VOCs Analysis of Three Different Cultivars of Watermelon (Citrullus lanatus L.) Whole Dietary Fiber
Abstract
1. Introduction
2. Results
- In G_WDF sample, 93 compounds were detected, including 34 aldehydes (ALD), 15 alcohols (ALC), 1 acetate ester (ACE), 8 ketones (KET), 25 terpenes and derivatives (TER), and 10 other compounds (OTH);
- In AM_WDF sample, 64 compounds were detected, including 19 aldehydes (ALD), 11 alcohols (ALC), 10 ketones (KET), 1 acetate ester (ACE), 18 terpenes and derivatives (TER), and 5 other compounds (OTH);
- In CS_WDF specimen, 44 compounds were detected, including 13 aldehydes (ALD), 14 alcohols (ALC), 3 ketones (KET), 1 acetate ester (ACE), 9 terpenes and derivatives (TER), and 4 other compounds (OTH).
3. Discussion
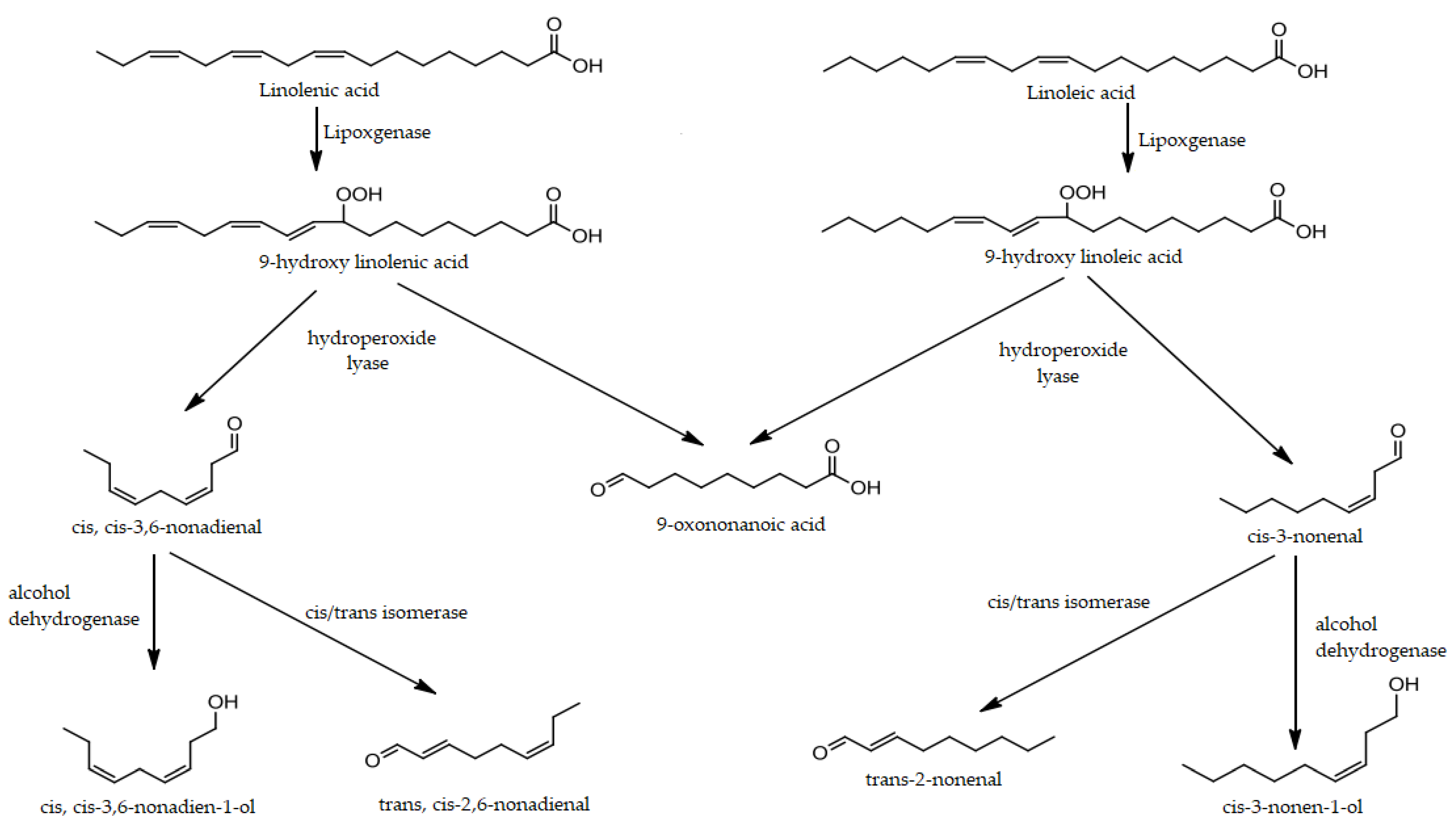
3.1. Aldehydes
3.2. Alcohols
3.3. Ketones
3.4. Esters
3.5. Terpenes and Derivatives
3.6. Other Compounds
4. Materials and Methods
4.1. Samples Preparation
4.2. Volatile Organic Compounds Sampling—HS SPME
4.3. GC-MS Analysis
4.4. Chemicals and Reagents
4.5. Statistical Analysis
5. Conclusions
Author Contributions
Funding
Institutional Review Board Statement
Informed Consent Statement
Data Availability Statement
Conflicts of Interest
References
- Lum, T.; Connolly, M.; Marx, A.; Beidler, J.; Hooshmand, S.; Kern, M.; Liu, C.; Hong, M.Y. Effects of Fresh Watermelon Consumption on the Acute Satiety Response and Cardiometabolic Risk Factors in Overweight and Obese Adults. Nutrients 2019, 11, 595. [Google Scholar] [CrossRef] [PubMed]
- Manivannan, A.; Lee, E.-S.; Han, K.; Lee, H.-E.; Kim, D.-S. Versatile Nutraceutical Potentials of Watermelon—A Modest Fruit Loaded with Pharmaceutically Valuable Phytochemicals. Molecules 2020, 25, 5258. [Google Scholar] [CrossRef]
- Tlili, I.; Chafik, H.; Lenucci, M.S.; Riadh, I.; Jebari, H.; Dalessandro, G. Bioactive compounds and antioxidant activities of different watermelon (Citrullus lanatus (Thunb.) Mansfeld) cultivars as affected by fruit sampling area. J. Food Compos. Anal. 2011, 24, 307–314. [Google Scholar] [CrossRef]
- Zamuz, S.; Munekata, P.E.S.; Gullon, B.; Rocchetti, G.; Montesano, D.; Lorenzo, J.M. Citrullus lanatus as source of bioactive components: An up-to date review. Trends Food Sci. Technol. 2021, 111, 208–222. [Google Scholar] [CrossRef]
- Maletti, L.; D’Eusanio, V.; Durante, C.; Marchetti, A.; Pincelli, L.; Tassi, L. Comparative Analysis of VOCs from Winter Melon Pomace Fibers before and after Bleaching Treatment with H2O2. Molecules 2022, 27, 2336. [Google Scholar] [CrossRef]
- FAO. Fruit and Vegetables—Your Dietary Essentials: The International Year of Fruits and Vegetables 2021; Background Paper; FAO: Rome, Italy, 2020. [Google Scholar] [CrossRef]
- Cui, S.W.; Roberts, K.T. Dietary Fiber: Fulfilling the Promise of Added-Value Formulations. In Modern Biopolymer Science, 1st ed.; Kasapis, S., Norton, I.T., Ubbink, J.B., Eds.; Academic Press: San Diego, CA, USA, 2009; Volume 13, pp. 399–448. [Google Scholar] [CrossRef]
- O’Shea, N.; Arendt, E.K.; Gallagher, E. Dietary fibre and phytochemical characteristics of fruit and vegetable by-products and their recent applications as novel ingredients in food products. Innov. Food Sci. Emerg. Technol. 2012, 16, 1–10. [Google Scholar] [CrossRef]
- Food and Agriculture Organization of the United Nations. Statistic Division (FAOSTAT). Available online: https://www.fao.org/faostat (accessed on 23 September 2022).
- Italian National Institute of Statistics (ISTAT). Available online: https://dati.istat.it/ (accessed on 28 September 2022).
- Zia, S.; Khan, M.R.; Shabbir, M.A.; Aadil, R.M. An update on functional, nutraceutical and industrial applications of watermelon by-products: A comprehensive review. Trends Food Sci. Technol. 2021, 114, 275–291. [Google Scholar] [CrossRef]
- Fish, W.W.; Bruton, B.D.; Russo, V.M. Watermelon juice: A promising feedstock supplement, diluent, and nitrogen supplement for ethanol biofuel production. Biotechnol. Biofuels 2009, 2, 18. [Google Scholar] [CrossRef]
- Aronson, D.; Citra, M.; Shuler, K.; Printup, H.; Howard, P.H. Aerobic Biodegradation of Organic Chemicals in Environmental Media: A Summary of Field and Laboratory Studies; U.S. Environmental Protection Agency: Athens, GA, USA, 1999. [Google Scholar]
- Messner, R.; Johnson, H.; Richards, C. From surplus-to-waste: A study of systemic overproduction, surplus and food waste in horticultural supply chains. J. Clean. Prod. 2021, 278, 123952. [Google Scholar] [CrossRef]
- Lipinski, B.; Hanson, C.; Lomax, J.; Kitinoja, L.; Waite, R.; Searchinger, T. Reducing Food Loss and Waste, Installment 2 of Creating a Sustainable Food Future; Working Paper 1; World Resources Institute: Washington, DC, USA, 2013; pp. 1–40. [Google Scholar]
- Al-Sayed, H.M.A.; Ahmed, A.R. Utilization of watermelon rinds and sharlyn melon peels as a natural source of dietary fiber and antioxidant in cake. Ann. Agric. Sci. 2013, 58, 83–95. [Google Scholar] [CrossRef]
- Marinelli, V.; Lucera, A.; Incoronato, A.L.; Morcavallo, L.; Del Nobile, M.A.; Conte, A. Strategies for fortified sustainable food: The case of watermelon-based candy. J. Food Sci. Technol. 2021, 58, 894–901. [Google Scholar] [CrossRef]
- Ayala-Zavala, J.F.; Vega-Vega, V.; Rosas-Dominguez, C.; Palafox-Carlos, H.; Villa-Rodriguez, J.A.; Siddiqui, M.W. Agro-Industrial potential of exotic fruit byproducts as a source of food additives. Food Res. Int. 2011, 44, 1866–1874. [Google Scholar] [CrossRef]
- Wang, K.; Li, M.; Wang, Y.; Liu, Z.; Ni, Y. Effect of extraction methods on the structural characteristic and functional properties of dietary fiber extracted from kiwifruit (actinidia deliciosa). Food Hydrocoll. 2021, 110, 106162. [Google Scholar] [CrossRef]
- Rico, X.; Gullón, B.; Alonso, J.L.; Yáñez, R. Recovery of high value-added compounds from pineapple, melon, watermelon and pumpkin processing by-products: An overview. Food Res. Int. 2020, 132, 109086. [Google Scholar] [CrossRef]
- Guentert, M. The Flavour and Fragrance Industry-Past, Present, and Future. In Flavours and Fragrances: Chemistry, Bioprocessing and Sustainability, 1st ed.; Berger, R.G., Ed.; Springer: Berlin/Heidelberg, Germany, 2007; Volume 1, pp. 1–14. [Google Scholar] [CrossRef]
- Xisto, A.L.R.P.; Boas, B.M.V.; Nunes, E.E.; Federal, B.M.V.B.; Guerreiro, M.C. Volatile profile and physical, chemical, and biochemical changes in fresh cut watermelon during storage. Food Sci. Technol. 2012, 32, 173–178. [Google Scholar] [CrossRef]
- El Hadi, M.; Zhang, F.J.; Wu, F.F.; Zhou, C.H.; Tao, J. Advances in Fruit Aroma Volatile Research. Molecules 2013, 18, 8200–8229. [Google Scholar] [CrossRef]
- Dima, G.; Tripodi, G.; Condurso, C.; Verzera, A. Volatile constituents of mini-watermelon fruits. J. Essent. Oil Res. 2014, 26, 323–327. [Google Scholar] [CrossRef]
- Beaulieu, J.C.; Grimm, C.C. Identification of Volatile Compounds in Cantaloupe at Various Developmental Stages Using Solid Phase Microextracion. J. Agric. Food Chem. 2001, 49, 1345–1352. [Google Scholar] [CrossRef]
- Saftner, R.; Luo, Y.; McEvoy, J.; Abbott, J.A.; Vinyard, B. Quality characteristics of fresh-cut watermelon slices from non-treated and 1-methylcylopropene- and/or ehylene-treated whole fruit. Postharvest Biol. Technol. 2007, 44, 71–79. [Google Scholar] [CrossRef]
- Yajima, I.; Sakakibara, H.; Ide, J.; Yanai, T.; Kazuo, H. Volatile Flavor Components of Watermelon (Citrullus vulgaris). Agric. Biol. Chem. 1985, 49, 3145–3150. [Google Scholar] [CrossRef]
- Tripodi, G.; Condurso, C.; Cincotta, F.; Merlino, M.; Verzera, A. Aroma compounds in mini-watermelon fruit from different grafting combinations. J. Sci. Food Agric. 2020, 100, 1328–1335. [Google Scholar] [CrossRef] [PubMed]
- Beaulieu, J.C.; Lea, J.M. Characterization and Semiquantitative Analysis of Volatile in Seedless Watermelon Varieties Using Solid-Phase Microextraction. J. Agric. Food Chem. 2006, 54, 7789–7793. [Google Scholar] [CrossRef]
- Liu, Y.; He, C.; Song, H. Comparison of fresh watermelon juice aroma characteristics of five varieties based on gas chromatography-olfactometry-mass spectrometry. Food Res. Int. 2018, 107, 119–129. [Google Scholar] [CrossRef] [PubMed]
- Yang, F.; Liu, Y.; Wang, B.; Song, H.; Zou, T. Screening of the volatile compounds in fresh and thermally treated watermelon juice via headspace-gas chromatography-ion mobility spectrometry and comprehensive two-dimensional gas chromatography-olfactory-mass spectrometry analysis. LWT 2021, 137, 110478. [Google Scholar] [CrossRef]
- Kobori, C.N.; Wagner, R.; Padula, M.; Rodriguez-Amaya, D.B. Formation of volatile compounds from lycopene by autoxidation in a model system simulating dehydrated foods. Food Res. Int. 2014, 63, 49–54. [Google Scholar] [CrossRef]
- Kemp, T.R. Idenification of some volatile compounds from Citrullus vulgaris. Phytochemistry 1975, 14, 2637–2638. [Google Scholar] [CrossRef]
- Hatanaka, A.; Kajiwara, T.; Harada, T. Biosynthetic pathway of cucumber alcohol: Trans-2,cis-6-nonadienol via cis-3,cis-6-nonadienal. Phytochemistry 1975, 14, 2589–2592. [Google Scholar] [CrossRef]
- Kemp, T.R.; Knavel, D.E.; Stoltz, L.P.; Lundin, R.E. 3,6-Nonadien-1-ol from Citrullus vulgaris and Cucumis melo. Phytochemistry 1974, 13, 1167–1170. [Google Scholar] [CrossRef]
- Cho, M.J.; Buescher, R. Degradation of cucumber flavor aldehydes in juice. Food Res. Int. 2011, 44, 2975–2977. [Google Scholar] [CrossRef]
- Genthner, E.R. Identification of Key Odorants in Fresh-Cut Watermelon Aroma and Structure-Odor Relationships of cis,cis-3,6-Nonadienal and Ester Analogs with cis,cis-3,6-Nonadiene, cis-3-Nonene and cis-6-Nonene Backbone Structures; Graduate Dissertion and Theses at Illinois. Master’s Thesis, University of Illinois at Urbana-Champaign, Champaign, IL, USA, 2010; 113p. Available online: http://hdl.handle.net/2142/16898 (accessed on 12 October 2022).
- Song, J.; Fan, L.; Beaudry, R.M. Application of Solid Phase Microextraction and Gas Chromaography/Time-of-Flight Mass Spectrometry for Rapid Analysis of Flavor Volatiles in Tomato and Strawberry Fruits. J. Agric. Food Chem. 1998, 46, 3721–3726. [Google Scholar] [CrossRef]
- Hammer, M.; Schieberle, P. Model Studies on the Key Aroma Compounds Formed by an Oxidative Degradation of ω-3 Fatty Acids Initiated by either Copper(II) Ions or Lipoxygenase. J. Agric. Food Chem. 2013, 61, 10891–10900. [Google Scholar] [CrossRef]
- Lewinsohn, E.; Sitrit, Y.; Bar, E.; Azulay, Y.; Ibdah, M.; Meir, A.; Yosef, E.; Zamir, D.; Tadmor, Y. Not just colors-carotenoid degradation as a link between pigmentation and aroma in tomato and watermelon fruit. Trends Food Sci. Technol. 2005, 16, 407–415. [Google Scholar] [CrossRef]
- Leffingwell, J.C.; Alford, E.D.; Leffingwell, D. Identification of the Volatile Constituents of Raw Pumpkin (Cucurbita pepo L.) by Dynamic Headspace Analyses. Leffingwell Rep. 2015, 7, 1–14. [Google Scholar]
- Marchese, A.; Arciola, C.R.; Barbieri, R.; Sanches Silva, A.; Nabavi, S.F.; Tsetegho Sokeng, A.J.; Izadi, M.; Jafari, N.J.; Suntar, I.; Daglia, M.; et al. Update on Monoterpenes as Antimicrobial Agents: A Particular Focus on p-Cymene. Materials 2017, 10, 947. [Google Scholar] [CrossRef]
- Gloria, M.B.A.; Grulke, E.A.; Gray, J.I. Effect of type of oxidation on beta-carotene loss and volatile products formation in model systems. Food Chem. 1993, 46, 401–406. [Google Scholar] [CrossRef]
- Penicaud, C.; Achir, N.; Dhuique-Mayer, C.; Dornier, M.; Bohuon, P. Degradation of beta-carotene during fruit and vegeable processing or storage: Reaction mechanisms and kinetic aspects: A review. Fruits 2011, 66, 417–440. [Google Scholar] [CrossRef]
- Josephson, D.B.; Lindsay, R.C. Retro-aldol degradations of unsaturated aldehydes: Role in the formation of 4-heptenal from 2,6-nonadienal in fish, oyster and other flavors. J. Am. Oil Chem. Soc. 1987, 64, 132–138. [Google Scholar] [CrossRef]
- Salas, J.J.; Sanchez, J. Hydroperoxide lyase from olive (Olea europaea) fruits. Plant Sci. 1999, 143, 19–26. [Google Scholar] [CrossRef]
- Smit, B.A.; Engels, J.M.; Smit, G. Branched chain aldehydes: Production and breakdown pathways and relevance for flavour in foods. Appl. Microbiol. Biotechnol. 2009, 81, 987–999. [Google Scholar] [CrossRef]
- Xiao, Z.; Lu, J.R. Strategies for enhancing fermentative production of acetoin: A review. Biotechnol. Adv. 2014, 32, 492–503. [Google Scholar] [CrossRef]
- Xiao, Z.; Lu, J.R. Generation of Acetoin and Its Derivatives in Foods. J. Agric. Food Chem. 2014, 62, 6487–6497. [Google Scholar] [CrossRef] [PubMed]
- Fruehwirth, S.; Egger, S.; Flecker, T.; Ressler, M.; Firat, N.; Pignitter, M. Acetone as Indicator of Lipid Oxidation in Sored Margarine. Anioxidants 2021, 10, 59. [Google Scholar] [CrossRef]
- Sales, A.; Afonso, L.F.; Americo, J.A.; de Freitas Rebelo, M.; Pastore, G.M.; Bicas, J.L. Monoterpene biotransformation by Colletotrichum species. Biotechnol. Lett. 2018, 40, 561–567. [Google Scholar] [CrossRef] [PubMed]
- Croteau, R.; Kutchan, T.M.; Lewis, N.G. Natural Products (Secondary Metablites). Biochem. Mol. Biol. Plants 2000, 24, 69. [Google Scholar]
- Nisar, N.; Li, L.; Lu, S.; Khin, N.C.; Pogson, B.J. Carotenoid Metabolism in Plants. Mol. Plant 2015, 8, 68–82. [Google Scholar] [CrossRef]
- Maletti, L.; D’Eusanio, V.; Lancellotti, L.; Marchetti, A.; Pincelli, L.; Strani, L.; Tassi, L. Candying Process for Enhancing Pre-Waste Watermelon Rinds to Increase Food Sustainability. Future Foods 2022, 6, 100182. [Google Scholar] [CrossRef]









| Compound | LRI | # ID | Aroma | Area (G_WDF) | Area (AM_WDF) | Area (CS_WDF) | Ref. |
|---|---|---|---|---|---|---|---|
| Alcohols | |||||||
| ethanol | 466 | A, B | Alcoholic | 2.2 ± 0.1 | - | 1.4 ± 0.1 | [25,26,27,28] |
| 2-methyl-3-buten-2-ol | 613 | A, B | Grass, earthy, oily | 0.18 | - | - | - |
| 1-penten-3-ol | 686 | A, B | Pungent, green, fruity | 3.6 ± 0.1 | 7.5 ± 0.2 | 1.1 | [24,26,27,28,29] |
| 3-methyl-1-butanol | 736 | A, B | Alcoholic | - | - | 0.32 | - |
| 2-methyl-1-butanol | 741 | A, B | Fatty, wine, cocoa | 0.36 | 3.1 ± 0.1 | 6.2 ± 0.2 | [24,25,27,28] |
| 1-pentanol | 765 | A, B, C | Pungent, fermented | 3.0 ± 0.1 | 43.4 ± 0.5 | 1.7 ± 0.1 | [24,25,26,27,30,31,32] |
| (Z)-2-penten-1-ol | 768 | A, B, D | Green, phenolic, ethereal | 4.2 ± 0.2 | - | - | [26,27,28,29,30] |
| 2,3-butanediol | 777 | A, B | Creamy, fruity, buttery | 0.42 | 1.1 ± 0.1 | 0.17 | - |
| 2,5-dimethyl-1,5-hexadien-3-ol | 839 | A, B | - | 1.1 ± 0.1 | 4.3 ± 0.1 | 0.18 | - |
| 1-hexanol | 851 | A, B | Green, flowery | 0.37 | 1.3 ± 0.1 | 0.45 | [22,24,25,27,28,29,30,31] |
| 1-octen-3-ol | 936 | A, B | Mushroom, earthy, green | 2.4 ± 0.1 | 2.2 ± 0.1 | 0.20 | [25,27,28,29,30,31] |
| benzyl alcohol | 985 | A, B | Sweet, floral, fruity | 3.3 ± 0.1 | 0.10 | [25,27,29] | |
| 1-octanol | 997 | A,B | Waxy, green, citrus, floral | 1.5 ± 0.1 | - | - | [24,26,27,28,29,30] |
| 2,6-dimethyl-cyclohexanol | 1044 | A, B | - | 13.2 ± 0.3 | 11.5 ± 0.3 | 1.5 ± 0.1 | - |
| 2,6-nonadien-1-ol | 1051 | A, B | Cucumber, green | 1.0 ± 0.1 | - | - | [27,28,30,33] |
| (Z,Z)-3,6-nonadien-1-ol | 1056 | A, B, D | Watermelon, fresh, melon | - | - | 0.72 | [22,24,25,26,28,33,34,35] |
| (Z)-6-nonen-1-ol | 1056 | A, B | Green, melon, cucumber | 1.1 | - | - | [24,25,26,27,28,29,30,33] |
| (Z)-3-nonen-1-ol | 1058 | A, B | Fresh, waxy, green, melon | - | 0.50 | 2.3 ± 0.1 | [22,24,25,26,28,33,34,35] |
| 1-nonanol | 1061 | A, B | Fresh, clean, floral, grass | - | - | 0.68 | [22,24,25,26,27,28,33,35] |
| 3,4-dimethylcyclohexanol | 1131 | A, B | - | 2.2 ± 0.1 | 1.5 ± 0.1 | - | - |
| Aldehydes | |||||||
| acetaldehyde | 435 | A, B | Pungent, fresh, penetrating | 5.5 ± 0.2 | - | - | [22,25,26,29,30,36] |
| propanal | 498 | A, B | Ethereal, pungent, fruity | 1.3 ± 0.1 | - | - | [25,36] |
| 2-methyl-propanal | 559 | A, B | Fresh, aldehydic, floral | 0.16 | 1.2 ± 0.1 | - | - |
| (Z)-2-butenal | 570 | A, B, D | - | 0.23 | 2.6 ± 0.1 | - | - |
| butanal | 593 | A, B | Pungent, malty, green | 0.21 | - | - | - |
| (E)-2-butenal | 655 | A, B, D | Green, fruity | 0.82 | 2.5 ± 0.1 | 0.06 | [24,25,29,30] |
| 3-methyl-butanal | 661 | A, B | Ethereal, aldehydic, peach | 1.7 ± 0.1 | 23 ± 0.4 | 2.5 ± 0.1 | [24,31,37] |
| 2-methyl-butanal | 671 | A, B | Chocolate, nutty, furfural | 0.72 | 16 ± 0.3 | 1.5 ± 0.1 | [24,31] |
| pentanal | 703 | A, B | Fermented, fruity, berry | 1.9 ± 0.1 | 35 ± 0.5 | 1.5 ± 0.1 | [24,25,26,27,28,29,31] |
| 2-methyl-2-butanal | 748 | A, B | Pungent, green, penetrating | 0.28 | - | - | - |
| (E)-2-pentanal | 758 | A, B, D | Pungent, green, fruity, apple | 3.4 ± 0.1 | 2.6 ± 0.1 | - | [24,25,26,27,29,30,31,36] |
| 3-methyl-2-butanal | 784 | A, B | Sweet, fruity, pungent, nut | 0.93 | 2.0 ± 0.1 | 0.29 | - |
| hexanal | 798 | A, B | Green, fatty, fruity, woody | 12 ± 0.3 | 85 ± 0.8 | 6.0 ± 0.2 | [22,24,25,27,28,30] |
| (Z)-2-hexenal | 837 | A, B, D | Green | 0.11 | - | - | [24] |
| (E)-2-hexenal | 843 | A, B, D | Green, almond, fruity | 4.2 ± 0.1 | 3.4 ± 0.1 | 0.63 | [24,25,27,29,30,36] |
| 4-heptenal | 878 | A, B | - | 0.32 | 0.54 | - | [25,26,29,30] |
| heptanal | 880 | A, B | Fresh, fatty, green, grass | 1.2 ± 0.1 | 3.0 ± 0.1 | 0.20 | [24,25,26,29,30,31,37] |
| (E,E)-2,4-hexadienal | 890 | A, B, D | Green, fruity, citrus, waxy | 0.34 | 0.38 | - | [29,31] |
| (E)-2-heptenal | 923 | A, B, D | Green, fatty, oily, fruity | 1.9 ± 0.1 | 2.6 ± 0.1 | 0.12 | [24,25,26,27,29,30] |
| octanal | 954 | A, B | Orange, waxy, peel, green | 0.73 | 0.45 | 0.13 | [24,25,27,28,29,30,31] |
| (E,E)-2,4-heptadienal | 963 | A, B, D | Fatty, sweet, melon, spicy | 1.1 ± 0.1 | 0.53 | - | [24,25,27,29,30,31] |
| benzenacetaldehyde | 994 | A, B | Honey, sweet, rose, floral | 6.5 ± 0.2 | - | 0.21 | [25,31] |
| (E)-2-octenal | 995 | A, B, D | Green, nut, fat | - | 1.6 ± 0.1 | - | [24,25,27,29,30,31,33] |
| (E)-4-nonenal | 1017 | A, B, D | Fruity | 1.8 ± 0.1 | - | - | [24,29,30,31] |
| nonanal | 1023 | A, B | Citrus, lemon, cucumber | 7.4 ± 0.2 | - | 0.70 | [22,24,27,28,29,31,37] |
| (Z,Z)-3,6-nonadienal | 1046 | A, B, D | Fresh-cut watermelon | 0.79 | - | - | [25,26,27,30,34,37] |
| (Z)-2-nonenal | 1052 | A, B, D | Cucumber, fatty, waxy | 0.69 | - | - | [24,26,30,31,36,37] |
| (E,E)-2,6-nonadienal | 1054 | A, B, D | Melon, cucumber, fatty | 0.45 | - | - | [24,26,31] |
| (E,Z)-2,6-nonadienal | 1059 | A, B, D | Cucumber, melon, green | 24 ± 0.4 | 0.74 | - | [22,26,27,29,30,31,37] |
| (E)-2-nonenal | 1062 | A, B, D | Fatty, green, melon, waxy | 27 ± 0.4 | 2.3 ± 0.1 | 0.79 | [22,24,25,26,29,30,36] |
| decanal | 1090 | A, B | Zest, waxy, orange, floral | 2.0 ± 0.1 | - | - | [24,25,31] |
| (E,E)-2,4-nonadienal | 1101 | A, B, D | Cucumber, melon, waxy | 0.66 | 0.15 | - | [24,25,29,30,37] |
| (E)-2-decenal | 1127 | A, B, D | Waxy, earthy, coriander | 0.87 | - | - | [24,30,31,33] |
| (E,Z)-2,4-decadienal | 1165 | A, B, D | Fatty, orange, citrus, fresh | 0.47 | - | - | [24,25,27,30] |
| dodecanal | 1214 | A, B | Soapy, waxy, citrus, floral | 0.24 | - | - | [24] |
| Ketones | |||||||
| acetone | 495 | A, B | Solvent, ethereal, apple, pear | 3.1 ± 0.1 | 55 ± 0.5 | 8.5 ± 0.2 | - |
| 3-methyl-2-butanone | 588 | A, B | Camphor | 0.61 | 3.1 ± 0.1 | - | - |
| 2-butanone | 597 | A, B | Ethereal, fruity, camphor | - | 4.4 ± 0.1 | - | - |
| 1-penten-3-one | 689 | A, B | Pungent, pepper, garlic, onion | 4.5 ± 0.1 | - | - | [25,26,29,30,38] |
| 2,3-pentanedione | 698 | A, B | Buttery, nutty, caramelized | 0.42 | - | - | [25,29] |
| acetoin | 713 | A, B | Sweet, buttery, creamy, milky | 1.5 ± 0.1 | 11 ± 0.3 | 0.61 | [31] |
| 1-(1-cyclohexen-1-yl)-ethanone | 869 | A, B | - | 0.66 | - | - | - |
| 2-heptanone | 871 | A, B | Fruity, spicy, sweet, grass | - | 0.78 | - | [27] |
| 2-methyl-1-hepten-6-one | 929 | A, B | - | - | 2.1 ± 0.1 | - | - |
| 3-octen-2-one | 979 | A, B | Earthy, oily, sweet | - | 2.2 ± 0.1 | - | [29] |
| (E,Z)-3,5-octadien-2-one | 1002 | A, B, D | Fatty, fruity, hay, green | 1.4 ± 0.1 | 1.7 ± 0.1 | 0.06 | [25,39] |
| acetophenone | 1013 | A, B | - | - | 0.17 | - | - |
| (E,E)-3,5-octadien-2-one | 1019 | A, B, D | Fruity, green, grassy | 0.62 | 1.3 ± 0.1 | - | [25] |
| Esters | |||||||
| ethyl acetate | 612 | A, B | Fruity, pineapple, apricot | - | - | 24 ± 0.4 | [22,25] |
| 3-methylcyclopentyl acetate | 883 | A, B | - | 5.1 ± 0.2 | 4.9 ± 0.1 | - | - |
| Terpenes and derivatives | |||||||
| 6-methyl-5-hepten-2-one | 940 | A, B | Fruity, apple, must, creamy | 81 ± 0.6 | 120 ± 0.7 | 10 ± 0.3 | [22,24,25,26,28,30,40] |
| 6-methyl-5-hepten-2-ol | 946 | A, B | Sweet, coriander, green, oily | - | 0.53 | 0.08 | [24,26,29,32] |
| β-terpinene | 944 | A, B | - | 2.2 ± 0.1 | - | - | [41] |
| γ-terpinene | 970 | A, B | Terpenic, sweet, citrus | 0.25 | - | - | [41] |
| cymene | 979 | A, B | Bitter, woody, citrus | 1.0 | - | - | [42] |
| limonene | 984 | A, B | Citrus, orange, sweet, fresh | 133 ± 0.9 | - | - | [24,25,31,41] |
| citronellol | 990 | A, B | Floral, rose, sweet, citrus | 3.8 ± 0.1 | - | - | - |
| linalool oxide | 1010 | A, B | Woody, floral, fresh | 0.52 | 0.30 | - | [41] |
| linalool | 1021 | A, B | Citrus, orange, floral, waxy | 2.7 ± 0.1 | - | - | [41] |
| 6-methyl-3,5-heptadien-2-one | 1025 | A, B | Sweet, green, spicy, fresh | 2.3 ± 0.1 | 1.6 ± 0.1 | 0.16 | - |
| 4-terpineol | 1035 | A, B | Woody, citrus, spicy | - | 0.27 | - | - |
| cymen-3-ol | 1041 | A, B | Spicy, phenolic, camphor | - | 0.52 | - | - |
| α-cyclocitral | 1051 | A, B | Saffron, tropical, grass, fruity | - | 0.35 | - | - |
| isocitral | 1073 | A, B | - | 0.81 | - | - | - |
| borneol | 1084 | A, B | Balsamic, woody, camphor | 1.8 ± 0.1 | - | - | - |
| α-terpineol | 1097 | A, B | Pine, woody, resinous, citrus | 0.58 | - | - | [41] |
| 5-isopropenyl-2-methyl cyclo-pent-1-enecarboxaldehyde | 1106 | A, B | - | 1.7 ± 0.1 | 0.25 | 0.25 | - |
| 2,3-epoxygeranial | 1110 | A, B | - | 6.1 ± 0.2 | 1.1 ± 0.1 | - | [32,40] |
| β-cyclocitral | 1113 | A, B | Saffron, tropical, grass, fruity | - | 2.6 ± 0.1 | 0.29 | [23,24,25,26,40,41,42,43,44] |
| β-citral | 1116 | A, B | Fresh, lemon, sweet, green | 8.5 ± 0.2 | - | - | [23,24,25,27,28,29,40,44] |
| 1,4-dimethyl-3-cyclohexen-1-carboxaldehyde | 1121 | A, B | - | 0.76 | 0.14 | - | - |
| α-citral | 1132 | A, B | Tea, fresh, mint, fruity | 9.0 ± 0.2 | 0.38 | 0.12 | [24,27,28,29,32,33,40,43] |
| β-homocyclocitral | 1140 | A, B | Camphor, fresh, woody | 0.47 | 0.92 | 0.07 | - |
| isopulegol | 1154 | A, B | Mint, fresh, grass | 0.83 | - | - | - |
| isocitral | 1180 | A, B | - | 0.22 | - | - | - |
| cubebene | 1217 | A, B | Grass, waxy | 0.14 | - | - | - |
| α-Ionone | 1236 | A, B | Sweet, wood, floral, fruity | - | 0.22 | - | [24] |
| geranylacetone | 1237 | A, B | Rose, fresh, leaf, floral, green | 18 ± 0.4 | 0.73 | 0.11 | [23,24,25,26,27,28,29,30,40] |
| β-ionone | 1266 | A, B | Sweet, wood, violet, floral | 3.6 ± 0.1 | 1.6 ± 0.1 | 0.08 | [23,24,25,26,33,43,44] |
| 5,6-β-ionone epoxide | 1269 | A, B | Fruity, sweet, wood, violet | 0.58 | 0.49 | - | [23,27,28,33,41] |
| dihydroactinidiolide | 1309 | A, B | Apricot, red, fruit, wood | 0.76 | 0.84 | - | [40,41,42,43] |
| Others | |||||||
| 2-methyl furan | 604 | A, B | Ethereal, vinegar, chocolate | 0.18 | 9.0 ± 0.2 | - | - |
| 3-methyl furan | 615 | A, B | - | 0.20 | - | - | - |
| 2-ethyl furan | 706 | A, B | Sweet, malty, earthy | 0.35 | - | - | [29] |
| dimethyl disulfide | 755 | A, B | Cabbage, vegetable, sulphur | - | - | 0.21 | - |
| furfural | 828 | A, B | Sweet, bread, caramel | - | - | 0.32 | [30] |
| 2-n-butyl furan | 875 | A, B | Faint, fruity, sweet | - | 0.80 | - | - |
| methional | 887 | A, B | Tomato, potato, yeast | 0.78 | - | - | - |
| 2,4-dimethyl phenol | 905 | A, B | Dark, roast, smoked | 0.49 | 0.88 | 0.10 | - |
| 2-pentyl furan | 947 | A, B | Green, waxy, caramel | 7.6 ± 0.2 | 19 ± 0.4 | 0.45 | [21,24,25,27,31] |
| 2-(2-pentenyl) furan | 953 | A, B | - | 2.3 ± 0.1 | 0.69 | - | [30] |
| 5-hydroxy-2-methyl-3-hexenoic acid | 1193 | A, B | - | 0.44 | - | - | - |
| 5-heptildihydro-2(3H)-furanone | 1196 | A, B | - | 0.22 | - | - | - |
| 2-methyl propanoic acid, 3-hydroxy-2,2,4-trimethyl pentyl ester | 1202 | A, B | - | 0.59 | - | - | - |
| Compound Class | G_WDF | AM_WDF | CS_WDF | p-Value |
|---|---|---|---|---|
| ± SD(3) | ± SD(3) | ± SD(3) | ||
| ALC (alcohols) | 7.8 ± 0.8 | 15.0 ± 1.6 | 15.3 ± 1.7 | <0.05 |
| ALD (aldehydes) | 23.3 ± 1.8 | 35.1 ± 2.7 | 19.8 ± 1.6 | <0.05 |
| KET (ketones) | 2.7 ± 0.5 | 15.5 ± 1.0 | 12.3 ± 0.8 | <0.05 |
| ACE (acetate esters) | 1.1 ± 0.2 | 0.9 ± 0.1 | 32.7 ± 2.9 | <0.05 |
| TER (terpenes) | 59.2 ± 3.1 | 25 ± 1.9 | 15.3 ± 1.7 | <0.05 |
| OTH (other compounds) | 2.8 ± 0.4 | 5.7 ± 0.5 | 1.5 ± 0.3 | <0.05 |
Publisher’s Note: MDPI stays neutral with regard to jurisdictional claims in published maps and institutional affiliations. |
© 2022 by the authors. Licensee MDPI, Basel, Switzerland. This article is an open access article distributed under the terms and conditions of the Creative Commons Attribution (CC BY) license (https://creativecommons.org/licenses/by/4.0/).
Share and Cite
Maletti, L.; D’Eusanio, V.; Durante, C.; Marchetti, A.; Tassi, L. VOCs Analysis of Three Different Cultivars of Watermelon (Citrullus lanatus L.) Whole Dietary Fiber. Molecules 2022, 27, 8747. https://doi.org/10.3390/molecules27248747
Maletti L, D’Eusanio V, Durante C, Marchetti A, Tassi L. VOCs Analysis of Three Different Cultivars of Watermelon (Citrullus lanatus L.) Whole Dietary Fiber. Molecules. 2022; 27(24):8747. https://doi.org/10.3390/molecules27248747
Chicago/Turabian StyleMaletti, Laura, Veronica D’Eusanio, Caterina Durante, Andrea Marchetti, and Lorenzo Tassi. 2022. "VOCs Analysis of Three Different Cultivars of Watermelon (Citrullus lanatus L.) Whole Dietary Fiber" Molecules 27, no. 24: 8747. https://doi.org/10.3390/molecules27248747
APA StyleMaletti, L., D’Eusanio, V., Durante, C., Marchetti, A., & Tassi, L. (2022). VOCs Analysis of Three Different Cultivars of Watermelon (Citrullus lanatus L.) Whole Dietary Fiber. Molecules, 27(24), 8747. https://doi.org/10.3390/molecules27248747

