Support Enzyme Loading Influences the Effect of Aldehyde Dextran Modification on the Specificity of Immobilized Ficin for Large Proteins
Abstract
1. Introduction
2. Results and Discussion
2.1. Preparation of Modified Glyoxyl–Ficin Agarose Biocatalysts
2.2. Effect of the Dextran Modification on the Protein Substrate Size Specificity of Immobilized Ficin
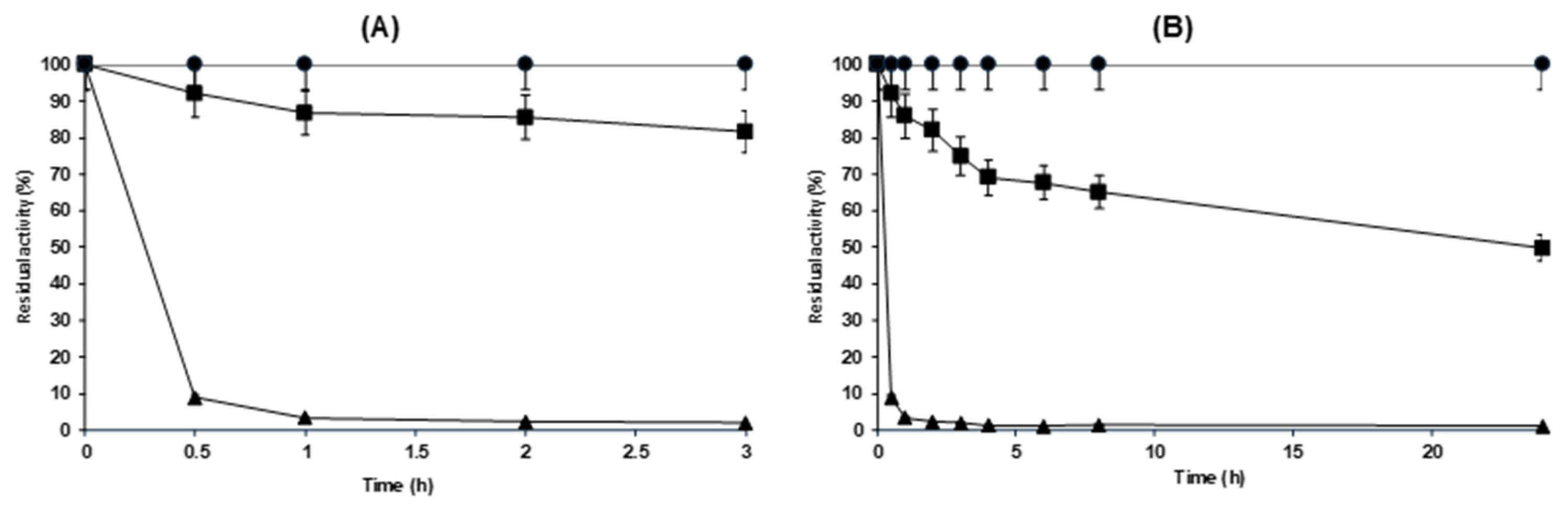
2.3. Effect of the Enzyme Loading and Aldehyde Dextran Modification on the Stability of Immobilized Ficin Biocatalyst
3. Materials and Methods
3.1. Materials
3.2. Methods
3.2.1. Ficin Preparation
3.2.2. Preparation of Aldehyde Dextran
3.2.3. Enzymatic Assays
3.2.4. Immobilization of Ficin Extract on Glyoxyl Agarose Beads
3.2.5. Modification of Immobilized Ficin on Glyoxyl Agarose with Aldehyde Dextran
3.2.6. Thermal Inactivation of the Different Ficin Preparations
3.2.7. Use of Glyoxyl–Ficin–Dextran Biocatalysts for Casein and Hemoglobin Hydrolysis
4. Conclusions
Author Contributions
Funding
Institutional Review Board Statement
Informed Consent Statement
Data Availability Statement
Acknowledgments
Conflicts of Interest
References
- Gaonkar, S.K.; Alvares, J.J.; Furtado, I.J. Recent Advances in the Production, Properties and Applications of Haloextremozymes Protease and Lipase from Haloarchaea. World J. Microbiol. Biotechnol. 2023, 39, 322. [Google Scholar] [CrossRef] [PubMed]
- Bilal, M.; Qamar, S.A.; Carballares, D.; Berenguer-Murcia, Á.; Fernandez-Lafuente, R. Proteases Immobilized on Nanomaterials for Biocatalytic, Environmental and Biomedical Applications: Advantages and Drawbacks. Biotechnol. Adv. 2024, 70, 108304. [Google Scholar] [CrossRef] [PubMed]
- Yang, Z.; Huang, Z.; Wu, Q.; Tang, X.; Huang, Z. Cold-Adapted Proteases: An Efficient And Energy Saving Biocatalyst. Int. J. Mol. Sci. 2023, 24, 8532. [Google Scholar] [CrossRef] [PubMed]
- Sujitha, P.; Shanthi, C. Importance of Enzyme Specificity and Stability for the Application of Proteases in Greener Industrial Processing—A Review. J. Clean. Prod. 2023, 425, 138915. [Google Scholar] [CrossRef]
- Wang, Y.; Guo, M.; Xu, X. Nanoproteases: Alternatives to Natural Protease for Biotechnological Applications. Chem.—Eur. J. 2024, in press. [Google Scholar] [CrossRef] [PubMed]
- Song, P.; Zhang, X.; Wang, S.; Xu, W.; Wang, F.; Fu, R.; Wei, F. Microbial Proteases and Their Applications. Front. Microbiol. 2023, 14, 1236368. [Google Scholar] [CrossRef] [PubMed]
- Salehi, M. Evaluating the Industrial Potential of Naturally Occurring Proteases: A Focus on Kinetic and Thermodynamic Parameters. Int. J. Biol. Macromol. 2024, 254, 127782. [Google Scholar] [CrossRef] [PubMed]
- Herman, R.A.; Ayepa, E.; Zhang, W.X.; Li, Z.N.; Zhu, X.; Ackah, M.; Yuan, S.S.; You, S.; Wang, J. Molecular Modification and Biotechnological Applications of Microbial Aspartic Proteases. Crit. Rev. Biotechnol. 2024, 44, 388–403. [Google Scholar] [CrossRef]
- Puntambekar, A.; Dake, M. Microbial Proteases: Potential Tools for Industrial Applications. Res. J. Biotechnol. 2023, 18, 159–171. [Google Scholar] [CrossRef]
- Tavano, O.L.; Berenguer-Murcia, A.; Secundo, F.; Fernandez-Lafuente, R. Biotechnological Applications of Proteases in Food Technology. Compr. Rev. Food Sci. Food Saf. 2018, 17, 412–436. [Google Scholar] [CrossRef]
- Schellenberger, V.; Jakubke, H.-D. Protease-Catalyzed Kinetically Controlled Peptide Synthesis. Angew. Chem. Int. Ed. Engl. 1991, 30, 1437–1449. [Google Scholar] [CrossRef]
- Białkowska, A.M.; Morawski, K.; Florczak, T. Extremophilic Proteases as Novel and Efficient Tools in Short Peptide Synthesis. J. Ind. Microbiol. Biotechnol. 2017, 44, 1325–1342. [Google Scholar] [CrossRef]
- Lombard, C.; Saulnier, J.; Wallach, J. Recent Trends in Protease-Catalyzed Peptide Synthesis. Protein Pept. Lett. 2005, 12, 621–629. [Google Scholar] [CrossRef]
- Ortizo, R.G.G.; Sharma, V.; Tsai, M.L.; Wang, J.X.; Sun, P.P.; Nargotra, P.; Kuo, C.H.; Chen, C.W.; Dong, C. Di Extraction of Novel Bioactive Peptides from Fish Protein Hydrolysates by Enzymatic Reactions. Appl. Sci. 2023, 13, 5768. [Google Scholar] [CrossRef]
- Tacias-Pascacio, V.G.; Morellon-Sterling, R.; Siar, E.-H.; Tavano, O.; Berenguer-Murcia, Á.; Fernandez-Lafuente, R. Use of Alcalase in the Production of Bioactive Peptides: A Review. Int. J. Biol. Macromol. 2020, 165, 2143–2196. [Google Scholar] [CrossRef] [PubMed]
- Brandelli, A.; Daroit, D.J. Unconventional Microbial Proteases as Promising Tools for the Production of Bioactive Protein Hydrolysates. Crit. Rev. Food Sci. Nutr. 2024, 64, 4714–4745. [Google Scholar] [CrossRef] [PubMed]
- Ashaolu, T.J.; Lee, C.C.; Ashaolu, J.O.; Tarhan, O.; Pourjafar, H.; Jafari, S.M. Pepsin: An Excellent Proteolytic Enzyme for the Production of Bioactive Peptides. Food Rev. Int. 2024, 40, 1875–1912. [Google Scholar] [CrossRef]
- Vojcic, L.; Pitzler, C.; Körfer, G.; Jakob, F.; Martineza, R.; Maurer, K.-H.; Schwaneberg, U. Advances in Protease Engineering for Laundry Detergents. New Biotechnol. 2015, 32, 629–634. [Google Scholar] [CrossRef]
- Paul, T.; Jana, A.; Mandal, A.K.; Mandal, A.; Das Mohpatra, P.K.; Mondal, K.C. Bacterial Keratinolytic Protease, Imminent Starter for NextGen Leather and Detergent Industries. Sustain. Chem. Pharm. 2016, 3, 8–22. [Google Scholar] [CrossRef]
- Salwan, R.; Sharma, V. Trends in Extracellular Serine Proteases of Bacteria as Detergent Bioadditive: Alternate and Environmental Friendly Tool for Detergent Industry. Arch. Microbiol. 2019, 201, 863–877. [Google Scholar] [CrossRef]
- Kaur, S.; Huppertz, T.; Vasiljevic, T. Plant Proteases and Their Application in Dairy Systems. Int. Dairy J. 2024, 154, 105925. [Google Scholar] [CrossRef]
- Shah, M.A.; Mir, S.A.; Paray, M.A. Plant Proteases as Milk-Clotting Enzymes in Cheesemaking: A Review. Dairy Sci. Technol. 2014, 94, 5–16. [Google Scholar] [CrossRef]
- Naeem, M.; Manzoor, S.; Abid, M.U.H.; Tareen, M.B.K.; Asad, M.; Mushtaq, S.; Ehsan, N.; Amna, D.; Xu, B.; Hazafa, A. Fungal Proteases as Emerging Biocatalysts to Meet the Current Challenges and Recent Developments in Biomedical Therapies: An Updated Review. J. Fungi 2022, 8, 109. [Google Scholar] [CrossRef]
- Alavi, F.; Momen, S. Aspartic Proteases from Thistle Flowers: Traditional Coagulants Used in the Modern Cheese Industry. Int. Dairy J. 2020, 107, 104709. [Google Scholar] [CrossRef]
- Mohd Azmi, S.I.; Kumar, P.; Sharma, N.; Sazili, A.Q.; Lee, S.-J.; Ismail-Fitry, M.R. Application of Plant Proteases in Meat Tenderization: Recent Trends and Future Prospects. Foods 2023, 12, 1336. [Google Scholar] [CrossRef]
- Gagaoua, M.; Dib, A.L.; Lakhdara, N.; Lamri, M.; Botineştean, C.; Lorenzo, J.M. Artificial Meat Tenderization Using Plant Cysteine Proteases. Curr. Opin. Food Sci. 2021, 38, 177–188. [Google Scholar] [CrossRef]
- Arshad, M.S.; Kwon, J.-H.; Imran, M.; Sohaib, M.; Aslam, A.; Nawaz, I.; Amjad, Z.; Khan, U.; Javed, M. Plant and Bacterial Proteases: A Key towards Improving Meat Tenderization, a Mini Review. Cogent Food Agric. 2016, 2, 1261780. [Google Scholar] [CrossRef]
- Chen, S.; Maulu, S.; Wang, J.; Xie, X.; Liang, X.; Wang, H.; Wang, J.; Xue, M. The Application of Protease in Aquaculture: Prospects for Enhancing the Aquafeed Industry. Anim. Nutr. 2024, 16, 105–121. [Google Scholar] [CrossRef]
- Maryam; Shah, S.Z.H.; Fatima, M.; Nadeem, H.; Ashraf, S.; Hussain, M. Roles of Dietary Supplementation of Exogenous Protease in Low Fishmeal Aquafeed—A Mini Review. Ann. Anim. Sci. 2024, 24, 27–39. [Google Scholar] [CrossRef]
- Yao, H.; Liu, S.; Liu, T.; Ren, D.; Zhou, Z.; Yang, Q.; Mao, J. Microbial-Derived Salt-Tolerant Proteases and Their Applications in High-Salt Traditional Soybean Fermented Foods: A Review. Bioresour. Bioprocess. 2023, 10, 82. [Google Scholar] [CrossRef]
- Ghoreishi, F.S.; Roghanian, R.; Emtiazi, G. Novel Chronic Wound Healing by Anti-Biofilm Peptides and Protease. Adv. Pharm. Bull. 2022, 12, 424–436. [Google Scholar] [CrossRef]
- Elchinger, P.H.; Delattre, C.; Faure, S.; Roy, O.; Badel, S.; Bernardi, T.; Taillefumier, C.; Michaud, P. Immobilization of Proteases on Chitosan for the Development of Films with Anti-Biofilm Properties. Int. J. Biol. Macromol. 2015, 72, 1063–1068. [Google Scholar] [CrossRef]
- Moreno-Cinos, C.; Goossens, K.; Salado, I.G.; Van Der Veken, P.; De Winter, H.; Augustyns, K. ClpP Protease, a Promising Antimicrobial Target. Int. J. Mol. Sci. 2019, 20, 2232. [Google Scholar] [CrossRef]
- Culp, E.; Wright, G.D. Bacterial Proteases, Untapped Antimicrobial Drug Targets. J. Antibiot. 2017, 70, 366–377. [Google Scholar] [CrossRef] [PubMed]
- Barzkar, N. Marine Microbial Alkaline Protease: Recent Developments in Biofilm an Ideal Choice for Industrial Application. Int. J. Biol. Macromol. 2020, 161, 1216–1229. [Google Scholar] [CrossRef]
- de Castro Bizerra, V.; Sales, M.B.; Fernandes Melo, R.L.; Andrade do Nascimento, J.G.; Junior, J.B.; França Silva, M.P.; Moreira dos Santos, K.; da Silva Sousa, P.; Marques da Fonseca, A.; de Souza, M.C.M.; et al. Opportunities for Cleaner Leather Processing Based on Protease Enzyme: Current Evidence from an Advanced Bibliometric Analysis. Renew. Sustain. Energy Rev. 2024, 191, 114162. [Google Scholar] [CrossRef]
- Fang, Z.; Yong, Y.C.; Zhang, J.; Du, G.; Chen, J. Keratinolytic Protease: A Green Biocatalyst for Leather Industry. Appl. Microbiol. Biotechnol. 2017, 101, 7771–7779. [Google Scholar] [CrossRef] [PubMed]
- Hasan, M.J.; Haque, P.; Rahman, M.M. Protease Enzyme Based Cleaner Leather Processing: A Review. J. Clean. Prod. 2022, 365, 132826. [Google Scholar] [CrossRef]
- Buchert, J.; Pere, J.; Puolakka, A.; Nousiainen, P. Scouring of Cotton with Pectinases, Proteases, and Lipases. Text. Chem. Color. Am. Dyest. Report. 2000, 32, 48–52. [Google Scholar]
- Zhang, R.P.; Cai, Z.S. Protease and Transglutaminase Application for Wool Anti-Felting Finishing. AATCC Rev. 2011, 11, 70–74. [Google Scholar]
- Yevsieieva, L.V.; Lohachova, K.O.; Kyrychenko, A.; Kovalenko, S.M.; Ivanov, V.V.; Kalugin, O.N. Main and Papain-like Proteases as Prospective Targets for Pharmacological Treatment of Coronavirus SARS-CoV-2. RSC Adv. 2023, 13, 35500–35524. [Google Scholar] [CrossRef] [PubMed]
- Li, Q.; Ye, C.; Tian, T.; Jiang, Q.; Zhao, P.; Wang, X.; Liu, F.; Shan, J.; Ruan, J. The Emerging Role of Ubiquitin-Specific Protease 20 in Tumorigenesis and Cancer Therapeutics. Cell Death Dis. 2022, 13, 434. [Google Scholar] [CrossRef] [PubMed]
- Druey, K.M.; McCullough, M.; Krishnan, R. Aspergillus fumigatus Protease Alkaline Protease 1 (ALP1): A New Therapeutic Target for Fungal Asthma. J. Fungi 2020, 6, 88. [Google Scholar] [CrossRef]
- Vianello, A.; Del Turco, S.; Babboni, S.; Silvestrini, B.; Ragusa, R.; Caselli, C.; Melani, L.; Fanucci, L.; Basta, G. The Fight against COVID-19 on the Multi-Protease Front and Surroundings: Could an Early Therapeutic Approach with Repositioning Drugs Prevent the Disease Severity? Biomedicines 2021, 9, 710. [Google Scholar] [CrossRef] [PubMed]
- Mullard, M.; Lavaud, M.; Regnier, L.; Tesfaye, R.; Ory, B.; Rédini, F.; Verrecchia, F. Ubiquitin-Specific Proteases as Therapeutic Targets in Paediatric Primary Bone Tumours? Biochem. Pharmacol. 2021, 194, 114797. [Google Scholar] [CrossRef] [PubMed]
- Garcia-Galan, C.; Berenguer-Murcia, Á.; Fernandez-Lafuente, R.; Rodrigues, R.C. Potential of Different Enzyme Immobilization Strategies to Improve Enzyme Performance. Adv. Synth. Catal. 2011, 353, 2885–2904. [Google Scholar] [CrossRef]
- Wahab, R.A.; Elias, N.; Abdullah, F.; Ghoshal, S.K. On the Taught New Tricks of Enzymes Immobilization: An All-Inclusive Overview. React. Funct. Polym. 2020, 152, 104613. [Google Scholar] [CrossRef]
- Rodrigues, R.C.; Berenguer-Murcia, Á.; Carballares, D.; Morellon-Sterling, R.; Fernandez-Lafuente, R. Stabilization of Enzymes via Immobilization: Multipoint Covalent Attachment and Other Stabilization Strategies. Biotechnol. Adv. 2021, 52, 107821. [Google Scholar] [CrossRef] [PubMed]
- Barbosa, O.; Ortiz, C.; Berenguer-Murcia, Á.; Torres, R.; Rodrigues, R.C.; Fernandez-Lafuente, R. Strategies for the One-Step Immobilization-Purification of Enzymes as Industrial Biocatalysts. Biotechnol. Adv. 2015, 33, 435–456. [Google Scholar] [CrossRef]
- Madhavan, A.; Sindhu, R.; Binod, P.; Sukumaran, R.K.; Pandey, A. Strategies for Design of Improved Biocatalysts for Industrial Applications. Bioresour. Technol. 2017, 245, 1304–1313. [Google Scholar] [CrossRef]
- Eş, I.; Vieira, J.D.G.; Amaral, A.C. Principles, Techniques, and Applications of Biocatalyst Immobilization for Industrial Application. Appl. Microbiol. Biotechnol. 2015, 99, 2065–2082. [Google Scholar] [CrossRef] [PubMed]
- Silva, C.; Martins, M.; Jing, S.; Fu, J.; Cavaco-Paulo, A. Practical Insights on Enzyme Stabilization. Crit. Rev. Biotechnol. 2018, 38, 335–350. [Google Scholar] [CrossRef]
- Bolivar, J.M.; Woodley, J.M.; Fernandez-Lafuente, R. Is Enzyme Immobilization a Mature Discipline? Some Critical Considerations to Capitalize on the Benefits of Immobilization. Chem. Soc. Rev. 2022, 51, 6251–6290. [Google Scholar] [CrossRef]
- Sheldon, R.A.; Woodley, J.M. Role of Biocatalysis in Sustainable Chemistry. Chem. Rev. 2018, 118, 801–838. [Google Scholar] [CrossRef]
- Morellon-Sterling, R.; Tavano, O.; Bolivar, J.M.; Berenguer-Murcia, Á.; Vela-Gutiérrez, G.; Sabir, J.S.M.; Tacias-Pascacio, V.G.; Fernandez-Lafuente, R. A Review on the Immobilization of Pepsin: A Lys-Poor Enzyme That Is Unstable at Alkaline PH Values. Int. J. Biol. Macromol. 2022, 210, 682–702. [Google Scholar] [CrossRef] [PubMed]
- Soh, W.T.; Zhang, J.; Hollenberg, M.D.; Vliagoftis, H.; Rothenberg, M.E.; Sokol, C.L.; Robinson, C.; Jacquet, A. Protease Allergens as Initiators–Regulators of Allergic Inflammation. Allergy Eur. J. Allergy Clin. Immunol. 2023, 78, 1148–1168. [Google Scholar] [CrossRef] [PubMed]
- Meloun, A.; León, B. Sensing of Protease Activity as a Triggering Mechanism of Th2 Cell Immunity and Allergic Disease. Front. Allergy 2023, 4, 1265049. [Google Scholar] [CrossRef]
- Ouyang, X.; Reihill, J.A.; Douglas, L.E.J.; Martin, S.L. Airborne Indoor Allergen Serine Proteases and Their Contribution to Sensitisation and Activation of Innate Immunity in Allergic Airway Disease. Eur. Respir. Rev. 2024, 33, 230126. [Google Scholar] [CrossRef] [PubMed]
- Giangrieco, I.; Ciardiello, M.A.; Tamburrini, M.; Tuppo, L.; Rafaiani, C.; Mari, A.; Alessandri, C. Comparative Analysis of the Immune Response and the Clinical Allergic Reaction to Papain-like Cysteine Proteases from Fig, Kiwifruit, Papaya, Pineapple and Mites in an Italian Population. Foods 2023, 12, 2852. [Google Scholar] [CrossRef]
- Abdella, M.A.A.; Ahmed, S.A.; Hassan, M.E. Protease Immobilization on a Novel Activated Carrier Alginate/Dextrose Beads: Improved Stability and Catalytic Activity via Covalent Binding. Int. J. Biol. Macromol. 2023, 230, 123139. [Google Scholar] [CrossRef]
- Weng, Y.; Dunn, C.B.; Qiang, Z.; Ren, J. Immobilization of Protease K with ZIF-8 for Enhanced Stability in Polylactic Acid Melt Processing and Catalytic Degradation. ACS Appl. Mater. Interfaces 2023, 15, 56957–56969. [Google Scholar] [CrossRef] [PubMed]
- Tang, Y.; Wang, P.; Zeng, H.; Rui, Z. Construction of Porous Chitosan Macrospheres via Dual Pore-Forming Strategy as Host for Alkaline Protease Immobilization with High Activity and Stability. Carbohydr. Polym. 2023, 305, 120476. [Google Scholar] [CrossRef] [PubMed]
- Zhao, Y.T.; Zhang, K.; Zeng, J.; Yin, H.; Zheng, W.; Li, R.; Ding, A.; Chen, S.; Liu, Y.; Wu, W.; et al. Immobilization on Magnetic PVA/SA@Fe3O4 Hydrogel Beads Enhances the Activity and Stability of Neutral Protease. Enzym. Microb. Technol. 2022, 157, 110017. [Google Scholar] [CrossRef] [PubMed]
- Ibrahim, A.S.S.; Elbadawi, Y.B.; El-Toni, A.M.; Almaary, K.S.; El-Tayeb, M.A.; Elagib, A.A.; Maany, D.A.F. Stabilization and Improved Properties of Salipaludibacillus agaradhaerens Alkaline Protease by Immobilization onto Double Mesoporous Core-Shell Nanospheres. Int. J. Biol. Macromol. 2021, 166, 557–566. [Google Scholar] [CrossRef] [PubMed]
- Karakurt, V.; Samsa, C.G. Immobilization of Protease on Chitosan–Silica Gel Beads for High Detergent and Surfactant Stability and High Tolerance against Metallic Ions and Organic Solvents. Chem. Pap. 2023, 77, 3361–3372. [Google Scholar] [CrossRef]
- Skoronski, E.; Fernandes, M.; De Lourdes Borba Magalhães, M.; Da Silva, G.F.; João, J.J.; Lemos Soares, C.H.; Fúrigo, A. Substrate Specificity and Enzyme Recycling Using Chitosan Immobilized Laccase. Molecules 2014, 19, 16794–16809. [Google Scholar] [CrossRef] [PubMed]
- Chough, S.H.; Mulchandani, A.; Mulchandani, P.; Chen, W.; Wang, J.; Rogers, K.R. Organophosphorus Hydrolase-Based Amperometric Sensor: Modulation of Sensitivity and Substrate Selectivity. Electroanalysis 2002, 14, 273–276. [Google Scholar] [CrossRef]
- Chaubey, A.; Parshad, R.; Koul, S.; Taneja, S.C.; Qazi, G.N. Enantioselectivity Modulation through Immobilization of Arthrobacter sp. Lipase: Kinetic Resolution of Fluoxetine Intermediate. J. Mol. Catal. B Enzym. 2006, 42, 39–44. [Google Scholar] [CrossRef]
- Palomo, J. Modulation of Enzymes Selectivity Via Immobilization. Curr. Org. Synth. 2009, 6, 1–14. [Google Scholar] [CrossRef]
- Gupta, S.; Bhattacharya, A.; Murthy, C.N. Tune to Immobilize Lipases on Polymer Membranes: Techniques, Factors and Prospects. Biocatal. Agric. Biotechnol. 2013, 2, 171–190. [Google Scholar] [CrossRef]
- Takaç, S.; Bakkal, M. Impressive Effect of Immobilization Conditions on the Catalytic Activity and Enantioselectivity of Candida rugosa Lipase toward S-Naproxen Production. Process Biochem. 2007, 42, 1021–1027. [Google Scholar] [CrossRef]
- Francolini, I.; Taresco, V.; Martinelli, A.; Piozzi, A. Enhanced Performance of Candida rugosa Lipase Immobilized onto Alkyl Chain Modified-Magnetic Nanocomposites. Enzym. Microb. Technol. 2020, 132, 109439. [Google Scholar] [CrossRef] [PubMed]
- Facchini, F.; Pereira, M.; Vici, A.; Filice, M.; Pessela, B.; Guisan, J.; Fernandez-Lorente, G.; Polizeli, M. Immobilization Effects on the Catalytic Properties of Two Fusarium verticillioides Lipases: Stability, Hydrolysis, Transesterification and Enantioselectivity Improvement. Catalysts 2018, 8, 84. [Google Scholar] [CrossRef]
- Çakmak, R.; Topal, G.; Çınar, E. Covalent Immobilization of Candida rugosa Lipase on Epichlorohydrin-Coated Magnetite Nanoparticles: Enantioselective Hydrolysis Studies of Some Racemic Esters and HPLC Analysis. Appl. Biochem. Biotechnol. 2020, 191, 1411–1431. [Google Scholar] [CrossRef] [PubMed]
- Pereira, M.G.; Velasco-Lozano, S.; Moreno-Perez, S.; Polizeli, A.M.; Heinen, P.R.; Facchini, F.D.A.; Vici, A.C.; Cereia, M.; Pessela, B.C.; Fernandez-Lorente, G.; et al. Different Covalent Immobilizations Modulate Lipase Activities of Hypocrea pseudokoningii. Molecules 2017, 22, 1448. [Google Scholar] [CrossRef] [PubMed]
- Zhong, L.J.; Jiang, B.; Tang, K. Efficient Resolution of 4-Chlormandelic Acid Enantiomers Using Lipase@UiO-67(Zr) Zirconium–Organic Frameworks in Organic Solvent. Chirality 2023, 35, 323–333. [Google Scholar] [CrossRef] [PubMed]
- Coscolín, C.; Beloqui, A.; Martínez-Martínez, M.; Bargiela, R.; Santiago, G.; Blanco, R.M.; Delaittre, G.; Márquez-Álvarez, C.; Ferrer, M. Controlled Manipulation of Enzyme Specificity through Immobilization-Induced Flexibility Constraints. Appl. Catal. A Gen. 2018, 565, 59–67. [Google Scholar] [CrossRef]
- Rodrigues, R.C.; Ortiz, C.; Berenguer-Murcia, Á.; Torres, R.; Fernández-Lafuente, R. Modifying Enzyme Activity and Selectivity by Immobilization. Chem. Soc. Rev. 2013, 42, 6290–6307. [Google Scholar] [CrossRef]
- Pronk, S.; Lindahl, E.; Kasson, P.M. Dynamic Heterogeneity Controls Diffusion and Viscosity near Biological Interfaces. Nat. Commun. 2014, 5, 3034. [Google Scholar] [CrossRef]
- Regan, D.L.L.; Lilly, M.D.D.; Dunnill, P. Influence of Intraparticle Diffusional Limitation on the Observed Kinetics of Immobilized Enzymes and on Catalyst Design. Biotechnol. Bioeng. 1974, 16, 1081–1093. [Google Scholar] [CrossRef]
- Shen, L.; Chen, Z. Critical Review of the Impact of Tortuosity on Diffusion. Chem. Eng. Sci. 2007, 62, 3748–3755. [Google Scholar] [CrossRef]
- Bolivar, J.M.; Consolati, T.; Mayr, T.; Nidetzky, B. Shine a Light on Immobilized Enzymes: Real-Time Sensing in Solid Supported Biocatalysts. Trends Biotechnol. 2013, 31, 194–203. [Google Scholar] [CrossRef] [PubMed]
- Siar, E.H.; Abellanas-Perez, P.; Morellon-Sterling, R.; Bolivar, J.M.; Rocha-Martin, J.; Fernandez-Lafuente, R. Designing Tailor-Made Steric Matters to Improve the Immobilized Ficin Specificity for Small versus Large Proteins. J. Biotechnol. 2024, Submitted. [Google Scholar]
- Siar, E.H.; Abellanas-Perez, P.; Rocha-Martin, J.; Fernandez-Lafuente, R. Tailoring the Specificity of Ficin versus Large Proteins by Generating Custom-Made Steric Hindrances. Int. J. Biol. Macromol. 2024. accepted. [Google Scholar]
- Rodrigues, R.C.; Barbosa, O.; Ortiz, C.; Berenguer-Murcia, Á.; Torres, R.; Fernandez-Lafuente, R. Amination of Enzymes to Improve Biocatalyst Performance: Coupling Genetic Modification and Physicochemical Tools. RSC Adv. 2014, 4, 38350–38374. [Google Scholar] [CrossRef]
- Tacias-Pascacio, V.G.; Ortiz, C.; Rueda, N.; Berenguer-Murcia, Á.; Acosta, N.; Aranaz, I.; Civera, C.; Fernandez-Lafuente, R.; Alcántara, A.R. Dextran Aldehyde in Biocatalysis: More than a Mere Immobilization System. Catalysts 2019, 9, 622. [Google Scholar] [CrossRef]
- Balcão, V.M.; Mateo, C.; Fernández-Lafuente, R.; Xavier Malcata, F.; Guisán, J.M. Structural and Functional Stabilization of L-Asparaginase via Multisubunit Immobilization onto Highly Activated Supports. Biotechnol. Prog. 2001, 17, 537–542. [Google Scholar] [CrossRef] [PubMed]
- Mateo, C.; Palomo, J.M.; Van Langen, L.M.; Van Rantwijk, F.; Sheldon, R.A. A New, Mild Cross-Linking Methodology to Prepare Cross-Linked Enzyme Aggregates. Biotechnol. Bioeng. 2004, 86, 273–276. [Google Scholar] [CrossRef] [PubMed]
- Irazoqui, G.; Villarino, A.; Batista-Viera, F.; Brena, B.M. Generating Favorable Nano-Environments for Thermal and Solvent Stabilization of Immobilized β-Galactosidase. Biotechnol. Bioeng. 2002, 77, 430–434. [Google Scholar] [CrossRef]
- Irazoqui, G.; Giacomini, C.; Batista-Viera, F.; Brena, B.M. Hydrophilization of Immobilized Model Enzymes Suggests a Widely Applicable Method for Enhancing Protein Stability in Polar Organic Co-Solvents. J. Mol. Catal. B Enzym. 2007, 46, 43–51. [Google Scholar] [CrossRef]
- Morellon-Sterling, R.; El-Siar, H.; Tavano, O.L.; Berenguer-Murcia, Á.; Fernández-Lafuente, R. Ficin: A Protease Extract with Relevance in Biotechnology and Biocatalysis. Int. J. Biol. Macromol. 2020, 162, 394–404. [Google Scholar] [CrossRef] [PubMed]
- Abernethy, J.L.; Leonardo, G.L. Ficin as a Catalyst in Organic Syntheses. J. Chem. Educ. 1964, 41, 53–54. [Google Scholar] [CrossRef]
- Aider, M. Potential Applications of Ficin in the Production of Traditional Cheeses and Protein Hydrolysates. JDS Commun. 2021, 2, 233–237. [Google Scholar] [CrossRef] [PubMed]
- Shabani, R.; Shahidi, S.-A.; Rafe, A. Rheological and Structural Properties of Enzyme-Induced Gelation of Milk Proteins by Ficin and Polyporus Badius. Food Sci. Nutr. 2018, 6, 287–294. [Google Scholar] [CrossRef] [PubMed]
- Olshannikova, S.S.; Redko, Y.A.; Lavlinskaya, M.S.; Sorokin, A.V.; Holyavka, M.G.; Yudin, N.E.; Artyukhov, V.G. Study of the Proteolytic Activity of Ficin Associates with Chitosan Nanoparticles. Condens. Matter Interphases 2022, 24, 523–528. [Google Scholar] [CrossRef] [PubMed]
- Hu, R.; Chen, G.; Li, Y. Production and Characterization of Antioxidative Hydrolysates and Peptides from Corn Gluten Meal Using Papain, Ficin, and Bromelain. Molecules 2020, 25, 4091. [Google Scholar] [CrossRef] [PubMed]
- Chandrasekaran, S.; Gonzalez de Mejia, E. Germinated Chickpea Protein Ficin Hydrolysate and Its Peptides Inhibited Glucose Uptake and Affected the Bitter Receptor Signaling Pathway in Vitro. Food Funct. 2023, 14, 8467–8486. [Google Scholar] [CrossRef]
- Kheroufi, A.; Brassesco, M.E.; Campos, D.A.; Boughellout, H.; Pintado, M.E. Functional Properties of Peptides Obtained from Whey Proteins by Ficin Extract Hydrolysis. Food Biosci. 2022, 47, 101707. [Google Scholar] [CrossRef]
- Chandrasekaran, S.; Gonzalez de Mejia, E. Optimization, Identification, and Comparison of Peptides from Germinated Chickpea (Cicer arietinum) Protein Hydrolysates Using Either Papain or Ficin and Their Relationship with Markers of Type 2 Diabetes. Food Chem. 2022, 374, 131717. [Google Scholar] [CrossRef] [PubMed]
- Shekarforoush, S.S.; Aminlari, M.; Sabbagh, N. Comparative Studies on the Effect of the Enzyme Ficin on the Solubilityand Electrophoretic Pattern Ofovine and Bovine Meatproteins. J. Vet. Res. 2009, 64, 1–6. [Google Scholar]
- Baidamshina, D.R.; Koroleva, V.A.; Trizna, E.Y.; Pankova, S.M.; Agafonova, M.N.; Chirkova, M.N.; Vasileva, O.S.; Akhmetov, N.; Shubina, V.V.; Porfiryev, A.G.; et al. Anti-Biofilm and Wound-Healing Activity of Chitosan-Immobilized Ficin. Int. J. Biol. Macromol. 2020, 164, 4205–4217. [Google Scholar] [CrossRef] [PubMed]
- Baidamshina, D.R.; Trizna, E.Y.; Goncharova, S.S.; Sorokin, A.V.; Lavlinskaya, M.S.; Melnik, A.P.; Gafarova, L.F.; Kharitonova, M.A.; Ostolopovskaya, O.V.; Artyukhov, V.G.; et al. The Effect of Ficin Immobilized on Carboxymethyl Chitosan on Biofilms of Oral Pathogens. Int. J. Mol. Sci. 2023, 24, 16090. [Google Scholar] [CrossRef] [PubMed]
- Belenky, A.S.; Wask-Rotter, E.; Sommer, M.J. Absence of Protein G-Fc Interaction in Ficin-Derived Mouse IgG1 Digests. J. Immunoass. Immunochem. 2003, 24, 311–318. [Google Scholar] [CrossRef] [PubMed]
- Waller, M.; Curry, N.; Mallory, J. Immunochemical and Serological Studies of Enzymatically Fractionated Human IgG Glubulins-I. Hydolysis with Pepsin, Papain, Ficin and Bromelin. Immunochemistry 1968, 5, 577–580. [Google Scholar] [CrossRef] [PubMed]
- Tai, D.F.; Huang, H.Y.; Huang, C.C. Immobilized Ficin Catalyzed Synthesis of Peptides in Organic Solvent. Bioorg. Med. Chem. Lett. 1995, 5, 1475–1478. [Google Scholar] [CrossRef]
- Hänsler, M.; Ullmann, G.; Jakubke, H.-D. The Application of Papain, Ficin and Clostripain in Kinetically Controlled Peptide Synthesis in Frozen Aqueous Solutions. J. Pept. Sci. 1995, 1, 283–287. [Google Scholar] [CrossRef] [PubMed]
- Sekizaki, H.; Toyota, E.; Fuchise, T.; Zhou, S.; Noguchi, Y.; Horita, K. Application of Several Types of Substrates to Ficin-Catalyzed Peptide Synthesis. Amino Acids 2008, 34, 149–153. [Google Scholar] [CrossRef] [PubMed]
- Monter, B.; Herzog, B.; Stehle, P.; Furst, P. Kinetically Controlled Synthesis of Dipeptides Using Ficin as Biocatalyst. Biotechnol. Appl. Biochem. 1991, 14, 183–191. [Google Scholar] [CrossRef]
- Siar, E.-H.; Zaak, H.; Kornecki, J.F.; Zidoune, M.N.; Barbosa, O.; Fernandez-Lafuente, R. Stabilization of Ficin Extract by Immobilization on Glyoxyl Agarose. Preliminary Characterization of the Biocatalyst Performance in Hydrolysis of Proteins. Process Biochem. 2017, 58, 98–104. [Google Scholar] [CrossRef]
- Siar, E.-H.; Morellon-Sterling, R.; Carballares, D.; Rocha-Martin, J.; Barbosa, O.; Bolivar, J.M.; Fernandez-Lafuente, R. Glyoxyl-Ficin: An Example Where a More Intense Multipoint Covalent Attachment May Decrease Enzyme Stability. Process Biochem. 2023, 132, 289–296. [Google Scholar] [CrossRef]
- Siar, E.-H.; Morellon-Sterling, R.; Zidoune, M.N.; Fernandez-Lafuente, R. Use of Glyoxyl-Agarose Immobilized Ficin Extract in Milk Coagulation: Unexpected Importance of the Ficin Loading on the Biocatalysts. Int. J. Biol. Macromol. 2020, 144, 419–426. [Google Scholar] [CrossRef] [PubMed]
- Mazurenko, I.; Monsalve, K.; Infossi, P.; Giudici-Orticoni, M.T.; Topin, F.; Mano, N.; Lojou, E. Impact of Substrate Diffusion and Enzyme Distribution in 3D-Porous Electrodes: A Combined Electrochemical and Modelling Study of a Thermostable H2/O2 Enzymatic Fuel Cell. Energy Environ. Sci. 2017, 10, 1966–1982. [Google Scholar] [CrossRef]
- Handriková, G.; Štefuca, V.; Polakovič, M.; Báleš, V. Determination of Effective Diffusion Coefficient of Substrate in Gel Particles with Immobilized Biocatalyst. Enzym. Microb. Technol. 1996, 18, 581–584. [Google Scholar] [CrossRef]
- Fernandez-Lopez, L.; Pedrero, S.G.; Lopez-Carrobles, N.; Gorines, B.C.; Virgen-Ortíz, J.J.; Fernandez-Lafuente, R. Effect of Protein Load on Stability of Immobilized Enzymes. Enzym. Microb. Technol. 2017, 98, 18–25. [Google Scholar] [CrossRef] [PubMed]
- Zaak, H.; Siar, E.H.; Kornecki, J.F.; Fernandez-Lopez, L.; Pedrero, S.G.; Virgen-Ortíz, J.J.; Fernandez-Lafuente, R. Effect of Immobilization Rate and Enzyme Crowding on Enzyme Stability under Different Conditions. The Case of Lipase from Thermomyces Lanuginosus Immobilized on Octyl Agarose Beads. Process Biochem. 2017, 56, 117–123. [Google Scholar] [CrossRef]
- Abellanas-Perez, P.; Carballares, D.; Rocha-Martin, J.; Fernandez-Lafuente, R. The Effects of Buffer Nature on Immobilized Lipase Stability Depend on Enzyme Support Loading. Catalysts 2024, 14, 105. [Google Scholar] [CrossRef]
- Abellanas-Perez, P.; Carballares, D.; Rocha-Martin, J.; Fernandez-Lafuente, R. The Effects of the Chemical Modification on Immobilized Lipase Features Are Affected by the Enzyme Crowding in the Support. Biotechnol. Prog. 2024, 40, e3394. [Google Scholar] [CrossRef] [PubMed]
- Orrego, A.H.; Ghobadi, R.; Moreno-Perez, S.; Mendoza, A.J.; Fernandez-Lorente, G.; Guisan, J.M.; Rocha-Martin, J. Stabilization of Immobilized Lipases by Intense Intramolecular Cross-Linking of Their Surfaces by Using Aldehyde-Dextran Polymers. Int. J. Mol. Sci. 2018, 19, 553. [Google Scholar] [CrossRef] [PubMed]
- Abellanas-Perez, P.; Carballares, D.; Fernandez-Lafuente, R.; Rocha-Martin, J. Glutaraldehyde Modification of Lipases Immobilized on Octyl Agarose Beads: Roles of the Support Enzyme Loading and Chemical Amination of the Enzyme on the Final Enzyme Features. Int. J. Biol. Macromol. 2023, 248, 125853. [Google Scholar] [CrossRef] [PubMed]
- Mateo, C.; Abian, O.; Bernedo, M.; Cuenca, E.; Fuentes, M.; Fernandez-Lorente, G.; Palomo, J.M.; Grazu, V.; Pessela, B.C.C.; Giacomini, C.; et al. Some Special Features of Glyoxyl Supports to Immobilize Proteins. Enzym. Microb. Technol. 2005, 37, 456–462. [Google Scholar] [CrossRef]
- Bradford, M.M. A Rapid and Sensitive Method for the Quantitation of Microgram Quantities of Protein Utilizing the Principle of Protein-Dye Binding. Anal. Biochem. 1976, 72, 248–254. [Google Scholar] [CrossRef] [PubMed]
- Betancor, L.; López-Gallego, F.; Hidalgo, A.; Alonso-Morales, N.; Fuentes, M.; Fernández-Lafuente, R.; Guisán, J.M. Prevention of Interfacial Inactivation of Enzymes by Coating the Enzyme Surface with Dextran-Aldehyde. J. Biotechnol. 2004, 110, 201–207. [Google Scholar] [CrossRef] [PubMed]
- Kunitz, M. CRYSTALLINE SOYBEAN TRYPSIN INHIBITOR: II. GENERAL PROPERTIES. J. Gen. Physiol. 1947, 30, 291–310. [Google Scholar] [CrossRef] [PubMed]
- Boudrant, J.; Woodley, J.M.; Fernandez-Lafuente, R. Parameters Necessary to Define an Immobilized Enzyme Preparation. Process Biochem. 2020, 90, 66–80. [Google Scholar] [CrossRef]





| Activity, (%) | |||||
|---|---|---|---|---|---|
| Substrate | T, (°C) | Moderately Loaded Glyoxyl–Ficin | Moderately Loaded Glyoxyl–Ficin–Dextran | Overloaded Glyoxyl–Ficin | Overloaded Glyoxyl–Ficin– Dextran |
| CASEIN | 37 | 100 | 71 ± 4 | 100 | 93 ± 4 |
| 55 | 100 | 9 ± 1 | 100 | 90 ± 3 | |
| HG | 37 | 100 | 81 ± 3 | 100 | 98 ± 5 |
| 55 | 100 | 12 ± 4 | 100 | 95 ± 4 | |
Disclaimer/Publisher’s Note: The statements, opinions and data contained in all publications are solely those of the individual author(s) and contributor(s) and not of MDPI and/or the editor(s). MDPI and/or the editor(s) disclaim responsibility for any injury to people or property resulting from any ideas, methods, instructions or products referred to in the content. |
© 2024 by the authors. Licensee MDPI, Basel, Switzerland. This article is an open access article distributed under the terms and conditions of the Creative Commons Attribution (CC BY) license (https://creativecommons.org/licenses/by/4.0/).
Share and Cite
Siar, E.H.; Abellanas-Perez, P.; Rocha-Martin, J.; Fernandez-Lafuente, R. Support Enzyme Loading Influences the Effect of Aldehyde Dextran Modification on the Specificity of Immobilized Ficin for Large Proteins. Molecules 2024, 29, 3674. https://doi.org/10.3390/molecules29153674
Siar EH, Abellanas-Perez P, Rocha-Martin J, Fernandez-Lafuente R. Support Enzyme Loading Influences the Effect of Aldehyde Dextran Modification on the Specificity of Immobilized Ficin for Large Proteins. Molecules. 2024; 29(15):3674. https://doi.org/10.3390/molecules29153674
Chicago/Turabian StyleSiar, El Hocine, Pedro Abellanas-Perez, Javier Rocha-Martin, and Roberto Fernandez-Lafuente. 2024. "Support Enzyme Loading Influences the Effect of Aldehyde Dextran Modification on the Specificity of Immobilized Ficin for Large Proteins" Molecules 29, no. 15: 3674. https://doi.org/10.3390/molecules29153674
APA StyleSiar, E. H., Abellanas-Perez, P., Rocha-Martin, J., & Fernandez-Lafuente, R. (2024). Support Enzyme Loading Influences the Effect of Aldehyde Dextran Modification on the Specificity of Immobilized Ficin for Large Proteins. Molecules, 29(15), 3674. https://doi.org/10.3390/molecules29153674

