Influence of Heat Treatment of Nitinol Wire on the Properties of Nitinol/Hybrid Layer for Ibuprofen Release
Abstract
1. Introduction
2. Results and Discussion
2.1. The Effect of Annealing of NiTi
2.1.1. Morphology—SEM and AFM Studies
2.1.2. Chemistry of Surface—XPS Measurements
2.1.3. Chemistry of Surface—TOF-SIMS Measurements
2.1.4. Raman Studies
2.1.5. Elemental Analysis—SEM-EDS Studies
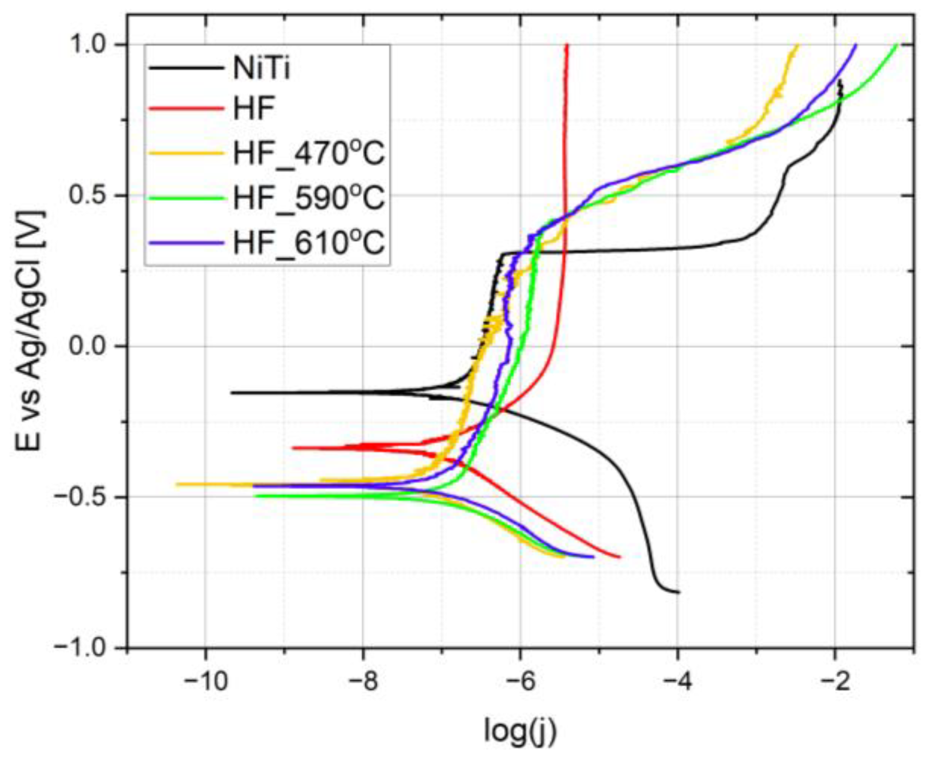
2.1.6. Corrosion Behavior of NiTi Wires
2.1.7. Deposition of Hydroxyapatite Layer (HA)
2.1.8. Releasing of Ibuprofen from HA/PEG-b-PCL
3. Materials and Methods
3.1. Nitinol Surface Preparation
3.2. Corrosion Behavior of NiTi Wires
3.3. Electrochemical Deposition
3.4. Synthesis and Application of PEG-b-PCL Copolymer
3.5. Ibuprofen Deposition
3.6. Thickness and Profile Measurements
3.7. Releasing of Ibuprofen from HA/PEG-b-PCL
3.8. SEM-EDS
3.9. TOF-SIMS (Time-of-Flight Secondary Ion Mass Spectrometry)
3.10. Raman Spectroscopy
3.11. AFM (Atomic Force Microscopy)
3.12. XPS (X-Ray Photoelectron Spectroscopy)
4. Conclusions
- Chemical etching and thermal treatment significantly change the corrosion properties of nitinol. The best anti-corrosion properties reveal nitinol chemically treated and annealed at 470 and 590 °C. It is expressed by the lowest corrosion current and corrosion rates.
- Morphological studies exhibit the lowest porosity for nitinol thermally treated at 470 °C. Under these conditions, the thinnest TiO2 layer among all thermally treated samples in a rutile state is formed.
- The XPS and TOF-SIMS results reveal the lowest amount of nickel for the sample treated at 470 °C. Due to the potential possibility of releasing nickel ions into the patient’s body and the lowest corrosion current, heat treatment at 470°C seems to be the optimal condition for preparing the NiTi substrate for subsequent deposition of the hydroxyapatite layer and loading the PEG-b-PCL polymer matrix for the release of ibuprofen.
- The morphology of the electrodeposited hydroxyapatite layer significantly replicates the roughness of the nitinol surface. The lowest porosity (roughness) of nitinol annealed at 470 °C is replicated for the lowest roughness (porosity) hydroxyapatite layer.
- The PEG-b-PCL-deposited layer on the hydroxyapatite layer reveals the highest homogeneity for the layer deposited on nitinol treated at 470 °C. It strongly suggests that a homogenous and less porous hydroxyapatite layer exhibits better absorption of polymeric matrix.
- Ibuprofen was effectively loaded onto the HA/PEG-b-PCL layer in the amount of 2 mg/cm2. The ibuprofen release experiment carried out under sink conditions showed that about 70% of ibuprofen is released into PBS within 5 h for thermally treated samples. On the other hand, the amount of released ibuprofen from the HA/PEG-b-PCL layer deposited on untreated and etched nitinol is significantly lower (30% for chemically etched and 50% for untreated nitinol, respectively).
- For the potential application of such a kind of implant, a 5 h release time of ibuprofen would be optimal for reducing pain or inflammation symptoms.
- Considering corrosion properties, the amount of nickel content on the outermost layer of nitinol surface, and ibuprofen release efficiency from the HA/ PEG-b-PCL bilayer, nitinol surface preparation by chemical etching and subsequent thermal heating at 470 °C under air condition is the most optimal.
Supplementary Materials
Author Contributions
Funding
Institutional Review Board Statement
Informed Consent Statement
Data Availability Statement
Conflicts of Interest
References
- Vojtěch, D.; Fojt, J.; Joska, L.; Novák, P. Surface Treatment of NiTi Shape Memory Alloy and Its Influence on Corrosion Behavior. Surf. Coat. Technol. 2010, 204, 3895–3901. [Google Scholar] [CrossRef]
- Shabalovskaya, S.; Anderegg, J.; Van Humbeeck, J. Critical Overview of Nitinol Surfaces and Their Modifications for Medical Applications. Acta Biomater. 2008, 4, 447–467. [Google Scholar] [CrossRef] [PubMed]
- Dudek, K.; Goryczka, T.; Dulski, M.; Psiuk, B.; Szurko, A.; Lekston, Z. Functionalization of the Implant Surface Made of NiTi Shape Memory Alloy. Materials 2023, 16, 1609. [Google Scholar] [CrossRef] [PubMed]
- Wadood, A. Brief Overview on Nitinol as Biomaterial. Adv. Mater. Sci. Eng. 2016, 2016, 4173138. [Google Scholar] [CrossRef]
- Lojen, G.; Stambolić, A.; Šetina Batič, B.; Rudolf, R. Experimental Continuous Casting of Nitinol. Metals 2020, 10, 505. [Google Scholar] [CrossRef]
- Kubášová, K.; Drátovská, V.; Losertová, M.; Salvetr, P.; Kopelent, M.; Kořínek, F.; Havlas, V.; Džugan, J.; Daniel, M. A Review on Additive Manufacturing Methods for NiTi Shape Memory Alloy Production. Materials 2024, 17, 1248. [Google Scholar] [CrossRef]
- Simka, W.; Kaczmarek, M.; Baron-Wiecheć, A.; Nawrat, G.; Marciniak, J.; Żak, J. Electropolishing and Passivation of NiTi Shape Memory Alloy. Electrochim. Acta 2010, 55, 2437–2441. [Google Scholar] [CrossRef]
- Fushimi, K.; Stratmann, M.; Hassel, A.W. Electropolishing of NiTi Shape Memory Alloys in Methanolic H2SO4. Electrochim. Acta 2006, 52, 1290–1295. [Google Scholar] [CrossRef]
- Pohl, M.; Heßing, C.; Frenzel, J. Electrolytic Processing of NiTi Shape Memory Alloys. Mater. Sci. Eng. A 2004, 1–2, 191–199. [Google Scholar] [CrossRef]
- Barison, S.; Cattarin, S.; Daolio, S.; Musiani, M.; Tuissi, A. Characterisation of Surface Oxidation of Nickel–Titanium Alloy by Ion-Beam and Electrochemical Techniques. Electrochim. Acta 2004, 50, 11–18. [Google Scholar] [CrossRef]
- Trépanier, T.; Bilodeau, L.; Piron, D. Effect of Modification of Oxide Layer on NiTi Stent Corrosion Resistance. J. Biomed. Mater. Res. 1998, 43, 433–440. [Google Scholar] [CrossRef]
- Cissé, O.; Savadogo, O.; Wu, M.; Yahia, L. Effect of Surface Treatment of NiTi Alloy on Its Corrosion Behavior in Hanks’ Solution. J. Biomed. Mater. Res. 2002, 61, 339–345. [Google Scholar] [CrossRef] [PubMed]
- Armitage, D.A.; Parker, T.L.; Grant, D.M. Biocompatibility and Hemocompatibility of Surface-Modified NiTi Alloys. J. Biomed. Mater. Res. A 2003, 66, 129–137. [Google Scholar] [CrossRef] [PubMed]
- Sheykholeslami, S.O.R.; Fathyunes, L.; Etminanfar, M.; Khalil-Allafi, J. In-Vitro Biological Behavior of Calcium Phosphate Coating Applied on Nanostructure Surface of Anodized Nitinol Alloy. Mater. Res. Express 2019, 6, 095407. [Google Scholar] [CrossRef]
- Shi, P.; Cheng, F.T.; Man, H.C. Improvement in Corrosion Resistance of NiTi by Anodization in Acetic Acid. Mater. Lett. 2007, 61, 2385–2388. [Google Scholar] [CrossRef]
- Kawakita, J.; Stratmann, M.; Hassel, A.W. High Voltage Pulse Anodization of a NiTi Shape Memory Alloy. J. Electrochem. Soc. 2007, 154, C294. [Google Scholar] [CrossRef]
- Bakhshi, R.; Darbyshire, A.; Evans, J.; You, Z.; Lu, J.; Am, A. Polymeric Coating of Surface Modified Nitinol Stent with POSS-Nanocomposite Polymer. Colloids Surf. B Biointerfaces 2011, 86, 93–105. [Google Scholar] [CrossRef]
- Shabalovskaya, S.A.; Anderegg, J.; Laab, F.; Thiel, P.A.; Rondelli, G. Surface Conditions of Nitinol Wires, Tubing, and as-Cast Alloys. The Effect of Chemical Etching, Aging in Boiling Water, and Heat Treatment. J. Biomed. Mater. Res. B Appl. Biomater. 2003, 65, 193–203. [Google Scholar] [CrossRef]
- Heßing, C.; Gabert, S.; Pohl, M.; Parezanović, I. High-Temperature Corrosion of NiTi-Shape-Memory Alloys. Mater. Werkst. 2004, 35, 332–337. [Google Scholar] [CrossRef]
- Kim, K.S.; Jee, K.K.; Kim, W.C.; Jang, W.Y.; Han, S.H. Effect of Heat Treatment Temperature on Oxidation Behavior in Ni–Ti Alloy. Mater. Sci. Eng. A 2008, 481–482, 658–661. [Google Scholar] [CrossRef]
- Kaczmarek, M.; Simka, W.; Baron, A.; Szewczenko, J.; Marciniak, J. Electrochemical Behavior of Ni-Ti Alloy after Surface Modification. J. Achiev. Mater. Manuf. Eng. 2006, 18, 111–114. [Google Scholar]
- Wever, D.J.; Veldhuizen, A.G.; de Vries, J.; Busscher, H.J.; Uges, D.R.A.; van Horn, J.R. Electrochemical and Surface Characterization of a Nickel–Titanium Alloy. Biomaterials 1998, 19, 761–769. [Google Scholar] [CrossRef] [PubMed]
- Etminanfar, M.R.; Khalil-Allafi, J. On the Electrodeposition of Ca-P Coatings on Nitinol Alloy: A Comparison Between Different Surface Modification Methods. J. Mater. Eng. Perform. 2016, 25, 466–473. [Google Scholar] [CrossRef]
- Etminanfar, M.R.; Khalil-Allafi, J.; Sheykholeslami, S.O.R. The Effect of Hydroxyapatite Coatings on the Passivation Behavior of Oxidized and Unoxidized Superelastic Nitinol Alloys. J. Mater. Eng. Perform. 2018, 27, 501–509. [Google Scholar] [CrossRef]
- Etminanfar, M.R.; Sheykholeslami, S.O.R.; Khalili, V.; Mahdavi, S. Biocompatibility and Drug Delivery Efficiency of PEG-b-PCL/Hydroxyapatite Bilayer Coatings on Nitinol Superelastic Alloy. Ceram. Int. 2020, 46, 12711–12717. [Google Scholar] [CrossRef]
- Nagaoka, A.; Yokoyama, K.; Sakai, J. Evaluation of Hydrogen Absorption Behaviour during Acid Etching for Surface Modification of Commercial Pure Ti, Ti–6Al–4V and Ni–Ti Superelastic Alloys. Corros. Sci. 2010, 52, 1130–1138. [Google Scholar] [CrossRef]
- Cui, Z.D.; Man, H.C.; Yang, X.J. The Corrosion and Nickel Release Behavior of Laser Surface-Melted NiTi Shape Memory Alloy in Hanks’ Solution. Surf. Coat. Technol. 2005, 192, 347–353. [Google Scholar] [CrossRef]
- Stepputat, V.N.; Zeidler, H.; Safranchik, D.; Strokin, E.; Böttger-Hiller, F. Investigation of Post-Processing of Additively Manufactured Nitinol Smart Springs with Plasma-Electrolytic Polishing. Materials 2021, 14, 4093. [Google Scholar] [CrossRef]
- Saedi, S.; Saghaian, S.E.; Jahadakbar, A.; Moghaddam, N.S.; Andani, M.T.; Lu, Y.C.; Elahinia, M.; Karaca, H.E. Shape Memory Response of Porous NiTi Shape Memory Alloys Fabricated by Selective Laser Melting. J. Mater. Sci. Mater. Med. 2018, 29, 40. [Google Scholar] [CrossRef]
- Chekotu, J.C.; Groarke, R.; O’Toole, K.; Brabazon, D. Advances in Selective Laser Melting of Nitinol Shape Memory Alloy Part Production. Materials 2019, 12, 809. [Google Scholar] [CrossRef]
- Sheykholeslami, S.O.R.; Khalil-Allafi, J.; Fathyunes, L. Preparation, Characterization, and Corrosion Behavior of Calcium Phosphate Coating Electrodeposited on the Modified Nanoporous Surface of NiTi Alloy for Biomedical Applications. Metall. Mater. Trans. A 2018, 49, 5878–5887. [Google Scholar] [CrossRef]
- Fathi, M.H.; Doostmohammadi, A. Bioactive Glass Nanopowder and Bioglass Coating for Biocompatibility Improvement of Metallic Implant. J. Mater. Process. Technol. 2009, 209, 1385–1391. [Google Scholar] [CrossRef]
- Kim, H.-W.; Knowles, J.C.; Kim, H.-E. Hydroxyapatite/Poly(ε-Caprolactone) Composite Coatings on Hydroxyapatite Porous Bone Scaffold for Drug Delivery. Biomaterials 2004, 25, 1279–1287. [Google Scholar] [CrossRef] [PubMed]
- Bobo, D.; Robinson, K.J.; Islam, J.; Thurecht, K.J.; Corrie, S.R. Nanoparticle-Based Medicines: A Review of FDA-Approved Materials and Clinical Trials to Date. Pharm. Res. 2016, 33, 2373–2387. [Google Scholar] [CrossRef] [PubMed]
- Bailon, P.; Berthold, W. Polyethylene Glycol-Conjugated Pharmaceutical Proteins. Pharm. Sci. Technol. Today 1998, 1, 352–356. [Google Scholar] [CrossRef]
- Dash, T.K.; Konkimalla, V.B. Poly-є-Caprolactone Based Formulations for Drug Delivery and Tissue Engineering: A Review. J. Control. Release Off. J. Control. Release Soc. 2012, 158, 15–33. [Google Scholar] [CrossRef]
- Martinez-Diaz, S.; Garcia-Giralt, N.; Lebourg, M.; Gómez-Tejedor, J.-A.; Vila, G.; Caceres, E.; Benito, P.; Pradas, M.M.; Nogues, X.; Ribelles, J.L.G.; et al. In Vivo Evaluation of 3-Dimensional Polycaprolactone Scaffolds for Cartilage Repair in Rabbits. Am. J. Sports Med. 2010, 38, 509–519. [Google Scholar] [CrossRef]
- Sun, H.; Mei, L.; Song, C.; Cui, X.; Wang, P. The in Vivo Degradation, Absorption and Excretion of PCL-Based Implant. Biomaterials 2006, 27, 1735–1740. [Google Scholar] [CrossRef]
- Byun, J.-H.; Lee, H.A.R.; Kim, T.H.; Lee, J.H.; Oh, S.H. Effect of Porous Polycaprolactone Beads on Bone Regeneration: Preliminary in Vitro and in Vivostudies. Biomater. Res. 2014, 18, 18. [Google Scholar] [CrossRef]
- Känkänen, V.; Fernandes, M.; Liu, Z.; Seitsonen, J.; Hirvonen, S.-P.; Ruokolainen, J.; Pinto, J.F.; Hirvonen, J.; Balasubramanian, V.; Santos, H.A. Microfluidic Preparation and Optimization of Sorafenib-Loaded Poly(Ethylene Glycol-Block-Caprolactone) Nanoparticles for Cancer Therapy Applications. J. Colloid Interface Sci. 2023, 633, 383–395. [Google Scholar] [CrossRef]
- Wilhelm, S.M.; Carter, C.; Tang, L.; Wilkie, D.; McNabola, A.; Rong, H.; Chen, C.; Zhang, X.; Vincent, P.; McHugh, M.; et al. BAY 43-9006 Exhibits Broad Spectrum Oral Antitumor Activity and Targets the RAF/MEK/ERK Pathway and Receptor Tyrosine Kinases Involved in Tumor Progression and Angiogenesis. Cancer Res. 2004, 64, 7099–7109. [Google Scholar] [CrossRef] [PubMed]
- Xin, H.; Jiang, X.; Gu, J.; Sha, X.; Chen, L.; Law, K.; Chen, Y.; Wang, X.; Jiang, Y.; Fang, X. Angiopep-Conjugated Poly(Ethylene Glycol)-Co-Poly(ε-Caprolactone) Nanoparticles as Dual-Targeting Drug Delivery System for Brain Glioma. Biomaterials 2011, 32, 4293–4305. [Google Scholar] [CrossRef] [PubMed]
- Yu, H.; Chen, J.; Liu, S.; Lu, Q.; He, J.; Zhou, Z.; Hu, Y. Enzyme Sensitive, Surface Engineered Nanoparticles for Enhanced Delivery of Camptothecin. J. Control. Release 2015, 216, 111–120. [Google Scholar] [CrossRef] [PubMed]
- Sun, H.; Guo, B.; Cheng, R.; Meng, F.; Liu, H.; Zhong, Z. Biodegradable Micelles with Sheddable Poly(Ethylene Glycol) Shells for Triggered Intracellular Release of Doxorubicin. Biomaterials 2009, 30, 6358–6366. [Google Scholar] [CrossRef]
- Qiu, J.-F.; Gao, X.; Wang, B.-L.; Wei, X.-W.; Gou, M.-L.; Men, K.; Liu, X.-Y.; Guo, G.; Qian, Z.-Y.; Huang, M.-J. Preparation and Characterization of Monomethoxy Poly(Ethylene Glycol)-Poly(ε-Caprolactone) Micelles for the Solubilization and in Vivo Delivery of Luteolin. Int. J. Nanomed. 2013, 8, 3061–3069. [Google Scholar] [CrossRef]
- Gong, C.; Deng, S.; Wu, Q.; Xiang, M.; Wei, X.; Li, L.; Gao, X.; Wang, B.; Sun, L.; Chen, Y.; et al. Improving Antiangiogenesis and Anti-Tumor Activity of Curcumin by Biodegradable Polymeric Micelles. Biomaterials 2013, 34, 1413–1432. [Google Scholar] [CrossRef]
- Gu, Y.W.; Tay, B.Y.; Lim, C.S.; Yong, M.S. Characterization of Bioactive Surface Oxidation Layer on NiTi Alloy. Appl. Surf. Sci. 2005, 252, 2038–2049. [Google Scholar] [CrossRef]
- Grosvenor, A.P.; Biesinger, M.C.; Smart, R.S.C.; McIntyre, N.S. New Interpretations of XPS Spectra of Nickel Metal and Oxides. Surf. Sci. 2006, 600, 1771–1779. [Google Scholar] [CrossRef]
- Krajewski, M.; Liou, S.-C.; Jurkiewicz, K.; Brzózka, K.; Chiou, W.-A.; Kubacki, J.; Burian, A. The Glass-like Structure of Iron–Nickel Nanochains Produced by the Magnetic-Field-Induced Reduction Reaction with Sodium Borohydride. Phys. Chem. Chem. Phys. 2021, 24, 326–335. [Google Scholar] [CrossRef]
- Chrzanowski, W.; Neel, E.A.A.; Armitage, D.A.; Knowles, J.C. Effect of Surface Treatment on the Bioactivity of Nickel–Titanium. Acta Biomater. 2008, 4, 1969–1984. [Google Scholar] [CrossRef]
- Sheiko, N.; Kékicheff, P.; Marie, P.; Schmutz, M.; Jacomine, L.; Perrin-Schmitt, F. PEEK (Polyether-Ether-Ketone)-Coated Nitinol Wire: Film Stability for Biocompatibility Applications. Appl. Surf. Sci. 2016, 389, 651–665. [Google Scholar] [CrossRef]
- Shabalovskaya, S.A.; Rondelli, G.C.; Undisz, A.L.; Anderegg, J.W.; Burleigh, T.D.; Rettenmayr, M.E. The Electrochemical Characteristics of Native Nitinol Surfaces. Biomaterials 2009, 30, 3662–3671. [Google Scholar] [CrossRef] [PubMed]
- Abidi, I.H.; Cagang, A.A.; Tyagi, A.; Riaz, M.A.; Wu, R.; Sun, Q.; Luo, Z. Oxidized Nitinol Substrate for Interference Enhanced Raman Scattering of Monolayer Graphene. RSC Adv. 2016, 6, 7093–7100. [Google Scholar] [CrossRef]
- Kaminski, J.; Witkowska, J.; Plocinski, T.; Tarnowski, M.; Wierzchon, T. Structure and Corrosion Resistance of Titanium Oxide Layers Produced on NiTi Alloy in Low-Temperature Plasma. Int. J. Mater. Res. 2018, 109, 443–450. [Google Scholar] [CrossRef]
- Ohtsu, N.; Yamasaki, K.; Taniho, H.; Konaka, Y.; Tate, K. Pulsed Anodization of NiTi Alloy to Form a Biofunctional Ni-Free Oxide Layer for Corrosion Protection and Hydrophilicity. Surf. Coat. Technol. 2021, 412, 127039. [Google Scholar] [CrossRef]
- Chembath, M.; Balaraju, J.N.; Sujata, M. Effect of Anodization and Annealing on Corrosion and Biocompatibility of NiTi Alloy. Surf. Coat. Technol. 2016, 302, 302–309. [Google Scholar] [CrossRef]
- Ekoi, E.J.; Gowen, A.; Dorrepaal, R.; Dowling, D.P. Characterisation of Titanium Oxide Layers Using Raman Spectroscopy and Optical Profilometry: Influence of Oxide Properties. Results Phys. 2019, 12, 1574–1585. [Google Scholar] [CrossRef]
- Qian, L.H.; Yan, X.Q.; Fujita, T.; Inoue, A.; Chen, M.W. Surface Enhanced Raman Scattering of Nanoporous Gold: Smaller Pore Sizes Stronger Enhancements. Appl. Phys. Lett. 2007, 90, 153120. [Google Scholar] [CrossRef]
- Milošev, I.; Kapun, B. The Corrosion Resistance of Nitinol Alloy in Simulated Physiological Solutions: Part 1: The Effect of Surface Preparation. Mater. Sci. Eng. C 2012, 32, 1087–1096. [Google Scholar] [CrossRef]
- Mroczka, R.; Słodkowska, A. Studies of Benzotriazole on and into the Copper Electrodeposited Layer by Cyclic Voltammetry, Time-of-Flight Secondary-Ion Mass Spectrometry, Atomic Force Microscopy, and Surface Enhanced Raman Spectroscopy. Molecules 2023, 28, 5912. [Google Scholar] [CrossRef]
- Chembath, M.; Balaraju, J.N.; Sujata, M. Surface Characteristics, Corrosion and Bioactivity of Chemically Treated Biomedical Grade NiTi Alloy. Mater. Sci. Eng. C 2015, 56, 417–425. [Google Scholar] [CrossRef] [PubMed]
- Milošev, I.; Kapun, B. The Corrosion Resistance of Nitinol Alloy in Simulated Physiological Solutions Part 2: The Effect of Surface Treatment. Mater. Sci. Eng. C 2012, 32, 1068–1077. [Google Scholar] [CrossRef]
- Available online: https://cdn.caymanchem.com/cdn/insert/70280.pdf (accessed on 1 October 2024).
- Moustafine, R.I.; Zaharov, I.M.; Kemenova, V.A. Physicochemical Characterization and Drug Release Properties of Eudragit E PO/Eudragit L 100-55 Interpolyelectrolyte Complexes. Eur. J. Pharm. Biopharm. 2006, 63, 26–36. [Google Scholar] [CrossRef] [PubMed]
- Benkő, E.; Ilič, I.G.; Kristó, K.; Regdon, G.; Csóka, I.; Pintye-Hódi, K.; Srčič, S.; Sovány, T. Predicting Drug Release Rate of Implantable Matrices and Better Understanding of the Underlying Mechanisms through Experimental Design and Artificial Neural Network-Based Modelling. Pharmaceutics 2022, 14, 228. [Google Scholar] [CrossRef]
- Urząd Rejestracji Produktów Leczniczych, Wyrobów Medycznych i Produktów Biobójczych. Farmakopea Polska, VIII; Polskie Towarzystwo Farmaceutyczne: Warsaw, Poland, 2008; ISBN 978-83-88157-53-0. [Google Scholar]












| Atomic % | Mass % | |||||
|---|---|---|---|---|---|---|
| Ti | Ni | O | Ti | Ni | O | |
| NiTi | 13.67 | 10.22 | 76.1 | 25.7 | 27.0 | 47.3 |
| HF | 20.86 | 6.59 | 72.54 | 39.1 | 13.6 | 47.3 |
| HF_470 | 29.23 | 0.44 | 70.33 | 54.8 | 1.1 | 44.1 |
| HF_570 | 28.61 | 1.13 | 70.25 | 52.5 | 3.7 | 43.8 |
| HF_610 | 26.93 | 1.31 | 71.76 | 50.8 | 4.0 | 45.2 |
| Corrosion Potential Ec [V] | Corrosion Current Density jc [A/cm2] | βc [V] | Corrosion Rate [mm/year] | |
|---|---|---|---|---|
| NiTi | −0.152 | 4.41 × 10−8 | 0.058 | 0.0005 |
| HF | −0.302 | 4.26 × 10−8 | 0.091 | 0.0005 |
| HF_470 | −0.308 | 1.88 × 10−8 | 0.048 | 0.0002 |
| HF_590 | −0.344 | 2.08 × 10−8 | 0.059 | 0.0002 |
| HF_610 | −0.339 | 4.26 × 10−8 | 0.035 | 0.0005 |
| Average % Mass | Ratio | ||
|---|---|---|---|
| P | Ca | Ca:P | |
| NiTi | 13.35 | 21.89 | 1.64 |
| HF | 19.94 | 33.536 | 1.68 |
| HF_470 | 19.67 | 33.45 | 1.70 |
| HF_570 | 20.54 | 38.04 | 1.85 |
| HF_610 | 21.69 | 37.52 | 1.73 |
Disclaimer/Publisher’s Note: The statements, opinions and data contained in all publications are solely those of the individual author(s) and contributor(s) and not of MDPI and/or the editor(s). MDPI and/or the editor(s) disclaim responsibility for any injury to people or property resulting from any ideas, methods, instructions or products referred to in the content. |
© 2024 by the authors. Licensee MDPI, Basel, Switzerland. This article is an open access article distributed under the terms and conditions of the Creative Commons Attribution (CC BY) license (https://creativecommons.org/licenses/by/4.0/).
Share and Cite
Mroczka, R.; Słodkowska, A.; Kubacki, J. Influence of Heat Treatment of Nitinol Wire on the Properties of Nitinol/Hybrid Layer for Ibuprofen Release. Molecules 2024, 29, 5200. https://doi.org/10.3390/molecules29215200
Mroczka R, Słodkowska A, Kubacki J. Influence of Heat Treatment of Nitinol Wire on the Properties of Nitinol/Hybrid Layer for Ibuprofen Release. Molecules. 2024; 29(21):5200. https://doi.org/10.3390/molecules29215200
Chicago/Turabian StyleMroczka, Robert, Agnieszka Słodkowska, and Jerzy Kubacki. 2024. "Influence of Heat Treatment of Nitinol Wire on the Properties of Nitinol/Hybrid Layer for Ibuprofen Release" Molecules 29, no. 21: 5200. https://doi.org/10.3390/molecules29215200
APA StyleMroczka, R., Słodkowska, A., & Kubacki, J. (2024). Influence of Heat Treatment of Nitinol Wire on the Properties of Nitinol/Hybrid Layer for Ibuprofen Release. Molecules, 29(21), 5200. https://doi.org/10.3390/molecules29215200

