Advocacy for the Medicinal Plant Artabotrys hexapetalus (Yingzhao) and Antimalarial Yingzhaosu Endoperoxides
Abstract
1. Introduction
2. The Plant Yingzhao
3. Traditional Medicinal Uses of Yingzhao
4. Phytochemical Content of Yingzhao
4.1. Alkaloids from Yingzhao
4.2. Terpenoids, Lignans and Flavonoids from Yingzhao
5. Yingzhaosu and Analogues
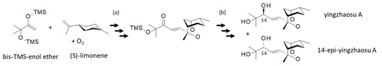
5.1. Discovery and Synthesis of Yingzhaosu A-D
5.2. Synthesis and Pharmacology of Yingzhaosu Analogues
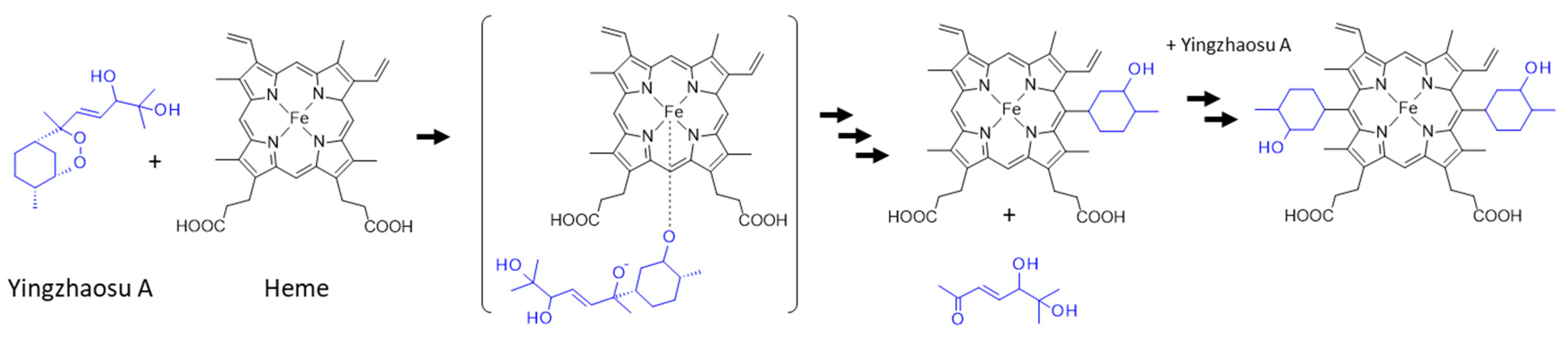
6. Mechanism of Action of Yingzhaosu A
6.1. Reactivity in the Presence of Iron(II)
6.2. Reaction with Iron-Complexed Heme
7. Discussion and Conclusions
Author Contributions
Funding
Institutional Review Board Statement
Informed Consent Statement
Data Availability Statement
Conflicts of Interest
References
- Moxon, C.A.; Gibbins, M.P.; McGuinness, D.; Milner, D.A., Jr.; Marti, M. New Insights into Malaria Pathogenesis. Annu. Rev. Pathol. 2020, 15, 315–343. [Google Scholar] [CrossRef] [PubMed]
- Laurens, M.B. RTS,S/AS01 vaccine (Mosquirix™): An overview. Hum. Vaccin. Immunother. 2020, 16, 480–489. [Google Scholar] [CrossRef]
- Badeliya, S.N.; Kapupara, P.P.; Chauhan, N.F.; Panchal, I.I. A contemporary chemical entities infiltrating in the antimalarial therapy era: A comprehensive review. Folia Med. 2021, 63, 637–646. [Google Scholar] [CrossRef]
- Daily, J.P.; Minuti, A.; Khan, N. Diagnosis, Treatment, and Prevention of Malaria in the US: A Review. JAMA 2022, 328, 460–471. [Google Scholar] [CrossRef]
- Bailly, C. Pyronaridine: An update of its pharmacological activities and mechanisms of action. Biopolymers 2021, 112, 23398. [Google Scholar] [CrossRef] [PubMed]
- Pryce, J.; Taylor, M.; Fox, T.; Hine, P. Pyronaridine-artesunate for treating uncomplicated Plasmodium falciparum malaria. Cochrane Database Syst. Rev. 2022, 6, CD006404. [Google Scholar] [CrossRef] [PubMed]
- Tu, Y. Artemisinin-A Gift from Traditional Chinese Medicine to the World (Nobel Lecture). Angew. Chem. Int. Ed. 2016, 55, 10210–10226. [Google Scholar] [CrossRef] [PubMed]
- Mancuso, R.I.; Foglio, M.A.; Saad, S.T.O. Artemisinin-type drugs for the treatment of hematological malignancies. Cancer Chemother. Pharmacol. 2021, 87, 1–22. [Google Scholar] [CrossRef] [PubMed]
- Zhang, J.; Li, Y.; Wan, J.; Zhang, M.; Li, C.; Lin, J. Artesunate: A review of its therapeutic insights in respiratory diseases. Phytomedicine 2022, 104, 154259. [Google Scholar] [CrossRef]
- Farmanpour-Kalalagh, K.; Kashkooli, A.B.; Babaei, A.; Rezaei, A.; van der Krol, A.R. Artemisinins in Combating Viral Infections Like SARS-CoV-2, Inflammation and Cancers and Options to Meet Increased Global Demand. Front. Plant Sci. 2022, 13, 780257. [Google Scholar] [CrossRef]
- Torres-García, I.; López-Martínez, J.L.; Muñoz-Dorado, M.; Rodríguez-García, I.; Álvarez-Corral, M. Marine Terpenic Endoperoxides. Mar. Drugs 2021, 19, 661. [Google Scholar] [CrossRef] [PubMed]
- Dembitsky, V.M.; Ermolenko, E.; Savidov, N.; Gloriozova, T.A.; Poroikov, V.V. Antiprotozoal and Antitumor Activity of Natural Polycyclic Endoperoxides: Origin, Structures and Biological Activity. Molecules 2021, 26, 686. [Google Scholar] [CrossRef] [PubMed]
- WFO. 2022. Available online: http://www.worldfloraonline.org/taxon/wfo-0000549776 (accessed on 14 September 2022).
- Prabhu, S.; Sathiyaseelan, R.; Aron, S.; Murugan, C. A Review of the Genus Artabotrys R. Br. (Annonaceae) from Andaman and Nicobar Islands, with a New Record for India. Indian J. For. 2015, 38, 159–164. [Google Scholar]
- Posluszny, U.; Fisher, J.B. Thorn and hook ontogeny in Artabotrys hexapetalus (Annonaceae). Am. J. Bot. 2000, 87, 1561–1570. [Google Scholar] [CrossRef] [PubMed]
- Suleiman, R.A.; Mgani, Q.A.; Nyandoro, S. Chemical compositions and mosquito repellency of essential oils from Artabotrys hexapetalus and Artabotrys rupestris. Int. J. Biol. Chem. Sci. 2014, 8, 2804–2812. [Google Scholar] [CrossRef]
- Handayani, T. Seed germination and seedling morphology of Artabotrys hexapetalus. Nusant. Biosci. 2017, 9, 23–30. [Google Scholar] [CrossRef]
- Phan, G.M.; Phan, S.T.; König, W.A. Chemical Composition of the Flower Essential Oil of Artabotrys hexapetalus (L.f.) Bhandare of Vietnam. J. Essent. Oil Res. 2007, 19, 523–524. [Google Scholar] [CrossRef]
- Kousalya, P.; Doss, V.A. Artabotrys hexapetalus (L.f.) Bhandari: Ethnomedicinal Uses, Pharmacological Properties and Bioactive Compounds-Review. J. Huazhong Univ. Sci. Technol. 2021, 50, 1–11. [Google Scholar]
- Grainge, M. Effects of extracts of Artabotrys uncinatus and Allium sativum on Xanthomonas campestris pv. oryzae. Curr. Sci. 1985, 54, 90. [Google Scholar]
- Grainge, M.; Alvarez, A. Antibacterial and Antifungal Activity of A. hexapetalus leaf extracts. Int. J. Trop. Plant Dis. 1987, 5, 173–179. [Google Scholar]
- Sowjanya, K.M.; Swathi, J.; Narendra, K.; Padmavathi, C.H.; Satya, A.K. Extraction and Antimicrobial Potential of Secondary Plant Metabolites from Artabotrys hexapetalus (Linn. F.) Bhandari. Int. J. Res. Ayurveda Pharm. 2013, 4, 764–768. [Google Scholar] [CrossRef]
- Srivastava, B.; Singh, P.; Srivastava, A.K.; Shukla, R.; Dubey, N.K. Efficacy of Artabotrys odoratissimus oil as a plant based antimicrobial against storage fungi and aflatoxin B1 secretion. Int. J. Food Sci. Technol. 2009, 44, 1909–1915. [Google Scholar] [CrossRef]
- Syam, S.K.; Anudeep, M.; Ramana, C.V.; Bhaskar, C. Screening of antimicrobial activity of flower extracts on human bacterial pathogens. J. Pharmacogn. Phytochem. 2015, 3, 153–156. [Google Scholar]
- Kim, H.S.; Begum, K.; Ogura, N.; Wataya, Y.; Tokuyasu, T.; Masuyama, A.; Nojima, M.; McCullough, K.J. Antimalarial activity of yingzhaosu A analogues. J. Med. Chem. 2002, 45, 4732–4736. [Google Scholar] [CrossRef]
- Borstnik, K.; Paik, I.H.; Shapiro, T.A.; Posner, G.H. Antimalarial chemotherapeutic peroxides: Artemisinin, yingzhaosu A and related compounds. Int. J. Parasitol. 2002, 32, 1661–1667. [Google Scholar] [CrossRef]
- Vasundhara, M.; Anjali, K.R.; Chithra, C.; Gupta, P.; Karthik, Y.P.; Roopa, C. Absence of anthelmintic activity of hydroalcoholic leaf extracts of Artabotrys hexapetalus (Linn.f). J. Pharm. Negat. Results 2014, 5, 1–3. [Google Scholar] [CrossRef]
- Bajaj, S.; Wakode, S.R.; Khan, W.; Manchanda, S.; Kumar, S. Simultaneous HPTLC analysis and in vitro antileishmanic activity of various secondary metabolites in extract of the traditional medicinal herb Artabotrys hexapetalus (L.f.). AYU 2018, 39, 92–100. [Google Scholar] [CrossRef]
- Manjula, M.; Kumuda, K.V.; Anitha, S.; Shashidhara, S. Antioxidant and antimicrobial activities of various extracts of Artabotrys hexapetalus flowers. Pharma Sci. Monit. 2011, 2, 42–50. [Google Scholar]
- Shankar, D.P.; Ananthi, P.; Devi, K.H.N. Bioinspired Synthesis and Characterization of Silver Nanoparticles using an Aqueous extract of Artabotrys hexapetalus. J. NanoSci. NanoTechnol. 2014, 2, 66–70. [Google Scholar]
- Geetha, M.; Shankar, M.B.; Mehta, R.S.; Saluja, A.K. Antifertility activity of Artabotrys odoratissimus Roxb. and Couroupita guianensis Aubl. J. Nat. Remedies 2005, 5, 121–125. [Google Scholar]
- Johri, P.K.; Tiwari, D.; Johri, R. Screenings of some indigenous medical plants for anti-implantation/anti-fertility activity in female Albino rats. Biochem. Cell. Arch. 2009, 9, 175–178. [Google Scholar]
- Karthik, Y.P.; Swamy, B.M.V.; Vishwanath, K.M. Evaluation of Anti-Fertility Activities of Leaves of Artabotrys hexapetalus (Linn. F). Res. J. Pharm. Biol. Chem. Sci. 2012, 3, 1121–1134. [Google Scholar]
- Kodithala, S.; Murali, R.; Srinivasan, N.; Agarwal, S.K. Anti-fertility activity of leaves and Stem parts of Artabotrys odoratissimus. (roxb.) R.Br. Annonaceae. J. Med. Pharm. Allied Sci. 2021, 10, 3524–3528. [Google Scholar] [CrossRef]
- Kodithala, S.; Murali, R. A review on Artabotrys odoratissimus (Annonaceae). J. Pharmacog. Phytochem. 2018, 7, 1414–1416. [Google Scholar]
- Meghana, P.; Jain, R.S.K.; Prashanth, N.; Kumar, J.U.S.; Pallavi, M.; Monnenahally, K.H. Antiproliferative effects of Artabotrys odoratissimus fruit extract and its bioactive fraction through upregulation of p53/γH2AX signals and G2/M phase arrest in MIA PaCa-2 cells. Anticancer Agents Med. Chem. 2022, 22, 2998–3008. [Google Scholar]
- Rahini, D.; Anuradha, R. In-vitro antioxidant activity of Artabotrys hexapetallus. Res. J. Pharm. Biol. Chem. Sci. 2014, 5, 396–405. [Google Scholar]
- Veena Rani, I.; Annapurna, A.; Ganapathi, S. Evaluation of hepatoprotective activity and oxidative stress parameters of alcoholic extract of Artabotrys hexapetalus (L.F.) Bhandari. J. Glob. Trends Pharm. Sci. 2016, 7, 3192–3199. [Google Scholar]
- Bajaj, S.; Wakode, S. Effect of Extraction Solvent on Total Phenol content, Total Flavonoid content, Antioxidant and Anti-Inflammatory activity of Artabortrys hexapetalus. Int. J. Biol. Pharm. Allied Sci. 2017, 6, 1562–1577. [Google Scholar]
- Suresh, K.; Hindustan, A.A.; Satyanarayana, S.V. Antioxidant activity and Hepatoprotective potential of Ethanolic leaf extract of Artabotrys hexapetalus against various Hepatotoxins induced Hepatotoxicity in Albino wister Rats. Int. J. Res. Pharm. Sci. 2021, 12, 1679–1688. [Google Scholar] [CrossRef]
- Chakrabarti, B.; Chaudhuri, A.; Chowdhury, P.R. Antifertility effect of green leaves of Artabotrys odoratissimus. J. Indian Med. Assoc. 1968, 51, 227–229. [Google Scholar]
- Kamboj, V.P.; Dhawan, B.N. Research on plants for fertility regulation in India. J. Ethnopharmacol. 1982, 6, 191–226. [Google Scholar] [CrossRef]
- Li, T.M.; Li, W.K.; Yu, J.G. Flavonoids from Artabotrys hexapetalus. Phytochemistry 1997, 45, 831–833. [Google Scholar] [CrossRef]
- Li, T.; Yu, J. Studies on the chemical constituents of the leaves from Artabotrys hexapetalus. Yao Xue Xue Bao 1998, 33, 591–596. [Google Scholar] [PubMed]
- Khaw, L.T.; Leerach, N.; Yap, N.J.; Jaturas, N.; Mahboob, T.; Tan, T.C.; Dungca, J.Z.; LosBaños, Z.D.; Sitthisak, S.; Chow, S.C.; et al. A preliminary screening of potentially antimalarial plants against Plasmodium falciparum in vitro. Trop. Biomed. 2015, 32, 676–683. [Google Scholar]
- Hsieh, T.J.; Chang, F.R.; Chia, Y.C.; Chen, C.Y.; Lin, H.C.; Chiu, H.F.; Wu, Y.C. The alkaloids of Artabotrys uncinatus. J. Nat. Prod. 2001, 64, 1157–1161. [Google Scholar] [CrossRef]
- Hsieh, T.J.; Chen, C.Y.; Kuo, R.Y.; Chang, F.R.; Wu, Y.C. Two new alkaloids from Artabotrys uncinatus. J. Nat. Prod. 1999, 62, 1192–1193. [Google Scholar] [CrossRef]
- Begum, A.S.; Nasser, A.J.A. Corrosion inhibition by aqueous extracts of Artabotrys hexapetalus plant leaves in 1 M hydrochloric acid solution. Aegaeum J. 2020, 8, 1101–1113. [Google Scholar]
- Rathod, M.R.; Minagalavar, R.; Sk, R.K. Effect of Artabotrys odoratissimus extract as an environmentally sustainable inhibitor for mild steel corrosion in 0.5 M H2SO4 media. J. Indian Chem. Soc. 2022, 99, 100445. [Google Scholar] [CrossRef]
- Ku, A.F.; Cuny, G.D. Structure Revision and Biological Evaluation of Artabonatine A and Its Diastereoisomer. FASEB J. 2017, 31, 766.10. [Google Scholar] [CrossRef]
- Chen, C.Y.; Chang, F.R.; Pan, W.B.; Wu, Y.C. Four alkaloids from Annona cherimola. Phytochemistry 2001, 56, 753–757. [Google Scholar] [CrossRef]
- Zhou, Q.; Fu, Y.H.; Li, X.B.; Chen, G.Y.; Wu, S.Y.; Song, X.P.; Liu, Y.P.; Han, C.R. Bioactive benzylisoquinoline alkaloids from Artabotrys hexapetalus. Phytochem. Lett. 2015, 11, 296–300. [Google Scholar] [CrossRef]
- Gontijo, D.C.; Brandão, G.C.; Nascimento, M.F.A.D.; Oliveira, A.B. Antiplasmodial activity and cytotoxicity, isolation of active alkaloids, and dereplication of Xylopia sericea leaves ethanol extract by UPLC-DAD-ESI-MS/MS. J. Pharm. Pharmacol. 2019, 71, 260–269. [Google Scholar] [CrossRef] [PubMed]
- Li, H.T.; Wu, H.M.; Chen, H.L.; Liu, C.M.; Chen, C.Y. The pharmacological activities of (−)-anonaine. Molecules 2013, 18, 8257–8263. [Google Scholar] [CrossRef] [PubMed]
- Nugraha, A.S.; Damayanti, Y.D.; Wangchuk, P.; Keller, P.A. Anti-Infective and Anti-Cancer Properties of the Annona Species: Their Ethnomedicinal Uses, Alkaloid Diversity, and Pharmacological Activities. Molecules 2019, 24, 4419. [Google Scholar] [CrossRef]
- Fakova, H.; Pour, M.; Kunes, J.; Senel, P. Carbonylative lactonization via carbonyl oxygen attack: A short and selective total synthesis of uncinine and its analogues. Tetrahedron Lett. 2005, 46, 8137–8140. [Google Scholar] [CrossRef]
- Tan, K.K.; Khoo, T.J.; Rajagopal, M.; Wiart, C. Antibacterial alkaloids from Artabotrys crassifolius Hook.f. & Thomson. Nat. Prod. Res. 2015, 29, 2346–2349. [Google Scholar]
- Kwan, T.K.; Shipton, F.; Azman, N.S.; Hossan, S.; Jin, K.T.; Wiart, C. Cytotoxic Aporphines from Artabotrys crassifolius. Nat. Prod. Commun. 2016, 11, 389–392. [Google Scholar] [CrossRef]
- Gören, A.C.; Zhou, B.N.; Kingston, D.G. Cytotoxic and DNA damaging activity of some aporphine alkaloids from Stephania dinklagei. Planta Med. 2003, 69, 867–868. [Google Scholar]
- Wu, Y.C.; Chen, C.H.; Yang, T.H.; Lu, S.T.; McPhail, D.R.; McPhail, A.T.; Lee, K.H. Cytotoxic aporphines from Artabotrys uncinatus and the structure and stereochemistry of artacinatine. Phytochemistry 1989, 28, 2191–2195. [Google Scholar]
- Lan, Y.H.; Wang, H.Y.; Wu, C.C.; Chen, S.L.; Chang, C.L.; Chang, F.R.; Wu, Y.C. New constituents from stems of Artabotrys uncinatus. Chem. Pharm. Bull. 2007, 55, 1597–1599. [Google Scholar] [CrossRef][Green Version]
- Sichaem, J.; Ruksilp, T.; Worawalai, W.; Siripong, P.; Khumkratok, S.; Tip-pyang, S. A new dimeric aporphine from the roots of Artabotrys spinosus. Fitoterapia 2011, 82, 422–425. [Google Scholar] [CrossRef] [PubMed]
- Wen, Q. Chemical constituents from stems and leaves of Artabotrys hongkongensis. Chin. Tradit. Herb. Drugs 2019, 24, 551–556. [Google Scholar]
- Li, H.Y.; Sun, N.J.; Kashiwada, Y.; Sun, L.; Snider, J.V.; Cosentino, L.M.; Lee, K.H. Anti-AIDS agents, 9. Suberosol, a new C31 lanostane-type triterpene and anti-HIV principle from Polyalthia suberosa. J. Nat. Prod. 1993, 56, 1130–1133. [Google Scholar] [CrossRef]
- Mehta, B.K.; Kori, P.; Mehta, D.; Misra, H. Novel lipid constituents identified from the leaves of Artabotrys odoratissimus (R.Br). Arab. J. Chem. 2017, 10, S742–S746. [Google Scholar] [CrossRef]
- Khaleel, F.D.; Zuber, S.M.; Mehta, B.K.; Mehta, D.; Kolisetty, S.R. Phytochemical study on the benzene:acetone extract of the leaves of Artabotrys odoratissimus. Afr. J. Pure Appl. Chem. 2014, 8, 32–36. [Google Scholar]
- Somanawat, J.; Talangsri, N.; Deepolngam, S.; Kaewamatawong, R. Flavonoid and megastigmane glycosides from Artabotrys hexapetalus leaves. Biochem. Syst. Ecol. 2012, 44, 124–127. [Google Scholar] [CrossRef]
- Das, A.; Baidya, R.; Chakraborty, T.; Samanta, A.K.; Roy, S. Pharmacological basis and new insights of taxifolin: A comprehensive review. Biomed. Pharmacother. 2021, 142, 112004. [Google Scholar] [CrossRef]
- Wong, H.F.; Brown, G.D. β-Methoxy-γ-methylene-α,β-unsaturated-γ-butyrolactones from Artabotrys hexapetalus. Phytochemistry 2002, 59, 99–104. [Google Scholar] [CrossRef]
- Yu, J.G.; Li, T.M.; Sun, L.; Luo, X.Z.; Ding, W.; Li, D.Y. Studies on the chemical constituents of the seeds from Artabostrys hexapetalus (Annonaceae). Yao Xue Xue Bao 2001, 36, 281–286. [Google Scholar]
- Batwal, R.U.; Argade, N.P. Chemoenzymatic Access to (+)-Artabotriol and its Application in Collective Synthesis of (+)-Grandiamide D, (–)-Tulipalin B, (+)-Spirathundiol, and (+)-Artabotriolcaffeate. Synthesis 2016, 48, 2130–2136. [Google Scholar]
- Xi, F.M.; Ma, S.G.; Liu, Y.B.; Li, L.; Yu, S.S. Artaboterpenoids A and B, Bisabolene-Derived Sesquiterpenoids from Artabotrys hexapetalus. Org. Lett. 2016, 18, 3374–3377. [Google Scholar] [CrossRef]
- Xi, F.M.; Liu, Y.B.; Qu, J.; Li, Y.; Tang, Z.H.; Li, L.; Li, Y.H.; Chen, X.G.; Ma, S.G.; Yu, S.S. Bioactive sesquiterpenoids from the roots of Artabotrys hexapetalus. Tetrahedron 2017, 73, 571–582. [Google Scholar] [CrossRef]
- Mahidol, C.; Chimnoi, N.; Chokchaichamnankit, D. Identification of Volatile Constituents in Artabotrys hexapetalus Flowers Using Simple Headspace Solvent-Trapping Technique in Combination with Gas Chromatography-Mass Spectrometry and Retention Indices. In Proceedings of the III WOCMAP Congress on Medicinal and Aromatic Plants-Volume 3: Perspectives in Natural Product Chemistry, Chiang Mai, Thailand, 3–7 February 2003; Başer, K.H.C., Franz, G., Cañigueral, S., Demirci, F., Craker, L.E., Gardner, Z.E., Eds.; ISHS: Leuven, Belgium, 2005. [Google Scholar]
- Ravi, S.; Sundaram, K. The essential oil constituents of Artabotrys species—A review. J. Phytol. 2020, 12, 24–28. [Google Scholar]
- Meghana, P.; Jain, R.S.K.; Prashanth, N.; Kumaraswamy, H.M. Phytochemical profiling and screening of protective effects of Artabotrys odoratissimus on H2O2 induced oxidative stress in HEK-293 cells and erythrocytes. Bot. Lett. 2020, 167, 471–484. [Google Scholar]
- Wang, D.; Zhang, S.; Chang, Z.; Kong, D.X.; Zuo, Z. Quebrachitol: Global Status and Basic Research. Nat. Prod. Bioprospect. 2017, 7, 113–122. [Google Scholar] [CrossRef]
- Liang, X.T.; Yu, D.Q.; Wu, W.L.; Deng, H.C. The structure of yingzhaosu A. Acta Chim. Sin. 1979, 37, 215–230. [Google Scholar]
- Liang, X.T.; Yu, D.Q.; Pan, W.D. The structure of yingzhaosu B. Acta Chim. Sin. 1979, 37, 231–240. [Google Scholar]
- Liang, X.T. Advances in Chinese Medicinal Materials Research; Chang, H.M., Yeung, H.W., Tso, W.W., Koo, A., Eds.; World Scientific Publishing Co.: Singapore, 1985; p. 427. [Google Scholar]
- Zhang, L.; Zhou, W.S.; Xu, X.X. A new sesquiterpene peroxide (yingzhaosu C) and sesquiterpenol (yingzhaosu D) from Artabostrys unciatus (L.) Meer. J. Chem. Soc. Chem. Commun. 1988, 8, 523–524. [Google Scholar] [CrossRef]
- Zhang, L.A.; Zhou, W.S.; Xu, X.X. Structure of yingzhaosu C and D. Sci. China B 1989, 32, 800–807. [Google Scholar]
- Xu, X.X.; Zhu, J.; Huang, D.Z.; Zhou, W.S. Total synthesis of (+)-Yingzhaosu A. Tetrahedron Lett. 1991, 32, 5785–5788. [Google Scholar] [CrossRef]
- de Sousa, D.P.; de Farias Nóbrega, F.F.; de Almeida, R.N. Influence of the chirality of (R)-(−)- and (S)-(+)-carvone in the central nervous system: A comparative study. Chirality 2007, 19, 264–268. [Google Scholar] [CrossRef] [PubMed]
- Nogoceke, F.P.; Barcaro, I.M.; de Sousa, D.P.; Andreatini, R. Antimanic-like effects of (R)-(−)-carvone and (S)-(+)-carvone in mice. Neurosci. Lett. 2016, 619, 43–48. [Google Scholar] [CrossRef] [PubMed]
- Abbas, M.A.; Oriquat, G.A.; Abbas, M.M.; Al-Najjar, B.O.; Kandil, Y.I. Hypolipidaemic and Insulin Secretagogue Activities of (R)-(−)-Carvone. Malays. J. Med. Sci. 2020, 27, 39–52. [Google Scholar] [CrossRef]
- Abbas, M.M.; Kandil, Y.İ.; Abbas, M.A. R-(−)-carvone Attenuated Doxorubicin Induced Cardiotoxicity In Vivo and Potentiated Its Anticancer Toxicity In Vitro. Balk. Med. J. 2020, 37, 98–103. [Google Scholar] [CrossRef] [PubMed]
- Xu, X.X.; Hu, Q.S. Synthesis of the diastereoisomeric Yingzhaosu D. Chin. J. Chem. 1992, 10, 285–288. [Google Scholar]
- Xu, X.X.; Dong, H.Q. Enantioselective total synthesis of all four stereoisomers of Yingzhaosu C. Tetrahedron Lett. 1994, 35, 9429–9432. [Google Scholar] [CrossRef]
- Boukouvalas, J.; Pouliot, R.; Frechette, Y. Concise synthesis of yingzhaosu C and epi-yingzhaosu C by peroxyl radical cyclization. Assignment of relative configuration. Tetrahedron Lett. 1995, 36, 4167–4170. [Google Scholar] [CrossRef]
- Korshin, E.E.; Hoos, R.; Szpilman, A.M.; Konstantinovski, L.; Posner, G.H.; Bachi, M.D. An efficient synthesis of bridged-bicyclic peroxides structurally related to antimalarial yingzhaosu A based on radical co-oxygenation of thiols and monoterpenes. Tetrahedron 2002, 58, 2449–2469. [Google Scholar] [CrossRef]
- Kavanagh, S.E.; Gilheany, D.G. Harnessing the Power of the Asymmetric Grignard Synthesis of Tertiary Alcohols: Ligand Development and Improved Scope Exemplified by One-Step Gossonorol Synthesis. Org. Lett. 2020, 22, 8198–8203. [Google Scholar] [CrossRef]
- Szpilman, A.S.; Korshin, E.E.; Rozenberg, H.; Bachi, M.D. Total Syntheses of Yingzhaosu A and of Its C(14)-Epimer Including the First Evaluation of Their Antimalarial and Cytotoxic Activities. J. Org. Chem. 2005, 70, 3618–3632. [Google Scholar] [CrossRef]
- Møller, K.H.; Otkjær, R.V.; Chen, J.; Kjaergaard, H.G. Double Bonds Are Key to Fast Unimolecular Reactivity in First-Generation Monoterpene Hydroxy Peroxy Radicals. J. Phys. Chem. A 2020, 124, 2885–2896. [Google Scholar] [CrossRef] [PubMed]
- Piletic, I.R.; Kleindienst, T.E. Rates and Yields of Unimolecular Reactions Producing Highly Oxidized Peroxy Radicals in the OH-Induced Autoxidation of α-Pinene, β-Pinene, and Limonene. J. Phys. Chem. A 2022, 126, 88–100. [Google Scholar] [CrossRef] [PubMed]
- Zmitek, K.; Zupan, M.; Iskra, J. α-Substituted organic peroxides: Synthetic strategies for a biologically important class of gem-dihydroperoxide and perketal derivatives. Org. Biomol. Chem. 2007, 5, 3895–3908. [Google Scholar] [CrossRef] [PubMed]
- López, M.M.; Jamey, N.; Pinet, A.; Figadère, B.; Ferrié, L. Oxidative Ring Ex- pansion of Cyclobutanols: Access to Functionalized 1,2-Dioxanes. Org. Lett. 2021, 23, 1626–1631. [Google Scholar] [CrossRef]
- Woodley, C.M.; Amado, P.S.M.; Cristiano, M.L.S.; O’Neill, P.M. Artemisinin inspired synthetic endoperoxide drug candidates: Design, synthesis, and mechanism of action studies. Med. Res. Rev. 2021, 41, 3062–3095. [Google Scholar] [CrossRef]
- O’Neill, P.M.; Searle, Y.N.L.; Raynes, Y.K.J.; Maggs, J.L.; Ward, S.A.; Storr, R.C.; Park, B.K.; Posner, G.H. A Carbonyl Oxide Route to Antimalarial Yingzhaosu A Analogues: Synthesis and Antimalarial Activity. Tetrahedron Lett. 1998, 39, 6065–6068. [Google Scholar] [CrossRef]
- Bachi, M.D.; Korshin, E.E. Thiol-Oxygen Cooxidation of Monoterpenes. Synthesis of Endoperoxides Structurally Related to Antimalarial Yingzhaosu A. Synlett. 1998, 1998, 122–124. [Google Scholar] [CrossRef]
- Bachi, M.D.; Korshin, E.E.; Hoos, R.; Szpilman, A.S. Synthesis and reactions of antimalarial bicyclic peroxides. J. Het. Chem. 2000, 37, 639–645. [Google Scholar] [CrossRef]
- Bachi, M.D.; Korshin, E.E.; Hoos, R.; Szpilman, A.M.; Ploypradith, P.; Xie, S.; Shapiro, T.A.; Posner, G.H. A short synthesis and biological evaluation of potent and nontoxic antimalarial bridged bicyclic β-sulfonyl-endoperoxides. J. Med. Chem. 2003, 46, 2516–2533. [Google Scholar] [CrossRef]
- Tokuyasu, T.; Masuyama, A.; Nojima, M.; McCullough, K.J.; Kim, H.S.; Wataya, Y. Yingzhaosu A analogues: Synthesis by the ozonolysis of unsaturated hydroperoxides, structural analysis and determination of anti-malarial activity. Tetrahedron 2001, 57, 5979–5989. [Google Scholar] [CrossRef]
- Tokuyasu, T.; Kunikawa, S.; Abe, M.; Masuyama, A.; Nojima, M.; Kim, H.S.; Begum, K.; Wataya, Y. Synthesis of antimalarial yingzhaosu A analogues by the peroxidation of dienes with Co(II)/O2/Et3SiH. J. Org. Chem. 2003, 68, 7361–7367. [Google Scholar] [CrossRef]
- Bishop, L.P.; Maggs, J.L.; O’Neill, P.M.; Park, B.K. Metabolism of the antimalarial endoperoxide Ro 42-1611 (arteflene) in the rat: Evidence for endoperoxide bioactivation. J. Pharmacol. Exp. Ther. 1999, 289, 511–520. [Google Scholar] [PubMed]
- Zhang, J. The osteoprotective effects of artemisinin compounds and the possible mechanisms associated with intracellular iron: A review of in vivo and in vitro studies. Environ. Toxicol. Pharmacol. 2020, 76, 103358. [Google Scholar] [CrossRef] [PubMed]
- Maggs, J.L.; Bishop, L.P.; Batty, K.T.; Dodd, C.C.; Ilett, K.F.; O’Neill, P.M.; Edwards, G.; Park, B.K. Hepatocellular bioactivation and cytotoxicity of the synthetic endoperoxide antimalarial arteflene. Chem. Biol. Interact. 2004, 147, 173–184. [Google Scholar] [CrossRef] [PubMed]
- Hofheinz, W.; Bürgin, H.; Gocke, E.; Jaquet, C.; Masciadri, R.; Schmid, G.; Stohler, H.; Urwyler, H. Ro 42-1611 (arteflene), a new effective antimalarial: Chemical structure and biological activity. Trop. Med. Parasitol. 1994, 45, 261–265. [Google Scholar] [PubMed]
- Radloff, P.D.; Philipps, J.; Nkeyi, M.; Sturchler, D.; Mittelholzer, M.L.; Kremsner, P.G. Arteflene compared with mefloquine for treating Plasmodium falciparum malaria in children. Am. J. Trop. Med. Hyg. 1996, 55, 259–262. [Google Scholar] [CrossRef]
- Cazelles, J.; Robert, A.; Meunier, B. Characterization of the Main Radical and Products Resulting from a Reductive Activation of the Antimalarial Arteflene (Ro 42-1611). J. Org. Chem. 1999, 64, 6776–6781. [Google Scholar] [CrossRef]
- Weidekamm, E.; Dumont, E.; Jaquet, C. Tolerability and pharmacokinetics of Ro 42-1611 (arteflene) in man. Trop. Med. Parasitol. 1994, 45, 278–283. [Google Scholar] [PubMed]
- Somo-Moyou, R.; Mittelholzer, M.L.; Sorenson, F.; Haller, L.; Stürchler, D. Efficacy of Ro 42-1611 (arteflene) in the treatment of patients with mild malaria: A clinical trial in Cameroon. Trop. Med. Parasitol. 1994, 45, 288–291. [Google Scholar]
- Posner, G.H. Antimalarial peroxides in the qinghaosu (artemisinin) and yingzhaosu families. Expert Opin. Therap. Pat. 1998, 8, 1487–1493. [Google Scholar] [CrossRef]
- Szpilman, A.M.; Korshin, E.E.; Hoos, R.; Posner, G.H.; Bachi, M.D. Iron(II)-induced degradation of antimalarial β-sulfonyl endoperoxides: Evidence for the generation of potentially cytotoxic carbocations. J. Org. Chem. 2001, 66, 6531–6540. [Google Scholar] [CrossRef] [PubMed]
- O’Neill, P.M.; Bishop, L.P.; Searle, N.L.; Maggs, J.L.; Storr, R.C.; Ward, S.A.; Park, B.K.; Mabbs, F. Biomimetic Fe(II)-mediated degradation of arteflene (Ro-42-1611). The first EPR spin-trapping evidence for the previously postulated secondary carbon-centered cyclohexyl radical. J. Org. Chem. 2000, 65, 1578–1582. [Google Scholar] [CrossRef]
- Liu, S.; Wei, C.; Liu, T.; Ma, S.G.; Chen, C.; Lin, H.; Zhang, L.; Wang, H.; Zhang, C.J.; Yu, S.S. A heme-activatable probe and its application in the high-throughput screening of Plasmodium falciparum ring-stage inhibitors. Signal Transduct. Target. Ther. 2022, 7, 160. [Google Scholar] [CrossRef] [PubMed]
- Aron, A.T.; Loehr, M.O.; Bogena, J.; Chang, C.J. An Endoperoxide Reactivity-Based FRET Probe for Ratiometric Fluorescence Imaging of Labile Iron Pools in Living Cells. J. Am. Chem. Soc. 2016, 138, 14338–14346. [Google Scholar] [CrossRef] [PubMed]
- Zhao, X.; Zhong, H.; Wang, R.; Liu, D.; Waxman, S.; Zhao, L.; Jing, Y. Dihydroartemisinin and its derivative induce apoptosis in acute myeloid leukemia through Noxa-mediated pathway requiring iron and endoperoxide moiety. Oncotarget 2015, 6, 5582–5596. [Google Scholar] [CrossRef] [PubMed]
- Brecht, K.; Kirchhofer, C.; Bouitbir, J.; Trapani, F.; Keiser, J.; Krähenbühl, S. Exogenous Iron Increases Fasciocidal Activity and Hepatocellular Toxicity of the Synthetic Endoperoxides OZ78 and MT04. Int. J. Mol. Sci. 2019, 20, 4880. [Google Scholar] [CrossRef] [PubMed]
- De Sarkar, S.; Sarkar, D.; Sarkar, A.; Dighal, A.; Chakrabarti, S.; Staniek, K.; Gille, L.; Chatterjee, M. The leishmanicidal activity of artemisinin is mediated by cleavage of the endoperoxide bridge and mitochondrial dysfunction. Parasitology 2019, 146, 511–520. [Google Scholar] [CrossRef]
- Quadros, H.C.; Silva, M.C.B.; Moreira, D.R.M. The Role of the Iron Protoporphyrins Heme and Hematin in the Antimalarial Activity of Endoperoxide Drugs. Pharmaceuticals 2022, 15, 60. [Google Scholar] [CrossRef]
- Gupta, A.K.; Saxena, A.K. Molecular modelling-based target identification for endo-peroxides class of antimalarials. Comb. Chem. High Throughput Screen. 2015, 18, 199–207. [Google Scholar] [CrossRef]
- Zhu, P.; Zhou, B. The Antagonizing Role of Heme in the Antimalarial Function of Artemisinin: Elevating Intracellular Free Heme Negatively Impacts Artemisinin Activity in Plasmodium falciparum. Molecules 2022, 27, 1755. [Google Scholar] [CrossRef]
- Golenser, J.; Waknine, J.H.; Krugliak, M.; Hunt, N.H.; Grau, G.E. Current perspectives on the mechanism of action of artemisinins. Int. J. Parasitol. 2006, 36, 1427–1441. [Google Scholar] [CrossRef] [PubMed]
- Haynes, R.K.; Cheu, K.W.; N’Da, D.; Coghi, P.; Monti, D. Considerations on the mechanism of action of artemisinin antimalarials: Part 1--the ‘carbon radical’ and ‘heme’ hypotheses. Infect. Disord. Drug Targets 2013, 13, 217–277. [Google Scholar] [CrossRef] [PubMed]
- Qiu, F.; Liu, J.; Mo, X.; Liu, H.; Chen, Y.; Dai, Z. Immunoregulation by Artemisinin and Its Derivatives: A New Role for Old Antimalarial Drugs. Front. Immunol. 2021, 12, 751772. [Google Scholar] [CrossRef] [PubMed]
- Puri, A.V. Artabotrys hexapetalus (L.f.) Bhandari: A plant with enormous biomedical potential. Int. J. Pharm. Pharm. Sci. 2020, 12, 8–14. [Google Scholar] [CrossRef]
- Wang, F.X.; Zhu, N.; Zhou, F.; Lin, D.X. Natural Aporphine Alkaloids with Potential to Impact Metabolic Syndrome. Molecules 2021, 26, 6117. [Google Scholar] [CrossRef]
- Slack, R.D.; Jacobine, A.M.; Posner, G.H. Antimalarial peroxides: Advances in drug discovery and design. Med. Chem. Commun. 2012, 3, 281–297. [Google Scholar] [CrossRef]
- Guo, Z. Artemisinin anti-malarial drugs in China. Acta Pharm. Sin. B 2016, 6, 115–124. [Google Scholar] [CrossRef]
- Liu, K.; Zuo, H.; Li, G.; Yu, H.; Hu, Y. Global research on artemisinin and its derivatives: Perspectives from patents. Pharmacol. Res. 2020, 159, 105048. [Google Scholar] [CrossRef]
- Sharma, B.; Singh, P.; Singh, A.K.; Awasthi, S.K. Advancement of chimeric hybrid drugs to cure malaria infection: An overview with special emphasis on endoperoxide pharmacophores. Eur. J. Med. Chem. 2021, 219, 113408. [Google Scholar] [CrossRef]
- Fang, J.; Song, F.; Wang, F. The antimalarial activity of 1,2,4-trioxolane/trioxane hybrids and dimers: A review. Arch. Pharm. 2022, 355, e2200077. [Google Scholar] [CrossRef]
- Tsamesidis, I.; Mousavizadeh, F.; Egwu, C.O.; Amanatidou, D.; Pantaleo, A.; Benoit-Vical, F.; Reybier, K.; Giannis, A. In Vitro and In Silico Antimalarial Evaluation of FM-AZ, a New Artemisinin Derivative. Medicines 2022, 9, 8. [Google Scholar] [CrossRef] [PubMed]
- Tamez-Fernandez, J.F.; Melchor-Martinez, E.M.; Ibarra-Rivera, T.R.; Rivas-Galindo, V.M. Plant-derived endoperoxides: Structure, occurrence, and bioactivity. Phytochem. Rev. 2020, 19, 827–864. [Google Scholar] [CrossRef]
- Shi, Q.; Xia, F.; Wang, Q.; Liao, F.; Guo, Q.; Xu, C.; Wang, J. Discovery and repurposing of artemisinin. Front. Med. 2022, 16, 1–9. [Google Scholar] [CrossRef] [PubMed]








| Accepted Name | Synonyms * | Common Names ** |
|---|---|---|
| Artabotrys hexapetalus (L.f.) Bhandari | Annona hexapetala L.f. | Tail grape (English); Hari champa, Kath champa, Madanmast (Hindi); Manoranidam (Tamil); Kothali-champa (Assamese); kenanga tanduk (Indonesian). Ylang-Ylang grimpant (French); Cay Móng rồng (Vietnamese); karawek (Thailand); iraniran noki, tsuru iraniran (Japanese); lanalana (Hawaiian); kathali champa, kaanthaali chaanpaa (Bengali). |
| Annona uncinata Lam. | ||
| Artabotrys hamatus (Dunal) Blume | ||
| Artabotrys intermedius Hassk. | ||
| Artabotrys odoratissimus R.Br. | ||
| Artabotrys odoratissimus Wight & Arn. | ||
| Artabotrys uncata (Lour.) Baill. | ||
| Artabotrys uncatus (Lour.) Baill. | ||
| Artabotrys uncinatus (Lam.) Merr. | ||
| Unona uncata (Lour.) Dunal | ||
| Unona uncinata (Lam.) Dunal Uvaria esculenta Roxb. ex Rottler Uvaria odoratissima Roxb. Uvaria uncata Lour. |
| Pharmacological Activities | Comments | References |
|---|---|---|
| Antiparasitic | Extracts of the roots and fruits are used to treat malaria (Plasmodium falciparum infection) and leishmania (Leishmania donovani infection). Numerous antimalarial compounds characterized, principally the yingzhaosu. | [25,26,27,28] |
| Antibacterial | Activities against Salmonella, Staphylococcus, Pseudomonas and other bacteria reported with hydroalcoholic extracts of the flowers and leaves. Bactericidal effect of silver nanoparticles made with an aqueous extract of A. hexapetalus. | [29,30] |
| Antifungal | Activities against Candida albicans, Aspergillus niger and other fungi reported with a methanolic extract. | [21,24] |
| Antifertility | Reduction of sperm count and fertility with a hydroalcoholic leave extract, and modulation of the oestrus cycle. Regulation of steroidal hormone levels. | [31,32,33,34,35] |
| Anticancer | A fruit extract of A. odoratissimus reduced proliferation of MIA PaCa-2 pancreatic cancer cells and induced their apoptotic cell death. | [36] |
| Anti-ulcer and hepatoprotection | Protection against liver injuries and oxidative stress with a hydroalcoholic extract. Anti-inflammatory activity of an ethanolic extract of aerial parts. Cytoprotection conferred by antioxidant flavonoids and alkaloids. | [37,38,39,40] |
| Mosquito repellent | Essential oils made from leaves and stem bark extracts obtained by hydro-distillation have revealed mosquito repellency activity, attributed to the presence of β-caryophyllene oxide. | [16] |
Publisher’s Note: MDPI stays neutral with regard to jurisdictional claims in published maps and institutional affiliations. |
© 2022 by the authors. Licensee MDPI, Basel, Switzerland. This article is an open access article distributed under the terms and conditions of the Creative Commons Attribution (CC BY) license (https://creativecommons.org/licenses/by/4.0/).
Share and Cite
Bailly, C.; Hénichart, J.-P. Advocacy for the Medicinal Plant Artabotrys hexapetalus (Yingzhao) and Antimalarial Yingzhaosu Endoperoxides. Molecules 2022, 27, 6192. https://doi.org/10.3390/molecules27196192
Bailly C, Hénichart J-P. Advocacy for the Medicinal Plant Artabotrys hexapetalus (Yingzhao) and Antimalarial Yingzhaosu Endoperoxides. Molecules. 2022; 27(19):6192. https://doi.org/10.3390/molecules27196192
Chicago/Turabian StyleBailly, Christian, and Jean-Pierre Hénichart. 2022. "Advocacy for the Medicinal Plant Artabotrys hexapetalus (Yingzhao) and Antimalarial Yingzhaosu Endoperoxides" Molecules 27, no. 19: 6192. https://doi.org/10.3390/molecules27196192
APA StyleBailly, C., & Hénichart, J.-P. (2022). Advocacy for the Medicinal Plant Artabotrys hexapetalus (Yingzhao) and Antimalarial Yingzhaosu Endoperoxides. Molecules, 27(19), 6192. https://doi.org/10.3390/molecules27196192

