Deep-Cavity Calix[4]naphth[4]arene Macrocycles: Synthesis, Conformational Features, and Solid-State Structures
Abstract
1. Introduction
2. Results and Discussion
2.1. Synthesis of Calix[4]naphth[4]arenes
2.2. Conformations of Calix[4]naphth[4]arenes in Solution
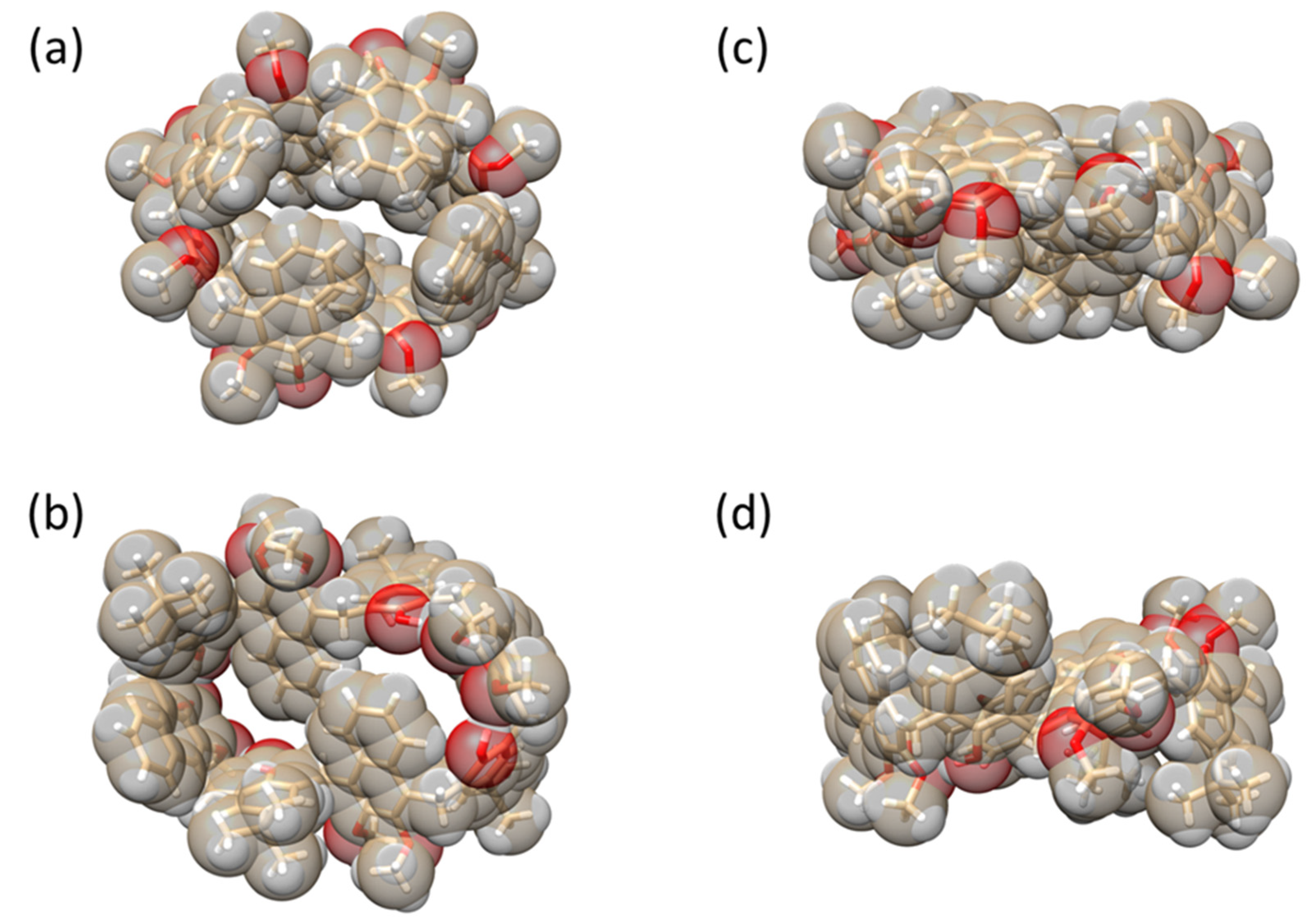
2.3. Crystallographic X-ray Structure Determination of Calix[4]naphtharenes
3. Materials and Methods
3.1. Synthesis of C4N4
3.2. Synthesis of C4N4-Me
3.3. Computational Study
3.4. Single Crystal X-ray Diffraction
3.5. UV-Vis and Fluorescence Caracterization
3.6. 2D NOESY Experiments
4. Conclusions
Supplementary Materials
Author Contributions
Funding
Institutional Review Board Statement
Informed Consent Statement
Data Availability Statement
Conflicts of Interest
References
- Liu, Z.; Nalluri, S.K.M.; Stoddart, J.F. Surveying Macrocyclic Chemistry: From Flexible Crown Ethers to Rigid Cyclophanes. Chem. Soc. Rev. 2017, 46, 2459–2478. [Google Scholar] [CrossRef]
- Bruns, C.J.; Stoddart, J.F. The Nature of the Mechanical Bond: From Molecules to Machines, 1st ed.; Wiley: New York, NY, USA, 2016; ISBN 978-1-119-04400-0. [Google Scholar]
- Martí-Centelles, V.; Pandey, M.D.; Burguete, M.I.; Luis, S.V. Macrocyclization Reactions: The Importance of Conformational, Configurational, and Template-Induced Preorganization. Chem. Rev. 2015, 115, 8736–8834. [Google Scholar] [CrossRef] [PubMed]
- Zhu, H.; Chen, L.; Sun, B.; Wang, M.; Li, H.; Stoddart, J.F.; Huang, F. Applications of Macrocycle-Based Solid-State Host–Guest Chemistry. Nat. Rev. Chem. 2023, 7, 768–782. [Google Scholar] [CrossRef]
- Yao, H.; Jiang, W. Naphthol-Based Macrocycles. In Handbook of Macrocyclic Supramolecular Assembly; Liu, Y., Chen, Y., Zhang, H.-Y., Eds.; Springer: Singapore, 2020; pp. 975–995. ISBN 9789811526855. [Google Scholar]
- Han, X.-N.; Han, Y.; Chen, C.-F. Recent Advances in the Synthesis and Applications of Macrocyclic Arenes. Chem. Soc. Rev. 2023, 52, 3265–3298. [Google Scholar] [CrossRef]
- Strassberger, A.F.; Zengaffinen, M.D.; Puigcerver, J.; Trapp, N.; Tiefenbacher, K. Quinoacridane[4]arenes—Very Large Conformationally Restricted Macrocycles. Org. Lett. 2024, 26, 6720–6724. [Google Scholar] [CrossRef] [PubMed]
- Pfeuffer-Rooschuz, J.; Schmid, L.; Prescimone, A.; Tiefenbacher, K. Xanthene[n]arenes: Exceptionally Large, Bowl-Shaped Macrocyclic Building Blocks Suitable for Self-Assembly. JACS Au 2021, 1, 1891. [Google Scholar] [CrossRef] [PubMed]
- Li, J.; Zhou, H.; Han, Y.; Chen, C. Saucer[n]Arenes: Synthesis, Structure, Complexation, and Guest-Induced Circularly Polarized Luminescence Property. Angew. Chem. Int. Ed. 2021, 60, 21927–21933. [Google Scholar] [CrossRef]
- Han, X.-N.; Han, Y.; Chen, C.-F. Pagoda[4]Arene and i-Pagoda[4]Arene. J. Am. Chem. Soc. 2020, 142, 8262–8269. [Google Scholar] [CrossRef]
- Yang, L.-P.; Wang, X.; Yao, H.; Jiang, W. Naphthotubes: Macrocyclic Hosts with a Biomimetic Cavity Feature. Acc. Chem. Res. 2020, 53, 198–208. [Google Scholar] [CrossRef]
- Della Sala, P.; Del Regno, R.; Talotta, C.; Capobianco, A.; Hickey, N.; Geremia, S.; De Rosa, M.; Spinella, A.; Soriente, A.; Neri, P.; et al. Prismarenes: A New Class of Macrocyclic Hosts Obtained by Templation in a Thermodynamically Controlled Synthesis. J. Am. Chem. Soc. 2020, 142, 1752–1756. [Google Scholar] [CrossRef]
- Jia, F.; He, Z.; Yang, L.-P.; Pan, Z.-S.; Yi, M.; Jiang, R.-W.; Jiang, W. Oxatub[4]Arene: A Smart Macrocyclic Receptor with Multiple Interconvertible Cavities. Chem. Sci. 2015, 6, 6731–6738. [Google Scholar] [CrossRef] [PubMed]
- Georghiou, P.E.; Li, Z. Calix[4]Naphthalenes: Cyclic Tetramers of 1-Naphthol and Formaldehyde. Tetrahedron Lett. 1993, 34, 2887–2890. [Google Scholar] [CrossRef]
- Georghiou, P.; Li, Z.; Ashram, M.; Chowdhury, S.; Mizyed, S.; Tran, A.; Al-Saraierh, H.; Miller, D. Calixnaphthalenes: Deep, Electron-Rich Naphthalene Ring-Containing Calixarenes. The First Decade. Synlett 2005, 6, 0879–0891. [Google Scholar] [CrossRef]
- Del Regno, R.; Della Sala, P.; Santonoceta, G.D.G.; Neri, P.; De Rosa, M.; Talotta, C.; Sgarlata, C.; De Simone, A.; Gaeta, C. Under the Influence of Water: Molecular Recognition of Organic Hydrophilic Molecules in Water with a Prismarene Host Driven by Hydration Effects. Chem. A Eur. J. 2024, 30, e202401734. [Google Scholar] [CrossRef]
- Del Regno, R.; Della Sala, P.; Vollono, I.; Talotta, C.; Neri, P.; Hickey, N.; Joshi, S.; Geremia, S.; Gaeta, C. Synthesis, Conformational Properties, and Molecular Recognition Abilities of Novel Prism[5]Arenes with Branched and Bulky Alkyl Groups. Org. Chem. Front. 2024, 11, 2710–2719. [Google Scholar] [CrossRef]
- Wang, Y.; Yao, H.; Yang, L.; Quan, M.; Jiang, W. Synthesis, Configurational Analysis, Molecular Recognition and Chirality Sensing of Methylene-Bridged Naphthotubes. Angew. Chem. Int. Ed. 2022, 61, e202211853. [Google Scholar] [CrossRef]
- Del Regno, R.; Della Sala, P.; Spinella, A.; Talotta, C.; Iannone, D.; Geremia, S.; Hickey, N.; Neri, P.; Gaeta, C. Calix[2]Naphth[2]Arene: A Class of Naphthalene-Phenol Hybrid Macrocyclic Hosts. Org. Lett. 2020, 22, 6166–6170. [Google Scholar] [CrossRef]
- Chen, C.-F.; Han, Y. Triptycene-Derived Macrocyclic Arenes: From Calixarenes to Helicarenes. Acc. Chem. Res. 2018, 51, 2093–2106. [Google Scholar] [CrossRef]
- Ogoshi, T.; Ueshima, N.; Akutsu, T.; Yamafuji, D.; Furuta, T.; Sakakibara, F.; Yamagishi, T. The Template Effect of Solvents on High Yield Synthesis, Co-Cyclization of Pillar[6]Arenes and Interconversion between Pillar[5]- and Pillar[6]Arenes. Chem. Commun. 2014, 50, 5774–5777. [Google Scholar] [CrossRef]
- Della Sala, P.; Gaeta, C.; Navarra, W.; Talotta, C.; De Rosa, M.; Brancatelli, G.; Geremia, S.; Capitelli, F.; Neri, P. Improved Synthesis of Larger Resorcinarenes. J. Org. Chem. 2016, 81, 5726–5731. [Google Scholar] [CrossRef]
- Della Sala, P.; Del Regno, R.; Capobianco, A.; Iuliano, V.; Talotta, C.; Geremia, S.; Hickey, N.; Neri, P.; Gaeta, C. Confused-Prism[5]Arene: A Conformationally Adaptive Host by Stereoselective Opening of the 1,4-Bridged Naphthalene Flap. Chem. Eur. J. 2023, 29, e202203030. [Google Scholar] [CrossRef]
- Tian, X.-H.; Hao, X.; Liang, T.-L.; Chen, C.-F. Triptycene-Derived Calix[6]Arenes: Synthesis, Structure and Tubular Assemblies in the Solid State. Chem. Commun. 2009, 44, 6771–6773. [Google Scholar] [CrossRef]
- Boinski, T.; Szumna, A. A Facile, Moisture-Insensitive Method for Synthesis of Pillar[5]Arenes—The Solvent Templation by Halogen Bonds. Tetrahedron 2012, 68, 9419–9422. [Google Scholar] [CrossRef]
- Ogoshi, T.; Pillararenes, E.D. Monographs in Supramolecular Chemistry; Royal Society of Chemistry: Cambridge, UK, 2015; ISBN 978-1-84973-970-2. [Google Scholar]
- Gutsche, C.D.; Bauer, L.J. Calixarenes. 13. The Conformational Properties of Calix[4]Arenes, Calix[6]Arenes, Calix[8]Arenes, and Oxacalixarenes. J. Am. Chem. Soc. 1985, 107, 6052–6059. [Google Scholar] [CrossRef]
- Krieger, E.; Vriend, G. YASARA View-Molecular Graphics for All Devices-from Smartphones to Workstations. Bioinformatics 2014, 30, 2981–2982. [Google Scholar] [CrossRef]
- Krieger, E.; Koraimann, G.; Vriend, G. Increasing the Precision of Comparative Models with YASARA NOVA-a Self-parameterizing Force Field. Proteins 2002, 47, 393–402. [Google Scholar] [CrossRef]
- Stoikov, I.I.; Ibragimova, D.S.; Antipin, I.S.; Konovalov, A.I.; Gadiev, T.A.; Khairutdinov, B.I.; Karataeva, F.K.H.; Klochkov, V.V. New Materials Based on Tubular Nanodimensional Structures 1. Synthesis, Structural Studies and Determination of Interproton Distances in Solutions of Functionalized Thiacalix[4]Arenes According to NMR Spectroscopic Data (NOESY). Russ. Chem. Bull. 2004, 53, 2269–2275. [Google Scholar] [CrossRef]
- Gadiev, T.A.; Khairutdinov, B.I.; Antipin, I.S.; Klochkov, V.V. Analysis of the Spatial Structure of Calixarenes in Solutions by 2-D NMR (NOESY) Spectroscopy. Appl. Magn. Reson. 2006, 30, 165–173. [Google Scholar] [CrossRef]
- Czugler, M.; Tisza, S.; Speier, G. Versatility in inclusion hosts. Unusual conformation in the crystal structure of the p-t-butylcalix[8]arene: Pyridine (1:8) clathrate. J. Incl. Phenom. Macrocycl. Chem. 1991, 11, 323–331. [Google Scholar] [CrossRef]
- Williams, D.B.G.; Lawton, M. Drying of Organic Solvents: Quantitative Evaluation of the Efficiency of Several Desiccants. J. Org. Chem. 2010, 75, 8351–8354. [Google Scholar] [CrossRef] [PubMed]
- Fulmer, G.R.; Miller, A.J.M.; Sherden, N.H.; Gottlieb, H.E.; Nudelman, A.; Stoltz, B.M.; Bercaw, J.E.; Goldberg, K.I. NMR Chemical Shifts of Trace Impurities: Common Laboratory Solvents, Organics, and Gases in Deuterated Solvents Relevant to the Organometallic Chemist. Organometallics 2010, 29, 2176–2179. [Google Scholar] [CrossRef]
- Kabsch, W. XDS. Acta Crystallogr. Sect. D 2010, 66, 125–132. [Google Scholar] [CrossRef]
- Kabsch, W. Integration, scaling, space-group assignment and post-refinement. Acta Crystallogr. Sect. D 2010, 66, 133–144. [Google Scholar] [CrossRef]
- Sheldrick, G.M. SHELXT—Integrated space-group and crystal-structure determination. Acta Crystallogr. Sect. A 2015, 71, 3–8. [Google Scholar] [CrossRef]
- Sheldrick, G.M. Crystal structure refinement with SHELXL. Acta Crystallogr. C 2015, 71, 3–8. [Google Scholar] [CrossRef]
- Farrugia, L.J. WinGX and ORTEP for Windows: An update. J. Appl. Crystallogr. 2012, 45, 849–854. [Google Scholar] [CrossRef]
- Gadiev, T.A.; Khairutdinov, B.I.; Shaikhutdinov, R.A.; Karatayeva, F.K.; Aganov, A.V.; Klochkov, V.V. Spatial Structure of Dimeric Capsules of Tetraurea Calix[4]arenes in Solutions According to 2-D NMR (NOESY) Spectroscopy. Appl. Magn. Reson. 2003, 25, 347–352. [Google Scholar] [CrossRef]









| Solvent | Temperature [°C] | C2N2 [%] | C4N4 [%] |
|---|---|---|---|
| 1,2-DCE | 70 | - | 5 |
| o-DCB | 100 | 26 | - |
| CH2Cl2 | 40 | - | - |
| CHCl3 | 60 | trace | 4 |
| 1,1,2,2-TCE | 100 | 20 | 6 |
| Acid | Equivalents | C2N2 [%] | C4N4 [%] |
|---|---|---|---|
| p-Toluenesulfonic acid | 0.5 | - | 3 |
| p-Toluenesulfonic acid | 1.0 | - | 6 |
| p-Toluenesulfonic acid | 2.0 | - | 7 |
| p-Toluenesulfonic acid | 5.0 | - | 10 |
| Trifluoroacetic acid | 15 | - | - |
| Trifluoroacetic acid | 30 | - | - |
| Trifluoromethanesulfonic acid | 15 | - | - |
Disclaimer/Publisher’s Note: The statements, opinions and data contained in all publications are solely those of the individual author(s) and contributor(s) and not of MDPI and/or the editor(s). MDPI and/or the editor(s) disclaim responsibility for any injury to people or property resulting from any ideas, methods, instructions or products referred to in the content. |
© 2024 by the authors. Licensee MDPI, Basel, Switzerland. This article is an open access article distributed under the terms and conditions of the Creative Commons Attribution (CC BY) license (https://creativecommons.org/licenses/by/4.0/).
Share and Cite
Della Sala, P.; Iuliano, V.; De Rosa, M.; Talotta, C.; Del Regno, R.; Neri, P.; Geremia, S.; Hickey, N.; Gaeta, C. Deep-Cavity Calix[4]naphth[4]arene Macrocycles: Synthesis, Conformational Features, and Solid-State Structures. Molecules 2024, 29, 4142. https://doi.org/10.3390/molecules29174142
Della Sala P, Iuliano V, De Rosa M, Talotta C, Del Regno R, Neri P, Geremia S, Hickey N, Gaeta C. Deep-Cavity Calix[4]naphth[4]arene Macrocycles: Synthesis, Conformational Features, and Solid-State Structures. Molecules. 2024; 29(17):4142. https://doi.org/10.3390/molecules29174142
Chicago/Turabian StyleDella Sala, Paolo, Veronica Iuliano, Margherita De Rosa, Carmen Talotta, Rocco Del Regno, Placido Neri, Silvano Geremia, Neal Hickey, and Carmine Gaeta. 2024. "Deep-Cavity Calix[4]naphth[4]arene Macrocycles: Synthesis, Conformational Features, and Solid-State Structures" Molecules 29, no. 17: 4142. https://doi.org/10.3390/molecules29174142
APA StyleDella Sala, P., Iuliano, V., De Rosa, M., Talotta, C., Del Regno, R., Neri, P., Geremia, S., Hickey, N., & Gaeta, C. (2024). Deep-Cavity Calix[4]naphth[4]arene Macrocycles: Synthesis, Conformational Features, and Solid-State Structures. Molecules, 29(17), 4142. https://doi.org/10.3390/molecules29174142

