Luo, L. Analysis of coffee seed vigor by extractive electrospray ionization mass spectrometry. Anal. Methods 2018, 10, 867–873. [Google Scholar] [CrossRef]
- Su, R.; Yang, T.; Zhang, X.; Li, N.; Zhai, X.; Chen, H. Mass spectrometry for breath analysis. Trac-Trend. Anal. Chem. 2023, 158, 116823. [Google Scholar] [CrossRef]




| Form | Quantitative Ions (m/z) | Quantitative Limits (µg/L) | Liner Equation | R2 | ※ LOD (µg/kg) | ※ LOQ (µg/kg) |
|---|---|---|---|---|---|---|
| SeMet | 181 | 0.5–50 | y = 0.4898x + 21.6367 | 0.9968 | 2.94 | 9.52 |
| Selenite | 159 | 0.5–50 | y = 0.8826x + 111.5697 | 0.9916 | 5.18 | 17.4 |
| Form | Sample | Determined Concentration (µg/kg) | RSD (%) n = 3 |
|---|---|---|---|
| Guanshengyuan® multifloral honey (Shanghai, China) | 10.4 | 4.54 | |
| SeMet | Fenghe® multifloral honey (Enshi, Hubei, China) | 38.4 | 4.34 |
| Impression® linden honey (Changbai Mountain, Jilin, China) | 19.9 | 2.59 | |
| Guanshengyuan® multifloral honey (Shanghai, China) | / | / | |
| Selenite | Fenghe® multifloral honey (Enshi, Hubei, China) | 12.2 | 1.36 |
| Impression® linden honey (Changbai Mountain, Jilin, China) | / | / |
| Form | Sample Concentration (µg/kg) | Added Concentration (µg/kg) | Determined Concentration (µg/kg) | Recovery (%) | RSD (%) n = 3 |
|---|---|---|---|---|---|
| 70 | 105.7 | 96.1 | 6.03 | ||
| SeMet | 38.4 | 140 | 172.3 | 95.7 | 5.52 |
| 280 | 334.3 | 105.7 | 1.73 | ||
| 70 | 80.8 | 98.1 | 4.83 | ||
| Selenite | 12.2 | 140 | 139.0 | 90.6 | 4.63 |
| 280 | 276.5 | 94.4 | 2.78 |
Disclaimer/Publisher’s Note: The statements, opinions and data contained in all publications are solely those of the individual author(s) and contributor(s) and not of MDPI and/or the editor(s). MDPI and/or the editor(s) disclaim responsibility for any injury to people or property resulting from any ideas, methods, instructions or products referred to in the content. |
© 2025 by the authors. Licensee MDPI, Basel, Switzerland. This article is an open access article distributed under the terms and conditions of the Creative Commons Attribution (CC BY) license (https://creativecommons.org/licenses/by/4.0/).
Share and Cite
Zhang, X.; Qiu, Y.; Xing, H.; Yang, F.; Zeng, P.; Fan, H.; Chen, H.; Fang, X. Extractive Electrospray Ionization Mass Spectrometry for Rapid Analysis of Organic and Inorganic Selenium in Honey. Molecules 2025, 30, 4206. https://doi.org/10.3390/molecules30214206
Zhang X, Qiu Y, Xing H, Yang F, Zeng P, Fan H, Chen H, Fang X. Extractive Electrospray Ionization Mass Spectrometry for Rapid Analysis of Organic and Inorganic Selenium in Honey. Molecules. 2025; 30(21):4206. https://doi.org/10.3390/molecules30214206
Chicago/Turabian StyleZhang, Xinrui, Yuqi Qiu, Huiyu Xing, Feixiang Yang, Peng Zeng, Hao Fan, Huanwen Chen, and Xiaowei Fang. 2025. "Extractive Electrospray Ionization Mass Spectrometry for Rapid Analysis of Organic and Inorganic Selenium in Honey" Molecules 30, no. 21: 4206. https://doi.org/10.3390/molecules30214206
APA StyleZhang, X., Qiu, Y., Xing, H., Yang, F., Zeng, P., Fan, H., Chen, H., & Fang, X. (2025). Extractive Electrospray Ionization Mass Spectrometry for Rapid Analysis of Organic and Inorganic Selenium in Honey. Molecules, 30(21), 4206. https://doi.org/10.3390/molecules30214206

