A Network-Pharmacology-Combined Integrated Pharmacokinetic Strategy to Investigate the Mechanism of Potential Liver Injury due to Polygonum multiflorum
Abstract
1. Introduction
2. Results
2.1. Method Validation
2.1.1. Specificity
2.1.2. Linearity
2.1.3. Precision and Accuracy
2.1.4. Extraction Recovery and Matrix Effect
2.1.5. Stability
2.2. Compound Profile of PM
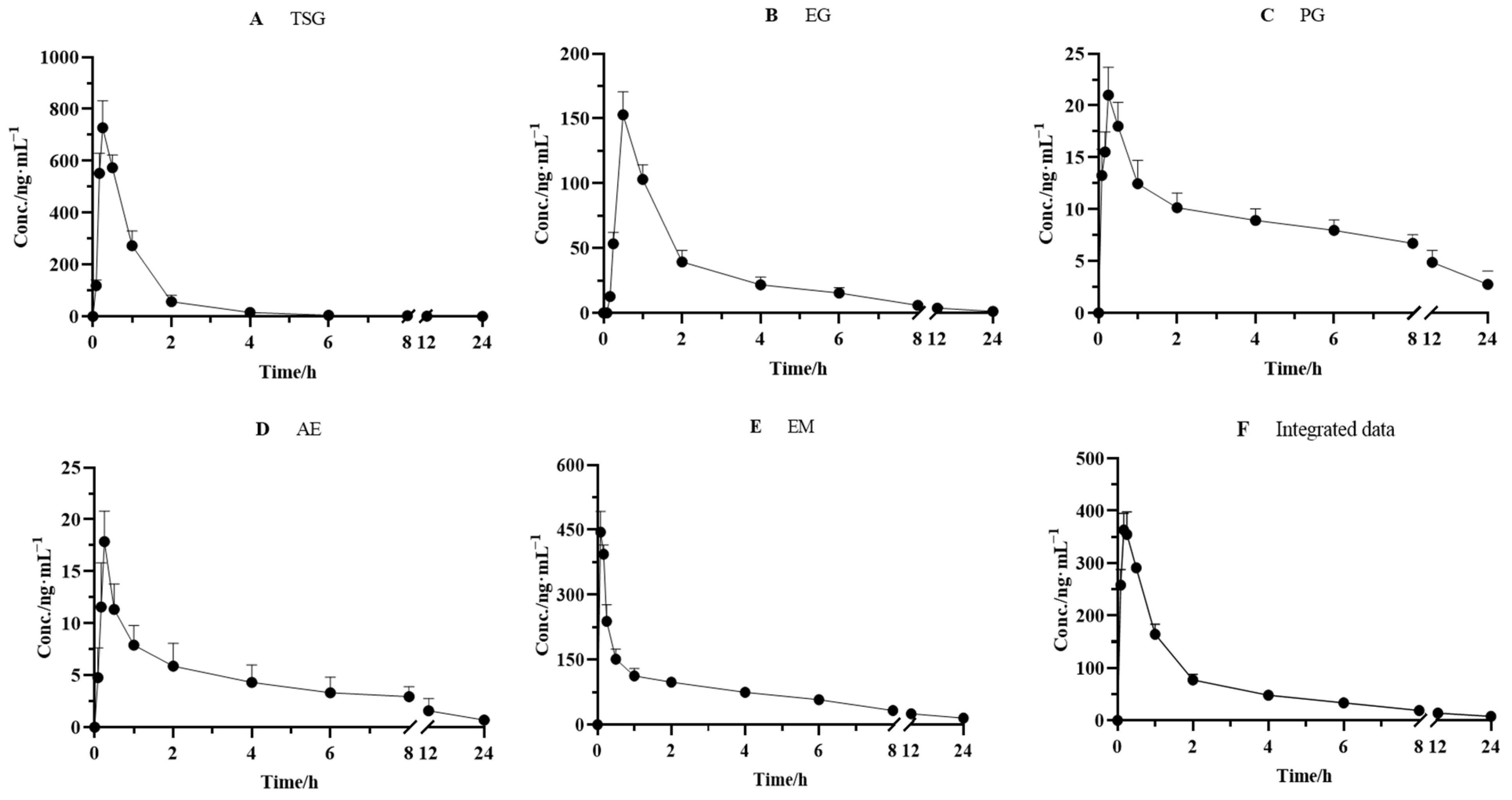
2.3. Integrated Pharmacokinetics
2.4. Compound Target Liver Injury Network Analysis
2.5. Verification by Molecular Docking
3. Discussion
4. Materials and Methods
4.1. Chemicals and Reagents
4.2. PM Preparation
4.3. Animals
4.4. Instrumentation and HPLC-QQQ-MS Conditions
4.5. Preparation of Standard Solutions and Quality Control (QC) Samples
4.6. Plasma Sample Preparation
4.7. Bioanalytical Method Validation
4.7.1. Specificity
4.7.2. Linearity and Lower Limit of Quantitation (LLOQ)
4.7.3. Precision and Accuracy
4.7.4. Extraction Recovery and Matrix Effect
4.7.5. Stability
4.8. Integrated Pharmacokinetic Application
4.9. Network Pharmacology
5. Conclusions
Author Contributions
Funding
Institutional Review Board Statement
Informed Consent Statement
Data Availability Statement
Acknowledgments
Conflicts of Interest
Sample Availability
References
- Liu, X.; Yang, C.Y.; Deng, Y.; Liu, P.; Yang, H.Q.; Du, X.S.; Du, Y. Polygoni Multiflori Radix Preparat Delays Skin Aging by Inducing Mitophagy. Biomed. Res. Int. 2021, 13, 5847153. [Google Scholar] [CrossRef] [PubMed]
- Thiruvengadam, M.; Praveen, N.; Kim, E.H.; Kim, S.H.; Chung, I.M. Production of anthraquinones, phenolic compounds and biological activities from hairy root cultures of Polygonum multiflorum Thunb. Protoplasma 2014, 251, 555–566. [Google Scholar] [CrossRef] [PubMed]
- Lv, L.S.; Tang, J.; Tang, C.H. Chemical studies of the antioxidant mechanism of stilbene glucose from polygonum multiflorum thunb: Radical reaction products of stilbene glucosides with DPPH. Food Mach. 2007, 5, 93–97. [Google Scholar] [CrossRef]
- Lin, L.F.; Ni, B.; Lin, H.M.; Zhang, M.; Li, X.C.; Yin, X.B.; Qu, C.H.; Ni, J. Traditional usages, botany, phytochemistry, pharmacology and toxicology of Polygonum multiflorum Thunb.: A review. J. Ethnopharmacol. 2015, 15, 158–183. [Google Scholar] [CrossRef] [PubMed]
- Xian, Z.; Liu, Y.; Xu, W.J.; Duan, F.P.; Guo, Z.H.; Xiao, H.B. The Anti-hyperlipidemia Effects of Raw Polygonum multiflorum Extract in Vivo. Biol. Pharm. Bull. 2017, 40, 1839–1845. [Google Scholar] [CrossRef][Green Version]
- Chinese Pharmacopeia Commission. Chinese Pharmacopoeia; China Medical Science Press: Beijing, China, 2009; Volume 75, pp. 175–177. [Google Scholar]
- Dong, H.H.; Slain, D.; Cheng, J.C.; Ma, W.H.; Liang, W.F. Eighteen cases of liver injury following ingestion of Polygonum multiflorum. Complement. Ther. Med. 2014, 22, 70–74. [Google Scholar] [CrossRef]
- Wu, X.Q.; Chen, X.Z.; Huang, Q.C.; Fang, D.W.; Li, G.Y.; Zhang, G.L. Toxicity of raw and processed roots of Polygonum multiflorum. Fitoterapia 2012, 83, 469–475. [Google Scholar] [CrossRef]
- Chan, Y.C.; Wang, M.F.; Chen, Y.C.; Yang, D.Y.; Lee, M.S.; Cheng, F.C. Long-term administration of Polygonum multiflorum Thunb. reduces cerebral ischemia-induced infarct volume in gerbils. Am. J. Chin. Med. 2003, 31, 71–77. [Google Scholar] [CrossRef]
- Tujios, S.; Fontana, R.J. Mechanisms of drug-induced liver injury: From bedside to bench. Nat. Rev. Gastroenterol. Hepatol. 2011, 8, 202–211. [Google Scholar] [CrossRef]
- Li, C.Y.; Tu, C.; Gao, D.; Wang, R.L.; Zhang, H.Z.; Niu, M.; Li, R.Y.; Zhang, C.E.; Li, R.S.; Xiao, X.H.; et al. Metabolomic Study on Idiosyncratic Liver Injury Induced by Different Extracts of Polygonum multiflorum in Rats Integrated with Pattern Recognition and Enriched Pathways Analysis. Front. Pharmacol. 2016, 15, 483. [Google Scholar] [CrossRef]
- Zhang, M.; Lin, L.F.; Lin, H.M.; Qu, C.H.; Yan, L.; Ni, J. Interpretation the Hepatotoxicity Based on Pharmacokinetics Investigated Through Oral Administrated Different Extraction Parts of Polygonum multiflorum on Rats. Front. Pharmacol. 2018, 25, 505. [Google Scholar] [CrossRef] [PubMed]
- Wang, Y.; Xu, C.H.; Wang, P.; Lin, X.Y.; Yang, Y.; Li, D.H.; Li, H.F.; Wu, X.Z.; Liu, H.B. Pharmacokinetic comparisons of different combinations of Shaoyao-Gancao-Decoction in rats: Simultaneous determination of ten active constituents by HPLC-MS/MS. J. Chromatogr. B Analyt. Technol. Biomed. Life Sci. 2013, 1, 76–87. [Google Scholar] [CrossRef] [PubMed]
- Zhao, Y.Y.; Zhang, L.; Feng, Y.L.; Chen, D.Q.; Xi, Z.H.; Du, X.; Bai, X.; Lin, R.C. Pharmacokinetics of 2,3,5,4′-tetrahydroxystilbene-2-O-β-D-glucoside in rat using ultra-performance LC-quadrupole TOF-MS. J. Sep. Sci. 2013, 36, 863–871. [Google Scholar] [CrossRef] [PubMed]
- Feng, S.X.; Li, M.M.; Li, C.; Li, X.H.; Wang, Z.; Zhang, L.; Gao, N.N. Determination of emodin in plasma by HPLC-MS and its pharmacokinetic study in rats. Chin. Tradit. Herb. Drugs 2017, 48, 1971–1976. [Google Scholar]
- Li, X.Y.; Sun, J.G.; Wang, G.J.; Hao, H.P.; Yan, L.; Zheng, Y.T.; Yan, B.; Sheng, L.S. Simultaneous determination of panax notoginsenoside R1, ginsenoside Rg1, Rd, Re and Rb1 in rat plasma by HPLC/ESI/MS: Platform for the pharmacokinetic evaluation of total panax notoginsenoside, a typical kind of multiple constituent traditional Chinese medicine. Biomed. Chromatogr. 2007, 21, 735–746. [Google Scholar] [CrossRef] [PubMed]
- Huang, J.Y.; Su, Y.; Yang, C.L.; Li, S.G.; Wu, Y.J.; Chen, B.; Lin, X.H.; Huang, L.; Yao, H.; Shi, P.Y. An integrated pharmacokinetic study of Dengzhanxixin injection in rats by combination of multicomponent pharmacokinetics and anti-myocardial ischemic assay. RSC Adv. 2019, 9, 25309–25317. [Google Scholar] [CrossRef]
- Qian, P.; Zhang, Y.B.; Yang, Y.F.; Xu, W.; Yang, X.W. Pharmacokinetics Studies of 12 Alkaloids in Rat Plasma after Oral Administration of Zuojin and Fan-Zuojin Formulas. Molecules 2017, 22, 214. [Google Scholar] [CrossRef]
- Xiong, F.; Wang, H.; Jiang, Z.Z.; Huo, M.R.; Yan, C.Y.; Zheng, C.L.; Gu, N. Integrated pharmacokinetics and biodistribution of multiple flavonoid C-glycosides components in rat after oral administration of Abrus mollis extract and correlations with bio-effects. J. Ethnopharmacol. 2015, 163, 290–296. [Google Scholar] [CrossRef]
- Cheng, W.H.; Wu, S.Y.; Yuan, Z.; Hu, W.Y.; Yu, X.; Kang, N.X.; Wang, Q.T.; Zhu, M.Y.; Xia, K.X.; Yang, W.; et al. Pharmacokinetics, Tissue Distribution, and Excretion Characteristics of a Radix Polygoni Multiflori Extract in Rats. Front. Pharmacol. 2022, 21, 827668. [Google Scholar] [CrossRef]
- Cheng, W.H.; Li, Y.H.; Yang, W.; Wu, S.Y.; Wei, M.M.; Gao, Y.; Kang, C.; Zhang, S.F.; Li, Y.F. Simultaneous Determination of 13 Constituents of Radix Polygoni Multiflori in Rat Plasma and Its Application in a Pharmacokinetic Study. Int. J. Anal. Chem. 2020, 3, 4508374. [Google Scholar] [CrossRef]
- Ma, N.H.; Zhang, Y.; Sun, L.Y.; Zhao, Y.; Ding, Y.; Zhang, T. Comparative Studies on Multi-Component Pharmacokinetics of Polygonum multiflorum Thunb Extract After Oral Administration in Different Rat Models. Front. Pharmacol. 2021, 17, 655332. [Google Scholar] [CrossRef]
- Yan, L.; He, X.Y.; Gao, Y.; Xiang, H.; Xu, X.P.; Huang, S.; Yan, D.L.; Qin, X.M.; Tian, J.S. An exploration into mechanism of leukocyte elevation activity of Lvjiao Buxue granules based on network pharmacology. Acta Pharmacol. Sin. 2018, 53, 1660–1669. [Google Scholar] [CrossRef]
- Ding, M.Y.; Ma, W.F.; Wang, X.Y.; Chen, S.J.; Zou, S.H.; Wei, J.N.; Yang, Y.Q.; Li, J.; Yang, X.J.; Wang, H.; et al. A network pharmacology integrated pharmacokinetics strategy for uncovering pharmacological mechanism of compounds absorbed into the blood of Dan-Lou tablet on coronary heart disease. J. Ethnopharmacol. 2019, 5, 112055. [Google Scholar] [CrossRef]
- Xia, Z.X.; Lv, L.; Di, X.M.; Xue, J.Y.; Gao, Z.; Zhang, G.Q.; Zhang, H. The compatibility of six alkaloids in ermiao pill explored by a comparative pharmacokinetic and network pharmacological study. Biomed. Chromatogr. 2019, 33, e4509. [Google Scholar] [CrossRef]
- Jia, Z.X.; Liu, L.R.; Liu, J.; Fang, C.; Pan, M.X.; Zhang, J.X.; Li, Y.T.; Xian, Z.; Xiao, H.B. Assessing potential liver injury induced by Polygonum multiflorum using potential biomarkers via targeted sphingolipidomics. Pharm. Biol. 2022, 60, 1578–1590. [Google Scholar] [CrossRef] [PubMed]
- Li, J.S.; Zhang, Y.; Liu, S.R.; Li, W.J.; Sun, Y.; Cao, H.; Wang, S.M.; Meng, J. A network pharmacology integrated pharmacokinetics strategy to investigate the pharmacological mechanism of absorbed components from crude and processed Zingiberis Rhizoma on deficiency-cold and hemorrhagic syndrome. J. Ethnopharmacol. 2022, 1, 115754. [Google Scholar] [CrossRef] [PubMed]
- Rao, T.; Liu, Y.T.; Zeng, X.C.; Li, C.P.; Ou-Yang, D.S. The hepatotoxicity of Polygonum multiflorum: The emerging role of the immune-mediated liver injury. Acta Pharmacol. Sin. 2021, 42, 27–35. [Google Scholar] [CrossRef] [PubMed]
- Li, C.P.; Rao, T.; Chen, X.P.; Zou, Z.S.; Wei, A.W.; Tang, J.F.; Xiong, P.; Li, P.Y.; Jing, J.; He, T.T.; et al. HLA-B*35:01 Allele Is a Potential Biomarker for Predicting Polygonum multiflorum-Induced Liver Injury in Humans. Hepatology 2019, 70, 346–357. [Google Scholar] [CrossRef] [PubMed]
- Lei, X.; Chen, J.; Ren, J.T.; Li, Y.; Zhai, J.B.; Mu, W.; Zhang, L.; Zheng, W.K.; Tian, G.H.; Shang, H.C. Liver damage associated with Polygonum multiflorum. Thunb.: A systematic reviewof case reports and case series. Evid. Based Complement. Altern. Med. 2015, 2015, 459749. [Google Scholar] [CrossRef]
- Zhu, Y.; Liu, S.H.; Wang, J.B.; Song, H.B.; Li, Y.G.; He, T.T.; Ma, X.; Wang, Z.X.; Wang, L.P.; Zhou, K.; et al. Clinical analysis of drug-induced liver injury caused by Polygonum multiflorum and its preparations. Chin. Arch. Tradit. Chin. Med. 2013, 35, 1133–1134. [Google Scholar]
- Chen, S.X.; Fan, P.; He, W.X.; Jiang, J.; Xiong, Z.Y. Clinical Analysis of drug-induced liver injury caused by Polygonum mul-tiflorum. Chin. J. Dig. Med. Imageology 2012, 2, 266–268. [Google Scholar]
- Xu, J.; Wang, M.R.; He, C.L.; Sui, Y.H.; Qiao, F. Liver in jury by peroral Polygonum multiflorum: Ananalysis of 40 cases. Mil. Med. J. Southeast. Chin. 2009, 11, 209–210. [Google Scholar]
- Yang, J.B.; Li, W.F.; Liu, Y.; Wang, Q.; Cheng, X.L.; Wei, F.; Wang, A.G.; Jin, H.T.; Ma, S.C. Acute toxicity screening of differ-ent extractions, components and constituents of Polygonum multiflorum Thunb. on zebrafish (Danio rerio) embryos in vivo. Biomed. Pharmacother. 2018, 99, 205–213. [Google Scholar] [CrossRef]
- Xia, X.H.; Yuan, Y.Y.; Liu, M. The assessment of the chronic hepatotoxicity induced by Polygoni Multiflori Radix in ratsA pilot study by using untargeted metabolomics method. J. Ethnopharmacol. 2017, 203, 182–190. [Google Scholar] [CrossRef] [PubMed]
- Huang, W.; Zhang, Y.N.; Sun, R. Experimental study on the “dose-time-toxicity” relationship of acute hepatotoxicity induced by different components from Polygoni multiflorum in mice. Chin. J. Pharmacovigil. 2011, 8, 193–197. [Google Scholar]
- Zhang, L.; Liu, X.Y.; Tu, C.; Li, C.Y.; Song, D.; Zhu, J.X.; Zhou, Y.Y.; Wang, X.H.; Li, R.S.; Xiao, X.H.; et al. Components synergy between stilbenes and emodin derivatives contributes to hepatotoxicity induced by Polygonum multiflorum. Xenobiotica 2020, 50, 515–525. [Google Scholar] [CrossRef] [PubMed]
- Han, L.F.; Wang, P.; Wang, Y.L.; Zhao, Q.Y.; Zheng, F.; Dou, Z.Y.; Yang, W.Z.; Hu, L.M.; Liu, C.X. Rapid Discovery of the Potential Toxic Compounds in Polygonum multiflorum by UHPLC/Q-Orbitrap-MS-Based Metabolomics and Correlation Analysis. Front. Pharmacol. 2019, 16, 329. [Google Scholar] [CrossRef]
- Wang, X.; Ding, Z.F.; Ma, K.Q.; Sun, C.; Zheng, X.J.; You, Y.T.; Zhang, S.Y.; Peng, Y.; Zheng, J. Cysteine-Based Protein Covalent Binding and Hepatotoxicity Induced by Emodin. Chem. Res. Toxicol. 2022, 35, 293–302. [Google Scholar] [CrossRef]
- Zheng, X.Y.; Yang, S.M.; Zhang, R.; Wang, S.M.; Li, G.B.; Zhou, S.W. Emodin-induced autophagy against cell apoptosis through the PI3K/AKT/mTOR pathway in human hepatocytes. Drug Des. Dev. Ther. 2019, 3, 3171–3180. [Google Scholar] [CrossRef]
- Shariati, M.; Meric-Bernstam, F. Targeting AKT for cancer therapy. Expert Opin. Investig. Drugs 2019, 28, 977–988. [Google Scholar] [CrossRef]
- Huang, X.J.; Liu, G.H.; Guo, J.; Su, Z.Q. The PI3K/AKT pathway in obesity and type 2 diabetes. Int. J. Biol. Sci. 2018, 14, 1483–1496. [Google Scholar] [CrossRef] [PubMed]
- Häggblad, S.S.; Mortensen, A.C.; Haglöf, J.; Engskog, M.K.; Arvidsson, T.; Pettersson, C.; Glimelius, B.; Stenerlöw, B.; Nestor, M. Different functions of AKT1 and AKT2 in molecular pathways, cell migration and metabolism in colon cancer cells. Int. J. Oncol. 2017, 50, 5–14. [Google Scholar] [CrossRef]
- Wang, M.Q.; Zhang, J.; Gong, N.Q. Role of the PI3K/Akt signaling pathway in liver ischemia reperfusion injury: A narrative review. Ann. Palliat. Med. 2022, 11, 806–817. [Google Scholar] [CrossRef]
- Center for Drug Evaluation and Research; Center for Veterinary Medicine. Guidance for Industry: Bioanalytical Method Validation; U.S. Department of Health and Human Services, Food and Drug Administration: Rockville, MD, USA, 2018. [Google Scholar]
- Li, X.Y.; Hao, H.P.; Wang, G.J.; Sun, J.G.; Liang, Y.; Xie, L.; Zheng, Y.T.; Yan, B. Integrated Pharmacokinetic Study of Multiple Effective Components Contained in Total Panax Notoginsenosides. Chin. J. Nat. Med. 2008, 6, 377–381. [Google Scholar] [CrossRef]
- Szklarczyk, D.; Gable, A.L.; Lyon, D.; Junge, A.; Wyder, S.; Huerta-Cepas, J.; Simonovic, M.; Doncheva, N.T.; Morris, J.H.; Bork, P.; et al. STRING v11: Protein-protein association networks with increased coverage, supporting functional discovery in genome-wide experimental datasets. Nucleic Acids Res. 2019, 4, D607–D613. [Google Scholar] [CrossRef] [PubMed]
- Shen, X.; Ren, D.; Gao, J.; Zhang, G.; Wang, Y.H.; Peng, L.; Pei, S. The molecular mechanism of strok treatment by Longmai Ningfang based on network pharmacology. Acta Pharm. 2019, 54, 1588–1596. [Google Scholar] [CrossRef]






| Analytes | Linear Range (ng/mL) | Regression Equation | Correlation Coefficient (r) | LLOQ (ng/mL) |
|---|---|---|---|---|
| TSG | 0.500~800 | y = 0.7675x + 0.0034 | 0.9985 | 0.500 |
| EG | 0.125~200 | y = 2.7659x + 0.0067 | 0.9976 | 0.125 |
| PG | 0.500~800 | y = 8.2713x + 0.0198 | 0.9992 | 0.500 |
| AE | 0.500~800 | y = 0.2659x + 0.0012 | 0.9951 | 0.500 |
| EM | 0.500~800 | y = 0.6200x + 0.0700 | 0.9968 | 0.500 |
| Analytes | Spiked Conc. (ng/mL) | Intra-Day | Inter-Day | ||
|---|---|---|---|---|---|
| RSD (%) | Re (%) | RSD (%) | Re (%) | ||
| TSG | 10.0 | 11.0 | 96.81 | 6.59 | 89.83 |
| 200 | 2.97 | 94.06 | 8.70 | 92.50 | |
| 640 | 5.06 | 92.81 | 5.85 | 88.73 | |
| EG | 2.50 | 8.12 | 96.56 | 18.6 | 97.57 |
| 50.0 | 4.43 | 95.66 | 10.9 | 105.6 | |
| 160 | 4.98 | 91.12 | 4.69 | 88.95 | |
| PG | 10.0 | 6.99 | 100.2 | 15.6 | 87.64 |
| 200 | 10.1 | 97.83 | 5.86 | 92.58 | |
| 640 | 4.37 | 98.976 | 9.23 | 95.36 | |
| AE | 10.0 | 7.25 | 91.25 | 11.5 | 90.19 |
| 200 | 7.39 | 88.99 | 5.76 | 88.12 | |
| 640 | 5.20 | 92.35 | 9.31 | 89.65 | |
| EM | 10.0 | 5.97 | 94.00 | 12.4 | 97.56 |
| 200 | 1.39 | 100.9 | 6.31 | 92.65 | |
| 640 | 6.26 | 92.84 | 10.6 | 98.39 | |
| Analytes | Spiked Conc. (ng/mL) | Extraction Recovery | Matrix Effect | ||
|---|---|---|---|---|---|
| RSD (%) | Re (%) | RSD (%) | Re (%) | ||
| TSG | 10.0 | 11.4 | 107.8 | 8.58 | 99.00 |
| 200 | 4.89 | 103.5 | 6.29 | 94.40 | |
| 640 | 4.76 | 97.73 | 1.29 | 86.50 | |
| EG | 2.50 | 11.9 | 102.8 | 10.1 | 99.30 |
| 50.0 | 2.72 | 99.31 | 8.80 | 100.5 | |
| 160 | 4.30 | 97.79 | 4.16 | 92.00 | |
| PG | 10.0 | 12.6 | 95.61 | 8.46 | 87.61 |
| 200 | 9.88 | 91.38 | 9.28 | 95.38 | |
| 640 | 7.69 | 99.01 | 8.72 | 94.27 | |
| AE | 10.0 | 9.17 | 85.36 | 10.3 | 98.72 |
| 200 | 6.52 | 90.31 | 7.90 | 90.19 | |
| 640 | 3.28 | 95.27 | 6.92 | 96.97 | |
| EM | 10.0 | 5.83 | 99.64 | 1.71 | 94.50 |
| 200 | 2.77 | 111.5 | 6.09 | 107.3 | |
| 640 | 2.32 | 105.7 | 4.17 | 90.70 | |
| Analytes | Spiked Conc. (ng/mL) | 4 °C, 48 h | −80 °C, 10 Days | Three Freeze–Thaw Cycles | |||
|---|---|---|---|---|---|---|---|
| RSD (%) | Re (%) | RSD (%) | Re (%) | RSD (%) | Re (%) | ||
| TSG | 10.0 | 3.50 | 100.1 | 5.46 | 97.92 | 7.38 | 91.38 |
| 200 | 8.40 | 92.13 | 1.77 | 95.95 | 3.69 | 95.27 | |
| 640 | 3.16 | 97.86 | 3.70 | 92.72 | 3.27 | 99.01 | |
| EG | 2.50 | 3.84 | 104.2 | 4.50 | 105.4 | 9.88 | 94.39 |
| 50.0 | 11.9 | 93.92 | 2.90 | 103.6 | 5.61 | 96.21 | |
| 160 | 4.43 | 94.28 | 1.62 | 96.66 | 5.09 | 91.37 | |
| PG | 10.0 | 13.7 | 98.55 | 12.7 | 90.14 | 10.9 | 88.21 |
| 200 | 5.28 | 90.36 | 9.81 | 94.69 | 6.90 | 94.08 | |
| 640 | 9.29 | 92.41 | 9.95 | 96.88 | 5.24 | 98.03 | |
| AE | 10.0 | 5.39 | 94.77 | 6.28 | 90.27 | 4.33 | 90.50 |
| 200 | 7.77 | 97.05 | 8.21 | 89.62 | 4.29 | 91.44 | |
| 640 | 8.91 | 90.21 | 7.76 | 100.1 | 6.18 | 96.94 | |
| EM | 10.0 | 7.16 | 86.36 | 2.20 | 97.48 | 8.27 | 96.37 |
| 200 | 6.25 | 92.05 | 1.38 | 99.40 | 4.14 | 98.71 | |
| 640 | 9.50 | 85.19 | 2.14 | 111.7 | 4.53 | 99.10 | |
| Parameters | TSG | EG | PG | AE | EM | Integrated Data |
|---|---|---|---|---|---|---|
| T1/2z (h) | 2.22 ± 1.34 | 6.47 ± 1.91 | 12.3 ± 10.1 | 6.42 ± 2.17 | 11.1 ± 5.22 | 9.09 ± 4.05 |
| Cmax (ng/mL) | 728.0 ± 104.0 | 152.8 ± 17.97 | 20.01 ± 2.692 | 17.86 ± 2.940 | 388.2 ± 32.06 | 368.6 ± 33.37 |
| Tmax (h) | 0.25 ± 0.00 | 0.50 ± 0.00 | 0.25 ± 0.00 | 0.25 ± 0.00 | 0.17 ± 0.00 | 0.19 ± 0.041 |
| AUC0–t (ng h/mL) | 757.7 ± 58.88 | 333.5 ± 39.74 | 146.3 ± 19.40 | 64.54 ± 9.397 | 1021 ± 142.3 | 833.0 ± 77.63 |
| AUC0–∞ (ng h/mL) | 758.2 ± 58.60 | 345.8 ± 48.45 | 205.0 ± 95.62 | 70.28 ± 13.85 | 1041 ± 300.2 | 914.7 ± 126.5 |
| MRT0–t (h) | 1.215 ± 0.1820 | 3.735 ± 0.5270 | 8.415 ± 1.015 | 6.503 ± 1.423 | 6.822 ± 0.5450 | 4.958 ± 0.4720 |
| MRT0–∞ (h) | 1.232 ± 0.2030 | 4.759 ± 1.224 | 17.65 ± 13.90 | 8.574 ± 3.019 | 12.71 ± 5.092 | 7.955 ± 2.969 |
| Vz/F (L/kg) | 2005 ± 1274 | 379.1 ± 95.41 | 242.1 ± 71.82 | 407.3 ± 113.3 | 152.1 ± 51.54 | 7024 ± 2524 |
| CLz/F (kg L/h) | 617.8 ± 46.15 | 41.30 ± 5.423 | 17.38 ± 6.193 | 45.36 ± 7.850 | 10.25 ± 2.540 | 554.1 ± 78.31 |
| Name | TSG | EG | PG | AE | EM |
|---|---|---|---|---|---|
| AKT1 | 4.84 | 6.68 | 6.54 | 4.46 | 4.01 |
| Analytes | Ion Mode | Transition | Fragmentor (V) | Collision Energy (V) |
|---|---|---|---|---|
| TSG | - | 405.2→243.1 | 145 | 15 |
| EG | - | 431.1→269.1 | 190 | 30 |
| PG | - | 445.2→283.1 | 145 | 30 |
| AE | - | 269.1→240.1 | 135 | 25 |
| EM | - | 269.0→182.0 | 145 | 40 |
| IS | - | 239.0→210.8 | 145 | 30 |
Publisher’s Note: MDPI stays neutral with regard to jurisdictional claims in published maps and institutional affiliations. |
© 2022 by the authors. Licensee MDPI, Basel, Switzerland. This article is an open access article distributed under the terms and conditions of the Creative Commons Attribution (CC BY) license (https://creativecommons.org/licenses/by/4.0/).
Share and Cite
Jia, Z.; Liu, L.; Fang, C.; Pan, M.; Cong, S.; Guo, Z.; Yang, X.; Liu, J.; Li, Y.; Xiao, H. A Network-Pharmacology-Combined Integrated Pharmacokinetic Strategy to Investigate the Mechanism of Potential Liver Injury due to Polygonum multiflorum. Molecules 2022, 27, 8592. https://doi.org/10.3390/molecules27238592
Jia Z, Liu L, Fang C, Pan M, Cong S, Guo Z, Yang X, Liu J, Li Y, Xiao H. A Network-Pharmacology-Combined Integrated Pharmacokinetic Strategy to Investigate the Mechanism of Potential Liver Injury due to Polygonum multiflorum. Molecules. 2022; 27(23):8592. https://doi.org/10.3390/molecules27238592
Chicago/Turabian StyleJia, Zhixin, Lirong Liu, Cong Fang, Mingxia Pan, Shiyu Cong, Zhonghui Guo, Xiaoqin Yang, Jie Liu, Yueting Li, and Hongbin Xiao. 2022. "A Network-Pharmacology-Combined Integrated Pharmacokinetic Strategy to Investigate the Mechanism of Potential Liver Injury due to Polygonum multiflorum" Molecules 27, no. 23: 8592. https://doi.org/10.3390/molecules27238592
APA StyleJia, Z., Liu, L., Fang, C., Pan, M., Cong, S., Guo, Z., Yang, X., Liu, J., Li, Y., & Xiao, H. (2022). A Network-Pharmacology-Combined Integrated Pharmacokinetic Strategy to Investigate the Mechanism of Potential Liver Injury due to Polygonum multiflorum. Molecules, 27(23), 8592. https://doi.org/10.3390/molecules27238592

