Abstract
Wheat roll enhanced by buckwheat hull was used as a model for determining the retention of bioactive compounds during technological steps. The research included analysis of the formation of Maillard reaction products (MRPs) and retention of bioactive compounds such as tocopherols, glutathione, or antioxidant capacity. About a 30% decrease in the content of available lysine in the roll was observed compared to the value obtained for fermented dough. Free FIC, FAST index, and browning index were highest for the final products. The increase of analyzed tocopherols (α-, β-,γ-, and δ-T) was noticed during the technological steps, with the highest values found for the roll with 3% of buckwheat hull. A significant reduction in GSH and GSSG content occurred during the baking process. The observed increase in the value of the antioxidant capacity after the baking process may be the result of the formation of new antioxidant compounds.
1. Introduction
According to available statistical data, bread sale values are expected to grow annually by 5.87%, based on the compound annual growth rate in 2023–2027. The average volume per person in the “Bread segment” is expected to amount to 23.46 kg in 2023 [1]. Bread and bakery products are still basic products in the diet of most people in the world. However, consumers are looking for information regarding not only the nutritional value of baking products but also the ability to reduce some civilization diseases, for example, heart disease, diabetes, and cancer [2]. Such an ingredient may be, for example, the buckwheat hull obtained during the production process of kasha or flour, as proposed in this work. As shown in our previous study by Wronkowska et al. [3], buckwheat ingredients affect the sensory qualities of bread/rolls without impacting consumer acceptance, and also improve their microbial qualities. Further, from the literature data, we know that buckwheat hulls contain a high concentration of flavonoids [4], and they have the highest dietary fiber content, total polyphenol content, and antioxidant activity compared to whole or dehulled buckwheat seeds [5]. Čabarkapa et al. [6] showed the potential antimicrobial activity of buckwheat hull extracts against six species of Gram-positive and Gram-negative bacteria present in food.
During the thermal processing of food, as well as during its long-term storage, many chemical changes occur, initiated by a direct reaction between the reducing sugars and amino acids or peptides. This process is very complex and leads to the formation of compounds responsible for the taste, smell, and attractiveness of food products and is called the Maillard reaction (MR) [7]. The products of the reaction are both substances considered carcinogenic and mutagenic (e.g., acrylamide), as well as substances showing antioxidant and antibacterial properties (e.g., melanoidin), which can have a positive effect on the human body. However, during high-temperature processing, MR can also produce potentially toxic and harmful chemicals, advanced glycation end products (AGEs). AGE accumulation is associated with diabetes, inflammation, and diseases caused by aging [8]. In the human body, the formation of AGEs is a part of normal metabolism, but they can become pathogenic if their levels in tissue and circulation are extensively high [9]. In vivo, the formation of AGEs and intake of dietary AGEs may result in their excessive accumulation in the human body [10]. The search for glycation inhibitors is of interest, and a variety of synthetic and natural products have been evaluated as inhibitors of AGE formation [11]. In the review by Khan et al. [12], there are some examples of inhibition of AGEs by polyphenols such as the resveratrol and phytoestrogen from grapes or hydroxytyrosol (2-(3,4-hydroxyphenyl) found in the mill waste of olives. It should also be remembered that heat treatment during the roasting and baking process affects the formation of potentially harmful Maillard reaction compounds, such as acrylamide (ACR), hydroxymethylfurfural (HMF) furfural, and especially advanced glycation end products (AGE), e.g., Nε-(carboxymethyl)lysine) [13].
Previous research, also regarding buckwheat hulls, has suggested that dietary polyphenols, depending on the chemical structure, may serve as effective AGE inhibitors and contribute to the prevention of processes resulting in aging and diabetes complications [14,15,16,17]. Other scientists also present the possibility of using buckwheat hulls as a valuable ingredient in food products. Sujka et al. [18] found that it could be used as an ingredient in wheat pasta because of its high phenolic content and antioxidant activity. However, due to the sensory quality, the level of buckwheat hull addition to the pasta should be no more than 10%. In addition, Liu et al. [19] showed that the addition of no more than 4% of buckwheat hull did not decrease the wheat dough properties and noodle quality. Hęś et al. [20] used buckwheat hull extract in meat products, and they found that this ingredient could be used to prolong the shelf life of frozen meat products by protecting them against lipid oxidation and deterioration of their nutritional quality.
In our research, we proposed the use of buckwheat hull as an additive to one of the popular and available baking products (wheat roll) in the Warmia and Mazury regions of northern Poland. From our previous research, we know that this product has been approved by consumers [3]. Therefore, in this study, the aim was the determination of how the technological cycle used to obtain the final product, which is wheat roll enhanced by buckwheat hull, affects the formation of Maillard reaction products (MRPs) and retention of bioactive compounds, tocopherols, or glutathione.
2. Results and Discussion
Data presented in Table 1 show the formation of Maillard reaction products (MRPs), selected bioactive compounds, the antioxidant capacity, and the ability to inhibit the formation of AGEs in two model systems as an effect of technological steps producing buckwheat hull-enhanced roll. The dough production process as well as its fermentation did not significantly increase the content of available lysine during preparation of the roll with 3% of buckwheat hull. However, the baking process decreased its content significantly, by about 30% compared to values obtained for fermented dough. Lysine (from 0.8 g to 3.7 g 100 g−1 protein) and also essential amino acids (EAAs) such as methionine, threonine, and tryptophan occur in very small amounts in cereal crops [21]. Therefore, in a diet rich in grains, often the first limiting amino acid is lysine, and the recommended daily dietary intake of lysine is 40–180 mg kg−1 d−1 [22]. Mustafa et al. [23] analyzed amino acids in different fractions and products of wheat, rye, oats, and barely. They found that the bran fraction of all analyzed cereals contained more free amino acids (also lysine) than whole grain or sifted flour. Fermentation and baking seem to expend, as well as release, certain amino acids [23]. In the case of wheat, these authors found an increase in lysine content after dough fermentation and baking. The heat treatment of products containing proteins and reducing sugars results in the formation of Maillard reactions, and a protein–carbohydrate complex is formed. This complex contains an unreactive (unavailable) lysine, which is bound to reducing sugars and is not available in the body, so the nutritive value of foods decreases [24]. Brestenský et al. [25] showed that the amino acid could play an important role in the final antiradical activity of the compounds, and previous assays showed the ability of lysine to scavenge free radicals. Therefore, the disappearance of free lysine with increased heating time could have contributed to the reduced antiradical properties of the samples. Yang et al. [26] reviewed the lysine metabolic pathway—this is one of the most important for human health, maintaining immunity, building structural proteins for connective tissues, and controlling calcium homeostasis and fatty acid metabolism. In bakery products, the amount of the antioxidant and chemopreventive compound pronyl-L-lysine is strongly dependent on the recipe and technological processes used, as presented by Lindenmeier and Hofmann [27]. These authors also found a higher amount of pronyl-L-lysine in sourdough bread compared to yeast-fermented bread.
Table 1.
Effect of technological steps producing buckwheat hull-enhanced roll: formation of Maillard reaction products (MRPs), selected bioactive compounds, and antioxidant capacity.
The fluorescence of free intermediary compounds (FIC) formed at the advanced MR stage was analyzed. The FAST index, the ratio of FIC to soluble tryptophan, indicates the loss of nutritional quality due to the extent of the Maillard reaction at advanced steps in food production. Generally, the increase of both indicators was observed, compared with the mixture of flours (F). The highest values of FIC and FAST index were noticed for the final product, buckwheat hull-enhanced wheat roll (Table 1). Bhinder et al. [28] showed that for eight Tartary buckwheat varieties, infrared roasting increased the FAST index, and FIC and roasting temperature showed a highly significant positive correlation. A review by Liogier de Sereys et al. [29] showed the potential of the FAST index to characterize infant formula quality. These authors presented this indicator as simple measurements which allow rapid characterization of infant formula quality at different steps of the process, from raw dairy material to final product, and it could be used as a rapid tool for quality control.
In the final stage of the Maillard reaction, one of the products formed is melanoidin, and the indicator of its formation is the determination of the browning index (Figure 1). Dough preparation and fermentation processes affect the increase in the browning index value (Table 1). During the fermentation process, some proteins and reducing sugars could be released from the dough matrix, and it could be related to the increase of the browning index noticed compared to the flour mixture. The most important changes were observed during baking—about a 40% increase in the browning index value was noticed compared to sample F. Phenolic compounds are involved in melanoidin formation and provide melanoidin with antioxidant activity, as was shown by Brudzynski and Miotto [30]. These authors showed that melanoidin formation in honey was increased by heat treatment and was associated with both enhanced incorporation of phenolics into the protein-based melanoidin skeleton and an increase in polyphenol–protein complexation.
Figure 1.
Wheat roll: control (top) and with the addition of 3% of raw buckwheat hull (bottom).
Tocopherols and tocotrienols are a group of naturally occurring antioxidants commonly referred to as vitamin E (α-T, β + γ-T, and δ-T) and δ-tocochromanols [31]. Compared with a mix of flour used for baking (F), all analyzed tocopherols (α-, β-,γ-, and δ-T) increased during the technological steps, and their highest content was found in the final product (R) (Table 1). The β-,γ-, and δ-tocochromanols are not converted to α-tocopherol in humans, so α-tocopherol alone should be used for estimating requirements and recommendations for vitamin E intake [32]. Maruyama et al. [33] found only α-tocopherol in white bread enriched with chia seeds and carrot leaves. This fact can be justified because the free radical scavenging activity of tocopherols is highest in δ-tocopherol followed by γ-, β-, and α-tocopherol. Damanik and Murkovic [34] showed that tocotrienols are more stable than tocopherols when exposed to heat treatments. Wholegrain buckwheat flour was the richest source of vitamin E, and especially of the γ-tocopherol, compared to wheat flour, as presented by Sedej et al. [35].
In the mixture of flours for baking of a roll enriched with buckwheat hull (F), the content of reduced glutathione (GSH) was 386.14 nmol/g dm and oxidized glutathione (GSSG) 162.63 nmol/g dm. In pre-fermented dough, these contents increased slightly, by 12.9% in the case of GSH and 31.5% in the case of GSSG. The dough fermentation process reduced the GSH and GSSG levels by 4% and 9.3%, respectively. Significant reduction in GSH and GSSG content occurred during the baking process. The amount of reduced glutathione decreased by 74% and the amount of oxidized glutathione by 37.7%. GSH, apart from the phenolic compounds, is known to be an important antioxidant and anticarcinogen and might be important for protecting against damage from free radicals [36]. Dough rheology and breadmaking performance depend on the polymeric structure of the glutenin protein fraction. In flour, the tripeptide glutathione (7-glutamylcysteinylglycine) exists in two forms: the free reduced (GSH) and free oxidized (GSSG), as well as in the form of protein-glutathione mixed disulfides (PSSG). Glutathione is involved in the redox reactions that occur in dough [37]. In freshly milled wheat flour, the GSH content was 80.7 nmol/g, and for GSSG, it was 16.9 nmol/g, as presented by Chen and Schofield [38].
Analyzing the obtained results, it was found that the technological processes used during the production of roll enriched by buckwheat hull had a significant impact on the changes in antioxidant capacity of intermediate products, i.e., unfermented and fermented doughs, and obtained bakery products (Table 1). The dough preparation process increased the value of the antioxidant capacity determined against the ABTS•+, DPPH•, and superoxide anion (O2−•) radical in all tested nonfermented dough samples (D) compared to the flour mixture (F). The same observations were made for the other analyzed samples: dough after fermentation and the final bakery product. The observed increase in the value of the antioxidant capacity after the baking process may be the result of the formation of new antioxidant compounds. These compounds are mainly high-molecular-weight melanoidin, which forms as a result of the Maillard reaction occurring at a high temperature between the free amino group of proteins, peptides, or amino acids and the residues of reducing sugars [39].
The fermentation process used significantly increases antioxidant activity. As was shown in the review by Zhao et al. [40], fermentation involves a series of reactions that modify the chemical components of the substrate. These authors indicate that during fermentation, various factors affect the production of bioactive components. They include, among others, starting microorganisms, pH value, fermentation time, fermentation type, and enzymes produced during this process. Dapčević-Hadnađev et al. [41] found that wheat variety, type of fermentation, and processing affected antioxidant activity. They showed in their research, as in our study, that antioxidant activity increased after sourdough fermentation and slightly decreased or remained the same after baking. However, in their study, the reduction of antioxidant capacity was noticed after dough mixing, whereas in our research, the increase of ABTS, DDPH, and PCL values was found.
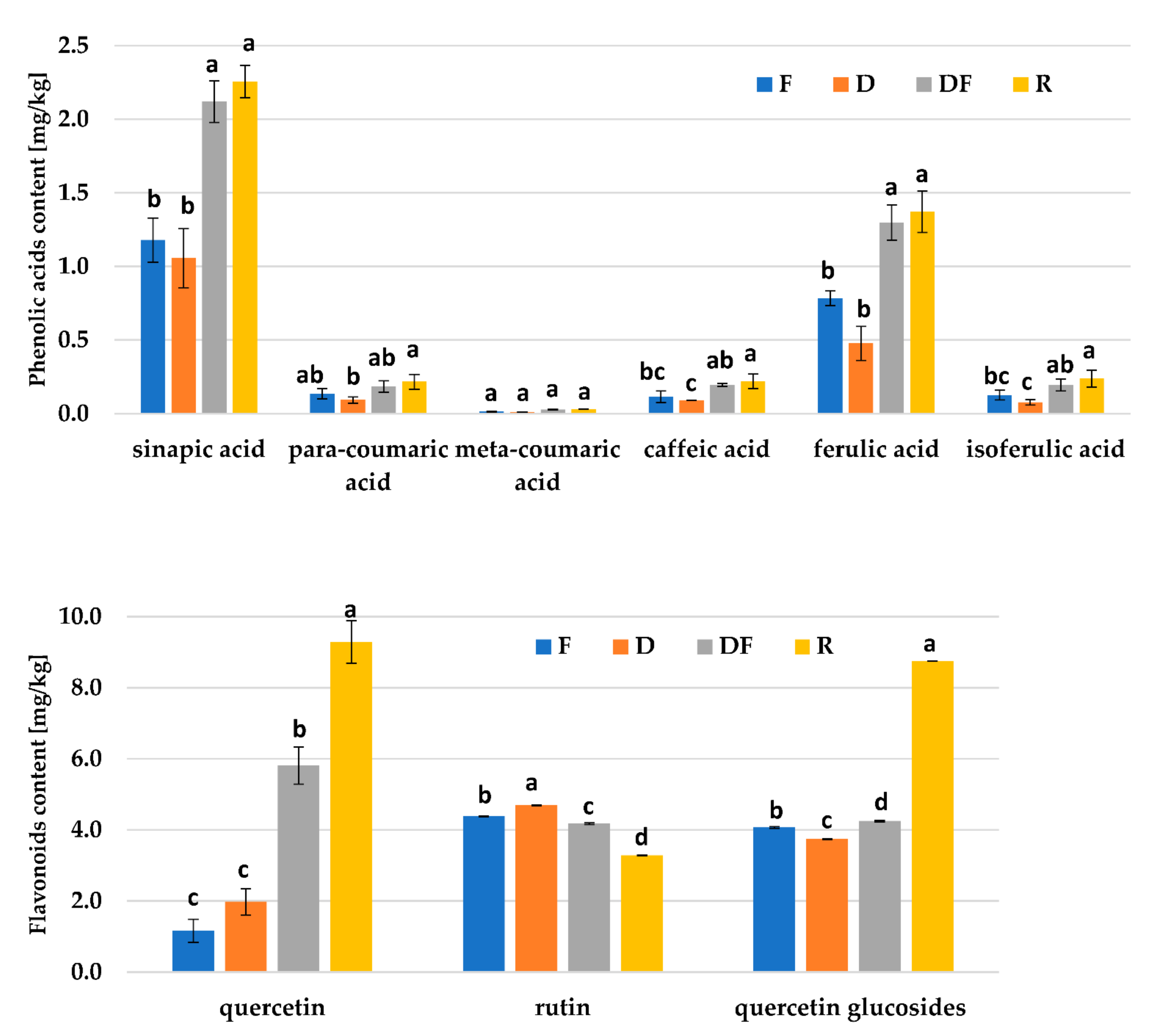
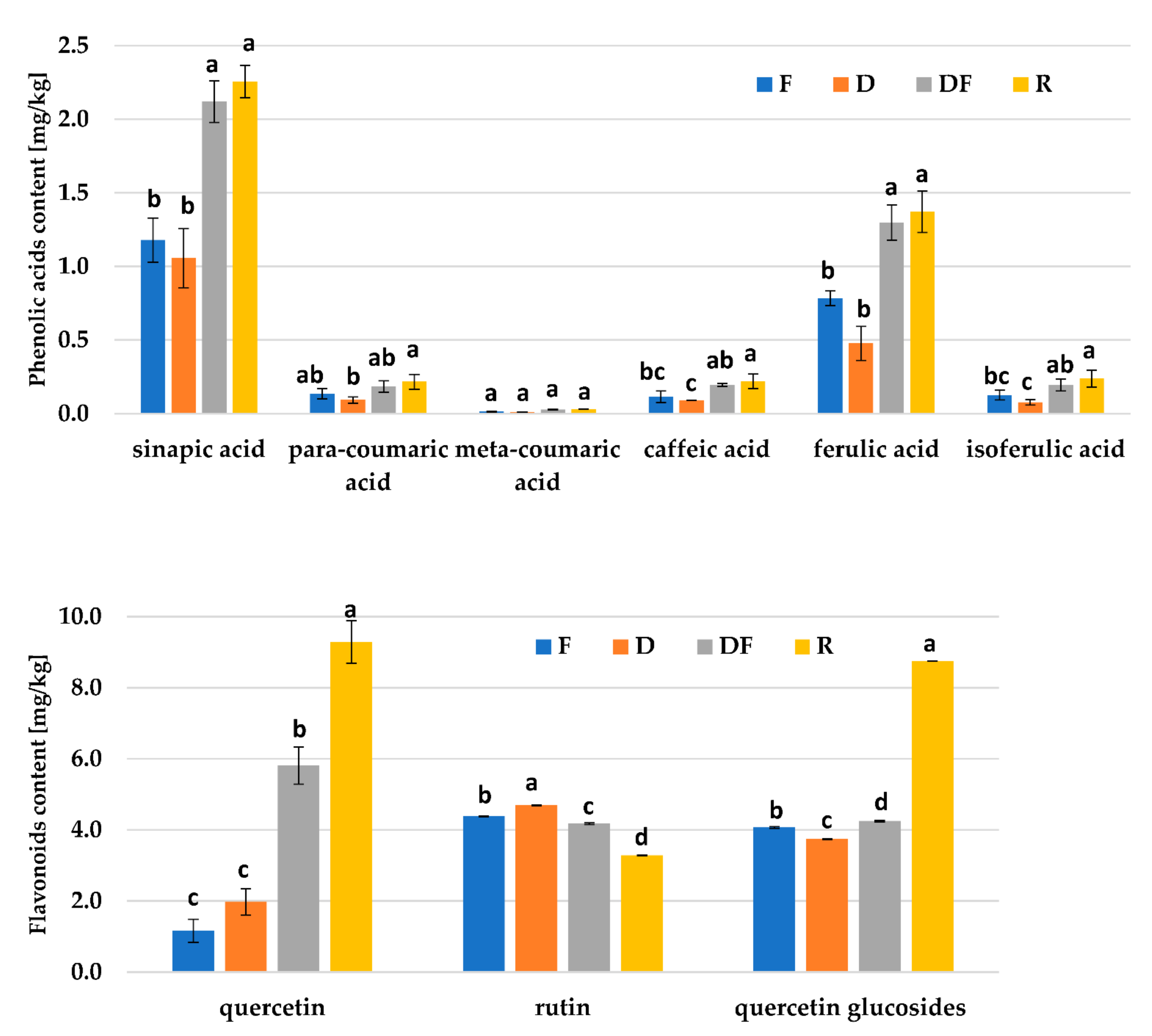
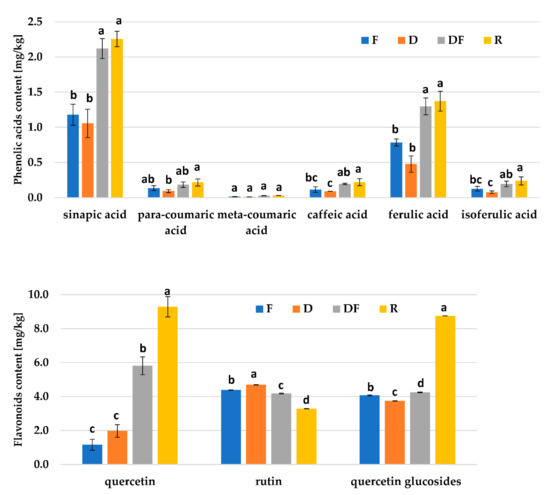
Nine substances from the group of phenolic acids and flavonoid compounds were found in the analyzed samples in the technological cycle from the flour mix to the final product (Figure 2). Based on the analyses carried out, the presence of para-coumaric acid, meta-coumaric acid, sinapic acid, ferulic acid, isoferulic acid, caffeic acid, rutin, quercetin, and quercetin glucosides was found. In addition, it was shown that the identified phenolic acids and flavonoid compounds were present in the analyzed samples in free, ester, and glycoside forms. The obtained results indicate that the technological processes used during preparation of wheat roll enhanced with buckwheat hull caused an increase in the content of phenolic acids, which was probably due to the release of these substances from the cell wall structures as a result of the applied mechanical (dough mixing), fermentation, and thermal processes (baking). Similar observations were made by Yu and Beta [42] during the production process of bread from purple wheat grains, and Tian et al. [43] during the bread-making processes using four different varieties of hard red winter wheat. The degradation of the buckwheat grain cell membrane during heat treatment could enhance the extractability of phenolic compounds from the bound fraction [44]. The main phenolic acids found in the investigated material were sinapic (from 1.18 to 2.26 mg/kg) and ferulic acids (from 0.78 to 1.37 mg/kg). A decrease in the level of rutin and an increase in the content of quercetin was observed as a result of the processes used in the technological cycle. The applied thermal process and fermentation resulted in the release of quercetin from its rhamnoglucoside form. Sedej et al. [35] found a significantly higher content of phenolics in buckwheat than in wheat flour, which suggested the possibility of improving the antioxidant properties of wheat-based food products through the addition of buckwheat products. Tian et al. [43] showed that the bread-making process generally had a positive effect on the phenolic profile and antioxidant activities of wheat products. They found that the fermentation process generally increased soluble phenolic content, flavonoid content, and antioxidant activities, while the baking process increased the soluble phenolic content and antioxidant activities. In addition, these authors showed that some phenolic acids were incorporated into Maillard reaction products during baking.
Figure 2.
The content of phenolic acids (top) and flavonoids (bottom) in the technological cycle. Values with different letters are significantly different (p < 0.05). F—a mixture of wheat flour and buckwheat hull; D—dough before fermentation; DF—dough after fermentation; R—roll with 3% of buckwheat hull.
The phenolic acids were positively correlated with analyzed parameters: FIC (r = 0.80, p < 0.05), browning index (r = 0.70, p < 0.05), and antioxidant capacity (r = 0.72, p < 0.05). However, a significantly higher correlation coefficient for flavonoids and analyzed parameters was noticed: FIC (r = 0.99, p < 0.05), browning index (r = 0.94, p < 0.05), and antioxidant capacity (r = 0.68, p < 0.05). This may suggest that the MRPs and antioxidant properties observed in the analyzed samples are related to the flavonoids present rather than to the phenolic acids. In a review, Teng et al. [45] presented the impact and inhibitory mechanism of phenolic compounds on the formation of toxic MRPs in food, such as acrylamide, heterocyclic amines, and AGEs. Billaud et al. [46] reported that MRPs can significantly inhibit the initial step of enzymatic browning caused by polyphenol oxidase and tyrosinasesmediated oxidative degradation of phenolic compounds produced in fruits and vegetables.
3. Materials and Methods
3.1. Materials
Commercially available wheat flour types 750 and 1850 and the ground hull obtained during the milling of common buckwheat were used in this research. The study included the following materials: a mixture of wheat flour and buckwheat hull used for obtaining a roll (F), dough before fermentation (D), dough after fermentation (DF), and roll with 3% of buckwheat hull (R). The buckwheat hull additive used was selected based on our previous work [3]. The roll with 3% of buckwheat hull was obtained as follows: the wheat flour types 750 (14%) and 1850 (40%) were mixed with buckwheat hull (3%), and salt (1%), sugar (2%), and yeast (2%) were dissolved in water (38%). After dough fermentation (for 60 min), it was divided into rolls and fermented again for 30–40 min at 30 °C, at a humidity of 75–80%. Rolls were baked in traditional ovens for about 20 min at 260 °C. Buckwheat hull-enriched rolls were produced in the small bakery located in Szczytno, from the region of Warmia and Mazury, Poland.
3.2. Methods
Assays of available lysine, free fluorescence intermediary compounds (FIC), FAST index (fluorescence of advanced Maillard reaction products and soluble tryptophan), and browning index were conducted according to methods described in detail by Michalska et al. [47]. Filtrates used for these analyses were obtained after incubation of dry samples with 6% SDS (30 min with stirring). The content of available lysine was determined by using the OPA assay (fluorescence at λEx = 340 and λEm = 455 nm).
The free fluorescence of intermediary compounds (FIC) was measured at λEx = 353 and λEm = 438 nm. Analysis of fluorescence due to advanced MRPs (λEx = 353 and λEm = 438 nm) and tryptophan fluorescence (λEx = 290 and λEm = 340 nm) was used for the FAST index. For the formation of brown pigments, the investigated samples were extracted with phosphate buffer (60 min at room temperature, pH 7.4), and then after filtration, the assay was performed at the absorbances 420 and 360 nm (Coulter DU 800 spectrophotometer, Beckman Instruments Inc., Fullerton, CA, USA).
A modified method according to Zieliński et al. [48] was used for tocopherol (δ-T, α-T, β-T, γ-T) analysis. Samples were extracted with methanol (0.3 g of sample/1 mL), evaporated, and extracts were redissolved in acetonitrile. The tocopherols were separated by HPLC UltiMate 3000 Dionex equipped with a fluorescent detector RS (column C18 Kinetex Phenomenex 100A).
Determination of reduced (GSH) and oxidized glutathione (GSSG) was made according to Zieliński et al. [49]. Three grams of samples were mixed with phosphate buffer and potassium chloride and homogenized. Then, polyvinylpolypyrrolidone (PVPP) was added, and after thorough mixing, the mixture was centrifuged. The supernatant was kept on ice and assayed for reduced and oxidized glutathione at λ = 350 nm or 420 nm using a Perkin-Elmer LS 50 B Luminescence Spectrometer (Perkin-Elmer Ltd., Beaconsfield, Buckinghamshire, England).
For antioxidant capacity analysis, the determination against ABTS+∙ radical cation and PCL assays were used [17,49]. Samples (100 mg) were extracted with 80% methanol, and the supernatant obtained after repeated steps (extraction and centrifugation) was collected. Extract from analyzed samples was determined against ABTS+∙ radical cation using a spectrophotometric assay. Photochemiluminescence (PCL) assay with PHOTOCHEM® apparatus (Analytik Jena, Leipzig, Germany) was used to measure the antioxidant capacity of the samples against superoxide anion radicals (O2−•). The total antioxidant capacity (PCL) was calculated as the sum of the values obtained for lipophilic (ACL) and hydrophilic (ACW) extracts of samples.
For the extraction and isolation of the main phenolic compounds, extraction with 80% methanol from analyzed samples was performed according to Wiczkowski et al. [50]. Free forms of polyphenols were isolated by diethyl ether, but conjugated form (esters and glycosides) samples were initially hydrolyzed with NaOH and HCl. After each hydrolysis, the extraction process was conducted in triplicate, and the collected ether extracts were evaporated to dryness. For analysis of the profile and content of phenolic acids and flavonoids, the system HPLC-MS/MS involving a HALO column was applied [50].
3.3. Statistical Analysis
Data were presented as the mean results of three replications for each sample with the standard deviation. To determine the differences, one-way ANOVA (p < 0.05) was performed, and then for post hoc comparison, the Fisher LSD test was used, and Pearson correlations were also determined (STATISTICA for Windows, StatSoft Inc., Tulsa, OK, USA, 2001).
4. Conclusions
Retention of bioactive compounds during baking technological steps was performed on a model of wheat roll enhanced by 3% of buckwheat hull. In general, an increase in all analyzed parameters was found after the first stage, which was the dough formation process. On the other hand, the yeast fermentation process increases the level of tocopherols (expressed as the sum of the analyzed fractions) and antioxidant activity. A significant reduction in GSH and GSSG content occurred after the baking process. Antioxidant capacity after the baking process was comparable with the data obtained for dough after fermentation, and even the formation of neo-formed antioxidant compounds, such as melanoidins, was found.
Author Contributions
H.Z.: conceptualization, funding acquisition, methodology, project administration, supervision, and writing—original draft. J.H., J.T. and N.B.: data curation and formal analysis. M.W.: data curation, formal analysis, and writing—original draft. W.W.: conceptualization and writing—original draft. All authors have read and agreed to the published version of the manuscript.
Funding
The study was supported by Project “Innovative bakery products with health-promoting properties for Warmia-Masuria Province” (POKL.08.02.01-28-010/13) from the European Union within the European Social Fund.
Institutional Review Board Statement
Not applicable.
Informed Consent Statement
Not applicable.
Data Availability Statement
The data presented in this study are included in the article.
Acknowledgments
The authors thank Anna Michalska-Ciechanowska for the partial analysis of MRPs.
Conflicts of Interest
The authors declare no conflict of interest.
Sample Availability
Not applicable.
References
- Statista. Bread—Worldwide. 2023. Available online: https://www.statista.com/outlook/cmo/food/bread-cereal-products/bread/worldwide (accessed on 23 May 2023).
- Pham-Huy, L.A.; He, H.; Pham-Huy, C. Free radicals, antioxidants in disease and health. Int. J. Biomed. Sci. 2008, 4, 89–96. [Google Scholar] [PubMed]
- Wronkowska, M.; Zieliński, H.; Szmatowicz, B.; Ostaszyk, A.; Lamparski, G.; Majkowska, A. Effect of roasted buckwheat flour and hull enrichment on the sensory qualities, acceptance and safety of innovative mixed rye/wheat and wheat bakery products. J. Food Process. Preserv. 2019, 43, e14025. [Google Scholar] [CrossRef]
- Sedej, I.; Sakač, M.; Mandić, A.; Mišan, A.; Tumbas, V.; Čanadanović-Brunet, J. Buckwheat (Fagopyrum esculentum Moench) Grain and Fractions: Antioxidant Compounds and Activities. J. Food Sci. 2012, 77, 954–959. [Google Scholar] [CrossRef]
- Dziadek, K.; Kopeć, A.; Pastucha, E.; Piątkowska, E.; Leszczyńska, T.; Pisulewska, E.; Witkowicz, R.; Francik, R. Basic chemical composition and bioactive compounds content in selected cultivars of buckwheat whole seeds, dehulled seeds and hulls. J. Cereal Sci. 2016, 69, 1–8. [Google Scholar] [CrossRef]
- Čabarkapa, I.S.; Sedej, I.J.; Sakač, M.B.; Šarić, L.Č.; Plavšić, D.V. Antimicrobial activity of buckwheat (Fagopyrum esculentum Moench) hulls extract. Food Process. Qual. Saf. 2008, 35, 159–163. [Google Scholar]
- Jaeger, H.; Janositz, A.; Knorr, D. The Maillard reaction and its control during food processing. The potential of emerging technologies. Pathol. Biol. 2010, 58, 207–213. [Google Scholar] [CrossRef]
- Nishinaka, T.; Mori, S.; Yamazaki, Y.; Niwa, A.; Wake, H.; Yoshino, T.; Nishibori, M.; Takahashi, H. A comparative study of sulphated polysaccharide effects on advanced glycation end-product uptake and scavenger receptor class A level in macrophages. Diabetes Vasc. Dis. Res. 2020, 17, 1–11. [Google Scholar] [CrossRef]
- Ulrich, P.; Cerami, A. Protein glycation, diabetes, and aging. Recent Prog. Horm. Res. 2002, 56, 1–21. [Google Scholar] [CrossRef]
- Delgado-Andrade, C.; Fogliano, V. Dietary Advanced Glycosylation End-Products (dAGEs) and Melanoidins Formed through the Maillard Reaction: Physiological Consequences of their Intake. Annu. Rev. Food Sci. Technol. 2018, 9, 271–291. [Google Scholar] [CrossRef]
- Thornalley, P.J. Use of aminoguanidine (Pimagedine) to prevent the formation of advanced glycation endproducts. Arch. Biochem. Biophys. 2003, 419, 31–40. [Google Scholar] [CrossRef]
- Khan, M.; Liu, H.; Wang, J.; Sun, G. Inhibitory effect of phenolic compounds and plant extracts on the formation of advance glycation end products: A comprehensive review. Food Res. Int. 2020, 130, 108933. [Google Scholar] [CrossRef] [PubMed]
- Różańska, B.M.; Siger, A.; Szwengiel, A.; Dziedzic, K.; Mildner-Szkudlarz, S. Maillard Reaction Products in Gluten-Free Bread Made from Raw and Roasted Buckwheat Flour. Molecules 2021, 26, 1361. [Google Scholar] [CrossRef] [PubMed]
- Szawara-Nowak, D.; Koutsidis, G.; Wiczkowski, W.; Zieliński, H. Evaluation of the in vitro inhibitory effects of buckwheat enhanced wheat bread extracts on the formation of advanced glycation end-products (AGEs). LWT—Food Sci. Technol. 2014, 58, 327–334. [Google Scholar] [CrossRef]
- Przygodzka, M.; Zieliński, H. Evaluation of in vitro inhibitory activity of rye-buckwheat ginger cakes with rutin on the formation of advanced glycation end-products (AGEs). Pol. J Food Nutr. Sci. 2015, 65, 191–198. [Google Scholar] [CrossRef]
- Wronkowska, M.; Piskuła, M.K.; Zieliński, M. Effect of roasting time of buckwheat groats on the formation of Maillard reaction products and antioxidant capacity. Food Chem. 2016, 196, 355–358. [Google Scholar]
- Starowicz, M.; Zieliński, H. Inhibition of advanced glycation end-product formation by high antioxidant-leveled spices commonly used in European cuisine. Antioxidants 2019, 8, 100. [Google Scholar] [CrossRef] [PubMed]
- Sujka, K.; Cacak-Pietrzak, G.; Sułek, A.; Murgrabia, K.; Dziki, D. Buckwheat hull-enriched pasta: Physicochemical and sensory properties. Molecules 2022, 27, 4065. [Google Scholar] [CrossRef]
- Liu, D.; Song, S.; Tao, L.; Yu, L.; Wang, J. Effects of common buckwheat bran on wheat dough properties and noodle quality compared with common buckwhat hull. LWT—Food Sci. Technol. 2022, 155, 112971. [Google Scholar] [CrossRef]
- Hęś, M.; Szwengiel, A.; Dziedzic, K.; Le Thanh-Blicharz, J.; Kmiecik, D.; Górecka, D. The Effect of Buckwheat Hull Extract on Lipid Oxidation in Frozen-Stored Meat Products. J. Food Sci. 2017, 82, 882–889. [Google Scholar] [CrossRef]
- Torbatinejad, N.M.; Rutherfurd, S.M.; Moughan, P.J. Total and reactive lysine contents in selected cereal-based food products. J. Agric. Food Chem. 2005, 53, 4454–4458. [Google Scholar] [CrossRef]
- Tomé, D.; Bos, C. Lysine requirement through the human life cycle. J. Nutr. 2007, 137, 1642S–1645S. [Google Scholar] [CrossRef] [PubMed]
- Mustafa, A.; Aman, P.; Andersson, R.; Kamal-Eldin, A. Analysis of free amino acids in cereal products. Food Chem. 2007, 105, 317–324. [Google Scholar] [CrossRef]
- Pizzoferrato, L.; Manzi, M.; Vivanti, V.; Nicoletti, I.; Corradini, C.; Cogliandro, E. Maillard Reaction in Milk-Based Foods: Nutritional Consequences. J. Food Prot. 1998, 61, 235–239. [Google Scholar] [CrossRef] [PubMed]
- Brestenský, M.; Nitrayová, S.; Heger, J.; Patráš, P.; Rafay, J.; Sirotkin, A. Methods for determination reactive lysine in heat-treated foods and feeds. J. Microbiol. Biotechnol. Food Sci. 2014, 4, 13–15. [Google Scholar] [CrossRef]
- Yang, Q.; Zhao, D.; Zhang, C.; Sreenivasulu, N.; Sun, S.S.-M.; Liu, Q. Lysine biofortification of crops to promote sustained human health in the 21st century. J. Exp. Bot. 2022, 73, 1258–1267. [Google Scholar] [CrossRef]
- Lindenmeier, M.; Hofmann, T. Influence of Baking Conditions and Precursor Supplementation on the Amounts of the Antioxidant Pronyl-L-lysine in Bakery Products. J. Agric. Food Chem. 2004, 52, 350–354. [Google Scholar] [CrossRef]
- Bhinder, S.; Singhb, B.; Kaura, A.; Singha, N.; Kaura, M.; Kumaria, S.; Yadavc, M.P. Effect of infrared roasting on antioxidant activity, phenolic composition and Maillard reaction products of Tartary buckwheat varieties. Food Chem. 2019, 285, 240–251. [Google Scholar] [CrossRef]
- Liogier de Sereys, A.; Muller, S.; Desic, S.D.; Troise, A.D.; Fogliano, V.; Acharid, A.; Lacotte, P.; Birlouez-Aragon, I. Chapter Potential of the FAST index to characterize infant formula quality. In Handbook of Dietary and Nutritional Aspects of Bottle Feeding; Human Health Handbooks No., 8, Preedy, V.R., Watson, R.R., Zibadi, S., Eds.; Wageningen Academic Publishers: Wageningen, The Netherlands, 2014; pp. 457–475. [Google Scholar]
- Brudzynski, K.; Miotto, D. Honey melanoidins: Analysis of the compositions of the high molecular weight melanoidins exhibiting radical-scavenging activity. Food Chem. 2011, 127, 1023–1030. [Google Scholar] [CrossRef]
- Knecht, K.; Sandfuchs, K.; Kulling, S.E.; Bunzel, D. Tocopherol and tocotrienol analysis in raw and cooked vegetables: A validated method with emphasis on sample preparation. Food Chem. 2015, 169, 20–27. [Google Scholar] [CrossRef]
- Institute of Medicine. Dietary reference intakes for vitamin C, vitamin E, selenium, and carotenoids: A report of the Panel on Dietary Antioxidants and Related Compounds, Subcommittees on Upper Reference Levels of Nutrients and of Interpretation and Use of Dietary Reference Intakes, and the Standing Committee on the Scientific Evaluation of Dietary Reference Intakes, Food and Nutrition Board, Institute of Medicine; National Academy of Sciences: Washington, DC, USA, 2000. [Google Scholar]
- Maruyama, S.A.; Claus, T.; Chiavelli, L.U.R.; Bertozzi, J.; Pilau, E.J.; de Souza, N.E.; Visentainer, J.V.; Gomes, S.T.M.; Matsushita, M. Analysis of Carotenoids, α-Tocopherol, Sterols and Phenolic Compounds from White Bread Enriched with Chia (Salvia hispanica L.) Seeds and Carrot (Daucus carota L.) Leaves. J. Braz. Chem. Soc. 2014, 25, 1108–1115. [Google Scholar] [CrossRef]
- Damanik, M.; Murkovic, M. The stability of palm oil during heating in a rancimat. Eur. Food Res. Technol. 2018, 244, 1293–1299. [Google Scholar] [CrossRef]
- Sedej, I.; Mandić, A.; Sakač, M.; Mišan, A.; Tumbas, V. Comparison of Antioxidant Components and Activity of Buckwheat and Wheat Flours. Cereal Chem. 2010, 87, 387–392. [Google Scholar] [CrossRef]
- Valencia, E.; Marin, A.; Hardy, G. Glutathione—Nutritional and pharmacological viewpoints: Part II. Nutrition 2001, 17, 485–486. [Google Scholar] [CrossRef]
- Guo, L.; Xu, D.; Fang, F.; Jin, Z.; Xu, X. Effect of glutathione on wheat dough properties and bread quality. J. Cereal Sci. 2020, 96, 103116. [Google Scholar] [CrossRef]
- Chen, X.; Schofield, J.D. Changes in the Glutathione Content and Breadmaking Performance of White Wheat Flour During Short-Term Storage. Cereal Chem. 1996, 73, 1–4. [Google Scholar]
- Chandra, R.; Bharagava, R.N.; Rai, V. Review. Melanoidins as major colourant in suragcane molasses based distillery effluent and its degradation. Bioresour. Technol. 2008, 99, 4648–4660. [Google Scholar] [CrossRef]
- Zhao, Y.-S.; Eweys, A.S.; Zhang, J.-Y.; Zhu, Y.; Bai, J.; Darwesh, O.M.; Zhang, H.-B.; Xiao, X. Fermentation Affects the Antioxidant Activity of Plant-Based Food Material through the Release and Production of Bioactive Components. Antioxidants 2021, 10, 2004. [Google Scholar] [CrossRef]
- Dapčević-Hadnađev, T.; Stupar, A.; Stevanović, D.; Škrobot, D.; Maravić, N.; Tomić, J.; Hadnađev, M. Ancient Wheat Varieties and Sourdough Fermentation as a Tool to Increase Bioaccessibility of Phenolics and Antioxidant Capacity of Bread. Foods 2022, 11, 3985. [Google Scholar] [CrossRef]
- Yu, L.; Beta, T. Identification and Antioxidant Properties of Phenolic Compounds during Production of Bread from Purple Wheat Grains. Molecules 2015, 20, 15525–15549. [Google Scholar] [CrossRef]
- Tian, W.; Chen, G.; Tilley, M.; Li, Y. Changes in phenolic profiles and antioxidant activities during the whole wheat bread-making process. Food Chem. 2021, 345, 128851. [Google Scholar] [CrossRef]
- Chandrasekara, N.; Shahidi, F. Effect of Roasting on Phenolic Content and Antioxidant Activities of Whole Cashew Nuts, Kernels, and Testa. J. Agric. Food Chem. 2011, 59, 5006–5014. [Google Scholar] [CrossRef]
- Teng, J.; Hu, X.; Tao, N.; Wang, M. Impact and inhibitory mechanism of phenolic compounds on the formation of toxic Maillard reaction products in food. Front. Agr. Sci. Eng. 2018, 5, 321–329. [Google Scholar] [CrossRef]
- Billaud, C.; Maraschin, C.; Chow, Y.N.; Chériot, S.; Peyrat-Maillard, M.N.; Nicolas, J. Maillard reaction products as “natural antibrowning” agents in fruit and vegetable technology. Mol. Nutr. Food Res. 2005, 49, 656–662. [Google Scholar] [CrossRef] [PubMed]
- Michalska, A.; Amigo-Benavent, M.; Zielinski, H.; del Castillo, M.D. Effect of bread making on formation of Maillard reaction products contributing to the overall antioxidant activity of rye bread. J. Cereal Sci. 2008, 48, 123–132. [Google Scholar] [CrossRef]
- Zieliński, H.; Michalska, A.; Szawara-Nowak, D.; Wiczkowski, W.; Piskuła, M.K. Tocotrienols in three rye varietes: From the grain to the bread. Pol. J. Food Nutr. Sci. 2007, 57, 441–446. [Google Scholar]
- Zieliński, H.; del Castillo, M.D.; Przygodzka, M.; Ciesarova, Z.; Kukurova, K.; Zielińska, D. Changes in chemical composition and antioxidative properties of rye ginger cakes during their shelf-life. Food Chem. 2012, 135, 2965–2973. [Google Scholar] [CrossRef] [PubMed]
- Wiczkowski, W.; Szawara-Nowak, D.; Sawicki, T.; Mitrus, J.; Kasprzykowski, Z.; Horbowicz, M. Profile of phenolic acids and antioxidant capacity in organs of common buckwheat sprout. Acta Aliment. 2012, 45, 250–257. [Google Scholar] [CrossRef]
Disclaimer/Publisher’s Note: The statements, opinions and data contained in all publications are solely those of the individual author(s) and contributor(s) and not of MDPI and/or the editor(s). MDPI and/or the editor(s) disclaim responsibility for any injury to people or property resulting from any ideas, methods, instructions or products referred to in the content. |
© 2023 by the authors. Licensee MDPI, Basel, Switzerland. This article is an open access article distributed under the terms and conditions of the Creative Commons Attribution (CC BY) license (https://creativecommons.org/licenses/by/4.0/).

