Discrimination of Milk Freshness Based on Synchronous Two-Dimensional Visible/Near-Infrared Correlation Spectroscopy Coupled with Chemometrics
Abstract
1. Introduction
2. Results and Discussion
2.1. Analysis of Physical and Chemical Indices of Milk
2.2. Analysis of Vis/NIR Spectra and Synchronous 2D-Vis/NIR Spectra of Milk
2.3. Milk Freshness Identification
2.3.1. Threshold-Value Method
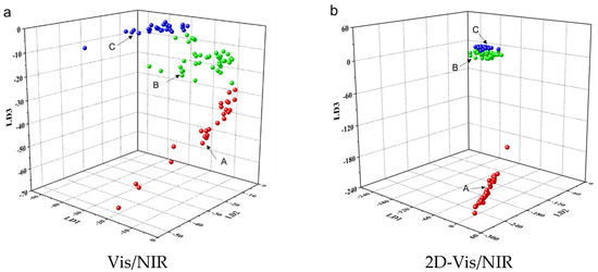
2.3.2. LDA Identification Analysis
2.3.3. SVM Identification Analysis
3. Materials and Methods
3.1. Sample Preparation
3.2. Vis/NIR Collection
3.3. Measurement of Milk Acidity
3.4. Measurement of the Main Components of Milk
3.5. Data Processing
3.5.1. Two-Dimensional Correlation Spectra
3.5.2. LDA Algorithm
3.5.3. SVM
4. Conclusions
Author Contributions
Funding
Institutional Review Board Statement
Informed Consent Statement
Data Availability Statement
Conflicts of Interest
Sample Availability
References
- Coppa, M.; Revello-Chion, A.; Giaccone, D.; Ferlay, A.; Tabacco, E.; Borreani, G. Comparison of near and medium infrared spectroscopy to predict fatty acid composition on fresh and thawed milk. Food Chem. 2014, 150, 49–57. [Google Scholar] [CrossRef] [PubMed]
- White, R.R.; Gleason, C.B. Global contributions of milk to nutrient supplies and greenhouse gas emissions. J. Dairy Sci. 2023, 106, 3287–3300. [Google Scholar] [CrossRef] [PubMed]
- Zhang, D.; Palmer, J.; Teh, K.H.; Flint, S. Identification and selection of heat-stable protease and lipase-producing psychrotrophic bacteria from fresh and chilled raw milk during up to five days storage. LWT 2020, 134, 110165. [Google Scholar] [CrossRef]
- Wang, A.; Dadmun, C.H.; Hand, R.M.; O’Keefe, S.F.; Phillips, J.B.; Anders, K.A.; Duncan, S.E. Efficacy of light-protective additive packaging in protecting milk freshness in a retail dairy case with LED lighting at different light intensities. Food Res. Int. 2018, 114, 1–9. [Google Scholar] [CrossRef]
- Griep-Moyer, E.R.; Trmčić, A.; Qian, C.; Moraru, C.I. Monte Carlo simulation model predicts bactofugation can extend shelf-life of pasteurized fluid milk, even when raw milk with low spore counts is used as the incoming ingredient. J. Dairy Sci. 2022, 105, 9439–9449. [Google Scholar] [CrossRef]
- Kapse, S.; Kedia, P.; Kumar, A.; Kausley, S.; Pal, P.; Rai, B. A non-invasive method for detection of freshness of packaged milk. J. Food Eng. 2023, 346, 111424. [Google Scholar] [CrossRef]
- Ma, Y.; Li, S.; Ji, T.; Wu, W.; Sameen, D.E.; Ahmed, S.; Liu, Y. Development and optimization of dynamic gelatin/chitosan nanoparticles incorporated with blueberry anthocyanins for milk freshness monitoring. Carbohyd. Polym. 2020, 247, 116738. [Google Scholar] [CrossRef]
- Hwang, J.H.; Jung, A.H.; Yu, S.S.; Park, S.H. Rapid freshness evaluation of cow milk at different storage temperatures using in situ electrical conductivity measurement. Innov. Food Sci. Emerg. Technol. 2022, 81, 103113. [Google Scholar] [CrossRef]
- Pawde, S.V.; Chaudhari, S.R.; Matche, R.S. Micro perforation based smart label to guide freshness of pasteurized milk packet. Food Control 2023, 151, 109783. [Google Scholar] [CrossRef]
- Weston, M.; Kuchel, R.P.; Ciftci, M.; Boyer, C.; Chandrawati, R. A polydiacetylene-based colorimetric sensor as anactive use-by date indicator for milk. J. Colloid Interf. Sci. 2020, 572, 31–38. [Google Scholar] [CrossRef]
- Huang, W.; Fan, D.; Li, W.; Meng, Y.; Liu, T.C. Rapid evaluation of milk acidity and identification of milk adulteration by Raman spectroscopy combined with chemometrics analysis. Vib. Spectrosc. 2022, 123, 103440. [Google Scholar] [CrossRef]
- Choudhary, S.; Joshi, B.; Pandey, G.; Joshi, A. Application of single and dual fluorophore-based pH sensors for determination of milk quality and shelf life using a fibre optic spectrophotometer. Sens. Actuators B Chem. 2019, 298, 126925. [Google Scholar] [CrossRef]
- Verma, P.; Yadava, R.D.S. Polymer selection for SAW sensor array based electronic noses by fuzzy c-means clustering of partition coefficients: Model studies on detection of freshness and spoilage of milk and fish. Sens. Actuators B Chem. 2015, 209, 751–769. [Google Scholar] [CrossRef]
- Ampuero, S.; Bosset, J.O. The electronic nose applied to dairy products: A review. Sens. Actuators B Chem. 2003, 94, 1–12. [Google Scholar] [CrossRef]
- Marsili, R.T. Shelf-life prediction of processed milk by solid-phase microextraction, mass spectrometry, and multivariate analysis. J. Agric. Food Chem. 2000, 48, 3470–3475. [Google Scholar] [CrossRef] [PubMed]
- Haugen, J.E.; Rudi, K.; Langsrud, S.; Bredholt, S. Application of gas-sensor array technology for detection and monitoring of growth of spoilage bacteria in milk: A model study. Anal. Chim. Acta 2006, 565, 10–16. [Google Scholar] [CrossRef]
- Hettinga, K.A.; Valenberg, H.J.F.V.; Hooijdonk, A.C.M.V. Quality control of raw cows’ milk by headspace analysis. Int. Dairy J. 2008, 18, 506–513. [Google Scholar] [CrossRef]
- Loffi, C.; Cavanna, D.; Sammarco, G.; Catellani, D.; Dall’Asta, C.; Suman, M. Non-targeted high-resolution mass spectrometry study for evaluation of milk freshness. J. Dairy Sci. 2021, 104, 12286–12294. [Google Scholar] [CrossRef]
- Zhang, J.; Liu, G.; Li, Y.; Guo, M.; Pu, F.; Wang, H. Rapid identification of lamb freshness grades using visible and near-infrared spectroscopy (Vis-NIR). J. Food Compos. Anal. 2022, 111, 104590. [Google Scholar] [CrossRef]
- Nakajima, S.; Genkawa, T.; Miyamoto, A.; Ikehata, A. Useful tissues in cabbage head for freshness evaluation with visible and near infrared spectroscopy. Food Chem. 2021, 339, 128058. [Google Scholar] [CrossRef]
- Kuroki, S.; Mizutani, R.; Tachikawa, Y.; Nakano, K. Nondestructive freshness evaluation of spinach leaves under low oxygen storage using visible and near infrared spectroscopy. IFAC Proc. Vol. 2013, 46, 302–306. [Google Scholar] [CrossRef]
- Kemps, B.J.; De Ketelaere, B.; Bamelis, F.R.; Mertens, K.; Decuypere, E.M.; De Baerdemaeker, J.G.; Schwägele, F. Albumen freshness assessment by combining visible near-infrared transmission and low-resolution proton nuclear magnetic resonance spectroscopy. Poult. Sci. 2007, 86, 752–759. [Google Scholar] [CrossRef] [PubMed]
- Liao, Y.; Fan, Y.; Cheng, F. On-line prediction of fresh pork quality using visible/near-infrared reflectance spectroscopy. Meat Sci. 2010, 86, 901–907. [Google Scholar] [CrossRef]
- Aernouts, B.; Van Beers, R.; Watté, R.; Huybrechts, T.; Jordens, J.; Vermeulen, D. Effect of ultrasonic homogenization on the Vis/NIR bulk optical properties of milk. Colloids Surf. B Biointerfaces 2015, 126, 510–519. [Google Scholar] [CrossRef] [PubMed]
- Galvan, D.; Magalhães de Aguiar, L.; Bona, E.; Marini, F.; Mário Henrique, M.K. Successful combination of benchtop nuclear magnetic resonance spectroscopy and chemometric tools: A review. Anal. Chim. Acta 2023, 1273, 341495. [Google Scholar] [CrossRef] [PubMed]
- Silva, L.K.R.; Cardim de Jesus, J.; Onelli, R.R.V.; Conceição, D.G.; Santos, L.S.; Ferrão, S.P.B. Spectroscopy (MIR), chromatography (RP-HPLC) and chemometrics applied to soluble peptides to discriminate the geographic origin of coalho cheese. Biocatal. Agric. Biotechnol. 2023, 50, 102678. [Google Scholar] [CrossRef]
- Wang, X.; Esquerre, C.; Downey, G.; Henihan, L.; O’Callaghan, D.; O’Donnell, C. Assessment of infant formula quality and composition using Vis-NIR, MIR and Raman process analytical technologies. Talanta 2018, 183, 320–328. [Google Scholar] [CrossRef]
- GB 19301-2021; National Food Safety Standard Raw Milk. Ministry of Health of the People’s Republic of China: Beijing, China, 2010. Available online: http://down.foodmate.net/standard/yulan.php?itemid=21745 (accessed on 26 July 2023).
- Westad, F.; Schmidt, A.; Kermit, M. Incorporating chemical bandassignment in near infrared spectroscopy regression models. J. Near Infrared Spectrosc. 2008, 16, 265–273. [Google Scholar] [CrossRef]
- Núñez-Sánchez, N.; Martínez-Marín, A.L.; Polvillo, O.; Fernández-Cabanás, V.M.; Carrizosa, J.; Urrutia, B.; Serradil, J.M. Near Infrared Spectroscopy (NIRS) for the determination of the milk fat fatty acid profile of goats. Food Chem. 2016, 190, 244–252. [Google Scholar] [CrossRef]
- Robert, P.; Bertrand, D.; Devaux, M.F.; Grappin, R. Multivariate analysis applied to near-infrared spectra of milk. Anal. Chem. 1987, 59, 2187–2191. [Google Scholar] [CrossRef]
- Soulat, J.; Andueza, D.; Graulet, B.; Girard, C.L.; Labonne, C.; Aït-Kaddour, A. Comparison of the potential abilities of three spectroscopy methods: Near-infrared, mid-infrared, and molecular fluorescence, to predict carotenoid, vitamin and fatty acid contents in cow milk. Foods 2020, 9, 592–624. [Google Scholar] [CrossRef]
- Peng, D.; Yue, J.; Bi, Y. Information extraction of near infrared spectra for complex samples based on wavelet packet transform and entropy theory. Spectrosc. Spectr. Anal. 2017, 37, 3409–3413. (In Chinese) [Google Scholar]
- Jin, B.; Zhou, X.; Rogers, K.M.; Yi, B.; Bian, X.; Yan, Z.; Chen, H.; Zhou, H.; Xie, L.; Lin, G.; et al. A stable isotope and chemometric framework to distinguish fresh milk from reconstituted milk powder and detect potential extraneous nitrogen additives. J. Food Compos. Anal. 2022, 108, 104441. [Google Scholar] [CrossRef]
- GB 5009.239-2016; National Food Safety Standard Determination of Food Acidity. National Health and Family Planning Commission of the People’s Republic of China: Beijing, China, 2016. Available online: http://down.foodmate.net/standard/yulan.php?itemid=49404 (accessed on 26 July 2023).
- GB 5009.5-2016; National Food Safety Standard Determination of Protein in Foods. National Health and Family Planning Commission of the People’s Republic of China State Food and Drug Administration: Beijing, China, 2016. Available online: http://down.foodmate.net/standard/yulan.php?itemid=50381 (accessed on 26 July 2023).
- GB 5009.6-2016; National Food Safety Standard Determination of Fats in Foods. National Health and Family Planning Commission of the People’s Republic of China State Food and Drug Administration: Beijing, China, 2016. Available online: http://down.foodmate.net/standard/yulan.php?itemid=50382 (accessed on 26 July 2023).
- GB 5413.5-2010; National Food Safety Standard Determination of Lactose and Sucrose in Foods for Infants and Young Children, Milk and Milk Products. Ministry of Health of the People’s Republic of China: Beijing, China, 2010. Available online: http://down.foodmate.net/standard/yulan.php?itemid=21718 (accessed on 26 July 2023).
- Wu, X.; Xu, B.; Niu, Y.; Gao, S.; Zhao, Z.; Ma, R.; Zhang, Y. Detection of antioxidants in edible oil by two-dimensional correlation spectroscopy combined with convolutional neural network. J. Food Compos. Anal. 2023, 119, 105262. [Google Scholar] [CrossRef]
- Park, Y.; Jin, S.; Noda, I.; Jung, Y.M. Continuing progress in the field of two-dimensional correlation spectroscopy (2D-COS), part I. Yesterday and today. Spectrochim. Acta A Mol. Biomol. Spectrosc. 2022, 281, 121573. [Google Scholar] [CrossRef] [PubMed]
- Witten, D.M.; Tibshirani, R. Penalized classification using Fisher’s linear discriminant. J. R. Stat. Soc. Ser. B Stat. Methodol. 2011, 73, 753–772. [Google Scholar] [CrossRef]
- Peng, D.; Shi, C.; Nie, Q.; Xie, S.; Bi, Y.; Li, J. Qualitative and quantitative detection of peanut oils adulteration based on fatty acid information fusion coupled with chemometrics. Food Control 2023, 181, 114785. [Google Scholar] [CrossRef]
- Cristianini, N.; Shawe-Taylor, J. An Introduction to Support Vector Machines and Other Kernel-Based Learning Methods, 1st ed.; Cambridge University Press: Cambridge, UK, 2000. [Google Scholar]
- Devos, O.; Ruckebusch, C.; Durand, A.; Duponchel, L.; Huvenne, J.P. Support vector machines (SVM) in near infrared (NIR) spectroscopy: Focus on parameters optimization and model interpretation. Chemom. Intell. Lab. Syst. 2009, 96, 27–33. [Google Scholar] [CrossRef]








| Indicators | Range of Variation | Mean | Standard Deviation | CV 1 | GB 19301-2010 |
|---|---|---|---|---|---|
| Fat (%) | 3.70~3.93 | 3.78 | 0.0711 | 0.0188 | ≥3.1 |
| Protein (%) | 3.72~3.76 | 3.74 | 0.0127 | 0.0034 | ≥2.8 |
| Lactose (%) | 5.03~5.35 | 5.15 | 0.1117 | 0.0217 | - 2 |
| Acidity (°T) | 14.1~21.0 | 16.3 | 2.2904 | 0.1408 | 12~18 |
| Relative density (20 °C/4 °C) | 1.032~1.034 | 1.033 | 0.0007 | 0.0007 | ≥1.027 |
| Data | Preprocessing | Calibration Set | Accuracytotal (%) | Prediction Set | Accuracytotal (%) | ||||
|---|---|---|---|---|---|---|---|---|---|
| A (%) | B (%) | C (%) | A (%) | B (%) | C (%) | ||||
| Vis/NIR | Raw spectra | 96.3 | 90.7 | 96.3 | 93.8 | 100.0 | 93.3 | 77.8 | 90.9 |
| SNV | 100.0 | 90.7 | 96.3 | 94.8 | 100.0 | 86.7 | 88.9 | 90.9 | |
| MSC | 100.0 | 97.7 | 100.0 | 99.0 | 100.0 | 86.7 | 88.9 | 90.9 | |
| 1st | 100.0 | 90.7 | 100.0 | 95.9 | 0.0 | 100.0 | 0.0 | 45.5 | |
| 2D-Vis/NIR | Raw spectra | 100.0 | 95.3 | 100.0 | 97.9 | 100.0 | 86.7 | 100.0 | 93.9 |
| SNV | 100.0 | 97.7 | 100.0 | 99.0 | 100.0 | 86.7 | 88.9 | 90.9 | |
| MSC | 100.0 | 97.7 | 100.0 | 99.0 | 100.0 | 86.7 | 100.0 | 93.9 | |
| 1st | 100.0 | 97.7 | 77.8 | 92.8 | 100.0 | 0.0 | 0.0 | 27.3 | |
| Data Information | Indices | Linear | Polynomial | RBF | Sigmoid | ||||||||
|---|---|---|---|---|---|---|---|---|---|---|---|---|---|
| A | B | C | A | B | C | A | B | C | A | B | C | ||
| Vis/NIR | SVs | 18 | 21 | 24 | 20 | ||||||||
| A | 27 | 0 | 0 | 27 | 0 | 0 | 27 | 0 | 0 | 27 | 0 | 0 | |
| B | 0 | 40 | 0 | 0 | 39 | 1 | 0 | 41 | 0 | 0 | 39 | 0 | |
| C | 0 | 3 | 27 | 0 | 4 | 26 | 0 | 2 | 27 | 0 | 4 | 27 | |
| Accuracy (%) | 96.9 | 94.8 | 97.9 | 95.9 | |||||||||
| 2D-Vis/NIR | SVs | 10 | 7 | 6 | 6 | ||||||||
| A | 27 | 0 | 0 | 27 | 0 | 0 | 27 | 0 | 0 | 27 | 0 | 0 | |
| B | 0 | 42 | 0 | 0 | 43 | 2 | 0 | 43 | 0 | 0 | 43 | 1 | |
| C | 0 | 1 | 27 | 0 | 0 | 25 | 0 | 0 | 27 | 0 | 0 | 26 | |
| Accuracy (%) | 99.0 | 97.9 | 100.0 | 99.0 | |||||||||
Disclaimer/Publisher’s Note: The statements, opinions and data contained in all publications are solely those of the individual author(s) and contributor(s) and not of MDPI and/or the editor(s). MDPI and/or the editor(s) disclaim responsibility for any injury to people or property resulting from any ideas, methods, instructions or products referred to in the content. |
© 2023 by the authors. Licensee MDPI, Basel, Switzerland. This article is an open access article distributed under the terms and conditions of the Creative Commons Attribution (CC BY) license (https://creativecommons.org/licenses/by/4.0/).
Share and Cite
Peng, D.; Xu, R.; Zhou, Q.; Yue, J.; Su, M.; Zheng, S.; Li, J. Discrimination of Milk Freshness Based on Synchronous Two-Dimensional Visible/Near-Infrared Correlation Spectroscopy Coupled with Chemometrics. Molecules 2023, 28, 5728. https://doi.org/10.3390/molecules28155728
Peng D, Xu R, Zhou Q, Yue J, Su M, Zheng S, Li J. Discrimination of Milk Freshness Based on Synchronous Two-Dimensional Visible/Near-Infrared Correlation Spectroscopy Coupled with Chemometrics. Molecules. 2023; 28(15):5728. https://doi.org/10.3390/molecules28155728
Chicago/Turabian StylePeng, Dan, Rui Xu, Qi Zhou, Jinxia Yue, Min Su, Shaoshuai Zheng, and Jun Li. 2023. "Discrimination of Milk Freshness Based on Synchronous Two-Dimensional Visible/Near-Infrared Correlation Spectroscopy Coupled with Chemometrics" Molecules 28, no. 15: 5728. https://doi.org/10.3390/molecules28155728
APA StylePeng, D., Xu, R., Zhou, Q., Yue, J., Su, M., Zheng, S., & Li, J. (2023). Discrimination of Milk Freshness Based on Synchronous Two-Dimensional Visible/Near-Infrared Correlation Spectroscopy Coupled with Chemometrics. Molecules, 28(15), 5728. https://doi.org/10.3390/molecules28155728

