Analysis of Changes in the Amount of Phytosterols after the Bleaching Process of Hemp Oils
Abstract
1. Introduction
2. Results and Discussion
2.1. Results of Statistical Descriptive Analysis of Mass Balance of Hemp Oil Bleaching Process
2.2. Results of Statistical Analysis of Process Factors on Phytosterol Profile in Hemp Oils after Bleaching
2.3. Analysis of Significant Factors of Phytosterol Profiles of Hemp Oils with the PCA Method
3. Materials and Methods
3.1. Description of the Source of Hemp Oils and the Parameters of Bleaching Earth
3.2. GC-MS Method Description and Phytosterol Profile of Hemp Oils
3.3. Mass Balance of the Process and Method of Bleaching Hemp Oil
- Es—the relative proportion of the amount of absorbed compounds from the oil (%);
- Mee—weight of bleaching earth after bleaching process (g);
- Mzb— weight of bleaching earth before bleaching process (g);
- Mo—weight of hemp oil (g).
4. Conclusions
Author Contributions
Funding
Institutional Review Board Statement
Informed Consent Statement
Data Availability Statement
Conflicts of Interest
Sample Availability
Appendix A
| Independent Variables | Phytosterols Content [mg/g of dm of Extract] | |||||||||||
|---|---|---|---|---|---|---|---|---|---|---|---|---|
| Temperature | Bleaching Earth | Dose | CSROL | CSNOL | STI | β-S | SIT | Δ5-A | Δ5,24-SD | Δ7-A | 24-MC | TOTAL |
| C | P1 | 2.5% | 3.36 ± 0.03 | 0.23 ± 0.02 | 1.03 ± 0.02 | 12.49 ± 0.03 | 0.26 ± 0.00 | 1.08 ± 0.00 | 0.29 ± 0.01 | 0.52 ± 0.01 | 0.07 ± 0.00 | 19.34 ± 0.09 |
| H | 2.83 ± 0.02 | 0.31 ± 0.01 | 0.60 ± 0.01 | 10.63 ± 0.02 | 0.26 ± 0.00 | 0.95 ± 0.00 | 0.24 ± 0.00 | 0.44 ± 0.00 | 0.06 ± 0.00 | 16.33 ± 0.07 | ||
| C | 5% | 3.69 ± 0.02 | 0.32 ± 0.01 | 1.08 ± 0.00 | 13.99 ± 0.15 | 0.56 ± 0.01 | 1.31 ± 0.01 | 0.41 ± 0.01 | 0.67 ± 0.02 | 0.06 ± 0.00 | 22.10 ± 0.23 | |
| H | 3.53 ± 0.02 | 0.26 ± 0.00 | 0.70 ± 0.01 | 12.41 ± 0.02 | 0.25 ± 0.00 | 1.16 ± 0.00 | 0.35 ± 0.01 | 0.59 ± 0.01 | 0.05 ± 0.00 | 19.30 ± 0.03 | ||
| C | P2 | 2.5% | 0.71 ± 0.01 | 0.11 ± 0.01 | 0.37 ± 0.01 | 3.06 ± 0.01 | 0.15 ± 0.00 | 0.88 ± 0.01 | 0.14 ± 0.01 | 0.06 ± 0.00 | 0.11 ± 0.00 | 5.59 ± 0.02 |
| H | 0.66 ± 0.01 | 0.05 ± 0.00 | 0.29 ± 0.00 | 2.40 ± 0.01 | 0.14 ± 0.00 | 0.68 ± 0.00 | 0.09 ± 0.00 | 0.08 ± 0.00 | 0.15 ± 0.01 | 4.52 ± 0.03 | ||
| C | 5% | 0.60 ± 0.01 | 0.04 ± 0.00 | 0.22 ± 0.00 | 2.28 ± 0.01 | 0.12 ± 0.01 | 0.55 ± 0.01 | 0.08 ± 0.00 | 0.05 ± 0.00 | 0.10 ± 0.01 | 4.05 ± 0.03 | |
| H | 0.52 ± 0.00 | 0.08 ± 0.00 | 0.23 ± 0.00 | 2.13 ± 0.00 | 0.13 ± 0.00 | 0.64 ± 0.00 | 0.08 ± 0.00 | 0.06 ± 0.00 | 0.14 ± 0.00 | 4.01 ± 0.00 | ||
| C | P3 | 2.5% | 3.04 ± 0.00 | 0.19 ± 0.01 | 0.65 ± 0.01 | 11.45 ± 0.16 | 0.22 ± 0.00 | 0.99 ± 0.00 | 0.35 ± 0.00 | 0.50 ± 0.00 | 0.04 ± 0.00 | 17.43 ± 0.14 |
| H | 2.61 ± 0.02 | 0.09 ± 0.00 | 0.51 ± 0.01 | 9.27 ± 0.03 | 0.24 ± 0.00 | 0.80 ± 0.01 | 0.21 ± 0.01 | 0.37 ± 0.00 | 0.04 ± 0.00 | 14.14 ± 0.04 | ||
| C | 5% | 3.90 ± 0.01 | 0.35 ± 0.02 | 0.89 ± 0.02 | 15.21 ± 0.03 | 0.32 ± 0.00 | 1.31 ± 0.00 | 0.45 ± 0.01 | 0.67 ± 0.01 | 0.08 ± 0.00 | 23.19 ± 0.09 | |
| H | 4.09 ± 0.02 | 0.21 ± 0.01 | 0.81 ± 0.01 | 14.26 ± 0.19 | 0.43 ± 0.01 | 1.23 ± 0.01 | 0.42 ± 0.00 | 0.59 ± 0.00 | 0.07 ± 0.00 | 22.13 ± 0.16 | ||
| C | P4 | 2.5% | 3.23 ± 0.02 | 0.21 ± 0.01 | 0.71 ± 0.01 | 11.84 ± 0.01 | 0.34 ± 0.01 | 0.80 ± 0.01 | 0.28 ± 0.00 | 0.49 ± 0.01 | 0.07 ± 0.00 | 17.97 ± 0.04 |
| H | 1.78 ± 0.00 | 0.11 ± 0.00 | 0.38 ± 0.00 | 6.28 ± 0.00 | 0.15 ± 0.00 | 0.45 ± 0.00 | 0.14 ± 0.00 | 0.25 ± 0.00 | 0.02 ± 0.00 | 9.56 ± 0.01 | ||
| C | 5% | 3.07 ± 0.01 | 0.16 ± 0.01 | 0.67 ± 0.00 | 10.83 ± 0.02 | 0.35 ± 0.01 | 0.78 ± 0.01 | 0.33 ± 0.00 | 0.47 ± 0.00 | 0.05 ± 0.00 | 16.72 ± 0.02 | |
| H | 2.81 ± 0.01 | 0.13 ± 0.00 | 0.59 ± 0.00 | 9.47 ± 0.03 | 0.25 ± 0.00 | 0.77 ± 0.00 | 0.24 ± 0.01 | 0.44 ± 0.00 | 0.04 ± 0.00 | 14.75 ± 0.04 | ||
| C | P5 | 2.5% | 2.07 ± 0.02 | 0.16 ± 0.01 | 0.47 ± 0.00 | 7.55 ± 0.00 | 0.19 ± 0.00 | 0.58 ± 0.00 | 0.16 ± 0.00 | 0.33 ± 0.01 | 0.07 ± 0.00 | 11.58 ± 0.05 |
| H | 2.09 ± 0.01 | 0.12 ± 0.01 | 0.47 ± 0.01 | 7.19 ± 0.04 | 0.26 ± 0.00 | 0.61 ± 0.00 | 0.15 ± 0.00 | 0.33 ± 0.01 | 0.02 ± 0.00 | 11.25 ± 0.05 | ||
| C | 5% | 2.99 ± 0.01 | 0.17 ± 0.00 | 0.65 ± 0.01 | 10.72 ± 0.01 | 0.33 ± 0.00 | 0.86 ± 0.00 | 0.35 ± 0.01 | 0.48 ± 0.01 | 0.05 ± 0.00 | 16.60 ± 0.02 | |
| H | 2.84 ± 0.01 | 0.15 ± 0.00 | 0.59 ± 0.00 | 9.53 ± 0.01 | 0.26 ± 0.00 | 0.78 ± 0.00 | 0.26 ± 0.00 | 0.44 ± 0.00 | 0.03 ± 0.00 | 14.88 ± 0.01 | ||
| C | P6 | 2.5% | 2.40 ± 0.03 | 0.12 ± 0.00 | 0.51 ± 0.01 | 8.91 ± 0.02 | 0.21 ± 0.00 | 0.63 ± 0.01 | 0.20 ± 0.00 | 0.38 ± 0.00 | 0.04 ± 0.00 | 13.42 ± 0.05 |
| H | 2.07 ± 0.00 | 0.11 ± 0.00 | 0.43 ± 0.01 | 7.37 ± 0.02 | 0.18 ± 0.00 | 0.52 ± 0.01 | 0.20 ± 0.01 | 0.30 ± 0.00 | 0.02 ± 0.00 | 11.20 ± 0.02 | ||
| C | 5% | 3.04 ± 0.01 | 0.14 ± 0.01 | 0.65 ± 0.01 | 10.95 ± 0.16 | 0.27 ± 0.01 | 0.87 ± 0.00 | 0.30 ± 0.00 | 0.51 ± 0.01 | 0.05 ± 0.00 | 16.78 ± 0.05 | |
| H | 3.75 ± 0.02 | 0.22 ± 0.01 | 0.80 ± 0.01 | 13.67 ± 0.13 | 0.40 ± 0.01 | 1.03 ± 0.00 | 0.38 ± 0.00 | 0.63 ± 0.00 | 0.05 ± 0.01 | 20.94 ± 0.18 | ||
| C | P7 | 2.5% | 4.25 ± 0.01 | 0.20 ± 0.01 | 0.91 ± 0.01 | 15.29 ± 0.02 | 0.36 ± 0.00 | 1.05 ± 0.01 | 0.37 ± 0.00 | 0.58 ± 0.01 | 0.08 ± 0.00 | 23.07 ± 0.05 |
| H | 3.24 ± 0.00 | 0.12 ± 0.01 | 0.67 ± 0.00 | 11.18 ± 0.00 | 0.22 ± 0.00 | 0.82 ± 0.00 | 0.24 ± 0.00 | 0.40 ± 0.01 | 0.04 ± 0.00 | 16.94 ± 0.02 | ||
| C | 5% | 3.26 ± 0.02 | 0.14 ± 0.00 | 1.20 ± 0.01 | 11.31 ± 0.01 | 0.22 ± 0.00 | 0.68 ± 0.01 | 0.18 ± 0.01 | 0.40 ± 0.00 | 0.05 ± 0.01 | 17.45 ± 0.03 | |
| H | 3.72 ± 0.01 | 0.39 ± 0.00 | 0.82 ± 0.00 | 13.69 ± 0.02 | 0.33 ± 0.01 | 0.99 ± 0.00 | 0.29 ± 0.00 | 0.49 ± 0.00 | 0.03 ± 0.00 | 20.75 ± 0.01 | ||
| Independent Variables | Phytosterols Content [mg/g of dm of Extract] | |||||||||||
|---|---|---|---|---|---|---|---|---|---|---|---|---|
| Temperature | Bleaching Earth | Dose | CSROL | CSNOL | STI | β-S | SIT | Δ5-A | Δ5,24-SD | Δ7-A | 24-MC | TOTAL |
| C | P1 | 2.5% | 3.93 ± 0.04 | 0.28 ± 0.00 | 0.75 ± 0.00 | 13.13 ± 0.02 | 0.24 ± 0.02 | 1.10 ± 0.02 | 0.41 ± 0.01 | 0.51 ± 0.00 | 0.00 ± 0.00 | 20.35 ± 0.13 |
| H | 7.59 ± 0.02 | 0.84 ± 0.01 | 1.49 ± 0.01 | 27.81 ± 1.43 | 1.09 ± 0.00 | 2.33 ± 0.01 | 0.80 ± 0.02 | 1.00 ± 0.00 | 0.00 ± 0.00 | 42.95 ± 1.50 | ||
| C | 5% | 5.49 ± 0.07 | 0.25 ± 0.00 | 1.03 ± 0.00 | 17.59 ± 0.05 | 0.31 ± 0.02 | 1.46 ± 0.02 | 0.54 ± 0.01 | 0.65 ± 0.01 | 0.00 ± 0.00 | 27.32 ± 0.13 | |
| H | 6.12 ± 0.08 | 1.10 ± 0.00 | 1.25 ± 0.00 | 22.11± 0.35 | 1.14 ± 0.03 | 1.94 ± 0.00 | 0.71 ± 0.00 | 0.93 ± 0.00 | 0.00 ± 0.00 | 35.31 ± 0.23 | ||
| C | P2 | 2.5% | 0.89 ± 0.00 | 0.05 ± 0.00 | 0.38 ± 0.01 | 3.15 ± 0.02 | 0.14 ± 0.00 | 0.67 ± 0.01 | 0.08 ± 0.01 | 0.09 ± 0.00 | 0.03 ± 0.01 | 5.43 ± 0.03 |
| H | 1.97 ± 0.00 | 0.19 ± 0.00 | 1.00 ± 0.01 | 7.53 ± 0.02 | 1.94 ± 0.01 | 0.20 ± 0.00 | 0.27 ± 0.00 | 0.21 ± 0.00 | 0.53 ± 0.00 | 13.84 ± 0.05 | ||
| C | 5% | 0.93 ± 0.00 | 0.07 ± 0.00 | 0.37 ± 0.00 | 3.15 ± 0.02 | 0.25 ± 0.01 | 0.83 ± 0.00 | 0.10 ± 0.00 | 0.13 ± 0.00 | 0.14 ± 0.00 | 5.97 ± 0.03 | |
| H | 1.51 ± 0.00 | 0.10 ± 0.00 | 0.54 ± 0.01 | 5.11 ± 0.00 | 1.22 ± 0.01 | 0.16 ± 0.01 | 0.12 ± 0.00 | 0.16 ± 0.00 | 0.29 ± 0.00 | 9.21 ± 0.02 | ||
| C | P3 | 2.5% | 5.32 ± 0.01 | 0.59 ± 0.01 | 1.10 ± 0.01 | 18.22 ± 0.03 | 0.42 ± 0.00 | 1.43 ± 0.01 | 0.47 ± 0.00 | 0.64 ± 0.01 | 0.00 ± 0.00 | 28.18 ± 0.07 |
| H | 7.45 ± 0.03 | 0.45 ± 0.02 | 1.36 ± 0.02 | 25.52 ± 0.15 | 0.49 ± 0.00 | 2.06 ± 0.03 | 0.81 ± 0.00 | 0.88 ± 0.02 | 0.08 ± 0.00 | 39.10 ± 0.03 | ||
| C | 5% | 5.95 ± 0.01 | 0.17 ± 0.00 | 1.10 ± 0.00 | 19.19 ± 0.17 | 0.35 ± 0.00 | 1.56 ± 0.00 | 0.67 ± 0.01 | 0.71 ± 0.03 | 0.00 ± 0.00 | 29.69 ± 0.20 | |
| H | 9.80 ± 0.01 | 0.56 ± 0.01 | 2.02 ± 0.00 | 34.48 ± 0.13 | 0.88 ± 0.00 | 2.64 ± 0.01 | 1.03 ± 0.01 | 1.12 ± 0.01 | 0.16 ± 0.00 | 52.69 ± 0.15 | ||
| C | P4 | 2.5% | 3.09 ± 0.00 | 0.23 ± 0.00 | 1.25 ± 0.00 | 9.72 ± 0.01 | 0.20 ± 0.00 | 0.71 ± 0.01 | 0.27 ± 0.02 | 0.44 ± 0.00 | 0.04 ± 0.01 | 15.95 ± 0.05 |
| H | 5.82 ± 0.00 | 0.25 ± 0.00 | 1.14 ± 0.01 | 19.11 ± 0.03 | 0.41 ± 0.01 | 1.49 ± 0.00 | 0.51 ± 0.01 | 0.76 ± 0.00 | 0.13 ± 0.00 | 29.63 ± 0.06 | ||
| C | 5% | 5.33 ± 0.02 | 0.23 ± 0.00 | 1.11 ± 0.00 | 16.13 ± 0.03 | 0.37 ± 0.01 | 1.22 ± 0.02 | 0.53 ± 0.00 | 0.62 ± 0.02 | 0.08 ± 0.00 | 25.60 ± 0.10 | |
| H | 6.51 ± 0.01 | 0.43 ± 0.01 | 1.29 ± 0.02 | 21.14 ± 0.02 | 0.40 ± 0.01 | 1.67 ± 0.05 | 0.75 ± 0.00 | 0.86 ± 0.01 | 0.11 ± 0.00 | 33.17 ± 0.10 | ||
| C | P5 | 2.5% | 3.97± 0.00 | 0.18 ± 0.00 | 0.84 ± 0.01 | 12.23 ± 0.01 | 0.25 ± 0.01 | 1.00 ± 0.00 | 0.41 ± 0.00 | 0.51 ± 0.02 | 0.06 ± 0.01 | 19.46 ± 0.06 |
| H | 5.49 ± 0.00 | 0.57 ± 0.00 | 1.11 ± 0.00 | 18.59 ± 0.01 | 0.33 ± 0.00 | 1.56 ± 0.01 | 0.55 ± 0.01 | 0.75 ± 0.01 | 0.05 ± 0.00 | 29.00 ± 0.06 | ||
| C | 5% | 5.02 ± 0.01 | 0.30 ± 0.01 | 1.01 ± 0.00 | 15.45 ± 0.01 | 0.39 ± 0.01 | 1.30 ± 0.00 | 0.54 ± 0.00 | 0.67 ± 0.02 | 0.06 ± 0.00 | 24.73 ± 0.04 | |
| H | 5.98 ± 0.02 | 0.26 ± 0.01 | 1.17 ± 0.01 | 19.23 ± 0.15 | 0.47 ± 0.01 | 1.71 ± 0.02 | 0.76 ± 0.00 | 0.86 ± 0.01 | 0.09 ± 0.00 | 30.53 ± 0.19 | ||
| C | P6 | 2.5% | 3.63 ± 0.01 | 0.20 ± 0.00 | 0.73 ± 0.00 | 11.54 ± 0.00 | 0.20 ± 0.01 | 0.80 ± 0.01 | 0.38 ± 0.00 | 0.43 ± 0.00 | 0.00 ± 0.00 | 17.92 ± 0.02 |
| H | 5.02 ± 0.00 | 0.20 ± 0.00 | 0.96 ± 0.01 | 16.33 ± 0.01 | 0.36 ± 0.02 | 1.14 ± 0.00 | 0.48 ± 0.00 | 0.59 ± 0.00 | 0.05 ± 0.00 | 25.13 ± 0.02 | ||
| C | 5% | 5.30 ± 0.01 | 0.36 ± 0.00 | 1.06 ± 0.00 | 16.83 ± 0.15 | 0.36 ± 0.01 | 1.25 ± 0.01 | 0.60 ± 0.02 | 0.64 ± 0.01 | 0.00 ± 0.00 | 26.39 ± 0.19 | |
| H | 4.97 ± 0.01 | 0.26 ± 0.00 | 0.95 ± 0.01 | 16.27 ± 0.02 | 0.36 ± 0.00 | 1.31 ± 0.00 | 0.55 ± 0.01 | 0.70 ± 0.01 | 0.07 ± 0.00 | 25.43 ± 0.01 | ||
| C | P7 | 2.5% | 4.85 ± 0.00 | 0.24 ± 0.00 | 0.97 ± 0.00 | 15.28 ± 0.07 | 0.33 ± 0.01 | 1.18 ± 0.01 | 0.31 ± 0.00 | 0.52 ± 0.01 | 0.06 ± 0.00 | 23.74 ± 0.09 |
| H | 6.92 ± 0.03 | 0.52 ± 0.01 | 1.36 ± 0.02 | 23.17 ± 0.08 | 0.43 ± 0.00 | 1.75 ± 0.01 | 0.73 ± 0.00 | 0.76 ± 0.01 | 0.07 ± 0.00 | 35.70 ± 0.01 | ||
| C | 5% | 6.19 ± 0.01 | 0.22 ± 0.01 | 1.25 ± 0.00 | 19.45 ± 0.04 | 0.34 ± 0.02 | 1.32 ± 0.00 | 0.56 ± 0.01 | 0.58 ± 0.00 | 0.06 ± 0.00 | 29.95 ± 0.06 | |
| H | 7.13 ± 0.02 | 0.18 ± 0.00 | 1.34 ± 0.00 | 22.86 ± 0.03 | 0.63 ± 0.00 | 1.70 ± 0.01 | 0.74 ± 0.01 | 0.78 ± 0.00 | 0.07 ± 0.00 | 35.44 ± 0.03 | ||
| Independent Variables | Phytosterols Content [mg/g of dm of Extract] | |||||||||||
|---|---|---|---|---|---|---|---|---|---|---|---|---|
| Temperature | Bleaching Earth | Dose | CSROL | CSNOL | STI | β-S | SIT | Δ5-A | Δ5,24-SD | Δ7-A | 24-MC | TOTAL |
| C | P1 | 2.5% | 3.86 ± 0.01 | 0.18 ± 0.01 | 0.85 ± 0.02 | 13.03 ± 0.06 | 0.23 ± 0.01 | 1.12 ± 0.00 | 0.33 ± 0.00 | 0.56 ± 0.02 | 0.04 ± 0.00 | 20.20 ± 0.13 |
| H | 5.81 ± 0.08 | 0.29 ± 0.00 | 1.32 ± 0.03 | 19.66 ± 0.63 | 1.78 ± 0.02 | 1.83 ± 0.02 | 0.66 ± 0.01 | 0.83 ± 0.04 | 0.13 ± 0.01 | 32.30 ± 0.84 | ||
| C | 5% | 3.59 ± 0.02 | 0.21 ± 0.01 | 0.81 ± 0.00 | 11.93 ± 0.04 | 0.27 ± 0.00 | 1.03 ± 0.01 | 0.35 ± 0.01 | 0.54 ± 0.01 | 0.05 ± 0.00 | 18.78 ± 0.06 | |
| H | 6.25 ± 0.02 | 0.40 ± 0.03 | 1.42 ± 0.02 | 20.24 ± 0.38 | 1.79 ± 0.00 | 1.93 ± 0.01 | 0.76 ± 0.02 | 0.97 ± 0.01 | 0.14 ± 0.01 | 33.90 ± 0.49 | ||
| C | P2 | 2.5% | 0.52 ± 0.01 | 0.08 ± 0.01 | 0.35 ± 0.00 | 2.02 ± 0.03 | 0.10 ± 0.00 | 0.65 ± 0.00 | 0.04 ± 0.00 | 0.06 ± 0.00 | 0.16 ± 0.01 | 3.98 ± 0.05 |
| H | 1.22 ± 0.02 | 0.08 ± 0.00 | 0.52 ± 0.01 | 4.56 ± 0.02 | 1.00 ± 0.02 | 0.21± 0.00 | 0.12 ± 0.00 | 0.14 ± 0.00 | 0.14 ± 0.00 | 8.00 ± 0.08 | ||
| C | 5% | 0.55 ± 0.00 | 0.08 ± 0.00 | 0.25 ± 0.00 | 2.08 ± 0.01 | 0.09 ± 0.00 | 0.58 ± 0.00 | 0.07 ± 0.00 | 0.09 ± 0.00 | 0.12 ± 0.00 | 3.89 ± 0.00 | |
| H | 1.19 ± 0.00 | 0.18 ± 0.02 | 0.54 ± 0.00 | 4.69 ± 0.01 | 1.03 ± 0.00 | 0.17 ± 0.01 | 0.12 ± 0.00 | 0.16 ± 0.00 | 0.16 ± 0.01 | 8.23 ± 0.06 | ||
| C | P3 | 2.5% | 2.38 ± 0.01 | 0.09 ± 0.00 | 0.53 ± 0.02 | 7.91 ± 0.00 | 0.14 ± 0.00 | 0.62 ± 0.01 | 0.26 ± 0.00 | 0.28 ± 0.00 | 0.04 ± 0.00 | 12.23 ± 0.04 |
| H | 3.06 ± 0.01 | 0.33 ± 0.01 | 0.73 ± 0.01 | 10.56 ± 0.07 | 0.25 ± 0.00 | 0.93 ± 0.02 | 0.36 ± 0.01 | 0.42 ± 0.01 | 0.05 ± 0.00 | 16.69 ± 0.14 | ||
| C | 5% | 3.13 ± 0.01 | 0.09 ± 0.00 | 0.73 ± 0.01 | 10.22 ± 0.02 | 0.22 ± 0.01 | 0.71 ± 0.01 | 0.32 ± 0.01 | 0.37 ± 0.00 | 0.05 ± 0.00 | 15.83 ± 0.00 | |
| H | 4.18 ± 0.10 | 0.29 ± 0.01 | 0.96 ± 0.02 | 13.83 ± 0.05 | 0.27 ± 0.02 | 1.16 ± 0.02 | 0.42 ± 0.00 | 0.51 ± 0.01 | 0.07 ± 0.02 | 21.70 ± 0.05 | ||
| C | P4 | 2.5% | 2.94 ± 0.00 | 0.08 ± 0.00 | 0.58 ± 0.00 | 8.90 ± 0.01 | 0.25 ± 0.00 | 0.46 ± 0.00 | 0.24 ± 0.00 | 0.27 ± 0.00 | 0.00 ± 0.00 | 13.74 ± 0.02 |
| H | 3.40 ± 0.09 | 0.16 ± 0.01 | 1.48 ± 0.01 | 10.88 ± 0.01 | 0.31 ± 0.01 | 0.82 ± 0.00 | 0.41 ± 0.02 | 0.41 ± 0.00 | 0.05 ± 0.01 | 17.92 ± 0.15 | ||
| C | 5% | 3.42 ± 0.01 | 0.08 ± 0.00 | 0.73 ± 0.00 | 10.46 ± 0.04 | 0.23 ± 0.00 | 0.49 ± 0.00 | 0.32 ± 0.00 | 0.33 ± 0.01 | 0.00 ± 0.00 | 16.06 ± 0.05 | |
| H | 3.59 ± 0.03 | 0.17 ± 0.01 | 0.86 ± 0.01 | 11.36 ± 0.06 | 0.27 ± 0.01 | 0.88 ± 0.01 | 0.42 ± 0.01 | 0.45 ± 0.01 | 0.10 ± 0.00 | 18.11 ± 0.14 | ||
| C | P5 | 2.5% | 3.02 ± 0.00 | 0.13 ± 0.00 | 0.60 ± 0.01 | 9.39 ± 0.00 | 0.18 ± 0.01 | 0.65 ± 0.00 | 0.30 ± 0.01 | 0.33 ± 0.00 | 0.00 ± 0.00 | 14.61 ± 0.02 |
| H | 2.55 ± 0.01 | 0.13 ± 0.01 | 0.60 ± 0.04 | 8.16 ± 0.02 | 0.23 ± 0.01 | 0.64 ± 0.02 | 0.24 ± 0.00 | 0.33 ± 0.00 | 0.06 ± 0.01 | 12.95 ± 0.09 | ||
| C | 5% | 3.51 ± 0.02 | 0.17 ± 0.00 | 0.73 ± 0.00 | 10.80 ± 0.05 | 0.24 ± 0.01 | 0.75 ± 0.02 | 0.32 ± 0.00 | 0.37 ± 0.00 | 0.00 ± 0.00 | 16.89 ± 0.08 | |
| H | 4.06 ± 0.01 | 0.15 ± 0.00 | 0.96 ± 0.00 | 12.61 ± 0.03 | 0.45 ± 0.00 | 1.09 ± 0.01 | 0.41 ± 0.01 | 0.55 ± 0.03 | 0.10 ± 0.00 | 20.37 ± 0.00 | ||
| C | P6 | 2.5% | 2.03 ± 0.01 | 0.10 ± 0.00 | 0.45 ± 0.01 | 6.51 ± 0.01 | 0.14 ± 0.00 | 0.39 ± 0.00 | 0.20 ± 0.00 | 0.24 ± 0.00 | 0.05 ± 0.00 | 10.10 ± 0.01 |
| H | 3.38 ± 0.00 | 0.17 ± 0.01 | 0.79 ± 0.01 | 10.90 ± 0.02 | 0.39 ± 0.00 | 0.77 ± 0.00 | 0.33 ± 0.00 | 0.41 ± 0.00 | 0.06 ± 0.00 | 17.20 ± 0.05 | ||
| C | 5% | 3.02 ± 0.01 | 0.08 ± 0.01 | 0.68 ± 0.00 | 9.58 ± 0.00 | 0.20 ± 0.00 | 0.68 ± 0.01 | 0.34 ± 0.01 | 0.38 ± 0.01 | 0.04 ± 0.00 | 15.00 ± 0.03 | |
| H | 5.35 ± 0.06 | 0.14 ± 0.02 | 1.21 ± 0.00 | 17.17 ± 0.10 | 0.43 ± 0.00 | 1.26 ± 0.01 | 0.58 ± 0.01 | 0.68 ± 0.02 | 0.09 ± 0.01 | 26.92 ± 0.21 | ||
| C | P7 | 2.5% | 3.32 ± 0.00 | 0.07 ± 0.01 | 0.79 ± 0.00 | 11.06 ± 0.13 | 0.28 ± 0.00 | 0.60 ± 0.00 | 0.30 ± 0.01 | 0.36 ± 0.00 | 0.05 ± 0.00 | 16.83 ± 0.12 |
| H | 4.62 ± 0.06 | 0.15 ± 0.00 | 1.06 ± 0.01 | 14.41 ± 0.41 | 0.31 ± 0.02 | 0.96 ± 0.00 | 0.35 ± 0.00 | 0.56 ± 0.01 | 0.00 ± 0.00 | 22.42 ± 0.50 | ||
| C | 5% | 3.24 ± 0.01 | 0.07 ± 0.00 | 0.74 ± 0.00 | 10.22 ± 0.01 | 0.26 ± 0.00 | 0.62 ± 0.01 | 0.35 ± 0.00 | 0.35 ± 0.00 | 0.04 ± 0.00 | 15.90 ± 0.04 | |
| H | 5.53 ± 0.00 | 0.35 ± 0.01 | 1.33 ± 0.03 | 17.61 ± 0.21 | 0.47 ± 0.00 | 1.50 ± 0.00 | 0.50 ± 0.00 | 0.67 ± 0.00 | 0.00 ± 0.00 | 27.96 ± 0.24 | ||
References
- Fridrihsone, A.; Romagnoli, F.; Cabulis, U. Environmental Life Cycle Assessment of Rapeseed and Rapeseed Oil Produced in Northern Europe: A Latvian Case Study. Sustainability 2020, 12, 5699. [Google Scholar] [CrossRef]
- Kumar, A.; Sharma, A.; Upadhyaya, K.C. Vegetable Oil: Nutritional and Industrial Perspective. Curr. Genom. 2016, 17, 230–240. [Google Scholar] [CrossRef] [PubMed]
- Czwartkowski, K.; Wierzbic, A.; Golimowski, W. Quality, Key Production Factors, and Consumption Volume of Niche Edible Oils Marketed in the European Union. Sustainability 2022, 14, 1846. [Google Scholar] [CrossRef]
- Aydin, C. Physical properties of almond nut and kernel. J. Food Eng. 2003, 60, 315–320. [Google Scholar] [CrossRef]
- Charrouf, Z.; Guillaume, D. The argan oil project: Going from utopia to reality in 20 years. OCL—Oilseeds Fats Crop. Lipids 2018, 25, D209. [Google Scholar] [CrossRef]
- Cervantes-Paz, B.; Yahia, E.M. Avocado oil: Production and market demand, bioactive components, implications in health, and tendencies and potential uses. Compr. Rev. Food Sci. Food Saf. 2021, 20, 4120–4158. [Google Scholar] [CrossRef]
- El-Hamidi, M.; Zaher, F.A. Production of vegetable oils in the world and in Egypt: An overview. Bull. Natl. Res. Cent. 2018, 42, 19. [Google Scholar] [CrossRef]
- Spinei, M.; Oroian, M. The Potential of Grape Pomace Varieties as a Dietary Source of Pectic Substances. Foods 2021, 10, 867. [Google Scholar] [CrossRef]
- Fathi-Achachlouei, B.; Azadmard-Damirchi, S. Milk Thistle Seed Oil Constituents from Different Varieties Grown in Iran. J. Am. Oil Chem. Soc. 2009, 86, 643–649. [Google Scholar] [CrossRef]
- Savic, I.; Gajic, I.S.; Gajic, D. Physico-Chemical Properties and Oxidative Stability of Fixed Oil from Plum Seeds (Prunus domestica Linn.). Biomolecules 2020, 10, 294. [Google Scholar] [CrossRef]
- Fahimdanesh, M. Evaluation of Physicochemical Properties of Iranian Tomato Seed Oil. J. Nutr. Food Sci. 2013, 3, 3–6. [Google Scholar] [CrossRef]
- Matthäus, B.; Brühl, L. Virgin hemp seed oil: An interesting niche product. Eur. J. Lipid Sci. Technol. 2008, 110, 655–661. [Google Scholar] [CrossRef]
- Landucci, G.; Pannocchia, G.; Pelagagge, L.; Nicolella, C. Analysis and simulation of an industrial vegetable oil refining process. J. Food Eng. 2013, 116, 840–851. [Google Scholar] [CrossRef]
- Pal, U.S.; Patra, R.K.; Sahoo, N.R.; Bakhara, C.K.; Panda, M.K. Effect of refining on quality and composition of sunflower oil. J. Food Sci. Technol. 2015, 52, 4613–4618. [Google Scholar] [CrossRef] [PubMed]
- Verhé, R.; Verleyen, T.; Hoed, V.; De, W. Influence of refining of vegetable oils on minor components. J. Oil Palm Res. 2006, 18, 168–179. [Google Scholar]
- Lamas, D.L.; Constenla, D.T.; Raab, D. Effect of degumming process on physicochemical properties of sunflower oil. Biocatal. Agric. Biotechnol. 2016, 6, 138–143. [Google Scholar] [CrossRef]
- Przybylski, R. Canola/Rapeseed Oil. In Vegetable Oils in Food Technology; Gustone, F.G., Ed.; Wiley-Blackwell: Oxford, UK, 2011; pp. 107–136. [Google Scholar]
- Łaska-Zieja, B.; Golimowski, W.; Marcinkowski, D.; Niedbała, G.; Wojciechowska, E. Low-cost investment with high quality performance. Bleaching earths for phosphorus reduction in the low-temperature bleaching process of rapeseed oil. Foods 2020, 9, 603. [Google Scholar] [CrossRef]
- Matthaus, B. Technological Innovations in Major World Oil Crops, Volume 2; Gupta, S.K., Ed.; Springer: New York, NY, USA, 2012; ISBN 978-1-4614-0826-0. [Google Scholar]
- Ramli, M.R.; Siew, W.L.; Ibrahim, N.A.; Hussein, R.; Kuntom, A.; Razak, R.A.A.; Nesaretnam, K. Effects of degumming and bleaching on 3-MCPD esters formation during physical refining. JAOCS J. Am. Oil Chem. Soc. 2011, 88, 1839–1844. [Google Scholar] [CrossRef]
- Sim, B.I.; Muhamad, H.; Lai, O.M.; Abas, F.; Yeoh, C.B.; Nehdi, I.A.; Khor, Y.P.; Tan, C.P. New insights on degumming and bleaching process parameters on the formation of 3-monochloropropane-1,2-diol esters and glycidyl esters in refined, bleached, deodorized palm oil. J. Oleo Sci. 2018, 67, 397–406. [Google Scholar] [CrossRef]
- Didi, M.; Makhoukhi, B.; Azzouz, A.; Villemin, D. Colza oil bleaching through optimized acid activation of bentonite. A comparative study. Appl. Clay Sci. 2009, 42, 336–344. [Google Scholar] [CrossRef]
- Dijkstra, A.J. Bleaching. In Edible Oil Processing from a Patent Perspective; Springer: Boston, MA, USA, 2013; pp. 173–198. ISBN 978-1-4614-3351-4. [Google Scholar]
- Mba, O.I.; Dumont, M.J.; Ngadi, M. Palm oil: Processing, characterization and utilization in the food industry—A review. Food Biosci. 2015, 10, 26–41. [Google Scholar] [CrossRef]
- Sehn, G.; Gonçalves, L.; Ming, C. Ultrafiltration-based degumming of crude rice bran oil using a polymer membrane. Grasas Y Aceites 2016, 67, e120. [Google Scholar] [CrossRef][Green Version]
- Carmo, A.L.V.; Angélica, R.S.; Paz, S.P.A. Ageing characteristics related to cation exchange and interlayer spacing of some Brazilian bentonites. Heliyon 2021, 7, e06192. [Google Scholar] [CrossRef] [PubMed]
- Amutenya, E.L.M.; Zhou, F.; Liu, J.; Long, W.; Ma, L.; Liu, M.; Lv, G. Preparation of humic acid-bentonite polymer composite: A heavy metal ion adsorbent. Heliyon 2022, 8, e09720. [Google Scholar] [CrossRef] [PubMed]
- Wang, F.; Zhang, R.; Donne, S.W.; Beyad, Y.; Liu, X.; Duan, X.; Yang, T.; Su, P.; Sun, H. Co-pyrolysis of wood chips and bentonite/kaolin: Influence of temperatures and minerals on characteristics and carbon sequestration potential of biochar. Sci. Total Environ. 2022, 838, 156081. [Google Scholar] [CrossRef] [PubMed]
- Ramanaiah, S.V.; Venkata Mohan, S.; Sarma, P.N. Adsorptive removal of fluoride from aqueous phase using waste fungus (Pleurotus ostreatus 1804) biosorbent: Kinetics evaluation. Ecol. Eng. 2007, 31, 47–56. [Google Scholar] [CrossRef]
- Temerdashev, Z.; Abakumov, A.; Bolshov, M.; Khalafyan, A.; Ageeva, N.; Vasilyev, A.; Ramazanov, A. Instrumental assessment of the formation of the elemental composition of wines with various bentonite clays. Microchem. J. 2022, 175, 107145. [Google Scholar] [CrossRef]
- Ifa, L.; Wiyani, L.; Nurdjannah, N.; Ghalib, A.M.T.; Ramadhaniar, S.; Kusuma, H.S. Analysis of bentonite performance on the quality of refined crude palm oil’s color, free fatty acid and carotene: The effect of bentonite concentration and contact time. Heliyon 2021, 7, e07230. [Google Scholar] [CrossRef] [PubMed]
- Galasso, I.; Russo, R.; Mapelli, S.; Ponzoni, E.; Brambilla, I.M.; Battelli, G.; Reggiani, R. Variability in seed traits in a collection of cannabis sativa L. genotypes. Front. Plant Sci. 2016, 7, 20–25. [Google Scholar] [CrossRef]
- Schluttenhofer, C.; Yuan, L. Challenges towards Revitalizing Hemp: A Multifaceted Crop. Trends Plant Sci. 2017, 22, 917–929. [Google Scholar] [CrossRef]
- Shahzad, N.; Khan, W.; MD, S.; Ali, A.; Saluja, S.S.; Sharma, S.; Al-Allaf, F.A.; Abduljaleel, Z.; Ibrahim, I.A.A.; Abdel-Wahab, A.F.; et al. Phytosterols as a natural anticancer agent: Current status and future perspective. Biomed. Pharmacother. 2017, 88, 786–794. [Google Scholar] [CrossRef] [PubMed]
- Golimowski, W.; Teleszko, M.; Marcinkowski, D.; Kmiecik, D.; Grygier, A.; Kwaśnica, A. Quality of Oil Pressed from Hemp Seed Varieties: ‘Earlina 8FC’, ‘Secuieni Jubileu’ and ‘Finola’. Molecules 2022, 27, 3171. [Google Scholar] [CrossRef] [PubMed]
- Siano, F.; Moccia, S.; Picariello, G.; Russo, G.L.; Sorrentino, G.; Di Stasio, M.; La Cara, F.; Volpe, M.G. Comparative Study of Chemical, Biochemical Characteristic and ATR-FTIR Analysis of Seeds, Oil and Flour of the Edible Fedora Cultivar Hemp (Cannabis sativa L.). Molecules 2019, 24, 83. [Google Scholar] [CrossRef] [PubMed]
- Ferrari, R.A.; Schulte, E.; Esteves, W.; Brühl, L.; Mukherjee, K.D. Minor constituents of vegetable oils during industrial processing. J. Am. Oil Chem. Soc. 1996, 73, 587–592. [Google Scholar] [CrossRef]
- Chew, S.C.; Ali, M.A. Recent advances in ultrasound technology applications of vegetable oil refining. Trends Food Sci. Technol. 2021, 116, 468–479. [Google Scholar] [CrossRef]
- Verleyen, T.; Szulczewska, A.; Verhe, R.; Dewettinck, K.; Huyghebaert, A.; De Greyt, W. Comparison of steradiene analysis between GC and HPLC. Food Chem. 2002, 78, 267–272. [Google Scholar] [CrossRef]
- Bai, G.; Ma, C.; Chen, X. Phytosterols in edible oil: Distribution, analysis and variation during processing. Grain Oil Sci. Technol. 2021, 4, 33–44. [Google Scholar] [CrossRef]
- Varleyen, T.; Cortes, E.; Varhe, R.; Dewettinck, K.; Huyghebaert, A.; De Greyt, W. Factors determining the steradiene formation in bleaching and deodorisation | Request PDF. Eur. J. Lipid Sci. Technol. 2002, 104, 331–339. [Google Scholar] [CrossRef]
- Chew, S.C.; Nyam, K.L. Refining of edible oils. In Lipids Edible Oils; Academic Press: Cambridge, MA, USA, 2020; pp. 213–241. ISBN 9780128171059. [Google Scholar] [CrossRef]
- Temme, H.; Sohling, U.; Suck, K.; Ruf, F.; Niemeyer, B. Selective adsorption of aromatic ketones on kerolite clay for separation in biocatalytic applications. Colloids Surf. A Physicochem. Eng. Asp. 2011, 377, 290–296. [Google Scholar] [CrossRef]
- Soetaredjo, F.E.; Laysandra, L.; Putro, J.N.; Santoso, S.P.; Angkawijaya, A.E.; Yuliana, M.; Ju, Y.H.; Zhou, C.H.; Ismadji, S. Ecological-safe and low-cost activated-bleaching earth: Preparation, characteristics, bleaching performance, and scale-up production. J. Clean. Prod. 2021, 279, 123793. [Google Scholar] [CrossRef]
- Essid, K.; Trabelsi, M.; Frikha, M.H. Oxidative stability of neutralized oils bleached with clays activated with ultrasound. Ind. Crops Prod. 2016, 89, 268–272. [Google Scholar] [CrossRef]
- El-Mallah, M.; El-Shami, S. Effect of chemical refining steps on the minor and major components of cottonseed oil. Agric. Biol. J. North Am. 2011, 2, 341–349. [Google Scholar] [CrossRef]
- Igansi, A.V.; Engelmann, J.; Lütke, S.F.; Porto, F.B.; Pinto, L.A.A.; Cadaval, T.R.S. Isotherms, kinetics, and thermodynamic studies for adsorption of pigments and oxidation products in oil bleaching from catfish waste. Chem. Eng. Commun. 2019, 206, 1410–1424. [Google Scholar] [CrossRef]
- Dijkstra, A.J. What to Do with Spent Bleaching Earth? A Review. J. Am. Oil Chem. Soc. 2020, 97, 565–575. [Google Scholar] [CrossRef]
- Mo, S.; Dong, L.; Hurst, W.J.; van Breemen, R.B. Quantitative Analysis of Phytosterols in Edible Oils Using APCI Liquid Chromatography–Tandem Mass Spectrometry. Lipids 2013, 48, 949–956. [Google Scholar] [CrossRef] [PubMed]
- Qian, Y.; Grygier, A.; Majewski, A.; Walkowiak-Tomczak, D.; Siger, A.; Rudzińska, M. Purity of Olive Oil Commercially Available in Poland. J. Oleo Sci. 2022, 71, 43–50. [Google Scholar] [CrossRef]






| Effect | Value | F | df Effect | df Error | p |
|---|---|---|---|---|---|
| Free parameter | 0.000019 | 427,585.963 | 9 | 75.0000 | 0.00 |
| Variety (1) | 0.000001 | 7769.1 | 18 | 150.0000 | 0.00 |
| Temperature (2) | 0.001233 | 6752.6 | 9 | 75.0000 | 0.00 |
| Dose of bleaching earth (3) | 0.002809 | 2958.5 | 9 | 75.0000 | 0.00 |
| Bleaching earth (4) | 0.000000 | 1687.4 | 54 | 387.0206 | 0.00 |
| Variety—Temperature | 0.000021 | 1828.8 | 18 | 150.0000 | 0.00 |
| Variety—Dose of bleaching earth | 0.010590 | 72.6 | 18 | 150.0000 | 0.00 |
| Variety—Bleaching earth | 0.000000 | 350.8 | 108 | 558.5292 | 0.00 |
| Temperature—Dose of bleaching earth | 0.080871 | 94.7 | 9 | 75.0000 | 0.00 |
| Temperature—Bleaching earth | 0.000000 | 370.3 | 54 | 387.0206 | 0.00 |
| 1–2–3 | 0.003702 | 128.6 | 18 | 150.0000 | 0.00 |
| 1–2–4 | 0.000000 | 418.2 | 108 | 558.5292 | 0.00 |
| 1–3–4 | 0.000000 | 76.6 | 108 | 558.5292 | 0.00 |
| 2–3–4 | 0.000002 | 91.6 | 54 | 387.0206 | 0.00 |
| 1–2–3–4 | 0.000000 | 134.5 | 108 | 558.5292 | 0.00 |
| P1 | P2 | P3 | P4 | P5 | P6 | P7 | |
| Foto | ![]() | ![]() | ![]() | ![]() | ![]() | ![]() | ![]() |
| Mineral | Attapulgite clay | Attapulgite clay | Attapulgite clay | Magnesian bentonite | Magnesian bentonite | Magnesian bentonite | Kerolite-hydrated magnesium silicate |
| Modified | Physically activated | pH-modified | Not modified | Not modified | Not modified | Acid-modified | Chemically modified |
| pH | 8.0 | 3.2 | 8.0 | 8.5 | 10.0 | 6.5 | 6.0 |
| Density (kg/m3) | 0.41 | 0.51 | 0.47 | 0.60 | 0.60 | 0.60 | 0.55 |
| Composition (%) | |||||||
| SiO2 | 55–60 | 58.8 | 56.1 | 63.1 | 53.5 | ||
| Al2O3 | 2.5 | 5.3 | 5.7 | 8.3 | 4.0 | ||
| Fe2O3 | 12–14 | 1.4 | 1.6 | 1.9 | 1.5 | ||
| MgO | 18–21 | 23.0 | 23.6 | 23.0 | 30.5 | ||
| CaO | 0.5–1.0 | 2.1 | 2.7 | 2.6 | 0.7 | ||
| Na2O | 0.05–0.25 | - | - | - | 0.3 | ||
| Phytotserol (mg/g) | Hemp Seeds Oils | |||||
|---|---|---|---|---|---|---|
| ‘Finola’ (C) | ‘Finola’ (H) | ‘Earlina 8 FC’ (C) | ‘Earlina 8 FC’ (H) | ‘S. Jubileu’ (C) | ‘S. Jubileu’ (H) | |
| campesterol | 0.33 ± 0.00 | 0.33 ± 0.01 | 0.32 ± 0.01 | 0.33 ± 0.02 | 0.29 ± 0.02 | 0.29 ± 0.02 |
| campestanol | 0.03 ± 0.00 | 0.03 ± 0.00 | 0.02 ± 0.00 | 0.03 ± 0.00 | 0.03 ± 0.00 | 0.03 ± 0.00 |
| stigmasterol | 0.05 ± 0.01 | 0.05 ± 0.01 | 0.04 ± 0.00 | 0.04 ± 0.01 | 0.04 ± 0.00 | 0.03 ± 0.00 |
| β-sitosterol | 1.35 ± 0.02 | 1.28 ± 0.00 | 1.23 ± 0.09 | 1.27 ± 0.09 | 1.26 ± 0.11 | 1.25 ± 0.07 |
| sitostanol | 0.02 ± 0.00 | 0.04 ± 0.00 | 0.02 ± 0.00 | 0.03 ± 0.00 | 0.02 ± 0.01 | 0.02 ± 0.01 |
| Δ5-avenasterol | 0.16 ± 0.00 | 0.15 ± 0.02 | 0.15 ± 0.01 | 0.16 ± 0.02 | 0.14 ± 0.02 | 0.15 ± 0.02 |
| Δ5,24-stigmastadienol | 0.06 ± 0.00 | 0.06 ± 0.01 | 0.05 ± 0.00 | 0.06 ± 0.01 | 0.04 ± 0.01 | 0.05 ± 0.00 |
| Δ7-avenasterol | 0.10 ± 0.00 | 0.08 ± 0.00 | 0.08 ± 0.00 | 0.09 ± 0.01 | 0.10 ± 0.01 | 0.05 ± 0.00 |
| 24-methylenecycloartenol | 0.03 ± 0.00 | 0.03 ± 0.00 | 0.03 ± 0.01 | 0.04 ± 0.00 | 0.04 ± 0.00 | 0.04 ± 0.01 |
| TOTAL | 2.13 ± 0.03 | 2.06 ± 0.03 | 1.95 ± 0.10 | 2.05 ± 0.15 | 1.97 ± 0.20 | 1.97 ± 0.11 |
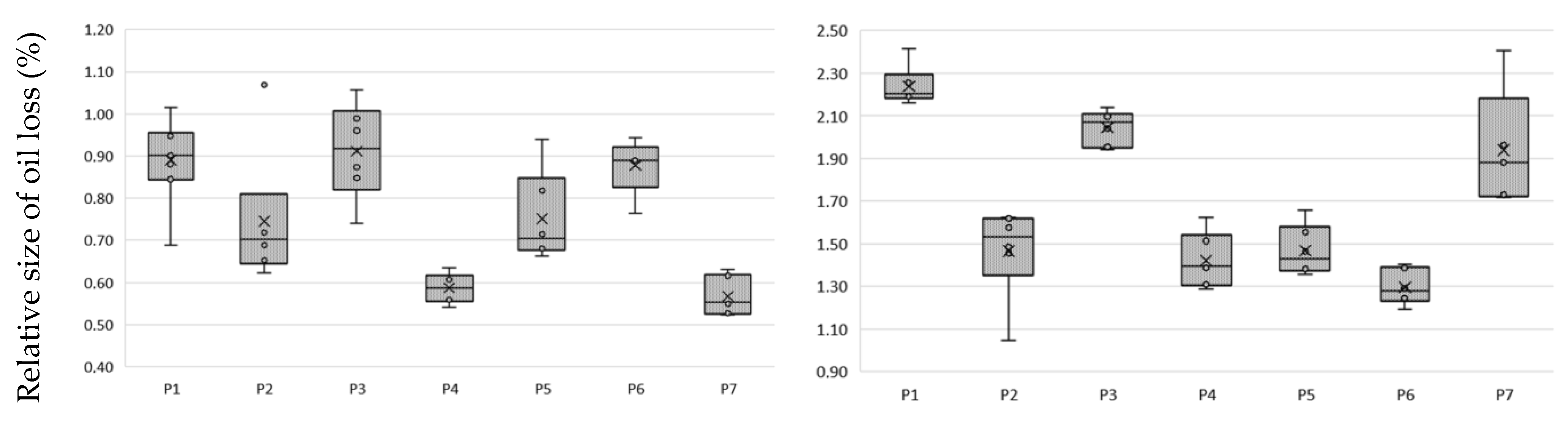
| BE | TO | P1 | P2 | P3 | P4 | P5 | P6 | P7 |
|---|---|---|---|---|---|---|---|---|
| ‘Finola’ (%) | ||||||||
| 2.5 | C | 0.90 | 0.69 | 1.07 | 0.74 | 0.56 | 0.62 | 0.94 |
| H | 0.95 | 0.72 | 0.99 | 0.64 | 0.72 | 0.56 | 0.90 | |
| 5.0 | C | 2.16 | 1.62 | 2.14 | 1.51 | 1.36 | 1.26 | 2.40 |
| H | 2.19 | 1.58 | 1.95 | 1.40 | 1.40 | 1.19 | 1.88 | |
| ‘Earlina 8 FC’ (%) | ||||||||
| 2.5 | C | 1.01 | 0.69 | 1.06 | 0.61 | 0.82 | 0.53 | 0.76 |
| H | 0.88 | 0.65 | 0.85 | 0.54 | 0.66 | 0.52 | 0.89 | |
| 5.0 | C | 2.20 | 1.49 | 2.04 | 1.29 | 1.66 | 1.24 | 1.73 |
| H | 2.41 | 1.62 | 2.10 | 1.31 | 1.38 | 1.29 | 1.96 | |
| ‘S. Jubileu’ [%] | ||||||||
| 2.5 | C | 0.85 | 0.62 | 0.96 | 0.61 | 0.69 | 0.63 | 0.94 |
| H | 0.96 | 0.72 | 0.87 | 0.57 | 0.68 | 0.55 | 0.89 | |
| 5.0 | C | 2.21 | 1.46 | 1.94 | 1.39 | 1.56 | 1.40 | 1.72 |
| H | 2.26 | 1.04 | 2.10 | 1.63 | 1.46 | 1.39 | 1.93 | |
| BE | TO | P1 | P2 | P3 | P4 | P5 | P6 | P7 |
|---|---|---|---|---|---|---|---|---|
| ‘Finola’ (10−2 g) | ||||||||
| 2.5 | C | 5.08 | 5.85 | 7.10 | 4.63 | 5.29 | 4.84 | 4.60 |
| H | 4.31 | 7.54 | 6.25 | 4.69 | 6.14 | 4.43 | 4.31 | |
| 5.0 | C | 5.53 | 7.97 | 7.71 | 5.18 | 4.94 | 5.23 | 6.18 |
| H | 4.70 | 9.03 | 6.74 | 5.66 | 5.38 | 4.36 | 5.04 | |
| ‘Earlina 8 FC’ (10−2 g) | ||||||||
| 2.5 | C | 5.24 | 6.54 | 3.96 | 3.96 | 3.78 | 3.25 | 3.68 |
| H | 4.40 | 5.94 | 3.82 | 3.49 | 3.73 | 3.51 | 3.99 | |
| 5.0 | C | 5.07 | 6.27 | 4.17 | 3.96 | 3.84 | 3.91 | 4.30 |
| H | 4.93 | 6.95 | 4.32 | 3.87 | 4.02 | 3.70 | 4.60 | |
| ‘S. Jubileu’ (10−2 g) | ||||||||
| 2.5 | C | 5.24 | 6.59 | 5.66 | 4.95 | 6.46 | 4.74 | 4.35 |
| H | 6.38 | 8.80 | 6.51 | 6.22 | 6.09 | 5.58 | 5.53 | |
| 5.0 | C | 6.56 | 7.98 | 6.95 | 6.15 | 6.53 | 5.04 | 5.41 |
| H | 7.27 | 7.90 | 6.80 | 6.98 | 6.88 | 4.66 | 5.55 | |
Publisher’s Note: MDPI stays neutral with regard to jurisdictional claims in published maps and institutional affiliations. |
© 2022 by the authors. Licensee MDPI, Basel, Switzerland. This article is an open access article distributed under the terms and conditions of the Creative Commons Attribution (CC BY) license (https://creativecommons.org/licenses/by/4.0/).
Share and Cite
Kwaśnica, A.; Teleszko, M.; Marcinkowski, D.; Kmiecik, D.; Grygier, A.; Golimowski, W. Analysis of Changes in the Amount of Phytosterols after the Bleaching Process of Hemp Oils. Molecules 2022, 27, 7196. https://doi.org/10.3390/molecules27217196
Kwaśnica A, Teleszko M, Marcinkowski D, Kmiecik D, Grygier A, Golimowski W. Analysis of Changes in the Amount of Phytosterols after the Bleaching Process of Hemp Oils. Molecules. 2022; 27(21):7196. https://doi.org/10.3390/molecules27217196
Chicago/Turabian StyleKwaśnica, Andrzej, Mirosława Teleszko, Damian Marcinkowski, Dominik Kmiecik, Anna Grygier, and Wojciech Golimowski. 2022. "Analysis of Changes in the Amount of Phytosterols after the Bleaching Process of Hemp Oils" Molecules 27, no. 21: 7196. https://doi.org/10.3390/molecules27217196
APA StyleKwaśnica, A., Teleszko, M., Marcinkowski, D., Kmiecik, D., Grygier, A., & Golimowski, W. (2022). Analysis of Changes in the Amount of Phytosterols after the Bleaching Process of Hemp Oils. Molecules, 27(21), 7196. https://doi.org/10.3390/molecules27217196








