The Role of Graphene Oxide in the Exothermic Mechanism of Al/CuO Nanocomposites
Abstract
1. Introduction
2. Results and Discussion
2.1. Formula Optimization
2.1.1. Effect of Al/CuO Equivalence Ratios
2.1.2. Effect of the GO Content
2.2. Optimization of Experimental Conditions
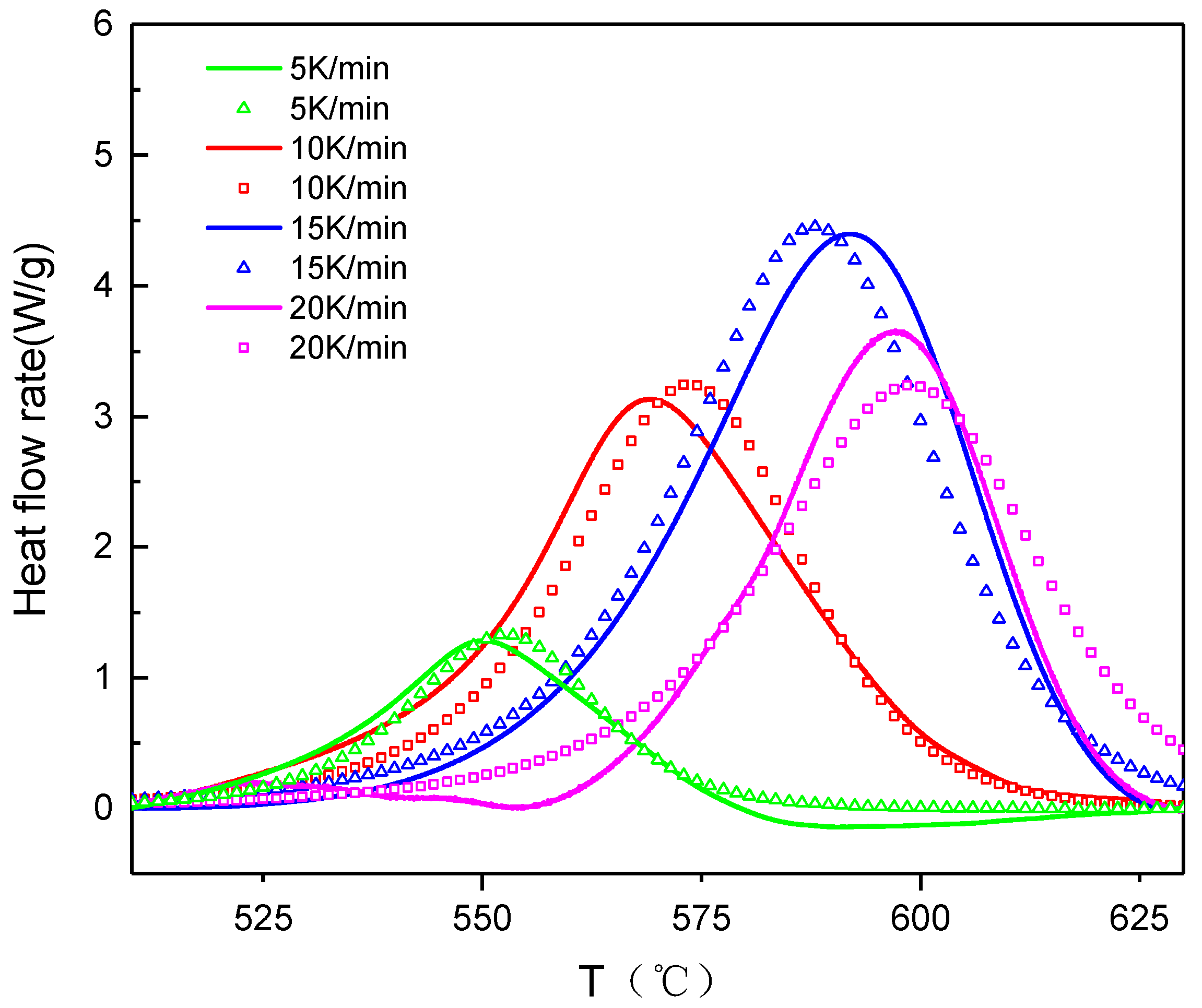
2.3. Thermokinetics Study
2.4. Combustion Performance
3. Experimental
3.1. Materials and Reagents
3.2. Preparation of the Al–CuO/GO
3.3. Characterization of the Al–CuO/GO
3.4. Burning Rate Measurements
4. Conclusions
Author Contributions
Funding
Institutional Review Board Statement
Informed Consent Statement
Data Availability Statement
Acknowledgments
Conflicts of Interest
Sample Availability
References
- He, W.; Ao, W.; Yang, G.; Yang, Z.; Guo, Z.; Liu, P.-J.; Yan, Q.-L. Metastable energetic nanocomposites of MOF-activated aluminum featured with multi-level energy releases. Chem. Eng. J. 2019, 381, 122623. [Google Scholar] [CrossRef]
- Rossi, C.; Zhang, K.; Esteve, D.; Alphonse, P.; Tailhades, P.; Vahlas, C. Nanoenergetic Materials for MEMS: A Review. J. Microelectromechanical Syst. 2007, 16, 919–931. [Google Scholar] [CrossRef]
- Shende, R.; Subramanian, S.; Hasan, S.; Apperson, S.; Thiruvengadathan, R.; Gangopadhyay, K.; Gangopadhyay, S.; Redner, P.; Kapoor, D.; Nicolich, S.; et al. Nanoenergetic Composites of CuO Nanorods, Nanowires, and Al-Nanoparticles. Propellants Explos. Pyrotech. 2008, 33, 122–130. [Google Scholar] [CrossRef]
- Yan, Q.-L.; Cohen, A.; Petrutik, N.; Shlomovich, A.; Burstein, L.; Pang, S.-P.; Gozin, M. Highly insensitive and thermostable energetic coordination nanomaterials based on functionalized graphene oxides. J. Mater. Chem. A 2016, 4, 9941–9948. [Google Scholar] [CrossRef]
- He, W.; Tao, B.; Yang, Z.; Yang, G.; Guo, X.; Liu, P.-J.; Yan, Q.-L. Mussel-inspired polydopamine-directed crystal growth of core-shell n-Al@PDA@CuO metastable intermixed composites. Chem. Eng. J. 2019, 369, 1093–1101. [Google Scholar] [CrossRef]
- Tao, Y.; Zhang, J.; Yang, Y.; Wu, H.; Hu, L.; Dong, X.; Lu, J.; Guo, S. Metastable intermolecular composites of Al and CuO nanoparticles assembled with graphene quantum dots. RSC Adv. 2017, 7, 1718–1723. [Google Scholar] [CrossRef]
- Yan, Q.-L.; Zhao, F.-Q.; Kuo, K.K.; Zhang, X.-H.; Zeman, S.; DeLuca, L.T. Catalytic effects of nano additives on decomposition and combustion of RDX-, HMX-, and AP-based energetic compositions. Prog. Energy Combust. Sci. 2016, 57, 75–136. [Google Scholar] [CrossRef]
- Liu, Y.; Gao, B.; Qiao, Z.; Hu, Y.; Zheng, W.; Zhang, L.; Zhou, Y.; Ji, G.; Yang, G. Gram-Scale Synthesis of Graphene Quantum Dots from Single Carbon Atoms Growth via Energetic Material Deflagration. Chem. Mater. 2015, 27, 4319–4327. [Google Scholar] [CrossRef]
- Lyu, J.-Y.; Chen, S.; He, W.; Zhang, X.-X.; Tang, D.-Y.; Liu, P.-J.; Yan, Q.-L. Fabrication of high-performance graphene oxide doped PVDF/CuO/Al nanocomposites via electrospinning. Chem. Eng. J. 2019, 368, 129–137. [Google Scholar] [CrossRef]
- He, W.; Liu, P.-J.; He, G.-Q.; Gozin, M.; Yan, Q.-L. Highly Reactive Metastable Intermixed Composites (MICs): Preparation and Characterization. Adv. Mater. 2018, 30, e1706293. [Google Scholar] [CrossRef]
- Pantoya, M.L.; Granier, J.J. Combustion Behavior of Highly Energetic Thermites: Nano versus Micron Composites. Propellants Explos. Pyrotech. 2005, 30, 53–62. [Google Scholar] [CrossRef]
- Piercey, D.G.; Klapooke, T.M. Nanoscale Aluminum-Metal Oxide (Thermite) Reactions for Application in Energetic Materials. Cent. Eur. J. Energ. Mat. 2010, 7, 115–129. [Google Scholar]
- Patel, V.K.; Bhattacharya, S. High-Performance Nanothermite Composites Based on Aloe-Vera-Directed CuO Nanorods. ACS Appl. Mater. Interfaces 2013, 5, 13364–13374. [Google Scholar] [CrossRef] [PubMed]
- Kim, J.H.; Cha, J.K.; Cho, M.H.; Kim, H.; Shim, H.-M.; Kim, S.H. Thermal reactions of nitrocellulose-encapsulated Al/CuO nanoenergetic materials fabricated in the gas and liquid phases. Mater. Chem. Phys. 2019, 238, 121955. [Google Scholar] [CrossRef]
- Marín, L.; Gao, Y.; Vallet, M.; Abdallah, I.; Warot-Fonrose, B.; Tenailleau, C.; Lucero, A.T.; Kim, J.; Esteve, A.; Chabal, Y.J.; et al. Performance Enhancement via Incorporation of ZnO Nanolayers in Energetic Al/CuO Multilayers. Langmuir 2017, 33, 11086–11093. [Google Scholar] [CrossRef] [PubMed]
- Son, S.; Yetter, R.A.; Yang, V. Introduction: Nanoscale Composite Energetic Materials. J. Propuls. Power 2007, 23, 643–644. [Google Scholar] [CrossRef]
- Sanders, V.E.; Asay, B.W.; Foley, T.J.; Tappan, B.C.; Pacheco, A.N.; Son, S. Reaction Propagation of Four Nanoscale Energetic Composites (Al/MoO3, Al/WO3, Al/CuO, and B12O3). J. Propuls. Power 2007, 23, 707–714. [Google Scholar] [CrossRef]
- Rossi, C.; Esteve, A.; Vashishta, P. Nanoscale energetic materials. J. Phys. Chem. Solids 2010, 71, 57–58. [Google Scholar] [CrossRef]
- Salvagnac, L.; Assie-Souleille, S.; Rossi, C. Layered Al/CuO Thin Films for Tunable Ignition and Actuations. Nanomaterials 2020, 10, 2009. [Google Scholar] [CrossRef]
- Huang, C.; Yang, Z.; Li, Y.; Zheng, B.; Yan, Q.; Guan, L.; Luo, G.; Li, S.; Nie, F. Incorporation of high explosives into nano-aluminum based microspheres to improve reactivity. Chem. Eng. J. 2019, 383, 123110. [Google Scholar] [CrossRef]
- Kwon, J.; Ducéré, J.M.; Alphonse, P.; Bahrami, M.; Petrantoni, M.; Veyan, J.-F.; Tenailleau, C.; Estève, A.; Rossi, C.; Chabal, Y.J. Interfacial Chemistry in Al/CuO Reactive Nanomaterial and Its Role in Exothermic Reaction. ACS Appl. Mater. Interfaces 2013, 5, 605–613. [Google Scholar] [CrossRef] [PubMed]
- Chen, Y.; Ren, W.; Zheng, Z.; Wu, G.; Hu, B.; Chen, J.; Wang, J.; Yu, C.; Ma, K.; Zhou, X.; et al. Reactivity adjustment from the contact extent between CuO and Al phases in nanothermites. Chem. Eng. J. 2020, 402, 126288. [Google Scholar] [CrossRef]
- Zhang, T.; Li, C.; Wang, W.; Guo, Z.; Pang, A.; Ma, H. Construction of Three-Dimensional Hematite/Graphene with Effective Catalytic Activity for the Thermal Decomposition of CL-20. Acta Phys. -Chim. Sin. 2020, 36, 1905048. [Google Scholar]
- Zhang, J.; Zhao, F.; Yang, Y.; Yan, Q.; Zhang, M.; Ma, W. Enhanced catalytic performance on the thermal decomposition of TKX-50 by Fe3O4 nanoparticles highly dispersed on rGO. J. Therm. Anal. 2019, 140, 1759–1767. [Google Scholar] [CrossRef]
- Elbasuney, S.; El-Sayyad, G.S.; Yehia, M.; Aal, S.K.A. Facile synthesis of RGO-Fe2O3 nanocomposite: A novel catalyzing agent for composite propellants. J. Mater. Sci. Mater. Electron. 2020, 31, 20805–20815. [Google Scholar] [CrossRef]
- Tan, L.; Lu, X.; Liu, N.; Yan, Q.-L. Further enhancing thermal stability of thermostable energetic derivatives of dibenzotetraazapentene by polydopamine/graphene oxide coating. Appl. Surf. Sci. 2020, 543, 148825. [Google Scholar] [CrossRef]
- Liu, C.; Li, X.; Li, R.; Yang, Q.; Zhang, H.; Yang, B.; Yang, G. Laser ignited combustion of graphene oxide/nitrocellulose membranes for solid propellant micro thruster and solar water distillation. Carbon 2020, 166, 138–147. [Google Scholar] [CrossRef]
- Li, R.; Wang, J.; Shen, J.P.; Hua, C.; Yang, G.C. Preparation and Characterization of Insensitive HMX/Graphene Oxide Composites. Propellants Explos. Pyrotech. 2013, 38, 798–804. [Google Scholar] [CrossRef]
- Abdolmaleki, M.; Sari, M.G.; Rostami, M.; Ramezanzadeh, B. Graphene oxide nanoflakes as an efficient dispersing agent for nanoclay lamellae in an epoxy-phenolic nanocomposite coating: Mechanistic approach. Compos. Sci. Technol. 2019, 184, 107879. [Google Scholar] [CrossRef]
- McCrary, P.D.; Beasley, P.A.; Alaniz, S.A.; Griggs, C.S.; Frazier, R.M.; Rogers, R.D. Graphene and Graphene Oxide Can “Lubricate” Ionic Liquids based on Specific Surface Interactions Leading to Improved Low-Temperature Hypergolic Performance. Angew. Chem. Int. Ed. 2012, 51, 9784–9787. [Google Scholar] [CrossRef]
- Krishnan, D.; Kim, F.; Luo, J.; Cruz-Silva, R.; Cote, L.J.; Jang, H.D.; Huang, J. Energetic graphene oxide: Challenges and opportunities. Nano Today 2012, 7, 137–152. [Google Scholar] [CrossRef]
- Abdollahi, H.; Samkan, M.; Hashemi, M.M. Fabrication of rGO nano-sheets wrapped on Ni doped ZnO nanowire p–n heterostructures for hydrogen gas sensing. New J. Chem. 2019, 43, 19253–19264. [Google Scholar] [CrossRef]
- Wang, S.; Zhao, W.; Xie, L.; Cao, H.; Huang, W. Solution-processable GO/rGO: Preparation, functionalization, self-assembly and applications in smart information devices. Chin. Sci. Bull. 2019, 64, 2689–2702. [Google Scholar] [CrossRef]
- Bartolucci, S.F.; Paras, J.; Rafiee, M.A.; Rafiee, J.; Lee, S.; Kapoor, D.; Koratkar, N. Graphene–aluminum nanocomposites. Mater. Sci. Eng. A 2011, 528, 7933–7937. [Google Scholar] [CrossRef]
- Zhang, W.; Yang, Y.; Ziemann, E.; Be’Er, A.; Bashouti, M.Y.; Elimelech, M.; Bernstein, R. One-step sonochemical synthesis of a reduced graphene oxide—ZnO nanocomposite with antibacterial and antibiofouling properties. Environ. Sci. Nano 2019, 6, 3080–3090. [Google Scholar] [CrossRef]
- Zeynizadeh, B.; Gilanizadeh, M. Synthesis and characterization of a magnetic graphene oxide/Zn–Ni–Fe layered double hydroxide nanocomposite: An efficient mesoporous catalyst for the green preparation of biscoumarins. New J. Chem. 2019, 43, 18794–18804. [Google Scholar] [CrossRef]
- Cohen, A.; Yang, Y.; Yan, Q.-L.; Shlomovich, A.; Petrutik, N.; Burstein, L.; Pang, S.-P.; Gozin, M. Highly Thermostable and Insensitive Energetic Hybrid Coordination Polymers Based on Graphene Oxide–Cu(II) Complex. Chem. Mater. 2016, 28, 6118–6126. [Google Scholar] [CrossRef]
- Thiruvengadathan, R.; Chung, S.W.; Basuray, S.; Balasubramanian, B.; Staley, C.S.; Gangopadhyay, K.; Gangopadhyay, S. A Versatile Self-Assembly Approach toward High Performance Nanoenergetic Composite Using Functionalized Graphene. Langmuir 2014, 30, 6556–6564. [Google Scholar] [CrossRef]
- Lei, H.; Gu, Q. Preparation of Cu-doped colloidal SiO2 abrasives and their chemical mechanical polishing behavior on sapphire substrates. J. Mater. Sci. Mater. Electron. 2015, 26, 10194–10200. [Google Scholar] [CrossRef]
- Shy, J.H.; Tseng, B.H. Characterization of CuAlO2 thin film prepared by rapid thermal annealing of an Al2O3/Cu2O/sapphire structure. J. Phys. Chem. Solids 2005, 66, 2123–2126. [Google Scholar] [CrossRef]



















| Sample | Tpk1 (°C) | Tpk2 (°C) | Tpk3 (°C) | Tpk4 (°C) | ΔH (J/g) |
|---|---|---|---|---|---|
| CuO:Al = 1 | 193.1 | 279.5 | 568.7 | 739.5 | 711.5 |
| CuO:Al = 1.5 | 190.8 | 279.4 | 554.8 | 737.8 | 1045 |
| CuO:Al = 2 | 193.7 | 275.8 | 555.2 | 739.8 | 886 |
| CuO:Al = 2.5 | 191.6 | 278.2 | 561.5 | 830.5 | 811.4 |
| Sample | Tpk1 (°C) | Tpk2 (°C) | Tpk3 (°C) | ΔH (J/g) |
|---|---|---|---|---|
| Al–CuO | / | 576.3 | 727.2 | 400.4 |
| Al–CuO/GO0.5wt% | 278.3 | 568.4 | 756.2 | 1567 |
| Al–CuO/GO1wt% | 282.2 | 549.9 | 782.7 | 1235 |
| Al–CuO/GO3wt% | 278.4 | 567.1 | 770.9 | 709.3 |
| Al–CuO/GO5wt% | 279.9 | 570.6 | 789.1 | 726.6 |
| Sample | Tpk1 (°C) | Tpk2 (°C) | Tpk3 (°C) | Tpk4 (°C) | ΔH (J/g) |
|---|---|---|---|---|---|
| Holding time is 1 h | 191.4 | 278.1 | 575.3 | 898.4 | 652.3 |
| Water content is 10 mL | 181.6 | / | / | 740.5 | 115.2 |
| β (K·min−1) | Te (°C) | Tp (°C) | Tf (°C) | ΔH (J/g) |
|---|---|---|---|---|
| 5 | 534.3 | 550.2 | 575.1 | 427.8 |
| 10 | 545.2 | 569.3 | 602.1 | 415.3 |
| 15 | 557.1 | 592.5 | 618.4 | 480.7 |
| 20 | 569.0 | 598.3 | 624.1 | 598.5 |
| Kinetic Parameters | Al–CuO/GO |
|---|---|
| lg A (s−1) | 4.97 |
| Eα (kJ·mol−1) | 134.92 |
| lgkca | 1.67 |
| Reaction order (n) | 1.20 |
| Correlation coefficient | 0.974 |
Publisher’s Note: MDPI stays neutral with regard to jurisdictional claims in published maps and institutional affiliations. |
© 2022 by the authors. Licensee MDPI, Basel, Switzerland. This article is an open access article distributed under the terms and conditions of the Creative Commons Attribution (CC BY) license (https://creativecommons.org/licenses/by/4.0/).
Share and Cite
Su, J.; Hu, Y.; Zhou, B.; Ye, Y.; Shen, R. The Role of Graphene Oxide in the Exothermic Mechanism of Al/CuO Nanocomposites. Molecules 2022, 27, 7614. https://doi.org/10.3390/molecules27217614
Su J, Hu Y, Zhou B, Ye Y, Shen R. The Role of Graphene Oxide in the Exothermic Mechanism of Al/CuO Nanocomposites. Molecules. 2022; 27(21):7614. https://doi.org/10.3390/molecules27217614
Chicago/Turabian StyleSu, Jiaxin, Yan Hu, Bin Zhou, Yinghua Ye, and Ruiqi Shen. 2022. "The Role of Graphene Oxide in the Exothermic Mechanism of Al/CuO Nanocomposites" Molecules 27, no. 21: 7614. https://doi.org/10.3390/molecules27217614
APA StyleSu, J., Hu, Y., Zhou, B., Ye, Y., & Shen, R. (2022). The Role of Graphene Oxide in the Exothermic Mechanism of Al/CuO Nanocomposites. Molecules, 27(21), 7614. https://doi.org/10.3390/molecules27217614

