Antioxidant Activities of Essential Oils and Their Major Components in Scavenging Free Radicals, Inhibiting Lipid Oxidation and Reducing Cellular Oxidative Stress
Abstract
Highlights
- The essential oils from cinnamon, thyme, clove and their main components, eugenol and thymol, exhibited the highest antioxidant activity in the FOE and RBC systems.
- It was found that the antioxidant activity of essential oils was positively correlated to the content of eugenol and thymol.
- Valuable evidence for the potential use of essential oils to improve human health was provided.
- Cinnamon, clove and thyme oils are expected to prevent fish oil oxidation.
Abstract
1. Introduction
2. Results and Discussion
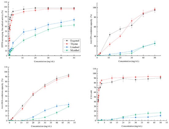
2.1. Antioxidant Activity of Scavenging DPPH free Radical
2.2. Antioxidant Activity of Essential Oil in Fish Oil-in-Water Emulsion System
2.3. Cellular Antioxidant Activity in Red Blood Cells System (CAA-RBC)
3. Materials and Methods
3.1. Chemicals
3.2. Identification and Quantification of Main Components in Essential Oil by GC-MS and GC-FID
3.3. Determination of Antioxidant Activity Using DPPH Assay
3.4. Determination of Antioxidant Activity Using Fish Oil Emulsion System
3.5. Determination of Antioxidant Activity Using Red Blood Cell System
3.6. Statistical Analysis
4. Conclusions
Author Contributions
Funding
Institutional Review Board Statement
Informed Consent Statement
Data Availability Statement
Conflicts of Interest
Sample Availability
References
- Diniz do Nascimento, L.; Barbosa de Moraes, A.A.; Santana da Costa, K.; Pereira Galúcio, J.M.; Taube, P.S.; Leal Costa, C.M.; Neves Cruz, J.; de Aguiar Andrade, E.H.; Guerreiro de Faria, L.J. Bioactive natural compounds and antioxidant activity of essential oils from spice plants: New findings and potential applications. Biomolecules 2020, 10, 988. [Google Scholar] [CrossRef] [PubMed]
- Franz, C.; Baser, K.H.C.; Windisch, W. Essential oils and aromatic plants in animal feeding—A European perspective. A review. Flavour Fragr. J. 2009, 25, 327–340. [Google Scholar] [CrossRef]
- Li, S.Y.; Ru, Y.J.; Liu, M.; Xu, B.; Péron, A.; Shi, X.G. The effect of essential oils on performance, immunity and gut microbial population in weaner pigs. Lives Sci. 2021, 145, 119–123. [Google Scholar] [CrossRef]
- Miguel, M.G. Antioxidant and anti-Inflammatory activities of essential oils: A short review. Molecules 2010, 15, 9252–9287. [Google Scholar] [CrossRef] [PubMed]
- Amorati, R.; Foti, M.C.; Valgimigli, L. Antioxidant activity of essential oils. J. Agric. Food Chem. 2013, 61, 10835–10847. [Google Scholar] [CrossRef]
- Cheli, F.; Baldi, A. Nutrition-based health: Cell-based bioassays for food antioxidant activity evaluation. J. Food Sci. 2011, 76, 197–205. [Google Scholar] [CrossRef]
- Frankel, E.N.; Meyer, A.S. The problems of using one-dimensional methods to evaluate multifunctional food and biological antioxidants. J. Sci. Food Agric. 2000, 80, 1925–1941. [Google Scholar] [CrossRef]
- Liu, R.H.; Finley, J. Potential cell culture models for antioxidant research. J. Agric. Food Chem. 2005, 53, 4311–4314. [Google Scholar] [CrossRef]
- Zhang, Y.; Shen, Y.; Zhu, Y.; Xu, Z. Assessment of the correlations between reducing power, scavenging DPPH activity and anti-lipid-oxidation capability of phenolic antioxidants. LWT—Food Sci. Technol. 2015, 63, 569–574. [Google Scholar] [CrossRef]
- Zhou, Q.; Lu, W.; Niu, Y.; Liu, J.; Zhang, X.; Gao, B.; Akoh, C.C.; Shi, H.; Yu, L. Identification and quantification of phytochemical composition and anti-inflammatory, cellular antioxidant, and radical scavenging activities of 12 Plantago species. J. Agric. Food Chem. 2013, 61, 6693–6702. [Google Scholar] [CrossRef]
- Blasa, M.; Angelino, D.; Gennari, L.; Ninfali, P. The cellular antioxidant activity in red blood cells (CAA-RBC): A new approach to bioavailability and synergy of phytochemicals and botanical extracts. Food Chem. 2011, 125, 685–691. [Google Scholar] [CrossRef]
- López-Alarcón, C.; Denicola, A. Evaluating the antioxidant capacity of natural products: A review on chemical and cellular-based assays. Anal. Chim. Acta 2013, 763, 1–10. [Google Scholar] [CrossRef] [PubMed]
- Ordóñez, G.; Llopis, N.; Peñalver, P. Efficacy of eugenol against a Salmonella enterica serovar enteritidis experimental infection in commercial layers in production. J. Appl. Poult. Res. 2008, 17, 376–382. [Google Scholar] [CrossRef]
- Alfikri, D.N.; Pujiarti, R.; Wibisono, M.G.; Hardiyanto, E.B. Yield, quality, and antioxidant activity of clove (Syzygium aromaticum L.) bud oil at the different phenological stages in young and mature trees. Scientifica 2020, 2020, 9701701. [Google Scholar] [CrossRef]
- Chaieb, K.; Zmantar, T.; Ksouri, R.; Hajlaoui, H.; Mahdouani, K.; Abdelly, C.; Bakhrouf, A. Antioxidant properties of the essential oil of Eugenia caryophyllata and its antifungal activity against a large number of clinical candida species. Mycoses 2007, 50, 403–406. [Google Scholar] [CrossRef]
- Gedikoğlu, A.; Sökmen, M.; Çivit, A. Evaluation of Thymus vulgaris and Thymbra spicata essential oils and plant extracts for chemical composition, antioxidant, and antimicrobial properties. Food Sci. Nutr. 2019, 7, 1704–1714. [Google Scholar] [CrossRef]
- Wu, Z.; Tan, B.; Liu, Y.; Dunn, J.; Guerola, P.M.; Tortajada, M.; Cao, Z.; Ji, P. Chemical composition and antioxidant properties of essential oils from peppermint, native Spearmint and scotch spearmint. Molecules 2019, 24, 2825. [Google Scholar] [CrossRef]
- DA Silva, G.L.; Luft, C.; Lunardelli, A.; Amaral, R.H.; Melo, D.A.D.S.; Donadio, M.V.; Nunes, F.B.; DE Azambuja, M.S.; Santana, J.C.; Moraes, C.M.; et al. Antioxidant, analgesic and anti-inflammatory effects of lavender essential oil. Ann. Braz. Acad. Sci. 2015, 87, 1397–1408. [Google Scholar] [CrossRef]
- Martucci, J.F.; Gende, L.B.; Neira, L.M.; Ruseckaite, R.A. Oregano and lavender essential oils as antioxidant and antimicrobial additives of biogenic gelatin films. Ind. Crop. Prod. 2015, 71, 205–213. [Google Scholar] [CrossRef]
- Lemos, M.F.; Lemos, M.F.; Pacheco, H.P.; Guimarães, A.C.; Fronza, M.; Endringer, D.C.; Scherer, R. Seasonal variation affects the composition and antibacterial and antioxidant activities of Thymus vulgaris. Ind. Crop. Prod. 2017, 9, 543–548. [Google Scholar] [CrossRef]
- Terenina, M.B.; Misharina, T.A.N.; Krikunova, I.; Alinkina, E.S. Oregano essential oil as an inhibitor of higher fatty acid oxidation. Appl. Biochem. Microbiol. 2011, 4, 445–449. [Google Scholar] [CrossRef]
- Ruberto, G.; Baratta, M.T. Antioxidant activity of selected essential oil components in two lipid model systems. Food Chem. 2000, 69, 167–174. [Google Scholar] [CrossRef]
- Liu, K.; Chen, Q.; Liu, Y.; Zhou, X.; Wang, X. Isolation and biological activities of decanal, linalool, valencene, and octanal from sweet orange oil. J. Food Sci. 2012, 77, C1156–C1161. [Google Scholar] [CrossRef]
- Amorati, R.; Baschieri, A.; Morroni, G.; Gambino, R.; Valgimigli, L. Peroxyl radical reactions in water solution: A gym for proton-coupled electron-transfer theories. Food Chem. 2016, 22, 7924–7934. [Google Scholar] [CrossRef] [PubMed]
- Sacchetti, G.; Maietti, S.; Muzzoli, M.; Scaglianti, M.; Manfredini, S.; Radice, M.; Bruni, R. Comparative evaluation of 11 essential oils of different origin as functional antioxidants, antiradicals and antimicrobials in foods. Food Chem. 2005, 91, 621–632. [Google Scholar] [CrossRef]
- Sun, Z.; Wang, H.; Wang, J.; Zhou, L.; Yang, P. Chemical composition and anti-inflammatory, Cytotoxic and antioxidant activities of essential oil from leaves of Mentha piperita grown in China. PLoS ONE 2014, 9, e114767. [Google Scholar] [CrossRef] [PubMed]
- Baschieri, A.; Ajvazi, M.D.; Tonfack, J.L.F.; Valgimigli, L.; Amorati, R. Explaining the antioxidant activity of some common non-phenolic components of essential oils. Food Chem. 2017, 232, 656–663. [Google Scholar] [CrossRef]
- Kivrak, Ş. Essential oil composition and antioxidant activities of eight cultivars of Lavender and Lavandin from western Anatolia. Ind. Crop. Prod. 2018, 117, 88–96. [Google Scholar] [CrossRef]
- Zhang, X.; Shen, Y.; Prinyawiwatkul, W.; King, J.M.; Xu, Z. Comparison of the activities of hydrophilic anthocyanins and lipophilic tocols in black rice bran against lipid oxidation. Food Chem. 2015, 141, 111–116. [Google Scholar] [CrossRef]
- Lukiw, W.J.; Bazan, N.G. Docosahexaenoic acid and the aging brain. J. Nutr. 2008, 138, 2510–2514. [Google Scholar] [CrossRef]
- Kazuo, M. Prevention of fish oil oxidation. J. Oleo Sci. 2019, 68, 1–11. [Google Scholar] [CrossRef] [PubMed]
- Endo, Y.; Hayashi, C.; Yamanaka, T.; Takayose, K.; Yamaoka, M.; Tsuno, T.; Nakajima, S. Linolenic acid as the main source of acrolein formed during heating of vegetable oils. J. Am. Oil Chem. Soc. 2013, 90, 959–964. [Google Scholar] [CrossRef]
- Wang, B.; Adhikari, B.; Barrow, C.J. Optimisation of the microencapsulation of tuna oil in gelatin-sodium hexametaphosphate using complex coacervation. Food Chem. 2014, 158, 358–365. [Google Scholar] [CrossRef] [PubMed]
- Buehler, P.W.; Aalayash, A.I. Redox biology of blood revisited: The role of red blood cells in maintaining circulatory reductive capacity. Antioxid. Redox Signal. 2005, 7, 1755–1760. [Google Scholar]
- Chen, X.; Chen, D.; Jiang, H.; Xu, Z. Aroma characterization of Hanzhong black tea (Camellia sinensis) using solid phase extraction coupled with gas chromatography-mass spectrometry and olfactometry and sensory analysis. Food Chem. 2019, 274, 130–136. [Google Scholar] [CrossRef]
- Frassinetti, S.; Moccia, E.; Caltavuturo, L.; Gabriele, M.; Longo, V.; Bellani, L.; Giorgi, G.; Giorgetti, L. Nutraceutical potential of hemp (Cannabis sativa L.) seeds and sprouts. Food Chem. 2018, 262, 56–66. [Google Scholar] [CrossRef]
- Wolfe, K.L.; Liu, R.H. Cellular antioxidant activity (CAA) assay for assessing antioxidants, foods, and dietary supplements. J. Agri. Food Chem. 2007, 55, 8896–8907. [Google Scholar] [CrossRef]


| RI | Compound | Cinnamon | Clove | Thyme | Lavender | Peppermint |
|---|---|---|---|---|---|---|
| Relative Concentration (mg/mL) a | ||||||
| 2235 | Eugenol | 547 ± 10.4 * | 517.8 ± 8.6 * | 5.0 ± 0.8 | tr | nd |
| 2256 | Thymol | tr | tr | 304 ± 2.8 * | nd | tr |
| 1629 | Linalool | 5.2 ± 0.68 | nd | tr | 307.5 ± 7.3 * | tr |
| 1715 | Menthol | nd | nd | nd | nd | 383 ± 16.2 * |
| EC50 (mg/mL) | |||
|---|---|---|---|
| DPPH Assay | Anti-EPA/DHA Oxidation Capability | CAA-RBC | |
| Trolox (CK) | 0.04 ± 0.01 a | 18.6 ± 1.15 a/20.2 ± 2.08 a | 0.25 ± 0.14 a |
| Cinnamon oil | 0.03 ± 0.00 a | 20.8 ± 3.27 a/21.4 ± 1.21 a | 0.47 ± 0.12 b |
| Clove oil | 0.05 ± 0.01 a | 32.4 ± 2.23 b/49.2 ± 7.63 b | 0.23 ± 0.03 a |
| Thyme oil | 0.14 ± 0.05 b | 21.7 ± 1.87 a/24.3 ± 3.25 a | 0.22 ± 0.06 a |
| Lavender oil | 12.1 ± 2.16 c | 125.8 ± 23.54 c/132.9 ± 17.68 d | 761.2 ± 4.25 d |
| Peppermint oil | 33.9 ± 5.64 d | 203.8 ±15.55 d/144.2 ± 9.86 d | 305.9 ± 13.42 c |
| Eugenol | 0.26 ± 0.01 b | 15.3 ± 3.16 a/16.4 ± 3.26 a | 0.13 ± 0.22 b |
| Thymol | 0.17 ± 0.06 b | 18.3 ± 1.57 a/17.6 ± 3.16 a | 0.12 ± 0.02 a |
| Linalool | 12.8 ± 1.28 c | 104.5 ± 13.33 c/79.6 ± 8.62 c | 513.9 ± 9.25 d |
| Menthol | 26.6 ± 3.52 d | 126.5 ±10.25 c/118.5 ± 12.34 d | 150.8 ± 8.56 c |
Disclaimer/Publisher’s Note: The statements, opinions and data contained in all publications are solely those of the individual author(s) and contributor(s) and not of MDPI and/or the editor(s). MDPI and/or the editor(s) disclaim responsibility for any injury to people or property resulting from any ideas, methods, instructions or products referred to in the content. |
© 2023 by the authors. Licensee MDPI, Basel, Switzerland. This article is an open access article distributed under the terms and conditions of the Creative Commons Attribution (CC BY) license (https://creativecommons.org/licenses/by/4.0/).
Share and Cite
Chen, X.; Shang, S.; Yan, F.; Jiang, H.; Zhao, G.; Tian, S.; Chen, R.; Chen, D.; Dang, Y. Antioxidant Activities of Essential Oils and Their Major Components in Scavenging Free Radicals, Inhibiting Lipid Oxidation and Reducing Cellular Oxidative Stress. Molecules 2023, 28, 4559. https://doi.org/10.3390/molecules28114559
Chen X, Shang S, Yan F, Jiang H, Zhao G, Tian S, Chen R, Chen D, Dang Y. Antioxidant Activities of Essential Oils and Their Major Components in Scavenging Free Radicals, Inhibiting Lipid Oxidation and Reducing Cellular Oxidative Stress. Molecules. 2023; 28(11):4559. https://doi.org/10.3390/molecules28114559
Chicago/Turabian StyleChen, Xiaohua, Shufeng Shang, Fei Yan, Hai Jiang, Guanjie Zhao, Shan Tian, Rui Chen, Dejing Chen, and Yafeng Dang. 2023. "Antioxidant Activities of Essential Oils and Their Major Components in Scavenging Free Radicals, Inhibiting Lipid Oxidation and Reducing Cellular Oxidative Stress" Molecules 28, no. 11: 4559. https://doi.org/10.3390/molecules28114559
APA StyleChen, X., Shang, S., Yan, F., Jiang, H., Zhao, G., Tian, S., Chen, R., Chen, D., & Dang, Y. (2023). Antioxidant Activities of Essential Oils and Their Major Components in Scavenging Free Radicals, Inhibiting Lipid Oxidation and Reducing Cellular Oxidative Stress. Molecules, 28(11), 4559. https://doi.org/10.3390/molecules28114559

