Green Synthesis of Er-Doped ZnO Nanoparticles: An Investigation on the Methylene Blue, Eosin, and Ibuprofen Removal by Photodegradation
Abstract
1. Introduction
2. Results and Discussion
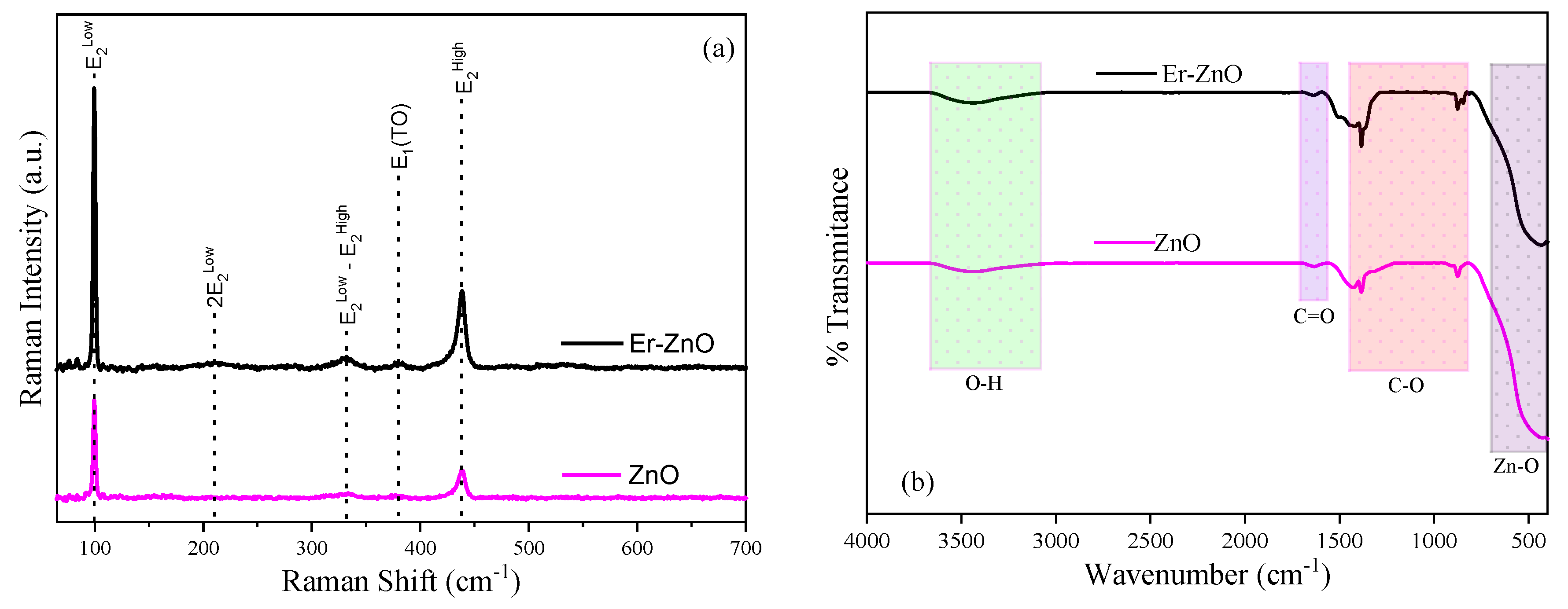
2.1. Influence of Er3+ Insertion on the Structural and Vibrational Properties of ZnO Nanoparticles
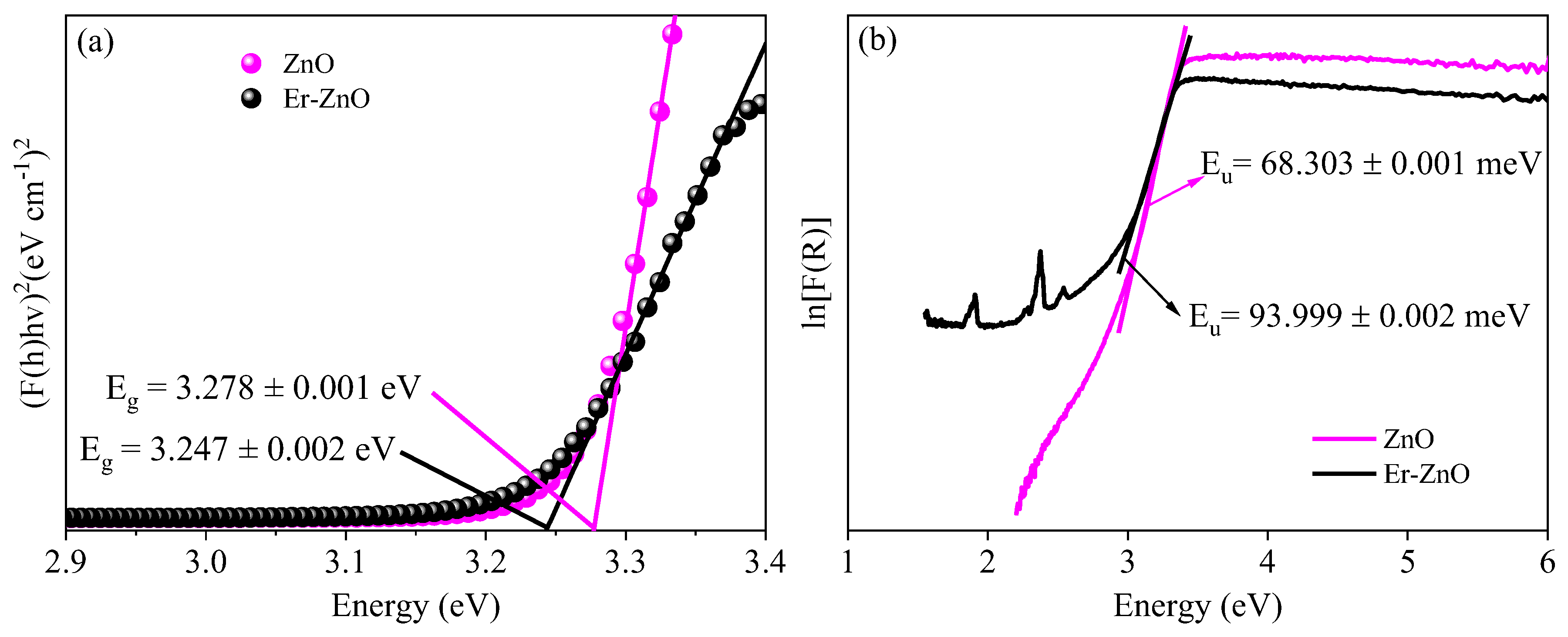
2.2. Effect of Er3+ Cations Inclusion on the Optical Property of ZnO Structure
2.3. Morphological and Textural Changes Induced by the Er3+ Ions Inclusion in the ZnO Structure
2.4. Photocatalytic Properties of the Zn0.97Er0.03O Compound
2.4.1. Degradation/Discoloration Tests
2.4.2. Scavengers and Recycling Tests
2.4.3. Degradation/Discoloration Proposal Mechanism
3. Materials and Methods
3.1. Materials
3.2. Methods
3.2.1. Preparation of Mangifera indica Gum
3.2.2. Preparation of ZnO-Based Nanoparticles
3.2.3. Characterization Techniques
3.2.4. Photocatalytic Tests
4. Conclusions
Author Contributions
Funding
Institutional Review Board Statement
Informed Consent Statement
Data Availability Statement
Conflicts of Interest
References
- Saadi, H.; Benzarti, Z.; Rhouma, F.I.H.; Sanguino, P.; Guermazi, S.; Khirouni, K.; Vieira, M.T. Enhancing the Electrical and Dielectric Properties of ZnO Nanoparticles through Fe Doping for Electric Storage Applications. J. Mater. Sci. Mater. Electron. 2021, 32, 1536–1556. [Google Scholar] [CrossRef]
- Saadi, H.; Benzarti, Z.; Sanguino, P.; Hadouch, Y.; Mezzane, D.; Khirouni, K.; Abdelmoula, N.; Khemakhem, H. Improving the Optical, Electrical and Dielectric Characteristics of ZnO Nanoparticles through (Fe + Al) Addition for Optoelectronic Applications. Appl. Phys. A Mater. Sci. Process. 2022, 128, 691. [Google Scholar] [CrossRef]
- Saadi, H.; Benzarti, Z.; Sanguino, P.; Pina, J.; Abdelmoula, N.; de Melo, J.S.S. Enhancing the Electrical Conductivity and the Dielectric Features of ZnO Nanoparticles through Co Doping Effect for Energy Storage Applications. J. Mater. Sci. Mater. Electron. 2023, 34, 116. [Google Scholar] [CrossRef]
- Cao, F.; Wu, Q.; Li, W.; Wang, S.; Kong, L.; Zhang, J.; Zhang, X.; Li, H.; Hua, W.; Rogach, A.L.; et al. Core/Shell ZnO/ZnS Nanoparticle Electron Transport Layers Enable Efficient All-Solution-Processed Perovskite Light-Emitting Diodes. Small 2023, 19, 2207260. [Google Scholar] [CrossRef]
- Wang, C.; Peng, C.; Wen, P.; Xu, M.; Chen, L.; Li, X.; Zhang, J. Improvement of Performance of Back Channel Etching InGaZnO Thin-Film Transistors by CF4 Plasma Treatment. IEEE Trans. Electron Devices 2023, 70, 1687–1691. [Google Scholar] [CrossRef]
- Wang, Y.; Zhou, R.; Cong, H.; Chen, G.; Ma, Y.; Xin, S.; Ge, D.; Qin, Y.; Ramakrishna, S.; Liu, X.; et al. Weak UV-Stimulated Synaptic Transistors Based on Precise Tuning of Gallium-Doped Indium Zinc Oxide Nanofibers. Adv. Fiber Mater. 2023, 5, 1919–1933. [Google Scholar] [CrossRef]
- He, J.; Xu, P.; Zhou, R.; Li, H.; Zu, H.; Zhang, J.; Qin, Y.; Liu, X.; Wang, F. Combustion Synthesized Electrospun InZnO Nanowires for Ultraviolet Photodetectors. Adv. Electron. Mater. 2022, 8, 2100997. [Google Scholar] [CrossRef]
- Lins, A.; Jer, A.G.; Barbosa, R.; Neves, L.; Trigueiro, P.; Almeida, L.C.; Osajima, J.A.; Pereira, F.A.; Peña-Garcia, R.R. Facile Synthesis of Ni-Doped ZnO Nanoparticles Using Cashew Gum: Investigation of the Structural, Optical, and Photocatalytic Properties. Molecules 2023, 28, 7772. [Google Scholar] [CrossRef]
- Zheng, A.L.T.; Abdullah, C.A.C.; Chung, E.L.T.; Andou, Y. Recent Progress in Visible Light-Doped ZnO Photocatalyst for Pollution Control. Int. J. Environ. Sci. Technol. 2022, 20, 5753–5772. [Google Scholar] [CrossRef]
- Surbhi; Chakraborty, I.; Pandey, A. A Review Article on Application of ZnO-Based Nanocomposite Materials in Environmental Remediation. Mater. Today Proc. 2023. [Google Scholar] [CrossRef]
- França, R.; Araujo, F.P.; Neves, L.; Melo, A.; Lins, A.; Soares, A.S.; Osajima, J.A.; Guerra, Y.; Almeida, L.C.; Peña-Garcia, R.R. Photoresponsive Activity of the Zn0.94Er0.02Cr0.04O Compound with Hemisphere-like Structure Obtained by Co-Precipitation. Materials 2023, 16, 1446. [Google Scholar] [CrossRef]
- Mirzaei, H.; Darroudi, M. Zinc Oxide Nanoparticles: Biological Synthesis and Biomedical Applications. Ceram. Int. 2017, 43, 907–914. [Google Scholar] [CrossRef]
- Dangana, R.S.; George, R.C.; Agboola, F.K. The Biosynthesis of Zinc Oxide Nanoparticles Using Aqueous Leaf Extracts of Cnidoscolus aconitifolius and Their Biological Activities. Green Chem. Lett. Rev. 2023, 16, 2169591. [Google Scholar] [CrossRef]
- Kayani, Z.N.; Abbas, E.; Saddiqe, Z.; Riaz, S.; Naseem, S. Photocatalytic, Antibacterial, Optical and Magnetic Properties of Fe-Doped ZnO Nano-Particles Prepared by Sol-Gel. Mater. Sci. Semicond. Process. 2018, 88, 109–119. [Google Scholar] [CrossRef]
- Ramírez, A.E.; Montero-Muñoz, M.; López, L.L.; Ramos-Ibarra, J.E.; Coaquira, J.A.H.; Heinrichs, B.; Páez, C.A. Significantly Enhancement of Sunlight Photocatalytic Performance of ZnO by Doping with Transition Metal Oxides. Sci. Rep. 2021, 11, 2804. [Google Scholar] [CrossRef]
- Zaman, Y.; Ishaque, M.Z.; Waris, K.; Shahzad, M.; Siddique, A.B.; Arshad, M.I.; Zaman, H.; Ali, H.M.; Kanwal, F.; Aslam, M.; et al. Modified Physical Properties of Ni Doped ZnO NPs as Potential Photocatalyst and Antibacterial Agents. Arab. J. Chem. 2023, 16, 105230. [Google Scholar] [CrossRef]
- Azmal Zaid, E.H.; Sin, J.-C.; Lam, S.-M.; Mohamed, A.R. Fabrication of La, Ce Co-Doped ZnO Nanorods for Improving Photodegradation of Methylene Blue. J. Rare Earths 2023, 42, 76–83. [Google Scholar] [CrossRef]
- Gaffuri, P.; Dedova, T.; Appert, E.; Danilson, M.; Baillard, A.; Chaix-Pluchery, O.; Güell, F.; Oja-Acik, I.; Consonni, V. Enhanced Photocatalytic Activity of Chemically Deposited ZnO Nanowires Using Doping and Annealing Strategies for Water Remediation. Appl. Surf. Sci. 2022, 582, 152323. [Google Scholar] [CrossRef]
- Soares, A.S.; Araujo, F.P.; Osajima, J.A.; Guerra, Y.; Viana, B.C.; Peña-Garcia, R. Nanotubes/Nanorods-like Structures of La-Doped ZnO for Degradation of Methylene Blue and Ciprofloxacin. J. Photochem. Photobiol. A Chem. 2024, 447, 115235. [Google Scholar] [CrossRef]
- Shukla, S.; Sharma, D.K. A Review on Rare Earth (Ce and Er)-Doped Zinc Oxide Nanostructures. Mater. Today Proc. 2021, 34, 793–801. [Google Scholar] [CrossRef]
- Caregnato, P.; Espinosa Jiménez, K.R.; Villabrille, P.I. Ce-Doped ZnO as Photocatalyst for Carbamazepine Degradation. Catal. Today 2021, 372, 183–190. [Google Scholar] [CrossRef]
- Kumar, R.; Dosanjh, H.S. A Mini-Review on Rare Earth Metal Doped ZnO Nanomaterials for Photocatalytic Remediation of Waste Water. J. Phys. Conf. Ser. 2022, 2267, 012139. [Google Scholar] [CrossRef]
- Hannachi, E.; Slimani, Y.; Nawaz, M.; Trabelsi, Z.; Yasin, G.; Bilal, M.; Almessiere, M.A.; Baykal, A.; Thakur, A.; Thakur, P. Synthesis, Characterization, and Evaluation of the Photocatalytic Properties of Zinc Oxide Co-Doped with Lanthanides Elements. J. Phys. Chem. Solids 2022, 170, 110910. [Google Scholar] [CrossRef]
- Yu, K.S.; Shi, J.Y.; Zhang, Z.L.; Liang, Y.M.; Liu, W. Synthesis, Characterization, and Photocatalysis of ZnO and Er-Doped ZnO. J. Nanomater. 2013, 2013, 75. [Google Scholar] [CrossRef]
- Pascariu, P.; Cojocaru, C.; Olaru, N.; Samoila, P.; Airinei, A.; Ignat, M.; Sacarescu, L.; Timpu, D. Novel Rare Earth (RE-La, Er, Sm) Metal Doped ZnO Photocatalysts for Degradation of Congo-Red Dye: Synthesis, Characterization and Kinetic Studies. J. Environ. Manag. 2019, 239, 225–234. [Google Scholar] [CrossRef]
- Divya, N.K.; Pradyumnan, P.P. Solid State Synthesis of Erbium Doped ZnO with Excellent Photocatalytic Activity and Enhanced Visible Light Emission. Mater. Sci. Semicond. Process. 2016, 41, 428–435. [Google Scholar] [CrossRef]
- Chemingui, H.; Mzali, J.C.; Missaoui, T.; Konyar, M.; Smiri, M.; Yatmaz, H.C.; Hafiane, A. Characteristics of Er-Doped Zinc Oxide Layer: Application in Synthetic Dye Solution Color Removal. Desalin. Water Treat. 2021, 209, 402–413. [Google Scholar] [CrossRef]
- Peña-Garcia, R.; Guerra, Y.; Farias, B.V.M.; Buitrago, D.M.; Franco, A.; Padrón-Hernández, E. Effects of Temperature and Atomic Disorder on the Magnetic Phase Transitions in ZnO Nanoparticles Obtained by Sol–Gel Method. Mater. Lett. 2018, 233, 146–148. [Google Scholar] [CrossRef]
- Resmi, R.; Yoonus, J.; Beena, B. A Novel Greener Synthesis of ZnO Nanoparticles from Nilgiriantus ciliantus Leaf Extract and Evaluation of Its Biomedical Applications. Mater. Today Proc. 2021, 46, 3062–3068. [Google Scholar] [CrossRef]
- Jiménez-Rosado, M.; Gomez-Zavaglia, A.; Guerrero, A.; Romero, A. Green Synthesis of ZnO Nanoparticles Using Polyphenol Extracts from Pepper Waste (Capsicum annuum). J. Clean. Prod. 2022, 350, 131541. [Google Scholar] [CrossRef]
- Ifeanyichukwu, U.L.; Fayemi, O.E.; Ateba, C.N. Green Synthesis of Zinc Oxide Nanoparticles from Pomegranate (Punica granatum) Extracts and Characterization of Their Antibacterial Activity. Molecules 2020, 25, 4521. [Google Scholar] [CrossRef]
- Araujo, F.P.; Trigueiro, P.; Honório, L.M.C.; Furtini, M.B.; Oliveira, D.M.; Almeida, L.C.; Garcia, R.R.P.; Viana, B.C.; Silva-Filho, E.C.; Osajima, J.A. A Novel Green Approach Based on ZnO Nanoparticles and Polysaccharides for Photocatalytic Performance. Dalt. Trans. 2020, 49, 16394–16403. [Google Scholar] [CrossRef]
- Araujo, F.P.; Trigueiro, P.; Honório, L.M.C.; Oliveira, D.M.; Almeida, L.C.; Garcia, R.P.; Lobo, A.O.; Cantanhêde, W.; Silva-Filho, E.C.; Osajima, J.A. Eco-Friendly Synthesis and Photocatalytic Application of Flowers-like ZnO Structures Using Arabic and Karaya Gums. Int. J. Biol. Macromol. 2020, 165, 813–2822. [Google Scholar] [CrossRef]
- Vinayagam, R.; Selvaraj, R.; Arivalagan, P.; Varadavenkatesan, T. Synthesis, Characterization and Photocatalytic Dye Degradation Capability of Calliandra haematocephala-Mediated Zinc Oxide Nanoflowers. J. Photochem. Photobiol. B Biol. 2020, 203, 111760. [Google Scholar] [CrossRef]
- Theophil Anand, G.; Renuka, D.; Ramesh, R.; Anandaraj, L.; John Sundaram, S.; Ramalingam, G.; Magdalane, C.M.; Bashir, A.K.H.; Maaza, M.; Kaviyarasu, K. Green Synthesis of ZnO Nanoparticle Using Prunus Dulcis (Almond Gum) for Antimicrobial and Supercapacitor Applications. Surf. Interfaces 2019, 17, 100376. [Google Scholar] [CrossRef]
- Panwar, R.S.; Pervaiz, N.; Dhillon, G.; Kumar, S.; Sharma, N.; Aggarwal, N.; Tripathi, S.; Kumar, R.; Vashisht, A.; Kumar, N. Mangifera indica Leaf Extract Assisted Biogenic Silver Nanoparticles Potentiates Photocatalytic Activity and Cytotoxicity. J. Mater. Sci. Mater. Electron. 2022, 33, 16538–16549. [Google Scholar] [CrossRef]
- Kumawat, M.K.; Srivastava, R.; Thakur, M.; Gurung, R.B. Graphene Quantum Dots from Mangifera indica: Application in near-Infrared Bioimaging and Intracellular Nanothermometry. ACS Sustain. Chem. Eng. 2017, 5, 1382–1391. [Google Scholar] [CrossRef]
- McMurdie, H.F.; Morris, M.C.; Evans, E.H.; Paretzkin, B.; Wong-Ng, W.; Ettlinger, L.; Hubbard, C.R. Standard X-ray Diffraction Powder Patterns from the JCPDS Research Associateship. Powder Diffr. 1986, 1, 64–77. [Google Scholar] [CrossRef]
- Shannon, R.D. Revised Effective Ionic Radii and Systematic Studies of Interatomie Distances in Halides and Chaleogenides. Acta Crystallogr. Sect. A 1976, 32, 751–767. [Google Scholar] [CrossRef]
- Rocha, M.; Araujo, F.P.; Castro-Lopes, S.; de Lima, I.S.; Silva-Filho, E.C.; Osajima, J.A.; Oliveira, C.S.; Viana, B.C.; Almeida, L.C.; Guerra, Y.; et al. Synthesis of Fe–Pr Co-Doped ZnO Nanoparticles: Structural, Optical and Antibacterial Properties. Ceram. Int. 2023, 49, 2282–2295. [Google Scholar] [CrossRef]
- Williamson, G.K.; Hall, W.H. X-ray Line Broadening from Filed Aluminium and Wolfram. Acta Metall. 1953, 1, 22–31. [Google Scholar] [CrossRef]
- Castro-Lopes, S.; Guerra, Y.; Silva-Sousa, A.; Oliveira, D.M.; Gonçalves, L.A.P.; Franco, A.; Padrón-Hernández, E.; Peña-Garcia, R. Influence of PH on the Structural and Magnetic Properties of Fe-Doped ZnO Nanoparticles Synthesized by Sol Gel Method. Solid State Sci. 2020, 109, 106438. [Google Scholar] [CrossRef]
- Kröger, F.A.; Vink, H.J. Relations between the Concentrations of Imperfections in Crystalline Solids; Seitz, F., Turnbull, D., Eds.; Academic Press: Cambridge, MA, USA, 1956; Volume 3, pp. 307–435. ISBN 0081-1947. [Google Scholar]
- Pérez-Casero, R.; Gutírrez-Llorente, A.; Pons-Y-Moll, O.; Seiler, W.; Defourneau, R.M.; Defourneau, D.; Millon, E.; Perrìre, J.; Goldner, P.; Viana, B. Er-Doped ZnO Thin Films Grown by Pulsed-Laser Deposition. J. Appl. Phys. 2005, 97, 054905. [Google Scholar] [CrossRef]
- Subramanian, M.; Thakur, P.; Gautam, S.; Chae, K.H.; Tanemura, M.; Hihara, T.; Vijayalakshmi, S.; Soga, T.; Kim, S.S.; Asokan, K.; et al. Investigations on the Structural, Optical and Electronic Properties of Nd Doped ZnO Thin Films. J. Phys. D Appl. Phys. 2009, 42, 105410. [Google Scholar] [CrossRef]
- Subramanian, M.; Thakur, P.; Tanemura, M.; Hihara, T.; Ganesan, V.; Soga, T.; Chae, K.H.; Jayavel, R.; Jimbo, T. Intrinsic Ferromagnetism and Magnetic Anisotropy in Gd-Doped ZnO Thin Films Synthesized by Pulsed Spray Pyrolysis Method. J. Appl. Phys. 2010, 108, 053904. [Google Scholar] [CrossRef]
- Habib, I.Y.; Zain, N.M.; Lim, C.M.; Usman, A.; Kumara, N.T.R.N.; Mahadi, A.H. Effect of Doping Rare-Earth Element on the Structural, Morphological, Optical and Photocatalytic Properties of ZnO Nanoparticles in the Degradation of Methylene Blue Dye. IOP Conf. Ser. Mater. Sci. Eng. 2021, 1127, 012004. [Google Scholar] [CrossRef]
- Padmavathy, V.; Sankar, S. Influence of Rare Earth (La and Y) Codoping on Optical Properties of ZnO:Ag Nanograins. Optik 2020, 220, 165133. [Google Scholar] [CrossRef]
- Kumar, G.A.; Reddy, M.V.R.; Reddy, K.N. Structural and Optical Properties of ZnO Thin Films Grown on Various Substrates by RF Magnetron Sputtering. IOP Conf. Ser. Mater. Sci. Eng. 2015, 73, 012133. [Google Scholar] [CrossRef]
- Peña-Garcia, R.; Guerra, Y.; Farias, B.V.M.; Santos, F.E.P.; Nobre, F.X.; Caland, J.P.; Pessoni, H.S.V.; Franco, A.; Padrón-Hernández, E. Unusual Thermal Dependence of Saturation Magnetization in Zinc Oxide Nanoparticles Doped with Transition Metals Obtained by Sol Gel Method. Ceram. Int. 2019, 45, 918–929. [Google Scholar] [CrossRef]
- Choudhary, S.; Sahu, K.; Bisht, A.; Satpati, B.; Mohapatra, S. Rapid Synthesis of ZnO Nanowires and Nanoplates with Highly Enhanced Photocatalytic Performance. Appl. Surf. Sci. 2021, 541, 148484. [Google Scholar] [CrossRef]
- Cuscó, R.; Alarcón-Lladó, E.; Ibáñez, J.; Artús, L.; Jiménez, J.; Wang, B.; Callahan, M.J. Temperature Dependence of Raman Scattering in ZnO. Phys. Rev. B Condens. Matter Mater. Phys. 2007, 75, 165202. [Google Scholar] [CrossRef]
- Nyarige, J.S.; Nambala, F.; Diale, M. A Comparative Study on the Properties of ErxZn1−xO and SmxZn1−xO Nanostructured Thin Films for Electronic Device Applications. Mater. Today Commun. 2022, 33, 104441. [Google Scholar] [CrossRef]
- Soares, A.S.; Araujo, F.P.; França, R.; Osajima, J.A.; Guerra, Y.; Castro-Lopes, S.; Silva-Filho, E.C.; Santos, F.E.; Almeida, L.C.; Viana, B.C.; et al. Effect of PH on the Growth and Ibuprofen Photocatalytic Response of Zn1 − XCoxO Compound Synthesized by the Co-Precipitation Method. J. Mater. Res. 2023, 38, 2439–2452. [Google Scholar] [CrossRef]
- Jayachandraiah, C.; Kumar, K.S.; Krishnaiah, G. Structural and Photoluminescence Properties of Ce, Dy, Er-Doped ZnO Nanoparticles. AIP Conf. Proc. 2015, 1665, 050063. [Google Scholar] [CrossRef]
- De Sá, I.G.; Araújo, F.P.; dos Santos, F.E.P.; Furtini, M.B.; da Silva-Filho, E.C.; Almeida, L.C.; Forbes, M.D.; Dávila, Y.G.; Garcia, R.R.P.; Osajima, J.A. Synthesis of ZnO co-doped with Er and Co: Effect of the dopants on the structural, optical properties and yellow eosin photocatalytic response. Solid State Sci. 2024, 147, 107400. [Google Scholar] [CrossRef]
- Soares, A.S.; Castro-Lopes, S.; Cabrera-Baez, M.; Milani, R.; Padrón-Hernández, E.; Farias, B.V.; Soares, J.M.; Gusmão, S.S.; Viana, B.C.; Guerra, Y.; et al. The Role of PH on the Vibrational, Optical and Electronic Properties of the Zn1-XFexO Compound Synthesized via Sol Gel Method. Solid State Sci. 2022, 128, 106880. [Google Scholar] [CrossRef]
- Mittal, H.; Morajkar, P.P.; Al Alili, A.; Alhassan, S.M. In-Situ Synthesis of ZnO Nanoparticles Using Gum Arabic Based Hydrogels as a Self-Template for Effective Malachite Green Dye Adsorption. J. Polym. Environ. 2020, 28, 1637–1653. [Google Scholar] [CrossRef]
- Elshypany, R.; Selim, H.; Zakaria, K.; Moustafa, A.H.; Sadeek, S.A.; Sharaa, S.I.; Raynaud, P.; Nada, A.A. Magnetic Zno Crystal Nanoparticle Growth on Reduced Graphene Oxide for Enhanced Photocatalytic Performance under Visible Light Irradiation. Molecules 2021, 26, 2269. [Google Scholar] [CrossRef]
- Chitradevi, T.; Jestin Lenus, A.; Victor Jaya, N. Structure, Morphology and Luminescence Properties of Sol-Gel Method Synthesized Pure and Ag-Doped ZnO Nanoparticles. Mater. Res. Express 2019, 7, 015011. [Google Scholar] [CrossRef]
- Punia, K.; Lal, G.; Dalela, S.; Dolia, S.N.; Alvi, P.A.; Barbar, S.K.; Modi, K.B.; Kumar, S. A Comprehensive Study on the Impact of Gd Substitution on Structural, Optical and Magnetic Properties of ZnO Nanocrystals. J. Alloys Compd. 2021, 868, 159142. [Google Scholar] [CrossRef]
- Punia, K.; Lal, G.; Alvi, P.A.; Dolia, S.N.; Dalela, S.; Modi, K.B.; Kumar, S. A Comparative Study on the Influence of Monovalent, Divalent and Trivalent Doping on the Structural, Optical and Photoluminescence Properties of Zn0.96T0.04O (T: Li+, Ca2+& Gd3+) Nanoparticles. Ceram. Int. 2019, 45, 13472–13483. [Google Scholar] [CrossRef]
- Galdámez-Martinez, A.; Santana, G.; Güell, F.; Martínez-Alanis, P.R.; Dutt, A. Photoluminescence of Zno Nanowires: A Review. Nanomaterials 2020, 10, 857. [Google Scholar] [CrossRef] [PubMed]
- Mediouni, N.; Guillard, C.; Dappozze, F.; Khrouz, L.; Parola, S.; Colbeau-Justin, C.; Amara, A.B.H.; Rhaiem, H.B.; Jaffrezic-Renault, N.; Namour, P. Impact of Structural Defects on the Photocatalytic Properties of ZnO. J. Hazard. Mater. Adv. 2022, 6, 100081. [Google Scholar] [CrossRef]
- Parra, M.R.; Haque, F.Z. Aqueous Chemical Route Synthesis and the Effect of Calcination Temperature on the Structural and Optical Properties of ZnO Nanoparticles. J. Mater. Res. Technol. 2014, 3, 363–369. [Google Scholar] [CrossRef]
- Costa-Silva, M.; Araujo, F.P.; Guerra, Y.; Viana, B.C.; Silva-Filho, E.C.; Osajima, J.A.; Almeida, L.C.; Skovroinski, E.; Peña-Garcia, R. Photocatalytic, Structural and Optical Properties of Ce–Ni Co-Doped ZnO Nanodisks-like Self-Assembled Structures. Mater. Chem. Phys. 2022, 292, 126814. [Google Scholar] [CrossRef]
- Albert Manoharan, A.; Chandramohan, R.; Arun Kumar, K.D.; Valanarasu, S.; Ganesh, V.; Shkir, M.; Algarni, H.; AlFaify, S. Transition Metal (Mn) and Rare Earth (Nd) Di-Doped Novel ZnO Nanoparticles: A Facile Sol–Gel Synthesis and Characterization. J. Mater. Sci. Mater. Electron. 2018, 29, 13077–13086. [Google Scholar] [CrossRef]
- Lal, M.; Sharma, P.; Ram, C. Optical, Structural Properties and Photocatalytic Potential of Nd-ZnO Nanoparticles Synthesized by Hydrothermal Method. Results Opt. 2023, 10, 100371. [Google Scholar] [CrossRef]
- Ji, S.; Yin, L.; Liu, G.; Zhang, L.; Ye, C. Synthesis of Rare Earth Ions-Doped ZnO Nanostructures with Efficient Host−Guest Energy Transfer. J. Phys. Chem. C 2009, 113, 16439–16444. [Google Scholar] [CrossRef]
- Kubelka, P.; Munk, F. An Article on Optics of Paint Layers. Z. Tech. Phys. 1931, 12, 593–601. [Google Scholar]
- Tauc, J. Optical Properties and Electronic Structure of Amorphous Ge and Si. Mater. Res. Bull. 1968, 3, 37–46. [Google Scholar] [CrossRef]
- Jafarova, V.N.; Orudzhev, G.S. Structural and Electronic Properties of ZnO: A First-Principles Density-Functional Theory Study within LDA(GGA) and LDA(GGA)+U Methods. Solid State Commun. 2021, 325, 114166. [Google Scholar] [CrossRef]
- Agarwal, S.; Jangir, L.K.; Rathore, K.S.; Kumar, M.; Awasthi, K. Morphology-Dependent Structural and Optical Properties of ZnO Nanostructures. Appl. Phys. A Mater. Sci. Process. 2019, 125, 553. [Google Scholar] [CrossRef]
- Sáenz-Trevizo, A.; Amézaga-Madrid, P.; Pizá-Ruiz, P.; Antúnez-Flores, W.; Miki-Yoshida, M. Optical Band Gap Estimation of ZnO Nanorods. Mater. Res. 2016, 19, 33–38. [Google Scholar] [CrossRef]
- Senol, S.D.; Boyraz, C.; Ozugurlu, E.; Gungor, A.; Arda, L. Band Gap Engineering of Mg Doped ZnO Nanorods Prepared by a Hydrothermal Method. Cryst. Res. Technol. 2019, 54, 1800233. [Google Scholar] [CrossRef]
- He, R.; Hocking, R.K.; Tsuzuki, T. Co-Doped ZnO Nanopowders: Location of Cobalt and Reduction in Photocatalytic Activity. Mater. Chem. Phys. 2012, 132, 1035–1040. [Google Scholar] [CrossRef]
- Toma, M.; Selyshchev, O.; Havryliuk, Y.; Pop, A.; Zahn, D.R.T. Optical and Structural Characteristics of Rare Earth-Doped ZnO Nanocrystals Prepared in Colloidal Solution. Photochem 2022, 2, 515–527. [Google Scholar] [CrossRef]
- Urbach, F. The Long-Wavelength Edge of Photographic Sensitivity and of the Electronic Absorption of Solids. Phys. Rev. 1953, 92, 1324. [Google Scholar] [CrossRef]
- Jogi, A.; Ayana, A.; Rajendra, B.V. Modulation of Optical and Photoluminescence Properties of ZnO Thin Films by Mg Dopant. J. Mater. Sci. Mater. Electron. 2023, 34, 624. [Google Scholar] [CrossRef]
- Agrawal, A.; Dar, T.A.; Sen, P.; Phase, D.M. Transport and Magnetotransport Study of Mg Doped ZnO Thin Films. J. Appl. Phys. 2014, 115, 143701. [Google Scholar] [CrossRef]
- Peña-Garcia, R.; Guerra, Y.; Milani, R.; Oliveira, D.M.; de Souza, F.R.; Padrón-Hernández, E. Influence of Ni and Sr on the Structural, Morphological and Optical Properties of ZnO Synthesized by Sol Gel. Opt. Mater. 2019, 98, 109427. [Google Scholar] [CrossRef]
- Peña-Garcia, R.; Guerra, Y.; Milani, R.; Oliveira, D.M.; Rodrigues, A.R.; Padrón-Hernández, E. The Role of Y on the Structural, Magnetic and Optical Properties of Fe-Doped ZnO Nanoparticles Synthesized by Sol Gel Method. J. Magn. Magn. Mater. 2020, 498, 166085. [Google Scholar] [CrossRef]
- Manikandan, A.; Manikandan, E.; Meenatchi, B.; Vadivel, S.; Jaganathan, S.K.; Ladchumananandasivam, R.; Henini, M.; Maaza, M.; Aanand, J.S. Rare Earth Element (REE) Lanthanum Doped Zinc Oxide (La: ZnO) Nanomaterials: Synthesis Structural Optical and Antibacterial Studies. J. Alloys Compd. 2017, 723, 1155–1161. [Google Scholar] [CrossRef]
- Bomila, R.; Srinivasan, S.; Venkatesan, A.; Bharath, B.; Perinbam, K. Structural, Optical and Antibacterial Activity Studies of Ce-Doped ZnO Nanoparticles Prepared by Wet-Chemical Method. Mater. Res. Innov. 2018, 22, 379–386. [Google Scholar] [CrossRef]
- Bomila, R.; Srinivasan, S.; Gunasekaran, S.; Manikandan, A. Enhanced Photocatalytic Degradation of Methylene Blue Dye, Opto-Magnetic and Antibacterial Behaviour of Pure and La-Doped ZnO Nanoparticles. J. Supercond. Nov. Magn. 2018, 31, 855–864. [Google Scholar] [CrossRef]
- Sukriti; Chand, P.; Singh, V.; Kumar, D. Rapid Visible Light-Driven Photocatalytic Degradation Using Ce-Doped ZnO Nanocatalysts. Vacuum 2020, 178, 109364. [Google Scholar] [CrossRef]
- Sharma, N.; Jha, R.; Baghel, S.; Sharma, D. Study on Photocatalyst Zinc Oxide Annealed at Different Temperatures for Photodegradation of Eosin Y Dye. J. Alloys Compd. 2017, 695, 270–279. [Google Scholar] [CrossRef]
- Achouri, F.; Corbel, S.; Balan, L.; Mozet, K.; Girot, E.; Medjahdi, G.; Said, M.B.; Ghrabi, A.; Schneider, R. Porous Mn-Doped ZnO Nanoparticles for Enhanced Solar and Visible Light Photocatalysis. Mater. Des. 2016, 101, 309–316. [Google Scholar] [CrossRef]
- Peña-Garcia, R.; Guerra, Y.; Castro-Lopes, S.; Camejo, Y.M.; Soares, J.M.; Franco, A.; Padrón-Hernández, E.; Cabrera-Baez, M. Morphological, Magnetic and EPR Studies of ZnO Nanostructures Doped and Co-Doped with Ni and Sr. Ceram. Int. 2021, 47, 28714–28722. [Google Scholar] [CrossRef]
- Fernández, A.; Araujo, F.P.; Guerra, Y.; Castro-Lopes, S.; Matilla-Arias, J.; de Lima, I.S.; Silva-Filho, E.C.; Osajima, J.A.; Guerrero, F.; Peña-Garcia, R. Synthesis of Coral-like Structures of Pr–Yb Co-Doped YIG: Structural, Optical, Magnetic and Antimicrobial Properties. J. Rare Earths 2023, in press. [Google Scholar] [CrossRef]
- Ahmad, I. Inexpensive and Quick Photocatalytic Activity of Rare Earth (Er, Yb) Co-Doped ZnO Nanoparticles for Degradation of Methyl Orange Dye. Sep. Purif. Technol. 2019, 227, 115726. [Google Scholar] [CrossRef]
- Kumar, K.V.; Porkodi, K.; Rocha, F. Langmuir–Hinshelwood Kinetics—A Theoretical Study. Catal. Commun. 2008, 9, 82–84. [Google Scholar] [CrossRef]
- Villarreal, R.C.; Luque-Morales, M.; Chinchillas-Chinchillas, M.J.; Luque, P.A. Langmuir-Hinshelwood-Hougen-Watson model for the study of photodegradation properties of zinc oxide semiconductor nanoparticles synthetized by Peumus boldus. Results Phys. 2022, 36, 105421. [Google Scholar] [CrossRef]
- Ahmad, I.; Shoaib Akhtar, M.; Ahmed, E.; Ahmad, M.; Keller, V.; Qamar Khan, W.; Khalid, N.R. Rare Earth Co-Doped ZnO Photocatalysts: Solution Combustion Synthesis and Environmental Applications. Sep. Purif. Technol. 2020, 237, 116328. [Google Scholar] [CrossRef]
- Bouarroudj, T.; Aoudjit, L.; Nessaibia, I.; Zioui, D.; Messai, Y.; Bendjama, A.; Mezrag, S.; Chabbi, M.; Bachari, K. Enhanced Photocatalytic Activity of Ce and Ag Co-Doped ZnO Nanorods of Paracetamol and Metronidazole Antibiotics Co-Degradation in Wastewater Promoted by Solar Light. Russ. J. Phys. Chem. A 2023, 97, 1074–1087. [Google Scholar] [CrossRef]
- Mancuso, A.; Sacco, O.; Mottola, S.; Pragliola, S.; Moretta, A.; Vaiano, V.; De Marco, I. Synthesis of Fe-Doped ZnO by Supercritical Antisolvent Precipitation for the Degradation of Azo Dyes under Visible Light. Inorg. Chim. Acta 2023, 549, 121407. [Google Scholar] [CrossRef]
- Raship, N.A.; Tawil, S.N.M.; Nayan, N.; Ismail, K. Effect of Al Concentration on Structural, Optical and Electrical Properties of (Gd, Al) Co-Doped ZnO and Its n-ZnO/p-Si (1 0 0) Heterojunction Structures Prepared via Co-Sputtering Method. Materials 2023, 16, 2392. [Google Scholar] [CrossRef]
- Palanivel, B.; Macadangdang, R.R.; Hossain, M.S.; Alharthi, F.A.; Kumar, M.; Chang, J.-H.; Gedi, S. Rare Earth (Gd, La) Co-Doped ZnO Nanoflowers for Direct Sunlight Driven Photocatalytic Activity. J. Rare Earths 2023, 41, 77–84. [Google Scholar] [CrossRef]
- Fatima, S.; Munawar, T.; Nadeem, M.S.; Mukhtar, F.; Khan, S.A.; Koc, M.; Iqbal, F. Boosted Natural Sunlight Driven Photodegradation of Organic Dyes Using RGO Anchored Pr/Cu Dual-Doped ZnO Nanocomposite: Characterization and Mechanistic Insight. Opt. Mater. 2023, 136, 113397. [Google Scholar] [CrossRef]
- Pascariu, P.; Tudose, I.V.; Suchea, M.; Koudoumas, E.; Fifere, N.; Airinei, A. Preparation and Characterization of Ni, Co Doped ZnO Nanoparticles for Photocatalytic Applications. Appl. Surf. Sci. 2018, 448, 481–488. [Google Scholar] [CrossRef]
- Nadeem, M.S.; Munawar, T.; Mukhtar, F.; Manzoor, S.; Mahmood, K.; Al-Buriahi, M.S.; Katubi, K.M.; Ashiq, M.N.; Boukhris, I.; Iqbal, F. Facile Synthesis of Sunlight Driven Photocatalysts Zn0.9Ho0.05M0.05O (M = Pr, Sm, Er) for the Removal of Synthetic Dyes from Wastewater. Surf. Interfaces 2022, 34, 102376. [Google Scholar] [CrossRef]
- Dhiman, P.; Rana, G.; Kumar, A.; Dawi, E.A.; Sharma, G. Rare Earth Doped ZnO Nanoparticles as Spintronics and Photo Catalyst for Degradation of Pollutants. Molecules 2023, 28, 2838. [Google Scholar] [CrossRef] [PubMed]
- Ahmad, I.; Akhtar, M.S.; Ahmed, E.; Ahmad, M. Facile Synthesis of Pr-Doped ZnO Photocatalyst Using Sol–Gel Method and Its Visible Light Photocatalytic Activity. J. Mater. Sci. Mater. Electron. 2020, 31, 1084–1093. [Google Scholar] [CrossRef]
- Pascariu, P.; Homocianu, M.; Cojocaru, C.; Samoila, P.; Airinei, A.; Suchea, M. Preparation of La Doped ZnO Ceramic Nanostructures by Electrospinning–Calcination Method: Effect of La3+ Doping on Optical and Photocatalytic Properties. Appl. Surf. Sci. 2019, 476, 16–27. [Google Scholar] [CrossRef]
- Piras, A.; Olla, C.; Reekmans, G.; Kelchtermans, A.S.; De Sloovere, D.; Elen, K.; Carbonaro, C.M.; Fusaro, L.; Adriaensens, P.; Hardy, A.; et al. Photocatalytic Performance of Undoped and Al-Doped ZnO Nanoparticles in the Degradation of Rhodamine B under UV-Visible Light: The Role of Defects and Morphology. Int. J. Mol. Sci. 2022, 23, 15459. [Google Scholar] [CrossRef]
- Karthik, K.V.; Raghu, A.V.; Reddy, K.R.; Ravishankar, R.; Sangeeta, M.; Shetti, N.P.; Reddy, C.V. Green Synthesis of Cu-Doped ZnO Nanoparticles and Its Application for the Photocatalytic Degradation of Hazardous Organic Pollutants. Chemosphere 2022, 287, 132081. [Google Scholar] [CrossRef] [PubMed]
- George, N.S.; Anil Kadam, S.; Sreehari, S.; Maria Jose, L.; Ron Ma, Y.-; Aravind, A. Inquest on Photocatalytic and Antibacterial Traits of Low Composition Cu Doped ZnO Nanoparticles. Chem. Phys. Lett. 2023, 815, 140351. [Google Scholar] [CrossRef]
- Selvaraj, S.; Mohan, M.K.; Navaneethan, M.; Ponnusamy, S.; Muthamizhchelvan, C. Synthesis and Photocatalytic Activity of Gd Doped ZnO Nanoparticles for Enhanced Degradation of Methylene Blue under Visible Light. Mater. Sci. Semicond. Process. 2019, 103, 104622. [Google Scholar] [CrossRef]
- Teixeira, A.R.F.A.; de Meireles Neris, A.; Longo, E.; de Carvalho Filho, J.R.; Hakki, A.; Macphee, D.; dos Santos, I.M.G. SrSnO3 Perovskite Obtained by the Modified Pechini Method—Insights about Its Photocatalytic Activity. J. Photochem. Photobiol. A Chem. 2019, 369, 181–188. [Google Scholar] [CrossRef]
- Honorio, L.M.C.; de Oliveira, A.L.M.; da Silva Filho, E.C.; Osajima, J.A.; Hakki, A.; Macphee, D.E.; dos Santos, I.M.G. Supporting the Photocatalysts on ZrO2: An Effective Way to Enhance the Photocatalytic Activity of SrSnO3. Appl. Surf. Sci. 2020, 528, 146991. [Google Scholar] [CrossRef]
- Ghorbani, M.; Solaimany Nazar, A.R.; Frahadian, M.; Khosravi, M. Facile Synthesis of Z-Scheme ZnO-Nanorod @ BiOBr-Nanosheet Heterojunction as Efficient Visible-Light Responsive Photocatalyst: The Effect of Electrolyte and Scavengers. J. Photochem. Photobiol. A Chem. 2022, 429, 113930. [Google Scholar] [CrossRef]
- Lin, J.; Luo, Z.; Liu, J.; Li, P. Photocatalytic Degradation of Methylene Blue in Aqueous Solution by Using ZnO-SnO2 Nanocomposites. Mater. Sci. Semicond. Process. 2018, 87, 24–31. [Google Scholar] [CrossRef]
- Debnath, S.; Ballav, N.; Nyoni, H.; Maity, A.; Pillay, K. Optimization and Mechanism Elucidation of the Catalytic Photo-Degradation of the Dyes Eosin Yellow (EY) and Naphthol Blue Black (NBB) by a Polyaniline-Coated Titanium Dioxide Nanocomposite. Appl. Catal. B Environ. 2015, 163, 330–342. [Google Scholar] [CrossRef]
- Ahmadi, A.; Hajilou, M.; Zavari, S.; Yaghmaei, S. A Comparative Review on Adsorption and Photocatalytic Degradation of Classified Dyes with Metal/Non-Metal-Based Modification of Graphitic Carbon Nitride Nanocomposites: Synthesis, Mechanism, and Affecting Parameters. J. Clean. Prod. 2023, 382, 134967. [Google Scholar] [CrossRef]
- Dib, K.; Trari, M.; Bessekhouad, Y. (S,C) Co-Doped ZnO Properties and Enhanced Photocatalytic Activity. Appl. Surf. Sci. 2020, 505, 144541. [Google Scholar] [CrossRef]
- Honorio, L.M.C.; Trigueiro, P.A.; Viana, B.C.; Ribeiro, A.B.; Osajima, J.A. Nanostructured Materials for the Photocatalytic Degradation of Organic Pollutants in Water. In Nanostructured Materials for Treating Aquatic Pollution; Springer: Cham, Switzerland, 2019; pp. 65–90. ISBN 9783030337445. [Google Scholar]
- Kotha, V.; Kumar, K.; Dayman, P.; Panchakarla, L.S. Doping with Chemically Hard Elements to Improve Photocatalytic Properties of ZnO Nanostructures. J. Clust. Sci. 2022, 33, 1943–1950. [Google Scholar] [CrossRef]
- Hemalatha, P.; Karthick, S.N.; Hemalatha, K.V.; Yi, M.; Kim, H.J.; Alagar, M. La-Doped ZnO Nanoflower as Photocatalyst for Methylene Blue Dye Degradation under UV Irradiation. J. Mater. Sci. Mater. Electron. 2016, 27, 2367–2378. [Google Scholar] [CrossRef]
- Khalid, N.R.; Hammad, A.; Tahir, M.B.; Rafique, M.; Iqbal, T.; Nabi, G.; Hussain, M.K. Enhanced Photocatalytic Activity of Al and Fe Co-Doped ZnO Nanorods for Methylene Blue Degradation. Ceram. Int. 2019, 45, 21430–21435. [Google Scholar] [CrossRef]
- Nadeem, M.S.; Munawar, T.; Mukhtar, F.; Rabbani, A.W.; ur Rehman, N.; Mahmood, K.; Iqbal, F. Facile Synthesis of PANI and RGO Supported Y/Pr Co-Doped ZnO: Boosted Solar Light-Driven Photocatalysis. Appl. Phys. A Mater. Sci. Process. 2023, 129, 450. [Google Scholar] [CrossRef]
- Oliveira, A.G.; Andrade, J.d.L.; Montanha, M.C.; Ogawa, C.Y.L.; de Souza Freitas, T.K.F.; Moraes, J.C.G.; Sato, F.; Lima, S.M.; da Cunha Andrade, L.H.; Hechenleitner, A.A.W.; et al. Wastewater Treatment Using Mg-Doped ZnO Nano-Semiconductors: A Study of Their Potential Use in Environmental Remediation. J. Photochem. Photobiol. A Chem. 2021, 407, 113078. [Google Scholar] [CrossRef]
- Rati, Y.; Hendri, Y.N.; Waluyo, R.; Zendrato, F.; Rini, A.S.; Marlina, R.; Kurniawan, R.; Darma, Y. Visible Light Assisted Degradation of Rhodamin B by Reusable S-Doped ZnO Thin Film Photocatalyst. Opt. Mater. 2023, 135, 113370. [Google Scholar] [CrossRef]










| Parameters | Equation | ZnO | Er-ZnO |
|---|---|---|---|
| a (Å) | 3.246(7) | 3.244(6) | |
| c (Å) | 5.202(1) | 5.198(2) | |
| D (nm) | 110 | 115 | |
| ε × 10−4 (%) | 4.22(2) | 2.97(5) |
| Sample | Surface Area (m2 g−1) b | Pore Volume (m3 g−1) c |
|---|---|---|
| ZnO | 9.227 | 2.032 × 10−2 |
| Er-ZnO | 12.4 | 2.756 × 10−2 |
| Catalyst | Catalyst Dosage (g L−1) | Target Contaminant | Contaminant Dosage (mg L−1) | Radiation Source | Removal (%) | Time of Reaction (min) | Ref. |
|---|---|---|---|---|---|---|---|
| Dy-ZnO | 0.25 | Tetracycline Malachite Green Crystal Violet | 20 | 500 W xenon Lamp | 74.90, 97.18, 98 | 120 | [102] |
| Pr-ZnO | 1.0 | Methyl orange | 20 | 500 W xenon Lamp | >90 | 90 | [103] |
| La-ZnO | 0.5 | Methyl blue Ciprofloxacin | 10 | 160 W UV Lamp | 91.45 87.6 | 150 | [19] |
| La-ZnO | 0.16 | Congo red | 60 | 150 W UV Lamp | 97.63 | 240 | [104] |
| Al-ZnO | 0.25 | Rhodamine B | 4 | 11 W Hg Lamp | 81 | 120 | [105] |
| Cu-ZnO | 0.25 | Methylene blue Indigo Carmine Rhodamine B | 10 | 30 W UV Lamp | 91.3 92.2 90.1 | 75 | [106] |
| Cu-ZnO | 0.05 | Methylene blue | 10 | Natural sunlight | 81 | 240 | [107] |
| Gd-ZnO | 0.33 | Methylene blue | 10 | 40 W LED Lamp | 93 | 90 | [108] |
| Er-ZnO | 0.5 | Methyl blue Eosin yellow Ibuprofen | 10 10 20 | 160 W UV Lamp | 99.77 81.23, 52.3 | 120 | This work |
Disclaimer/Publisher’s Note: The statements, opinions and data contained in all publications are solely those of the individual author(s) and contributor(s) and not of MDPI and/or the editor(s). MDPI and/or the editor(s) disclaim responsibility for any injury to people or property resulting from any ideas, methods, instructions or products referred to in the content. |
© 2024 by the authors. Licensee MDPI, Basel, Switzerland. This article is an open access article distributed under the terms and conditions of the Creative Commons Attribution (CC BY) license (https://creativecommons.org/licenses/by/4.0/).
Share and Cite
Silva, M.C.R.; Castro-Lopes, S.; Jerônimo, A.G.; Barbosa, R.; Lins, A.; Trigueiro, P.; Viana, B.C.; Araujo, F.P.; Osajima, J.A.; Peña-Garcia, R.R. Green Synthesis of Er-Doped ZnO Nanoparticles: An Investigation on the Methylene Blue, Eosin, and Ibuprofen Removal by Photodegradation. Molecules 2024, 29, 391. https://doi.org/10.3390/molecules29020391
Silva MCR, Castro-Lopes S, Jerônimo AG, Barbosa R, Lins A, Trigueiro P, Viana BC, Araujo FP, Osajima JA, Peña-Garcia RR. Green Synthesis of Er-Doped ZnO Nanoparticles: An Investigation on the Methylene Blue, Eosin, and Ibuprofen Removal by Photodegradation. Molecules. 2024; 29(2):391. https://doi.org/10.3390/molecules29020391
Chicago/Turabian StyleSilva, Marília C. R., Samuel Castro-Lopes, Aimée G. Jerônimo, Ricardo Barbosa, Alexsandro Lins, Pollyana Trigueiro, Bartolomeu C. Viana, Francisca P. Araujo, Josy A. Osajima, and Ramón R. Peña-Garcia. 2024. "Green Synthesis of Er-Doped ZnO Nanoparticles: An Investigation on the Methylene Blue, Eosin, and Ibuprofen Removal by Photodegradation" Molecules 29, no. 2: 391. https://doi.org/10.3390/molecules29020391
APA StyleSilva, M. C. R., Castro-Lopes, S., Jerônimo, A. G., Barbosa, R., Lins, A., Trigueiro, P., Viana, B. C., Araujo, F. P., Osajima, J. A., & Peña-Garcia, R. R. (2024). Green Synthesis of Er-Doped ZnO Nanoparticles: An Investigation on the Methylene Blue, Eosin, and Ibuprofen Removal by Photodegradation. Molecules, 29(2), 391. https://doi.org/10.3390/molecules29020391

