Thermo- and pH-Responsible Gels for Efficient Protein Adsorption and Desorption
Abstract
1. Introduction
2. Results and Discussion
2.1. Structure of the Tested Polymeric Adsorbent
2.2. Selection of the Hydrogel Compositions and the Adsorption Conditions
2.3. Effect of the Composition, Temperature, and pH on the Swelling Degree of Hydrogels
2.4. Zeta Potential
2.5. Adsorption Properties of the Proteins on PNIPAM-co-PolySMA
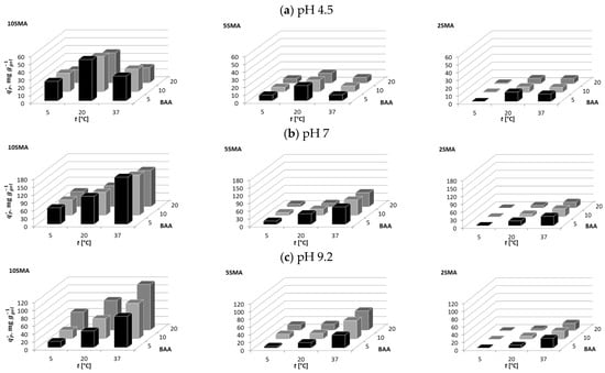
2.5.1. Adsorption Pattern of BSA and OVA
2.5.2. Desorption of BSA
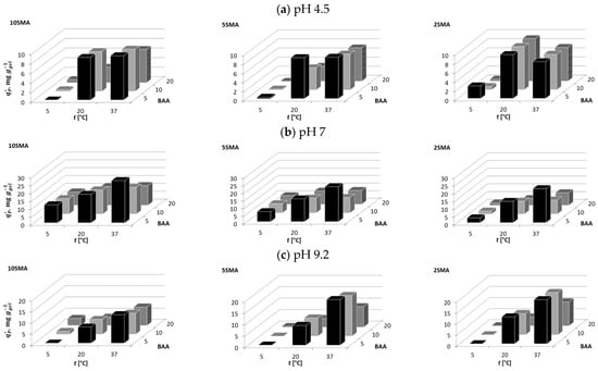
2.5.3. Adsorption Pattern of LYZ
2.5.4. Desorption of LYZ
2.5.5. Adsorption of mAb2
2.5.6. Desorption of mAb2
3. Materials and Methods
3.1. Materials
3.2. Synthesis of the Hydrogels
3.3. Fourier-Transform Infrared Spectroscopy (FTIR)
3.4. Determination of the Swelling Degree
3.5. Determination of the Zeta Potential
3.6. Measurement of Protein Adsorption
3.7. Measurement of Protein Desorption
3.8. SEC Analysis
4. Conclusions
Supplementary Materials
Author Contributions
Funding
Institutional Review Board Statement
Informed Consent Statement
Data Availability Statement
Conflicts of Interest
References
- Kumar, A.; Srivastava, A.; Galaev, I.Y.; Mattiasson, B. Smart Polymers: Physical Forms and Bioengineering Applications. Prog. Polym. Sci. 2007, 32, 1205–1237. [Google Scholar] [CrossRef]
- Wu, W.; Shen, J.; Banerjee, P.; Zhou, S. Core–Shell Hybrid Nanogels for Integration of Optical Temperature-Sensing, Targeted Tumor Cell Imaging, and Combined Chemo-Photothermal Treatment. Biomaterials 2010, 31, 7555–7566. [Google Scholar] [CrossRef] [PubMed]
- Ward, M.A.; Georgiou, T.K. Thermoresponsive Polymers for Biomedical Applications. Polymers 2011, 3, 1215–1242. [Google Scholar] [CrossRef]
- Inal, S.; Kölsch, J.D.; Sellrie, F.; Schenk, J.A.; Wischerhoff, E.; Laschewsky, A.; Neher, D. A Water Soluble Fluorescent Polymer as a Dual Colour Sensor for Temperature and a Specific Protein. J. Mater. Chem. B 2013, 1, 6373–6381. [Google Scholar] [CrossRef] [PubMed]
- Poplewska, I.; Muca, R.; Strachota, A.; Piątkowski, W.; Antos, D. Adsorption Behavior of Proteins on Temperature-Responsive Resins. J. Chromatogr. A 2014, 1324, 181–189. [Google Scholar] [CrossRef] [PubMed]
- Wu, Y.; Li, H.; Rao, Z.; Li, H.; Wu, Y.; Zhao, J.; Rong, J. Controlled Protein Adsorption and Delivery of Thermosensitive Poly(N-Isopropylacrylamide) Nanogels. J. Mater. Chem. B 2017, 5, 7974–7984. [Google Scholar] [CrossRef]
- Jayaramudu, T.; Varaprasad, K.; Sadiku, E.R.; Amalraj, J. Temperature-Sensitive Semi-IPN Composite Hydrogels for Antibacterial Applications. Colloids Surf. Physicochem. Eng. Asp. 2019, 572, 307–316. [Google Scholar] [CrossRef]
- Di, X.; Kang, Y.; Li, F.; Yao, R.; Chen, Q.; Hang, C.; Xu, Y.; Wang, Y.; Sun, P.; Wu, G. Poly (N-Isopropylacrylamide)/Polydopamine/Clay Nanocomposite Hydrogels with Stretchability, Conductivity, and Dual Light- and Thermo- Responsive Bending and Adhesive Properties. Colloids Surf. B Biointerfaces 2019, 177, 149–159. [Google Scholar] [CrossRef]
- Xu, X.; Liu, Y.; Fu, W.; Yao, M.; Ding, Z.; Xuan, J.; Li, D.; Wang, S.; Xia, Y.; Cao, M. Poly (N-Isopropylacrylamide)-Based Thermoresponsive Composite Hydrogels for Biomedical Applications. Polymers 2020, 12, 580. [Google Scholar] [CrossRef]
- Dong, Y.C.; Bouché, M.; Uman, S.; Burdick, J.A.; Cormode, D.P. Detecting and Monitoring Hydrogels with Medical Imaging. ACS Biomater. Sci. Eng. 2021, 7, 4027–4047. [Google Scholar] [CrossRef]
- Baert, M.; Wicht, K.; Hou, Z.; Szucs, R.; Prez, F.D.; Lynen, F. Exploration of the Selectivity and Retention Behavior of Alternative Polyacrylamides in Temperature Responsive Liquid Chromatography. Anal. Chem. 2020, 92, 9815–9822. [Google Scholar] [CrossRef] [PubMed]
- Agnihotri, P.; Sangeeta; Aery, S.; Dan, A. Temperature- and pH-Responsive Poly(N-Isopropylacrylamide-Co-Methacrylic Acid) Microgels as a Carrier for Controlled Protein Adsorption and Release. Soft Matter 2021, 17, 9595–9606. [Google Scholar] [CrossRef] [PubMed]
- Liu, H.; Chen, B.; Zhu, Q. Potential Application of Hydrogel to the Diagnosis and Treatment of Multiple Sclerosis. J. Biol. Eng. 2022, 16, 10. [Google Scholar] [CrossRef] [PubMed]
- Kotova, S.; Kostjuk, S.; Rochev, Y.; Efremov, Y.; Frolova, A.; Timashev, P. Phase Transition and Potential Biomedical Applications of Thermoresponsive Compositions Based on Polysaccharides, Proteins and DNA: A Review. Int. J. Biol. Macromol. 2023, 249, 126054. [Google Scholar] [CrossRef] [PubMed]
- Chan, Q.H.; Alias, S.A.; Quek, S.W.; Ng, C.Y.; Ku Marsilla, K.I. A Review of the Preparations, Properties, and Applications of Smart Biodegradable Polymers. Polym. Plast. Technol. Mater. 2023, 62, 1273–1289. [Google Scholar] [CrossRef]
- Xing, Y.; Qiu, L.; Liu, D.; Dai, S.; Sheu, C.-L. The Role of Smart Polymeric Biomaterials in Bone Regeneration: A Review. Front. Bioeng. Biotechnol. 2023, 11, 1240861. [Google Scholar] [CrossRef]
- Gan, D.; Lyon, L.A. Synthesis and Protein Adsorption Resistance of PEG-Modified Poly (N-Isopropylacrylamide) Core/Shell Microgels. Macromolecules 2002, 35, 9634–9639. [Google Scholar] [CrossRef]
- Nolan, C.M.; Reyes, C.D.; Debord, J.D.; García, A.J.; Lyon, L.A. Phase Transition Behavior, Protein Adsorption, and Cell Adhesion Resistance of Poly (Ethylene Glycol) Cross-Linked Microgel Particles. Biomacromolecules 2005, 6, 2032–2039. [Google Scholar] [CrossRef]
- Trongsatitkul, T.; Budhlall, B.M. Temperature Dependence of Serum Protein Adsorption in PEGylated PNIPAm Microgels. Colloids Surf. B Biointerfaces 2013, 103, 244–252. [Google Scholar] [CrossRef]
- Johansson, C.; Hansson, P.; Malmsten, M. Mechanism of Lysozyme Uptake in Poly (Acrylic Acid) Microgels. J. Phys. Chem. B 2009, 113, 6183–6193. [Google Scholar] [CrossRef]
- Widenbring, R.; Frenning, G.; Malmsten, M. Chain and Pore-Blocking Effects on Matrix Degradation in Protein-Loaded Microgels. Biomacromolecules 2014, 15, 3671–3678. [Google Scholar] [CrossRef] [PubMed]
- Xu, X.; Angioletti-Uberti, S.; Lu, Y.; Dzubiella, J.; Ballauff, M. Interaction of Proteins with Polyelectrolytes: Comparison of Theory to Experiment. Langmuir 2019, 35, 5373–5391. [Google Scholar] [CrossRef] [PubMed]
- Heskins, M.; Guillet, J.E. Solution Properties of Poly (N-Isopropylacrylamide). J. Macromol. Sci. Chem. 1968, 2, 1441–1455. [Google Scholar] [CrossRef]
- Wu, C.; Zhou, S.; Au-yeung, S.C.F.; Jiang, S. Volume Phase Transition of Spherical Microgel Particles. Angew. Makromol. Chem. 1996, 240, 123–136. [Google Scholar] [CrossRef]
- Zhu, X.; Gu, X.; Zhang, L.; Kong, X.-Z. Preparation and Characterization of Nanosized P (NIPAM-MBA) Hydrogel Particles and Adsorption of Bovine Serum Albumin on Their Surface. Nanoscale Res. Lett. 2012, 7, 519. [Google Scholar] [CrossRef] [PubMed]
- Bikram, M.; Gobin, A.M.; Whitmire, R.E.; West, J.L. Temperature-Sensitive Hydrogels with SiO2–Au Nanoshells for Controlled Drug Delivery. J. Control. Release 2007, 123, 219–227. [Google Scholar] [CrossRef]
- Teles, H.; Vermonden, T.; Eggink, G.; Hennink, W.E.; de Wolf, F.A. Hydrogels of Collagen-Inspired Telechelic Triblock Copolymers for the Sustained Release of Proteins. J. Control. Release 2010, 147, 298–303. [Google Scholar] [CrossRef]
- He, P.; Tang, Z.; Lin, L.; Deng, M.; Pang, X.; Zhuang, X.; Chen, X. Novel Biodegradable and pH-Sensitive Poly(Ester Amide) Microspheres for Oral Insulin Delivery. Macromol. Biosci. 2012, 12, 547–556. [Google Scholar] [CrossRef]
- Su, W.; Yang, M.; Zhao, K.; Ngai, T. Influence of Charged Groups on the Structure of Microgel and Volume Phase Transition by Dielectric Analysis. Macromolecules 2016, 49, 7997–8008. [Google Scholar] [CrossRef]
- Tan, B.H.; Ravi, P.; Tam, K.C. Synthesis and Characterization of Novel pH-Responsive Polyampholyte Microgels. Macromol. Rapid Commun. 2006, 27, 522–528. [Google Scholar] [CrossRef]
- Kodlekere, P.; Cartelle, A.L.; Lyon, L.A. Design of Functional Cationic Microgels as Conjugation Scaffolds. RSC Adv. 2016, 6, 31619–31631. [Google Scholar] [CrossRef]
- Echeverría, C.; Aragón-Gutiérrez, A.; Fernández-García, M.; Muñoz-Bonilla, A.; López, D. Thermoresponsive Poly (N-Isopropylacrylamide-Co-Dimethylaminoethyl Methacrylate) Microgel Aqueous Dispersions with Potential Antimicrobial Properties. Polymers 2019, 11, 606. [Google Scholar] [CrossRef]
- Wei, J.; Li, Y.; Ngai, T. Tailor-Made Microgel Particles: Synthesis and Characterization. Colloids Surf. Physicochem. Eng. Asp. 2016, 489, 122–127. [Google Scholar] [CrossRef]
- Brugger, B.; Richtering, W. Emulsions Stabilized by Stimuli-Sensitive Poly (N-Isopropylacrylamide)-Co-Methacrylic Acid Polymers: Microgels versus Low Molecular Weight Polymers. Langmuir 2008, 24, 7769–7777. [Google Scholar] [CrossRef]
- Nigro, V.; Angelini, R.; Bertoldo, M.; Buratti, E.; Franco, S.; Ruzicka, B. Chemical-Physical Behaviour of Microgels Made of Interpenetrating Polymer Networks of PNIPAM and Poly (Acrylic Acid). Polymers 2021, 13, 1353. [Google Scholar] [CrossRef] [PubMed]
- Nigro, V.; Angelini, R.; Rosi, B.; Bertoldo, M.; Buratti, E.; Casciardi, S.; Sennato, S.; Ruzicka, B. Study of Network Composition in Interpenetrating Polymer Networks of Poly (N Isopropylacrylamide) Microgels: The Role of Poly (Acrylic Acid). J. Colloid. Interface Sci. 2019, 545, 210–219. [Google Scholar] [CrossRef] [PubMed]
- Thorne, J.; Snowden, M. Microgel Applications and Commercial Considerations. Colloid. Polym. Sci. 2011, 289, 625–646. [Google Scholar] [CrossRef]
- Kocak, G.; Tuncer, C.; Butun, V. pH-Responsive Polymers. Polym. Chem. 2017, 8, 144–176. [Google Scholar] [CrossRef]
- Pérez-Chávez, N.A.; Albesa, A.G.; Longo, G.S. Investigating the Impact of Network Functionalization on Protein Adsorption to Polymer Nanogels. J. Phys. Chem. B 2024, 128, 371–380. [Google Scholar] [CrossRef]
- Kawaguchi, H.; Fujimoto, K.; Mizuhara, Y. Hydrogel Microspheres III. Temperature-Dependent Adsorption of Proteins on Poly-N-Isopropylacrylamide Hydrogel Microspheres. Colloid. Polym. Sci. 1992, 270, 53–57. [Google Scholar] [CrossRef]
- Such-Sanmartín, G.; Ventura-Espejo, E.; Jensen, O.N. Depletion of Abundant Plasma Proteins by Poly (N-Isopropylacrylamide-Acrylic Acid) Hydrogel Particles. Anal. Chem. 2014, 86, 1543–1550. [Google Scholar] [CrossRef] [PubMed]
- Hagemann, A.; Giussi, J.M.; Longo, G.S. Use of pH Gradients in Responsive Polymer Hydrogels for the Separation and Localization of Proteins from Binary Mixtures. Macromolecules 2018, 51, 8205–8216. [Google Scholar] [CrossRef]
- Zheng, A.; Wu, D.; Fan, M.; Wang, H.; Liao, Y.; Wang, Q.; Yang, Y. Injectable Zwitterionic Thermosensitive Hydrogels with Low-Protein Adsorption and Combined Effect of Photothermal-Chemotherapy. J. Mater. Chem. B 2020, 8, 10637–10649. [Google Scholar] [CrossRef] [PubMed]
- Kleinen, J.; Klee, A.; Richtering, W. Influence of Architecture on the Interaction of Negatively Charged Multisensitive Poly (N-Isopropylacrylamide)-Co-Methacrylic Acid Microgels with Oppositely Charged Polyelectrolyte: Absorption vs Adsorption. Langmuir 2010, 26, 11258–11265. [Google Scholar] [CrossRef]
- Kato, K.; Sano, S.; Ikada, Y. Protein Adsorption onto Ionic Surfaces. Colloids Surf. B Biointerfaces 1995, 4, 221–230. [Google Scholar] [CrossRef]
- Garrett, Q.; Chatelier, R.C.; Griesser, H.J.; Milthorpe, B.K. Effect of Charged Groups on the Adsorption and Penetration of Proteins onto and into Carboxymethylated Poly (HEMA) Hydrogels. Biomaterials 1998, 19, 2175–2186. [Google Scholar] [CrossRef]
- Liu, Y.; Xing, L.; Zhang, Q.; Mu, Q.; Liu, P.; Chen, K.; Chen, L.; Zhang, X.; Wang, K.; Wei, Y. Thermo- and Salt-Responsive Poly (NIPAm-Co-AAc-Brij-58) Microgels: Adjustable Size, Stability under Salt Stimulus, and Rapid Protein Adsorption/Desorption. Colloid. Polym. Sci. 2016, 294, 617–628. [Google Scholar] [CrossRef]
- Huo, D.; Li, Y.; Qian, Q.; Kobayashi, T. Temperature–pH Sensitivity of Bovine Serum Albumin Protein-Microgels Based on Cross-Linked Poly (N-Isopropylacrylamide-Co-Acrylic Acid). Colloids Surf. B Biointerfaces 2006, 50, 36–42. [Google Scholar] [CrossRef]
- Taniguchi, T.; Duracher, D.; Delair, T.; Elaïssari, A.; Pichot, C. Adsorption/Desorption Behavior and Covalent Grafting of an Antibody onto Cationic Amino-Functionalized Poly (Styrene-N-Isopropylacrylamide) Core-Shell Latex Particles. Colloids Surf. B Biointerfaces 2003, 29, 53–65. [Google Scholar] [CrossRef]
- Byrne, M.E.; Oral, E.; Zachary Hilt, J.; Peppas, N.A. Networks for Recognition of Biomolecules: Molecular Imprinting and Micropatterning Poly (Ethylene Glycol)-Containing Films. Polym. Adv. Technol. 2002, 13, 798–816. [Google Scholar] [CrossRef]
- Hu, T.; Gao, J.; Auweter, H.; Iden, R.; Lueddecke, E.; Wu, C. Adsorption of Gelatins on Surfactant-Free PS Nanoparticles. Polymer 2002, 43, 5545–5550. [Google Scholar] [CrossRef]
- Su, Y.; Gu, L.; Zhang, Z.; Chang, C.; Li, J.; McClements, D.J.; Yang, Y. Encapsulation and Release of Egg White Protein in Alginate Microgels: Impact of pH and Thermal Treatment. Food Res. Int. 2019, 120, 305–311. [Google Scholar] [CrossRef]
- Tae, H.; Lee, S.; Ki, C.S. β-Glucan Hybridized Poly (Ethylene Glycol) Microgels for Macrophage-Targeted Protein Delivery. J. Ind. Eng. Chem. 2019, 75, 69–76. [Google Scholar] [CrossRef]
- Byrne, M.E.; Park, K.; Peppas, N.A. Molecular Imprinting within Hydrogels. Recent. Dev. Hydrogels 2002, 54, 149–161. [Google Scholar] [CrossRef]
- Wu, J.-Y.; Liu, S.-Q.; Heng, P.W.-S.; Yang, Y.-Y. Evaluating Proteins Release from, and Their Interactions with, Thermosensitive Poly (N-Isopropylacrylamide) Hydrogels. J. Control. Release 2005, 102, 361–372. [Google Scholar] [CrossRef]
- Chacon, D.; Hsieh, Y.-L.; Kurth, M.J.; Krochta, J.M. Swelling and Protein Absorption/Desorption of Thermo-Sensitive Lactitol-Based Polyether Polyol Hydrogels. Polymer 2000, 41, 8257–8262. [Google Scholar] [CrossRef]
- Malmsten, M.; Bysell, H.; Hansson, P. Biomacromolecules in Microgels—Opportunities and Challenges for Drug Delivery. Curr. Opin. Colloid. Interface Sci. 2010, 15, 435–444. [Google Scholar] [CrossRef]
- Strachota, B.; Oleksyuk, K.; Strachota, A.; Šlouf, M. Porous Hybrid Poly (N-Isopropylacrylamide) Hydrogels with Very Fast Volume Response to Temperature and pH. Eur. Polym. J. 2019, 120, 109213. [Google Scholar] [CrossRef]
- Elyashevich, G.K.; Bel’nikevich, N.G.; Vesnebolotskaya, S.A. Swelling-Contraction of Sodium Polyacrylate Hydrogels in Media with Various pH Values. Polym. Sci. Ser. A 2009, 51, 550–553. [Google Scholar] [CrossRef]
- Boddu, V.M.; Naismith, N.K.; Patel, H.R. Environmentally Responsive Poly (N-Isopropylacrylamide)-Co-Poly (Acrylic Acid) Hydrogels for Separation of Toxic Metals and Organic Explosive Compounds from Water. J. Polym. Environ. 2019, 27, 571–580. [Google Scholar] [CrossRef]
- Synytska, A.; Svetushkina, E.; Puretskiy, N.; Stoychev, G.; Berger, S.; Ionov, L.; Bellmann, C.; Eichhorn, K.-J.; Stamm, M. Biocompatible Polymeric Materials with Switchable Adhesion Properties. Soft Matter 2010, 6, 5907–5914. [Google Scholar] [CrossRef]
- Sidoli, U.; Tee, H.T.; Raguzin, I.; Mühldorfer, J.; Wurm, F.R.; Synytska, A. Thermo-Responsive Polymer Brushes with Side Graft Chains: Relationship Between Molecular Architecture and Underwater Adherence. Int. J. Mol. Sci. 2019, 20, 6295. [Google Scholar] [CrossRef] [PubMed]
- Al Mahrouqi, D.; Vinogradov, J.; Jackson, M.D. Temperature Dependence of the Zeta Potential in Intact Natural Carbonates. Geophys. Res. Lett. 2016, 43, 11–578. [Google Scholar] [CrossRef]
- Strachotová, B.; Strachota, A.; Uchman, M.; Šlouf, M.; Brus, J.; Pleštil, J.; Matějka, L. Super Porous Organic–Inorganic Poly (N-Isopropylacrylamide)-Based Hydrogel with a Very Fast Temperature Response. Polymer 2007, 48, 1471–1482. [Google Scholar] [CrossRef]
- Feng, X.D.; Guo, X.Q.; Qiu, K.Y. Study of the Initiation Mechanism of the Vinyl Polymerization with the System Persulfate/N,N,N′,N′-Tetramethylethylenediamine. Makromol. Chem. 1988, 189, 77–83. [Google Scholar] [CrossRef]
- Strachota, B.; Strachota, A.; Horodecka, S.; Šlouf, M.; Dybal, J. Monolithic Nanocomposite Hydrogels with Fast Dual T- and pH- Stimuli Responsiveness Combined with High Mechanical Properties. J. Mater. Res. Technol. 2021, 15, 6079–6097. [Google Scholar] [CrossRef]







| Zeta Potential, mV ±2 mV | ||||||
|---|---|---|---|---|---|---|
| pH 4.5 | pH 7 | pH 9.2 | ||||
| 20 °C | 37 °C | 20 °C | 37 °C | 20 °C | 37 °C | |
| 20BAA-10SMA | −5.5 | −5.6 | −17.2 | −13.6 | −18.8 | −16.2 |
| 5BAA-10SMA | −5.9 | −5.7 | −11.3 | −10.0 | −13.6 | −12.4 |
| 20BAA-5SMA | −2.4 | −2.3 | −7.2 | −5.7 | −8.8 | −9.3 |
| 5BAA-5SMA | −2.1 | −3.1 | −2.6 | −4.0 | −6.6 | −6.2 |
| 20BAA-2SMA | −2.2 | −1.1 | −2.8 | −4.5 | −5.6 | −5.5 |
| 5BAA-2SMA | −1.4 | −1.4 | −2.4 | −3.1 | −2.5 | −4.4 |
| Zeta Potential, mV ±2 mV | |||
|---|---|---|---|
| pH 4.5 | pH 7 | pH 9.2 | |
| BSA | +7.3 | −0.7 | −6.8 |
| OVA | +6.2 | −0.6 | −5.2 |
| LYZ | +15.6 | +4.9 | +4.6 |
| mAb2 | +14.1 | +5.3 | −2.2 |
| Hydrogel | pH 4.5 5 °C | pH 7 37 °C | pH 7 5 °C | pH 9.2 5 °C |
|---|---|---|---|---|
| 5BAA-10SMA | 65.2 | 74.8 | 96.1 | 100 |
| 5BAA-2SMA | 62.9 | 23.4 | 100 | 100 |
| Hydrogel | After Adsorption at pH 7 | After Adsorption at pH 9.2 | ||
|---|---|---|---|---|
| pH 7 5 °C | pH 9.2 37 °C | pH 9.2 5 °C | pH 9.2 5 °C | |
| 5BAA-10SMA | 64.8 | 55.5 | 89.2 | 79.3 |
| 5BAA-2SMA | 100 | 28.2 | 100 | 100 |
| Hydrogel | After Adsorption at pH 7 | After Adsorption at pH 9.2 | ||
|---|---|---|---|---|
| pH 7 5 °C | pH 9.2 37 °C | pH 9.2 5 °C | pH 9.2 5 °C | |
| 5BAA-10SMA | 55.4 | 50.1 | 100 | 97.6 |
| 5BAA-2SMA | 84.6 | ~0 | 100 | 100 |
| 2 mol% SMA | 5 mol% SMA | 10 mol% SMA | |||||
|---|---|---|---|---|---|---|---|
| g | mmol | g | mmol | g | mmol | ||
| 5 mol% BAA | H2O | 14.51 | 805.9 | 15.00 | 832.9 | 15.89 | 882.1 |
| NIPAM | 1.500 | 13.26 | 1.500 | 13.26 | 1.500 | 13.26 | |
| BAA | 0.055 | 0.356 | 0.057 | 0.368 | 0.060 | 0.390 | |
| SMA | 0.031 | 0.285 | 0.080 | 0.736 | 0.168 | 1.559 | |
| TEMED | 0.046 | 0.399 | 0.048 | 0.412 | 0.051 | 0.437 | |
| 1%APS | 2.830 | 0.124 | 2.924 | 0.128 | 3.096 | 0.136 | |
| 10 mol% BAA | H2O | 15.37 | 853.2 | 15.91 | 883.4 | 16.91 | 938.9 |
| NIPAM | 1.500 | 13.26 | 1.500 | 13.26 | 1.500 | 13.26 | |
| BAA | 0.116 | 0.753 | 0.120 | 0.780 | 0.128 | 0.828 | |
| SMA | 0.033 | 0.301 | 0.084 | 0.780 | 0.179 | 1.657 | |
| TEMED | 0.049 | 0.422 | 0.051 | 0.437 | 0.054 | 0.464 | |
| 1%APS | 2.990 | 0.131 | 3.096 | 0.136 | 3.290 | 0.144 | |
| 20 mol% BAA | H2O | 17.40 | 966.0 | 18.10 | 1005 | 19.39 | 1077 |
| NIPAM | 1.500 | 13.26 | 1.500 | 13.26 | 1.500 | 13.26 | |
| BAA | 0.262 | 1.699 | 0.273 | 1.767 | 0.292 | 1.894 | |
| SMA | 0.037 | 0.340 | 0.095 | 0.884 | 0.205 | 1.894 | |
| TEMED | 0.055 | 0.476 | 0.057 | 0.495 | 0.062 | 0.530 | |
| 1%APS | 3.374 | 0.148 | 3.509 | 0.154 | 3.759 | 0.165 | |
Disclaimer/Publisher’s Note: The statements, opinions and data contained in all publications are solely those of the individual author(s) and contributor(s) and not of MDPI and/or the editor(s). MDPI and/or the editor(s) disclaim responsibility for any injury to people or property resulting from any ideas, methods, instructions or products referred to in the content. |
© 2024 by the authors. Licensee MDPI, Basel, Switzerland. This article is an open access article distributed under the terms and conditions of the Creative Commons Attribution (CC BY) license (https://creativecommons.org/licenses/by/4.0/).
Share and Cite
Poplewska, I.; Strachota, B.; Strachota, A.; Poplewski, G.; Antos, D. Thermo- and pH-Responsible Gels for Efficient Protein Adsorption and Desorption. Molecules 2024, 29, 4858. https://doi.org/10.3390/molecules29204858
Poplewska I, Strachota B, Strachota A, Poplewski G, Antos D. Thermo- and pH-Responsible Gels for Efficient Protein Adsorption and Desorption. Molecules. 2024; 29(20):4858. https://doi.org/10.3390/molecules29204858
Chicago/Turabian StylePoplewska, Izabela, Beata Strachota, Adam Strachota, Grzegorz Poplewski, and Dorota Antos. 2024. "Thermo- and pH-Responsible Gels for Efficient Protein Adsorption and Desorption" Molecules 29, no. 20: 4858. https://doi.org/10.3390/molecules29204858
APA StylePoplewska, I., Strachota, B., Strachota, A., Poplewski, G., & Antos, D. (2024). Thermo- and pH-Responsible Gels for Efficient Protein Adsorption and Desorption. Molecules, 29(20), 4858. https://doi.org/10.3390/molecules29204858

