Influence of the Degree of Hydrolysis on Functional Properties and Antioxidant Activity of Enzymatic Soybean Protein Hydrolysates
Abstract
1. Introduction
2. Results and Discussion
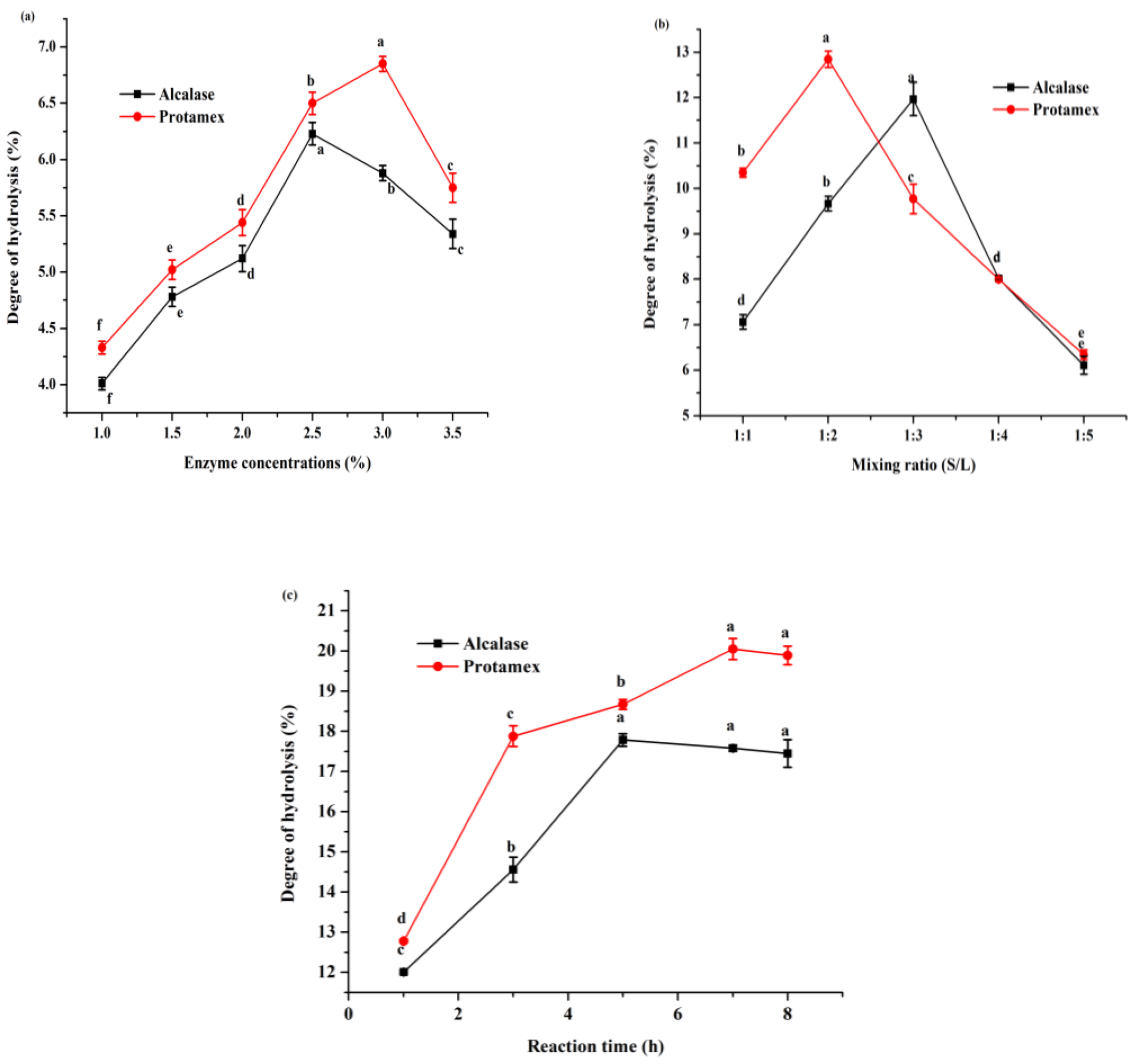
2.1. Optimization of Hydrolysis Conditions
2.2. Average Yield of Soybean Protein Hydrolysate
2.3. Proximate Composition
2.4. Molecular Weight (Mw) Profiles
2.5. Amino Acid Profiles
2.6. Functional Properties of Soybean Protein Hydrolysate
2.6.1. Protein Solubility
2.6.2. Emulsification Properties
2.6.3. Foaming Capacity
2.6.4. Water- and Oil-Holding Capacity
2.7. Antioxidant Properties
2.7.1. DPPH Free Radical Scavenging Capacity
2.7.2. ABTS Free Radical Scavenging Activity
2.7.3. Reducing Power
3. Materials and Methods
3.1. Sample Collection and Preparation
3.2. Enzymes and Reagents
3.3. Preparation of Protein Hydrolysates
3.4. Determination of Degree of Hydrolysis (DH)
3.5. Determination of Yield
3.6. Determination of Proximate Composition
3.7. Determination of Molecular Weight (Mw) Distribution
3.8. Analysis of Amino Acid Profiles
3.9. Functional Properties of Soybean Protein Hydrolysate
3.9.1. Protein Solubility
3.9.2. Emulsifying Properties
3.9.3. Water- and Oil-Holding Capacity, Foaming Capacity
3.10. Antioxidant Properties
3.10.1. DPPH Radical Scavenging Activity
3.10.2. ABTS Radical Scavenging Activity
3.10.3. Ferric Reducing Antioxidant Power (FRAP)
3.11. Statistical Analysis
4. Conclusions
Author Contributions
Funding
Institutional Review Board Statement
Informed Consent Statement
Data Availability Statement
Acknowledgments
Conflicts of Interest
References
- Zhang, Q.; Tong, X.; Sui, X.; Wang, Z.; Qi, B.; Li, Y.; Jiang, L. Antioxidant activity and protective effects of Alcalase-hydrolyzed soybean hydrolysate in human intestinal epithelial Caco-2 cells. Food Res. Int. 2018, 111, 256–264. [Google Scholar] [CrossRef] [PubMed]
- Islam, M.; Huang, Y.; Islam, M.S.; Lei, N.; Shan, L.; Fan, B.; Tong, L.; Wang, F. Effect of high-moisture extrusion on soy meat analog: Study on its morphological and physiochemical properties. Italy J. Food Sci. 2022, 34, 9–20. [Google Scholar] [CrossRef]
- Wang, F.; Meng, J.; Sun, L.; Weng, Z.; Fang, Y.; Tang, X.; Zhao, T.; Shen, X. Study on the tofu quality evaluation method and the establishment of a model for suitable soybean varieties for Chinese traditional tofu processing. LWT 2020, 117, 108441. [Google Scholar] [CrossRef]
- Fiala, N. Meeting the demand: An estimation of potential future greenhouse gas emissions from meat production. Ecol. Econ. 2008, 67, 412–419. [Google Scholar] [CrossRef]
- Zhang, Y.; Yang, R.; Zhao, W. Improving digestibility of feather meal by steam flash explosion. J. Agr. Food Chem. 2014, 62, 2745–2751. [Google Scholar] [CrossRef] [PubMed]
- Holkar, C.R.; Jadhav, A.J.; Bhavsar, P.S.; Kannan, S.; Pinjari, D.V.; Pandit, A.B. Acoustic cavitation assisted alkaline hydrolysis of wool based keratins to produce organic amendment fertilizers. ACS Sustain. Chem. Eng. 2016, 4, 2789–2796. [Google Scholar] [CrossRef]
- Hong, H.; Roy, B.C.; Chalamaiah, M.; Bruce, H.L.; Wu, J. Pretreatment with formic acid enhances the production of small peptides from highly cross-linked collagen of spent hens. Food Chem. 2018, 258, 174–180. [Google Scholar] [CrossRef]
- Da Silva, C.M.L.; Spinelli, E.; Rodrigues, S.V. Fast and sensitive collagen quantification by alkaline hydrolysis/hydroxyproline assay. Food Chem. 2015, 173, 619–623. [Google Scholar] [CrossRef]
- Ben Hamad Bouhamed, S.; Kechaou, N. Kinetic study of sulphuric acid hydrolysis of protein feathers. Bioprocess Biosyst. Eng. 2017, 40, 715–721. [Google Scholar] [CrossRef]
- Callegaro, K.; Brandelli, A.; Daroit, D.J. Beyond plucking: Feathers bioprocessing into valuable protein hydrolysates. Waste Manag. 2019, 95, 399–415. [Google Scholar] [CrossRef]
- Xue, P.; Sun, N.; Li, Y.; Cheng, S.; Lin, S. Targeted regulation of hygroscopicity of soybean antioxidant pentapeptide powder by zinc ions binding to the moisture absorption sites. Food Chem. 2018, 242, 83–90. [Google Scholar] [CrossRef] [PubMed]
- Islam, M.S.; Wang, H.; Admassu, H.; Sulieman, A.A.; Wei, F.A. Health benefits of bioactive peptides produced from muscle proteins: Antioxidant, anti-cancer, and anti-diabetic activities. Process Biochem. 2022, 116, 116–125. [Google Scholar] [CrossRef]
- Hall, F.; Johnson, P.E.; Liceaga, A. Effect of enzymatic hydrolysis on bioactive properties and allergenicity of cricket (Gryllodes sigillatus) protein. Food Chem. 2018, 262. [Google Scholar] [CrossRef] [PubMed]
- Amarowicz, R. Modification of emulsifying properties of food proteins by enzymatic hydrolysis. Eur. J. Lipid Sci. Technol. 2010, 112, 695–696. [Google Scholar] [CrossRef]
- Minh, N.P. Bioactive Peptides from Soybean Hydrolysis Using Protamex. Bulletin of Environment, Pharma Life Sci. 2015, 4, 10–19. [Google Scholar]
- Ashaolu, T.J. Applications of soy protein hydrolysates in the emerging functional foods: A review. Int. J. Food Sci. Technol. 2020, 55, 421–428. [Google Scholar] [CrossRef]
- Gao, M.-T.; Hirata, M.; Toorisaka, E.; Hano, T. Acid-hydrolysis of fish wastes for lactic acid fermentation. Bioresour. Technol. 2006, 97, 2414–2420. [Google Scholar] [CrossRef]
- He, S.; Wang, F.; Ning, Z.; Yang, B.; Wang, Y. Autolysis of anchovy (Engraulis japonicus) protein: Evaluation of antioxidant properties and nutritional quality of resulting hydrolysates. J. Aquat. Food Prod. Technol. 2015, 24, 417–428. [Google Scholar] [CrossRef]
- Nunez de Gonzalez, M.; Boleman, R.; Miller, R.; Keeton, J.; Rhee, K. Antioxidant properties of dried plum ingredients in raw and precooked pork sausage. J. Funct. Foods 2008, 73, H63–H71. [Google Scholar] [CrossRef]
- Vasta, V.; Luciano, G. The effects of dietary consumption of plants secondary compounds on small ruminants’ products quality. Small Rumin. Res. 2011, 101, 150–159. [Google Scholar] [CrossRef]
- Dudonne, S.; Vitrac, X.; Coutiere, P.; Woillez, M.; Merillon, J.-M. Comparative study of antioxidant properties and total phenolic content of 30 plant extracts of industrial interest using DPPH, ABTS, FRAP, SOD, and ORAC assays. J. Agr. Food Chem. 2009, 57, 1768–1774. [Google Scholar] [CrossRef]
- Islam, M.S.; Hongxin, W.; Admassu, H.; Noman, A.; Ma, C.; An Wei, F. Degree of hydrolysis, functional and antioxidant properties of protein hydrolysates from Grass Turtle (Chinemys reevesii) as influenced by enzymatic hydrolysis conditions. Food Sci. Nutr. 2021, 9, 4031–4047. [Google Scholar] [CrossRef] [PubMed]
- Jamdar, S.; Rajalakshmi, V.; Pednekar, M.; Juan, F.; Yardi, V.; Sharma, A. Influence of degree of hydrolysis on functional properties, antioxidant activity and ACE inhibitory activity of peanut protein hydrolysate. Food Chem. 2010, 121, 178–184. [Google Scholar] [CrossRef]
- Islam, M.; Hongxin, W.; Admassu, H.; Mahdi, A.A.; Chaoyang, M.; Wei, F.A. In vitro Antioxidant, Cytotoxic and Antidiabetic Activities of Protein Hydrolysates Prepared from Chinese Pond Turtle (Chinemys reevesii). Food Technol. Biotechnol. 2021, 59, 360–375. [Google Scholar] [CrossRef] [PubMed]
- Hou, H.; Li, B.; Zhao, X.; Zhang, Z.; Li, P. Optimization of enzymatic hydrolysis of Alaska pollock frame for preparing protein hydrolysates with low-bitterness. LWT Food Sci. Technol. 2011, 44, 421–428. [Google Scholar] [CrossRef]
- Zhang, Z.; Su, G.; Zhou, F.; Lin, L.; Liu, X.; Zhao, M. Alcalase-hydrolyzed oyster (Crassostrea rivularis) meat enhances antioxidant and aphrodisiac activities in normal male mice. Food Res. Int. 2019, 120, 178–187. [Google Scholar] [CrossRef]
- Park, S.Y.; Lee, J.S.; Baek, H.H.; Lee, H.G. Purification and characterization of antioxidant peptides from soy protein hydrolysate. J. Food Biochem. 2010, 34, 120–132. [Google Scholar] [CrossRef]
- Sriket, P.; Benjakul, S.; Visessanguan, W.; Kijroongrojana, K. Comparative studies on chemical composition and thermal properties of black tiger shrimp (Penaeus monodon) and white shrimp (Penaeus vannamei) meats. Food Chem. 2007, 103, 1199–1207. [Google Scholar] [CrossRef]
- Food and Agriculture Organization of the United Nations; World Health Organization; United Nations University. Protein and Amino Acid Requirements in Human Nutrition: Report of a Joint FAO/WHO/UNU Expert Consultation; FAO: Rome, Italyd; WHO: Geneva, Switzerland, 2007. [Google Scholar]
- Thiansilakul, Y.; Benjakul, S.; Shahidi, F. Compositions, functional properties and antioxidative activity of protein hydrolysates prepared from round scad (Decapterus maruadsi). Food Chem. 2007, 103, 1385–1394. [Google Scholar] [CrossRef]
- Naqash, S.Y.; Nazeer, R.A. Antioxidant and functional properties of protein hydrolysates from pink perch (Nemipterus japonicus) muscle. J. Food Sci. Technol. 2013, 50, 972–978. [Google Scholar] [CrossRef]
- Foh, M.B.K.; Amadou, I.; Foh, B.M.; Kamara, M.T.; Xia, W. Functionality and antioxidant properties of tilapia (Oreochromis niloticus) as influenced by the degree of hydrolysis. Int. J. Mol. Sci. 2010, 11, 1851–1869. [Google Scholar] [CrossRef] [PubMed]
- Chalamaiah, M.; Rao, G.N.; Rao, D.G.; Jyothirmayi, T. Protein hydrolysates from meriga (Cirrhinus mrigala) egg and evaluation of their functional properties. Food Chem. 2010, 120, 652–657. [Google Scholar] [CrossRef]
- Santos, S.D.A.D.; Martins, V.G.; Salas-Mellado, M.; Prentice, C. Evaluation of Functional Properties in Protein Hydrolysates from Bluewing Searobin (Prionotus punctatus) Obtained with Different Microbial Enzymes. Food Bioprocess. Techol. 2011, 4, 1399–1406. [Google Scholar] [CrossRef]
- Park, S.Y.; Je, J.Y.; Ahn, C.B. Protein Hydrolysates and Ultrafiltration Fractions Obtained from Krill (Euphausia superba): Nutritional, Functional, Antioxidant, and ACE-Inhibitory Characterization. J. Aquat. Food Prod. Technol. 2016, 25, 1266–1277. [Google Scholar] [CrossRef]
- Wang, J.; Wang, Y.; Dang, X.; Zheng, X.; Zhang, W. Housefly larvae hydrolysate: Orthogonal optimization of hydrolysis, antioxidant activity, amino acid composition and functional properties. BMC Res. Notes 2013, 6, 197. [Google Scholar] [CrossRef] [PubMed]
- Binsan, W.; Benjakul, S.; Visessanguan, W.; Roytrakul, S.; Tanaka, M.; Kishimura, H. Antioxidative activity of Mungoong, an extract paste, from the cephalothorax of white shrimp (Litopenaeus vannamei). Food Chem. 2008, 106, 185–193. [Google Scholar] [CrossRef]
- Hassan, M.A.; Xavier, M.; Gupta, S.; Nayak, B.B.; Balange, A.K. Antioxidant properties and instrumental quality characteristics of spray dried Pangasiusvisceral protein hydrolysate prepared by chemical and enzymatic methods. Environ. Sci. Pollut. Res. 2019, 26, 8875–8884. [Google Scholar] [CrossRef]
- Tang, C.-H.; Peng, J.; Zhen, D.-W.; Chen, Z. Physicochemical and antioxidant properties of buckwheat (Fagopyrum esculentum Moench) protein hydrolysates. Food Chem. 2009, 115, 672–678. [Google Scholar] [CrossRef]
- AOAC. Official Methods of Analysis of AOAC, 16th ed.; Assotiation of Official Analytical Chemists: Washington, DC, USA, 2005. [Google Scholar]
- Tong, X.; Lian, Z.; Miao, L.; Qi, B.; Zhang, S.; Li, Y.; Wang, H.; Jiang, L. An innovative two-step enzyme-assisted aqueous extraction for the production of reduced bitterness soybean protein hydrolysates with high nutritional value. LWT 2020, 134. [Google Scholar] [CrossRef]
- AOAC. Official Methods of Analysis of AOAC International, 16th ed.; Association of Officiation of Official Analytical Chemists: Washington, DC, USA, 1995. [Google Scholar]
- Klompong, V.; Benjakul, S.; Kantachote, D.; Shahidi, F. Antioxidative activity and functional properties of protein hydrolysate of yellow stripe trevally (Selaroides leptolepis) as influenced by the degree of hydrolysis and enzyme type. Food Chem. 2007, 102, 1317–1327. [Google Scholar] [CrossRef]
- Noman, A.; Xu, Y.; AL-Bukhaiti, W.Q.; Abed, S.M.; Ali, A.H.; Ramadhan, A.H.; Xia, W. Influence of enzymatic hydrolysis conditions on the degree of hydrolysis and functional properties of protein hydrolysate obtained from Chinese sturgeon (Acipenser sinensis) by using papain enzyme. Process Biochem. 2018, 67, 19–28. [Google Scholar] [CrossRef]
- Liu, F.-F.; Li, Y.-Q.; Sun, G.-J.; Wang, C.-Y.; Liang, Y.; Zhao, X.-Z.; He, J.-X.; Mo, H.-Z. Influence of ultrasound treatment on the physicochemical and antioxidant properties of mung bean protein hydrolysate. Ultrason. Sonochem. 2022, 84. [Google Scholar] [CrossRef] [PubMed]



| Parameters | Non-Hydrolyzed | Alcalase | Protamex |
|---|---|---|---|
| Protein | 48.09 ± 2.13 b | 50.21 ± 1.32 a | 51.64 ± 1.23 a |
| Moisture | 8.95 ± 0.34 a | 7.66 ± 0.18 b | 6.99 ± 0.43 bc |
| Fat | 17.69 ± 0.48 a | 10.07 ± 0.68 c | 11.03 ± 0.08 b |
| Ash | 5.03 ± 0.22 a | 4.78 ± 0.29 b | 4.47 ± 0.65 b |
| Yield | - | 16.08 ± 0.42 b | 19.77 ± 0.88 a |
| Mw (Da) | Content (%) | ||
|---|---|---|---|
| Non-Hydrolyzed | Alcalase | Protamex | |
| 17,000–15,000 | 93.07 | 0.21 | 0.43 |
| 7000–6000 | 3.97 | 0.38 | 0.67 |
| 4000–3000 | 1.04 | 0.53 | 0.42 |
| 2500–2000 | 0.87 | 1.15 | 0.88 |
| 1500–1000 | 0.64 | 4.79 | 2.74 |
| 700–600 | 0.25 | 19.21 | 9.75 |
| 300–200 | 0.13 | 42.82 | 34.98 |
| <150 | 0.03 | 30.91 | 50.13 |
| Parameters | Non-Hydrolyzed | Alcalase | Protamex | * FAO Requirements | |
|---|---|---|---|---|---|
| Child | Adult | ||||
| Essential amino acids | |||||
| Histidine | 1.32 ± 0.03 a | 0.94 ± 0.01 b | 0.86 ± 0.02 c | 1.9 | 1.6 |
| Methionine + cysteine | 0.85 ± 0.01 b | 2.17 ± 0.06 a | 2.44 ± 0.09 a | 2.5 | 1.7 |
| Phenylalanine + tyrosine | 2.75 ± 0.05 a | 2.21 ± 0.11 b | 2.55 ± 0.13 b | 6.3 | 1.9 |
| Threonine | 1.44 ± 0.02 a | 1.36 ± 0.05 b | 1.59 ± 0.01 a | 1.4 | 0.9 |
| Isoleucine | 2.01 ± 0.07 a | 1.79 ± 0.04 c | 1.85 ± 0.05 b | 2.8 | 1.3 |
| Leucine | 3.48 ± 0.03 a | 3.42 ± 0.12 b | 3.55 ± 0.09 a | 6.6 | 1.9 |
| Lysine | 3.83 ± 0.05 b | 4.02 ± 0.17 a | 4.13 ± 0.10 a | 5.8 | 1.6 |
| Valine | 1.59 ± 0.01 a | 1.30 ± 0.03 b | 1.46 ± 0.07 a | 3.5 | 1.3 |
| Non-essential amino acids | |||||
| Aspartic acid | 5.15 ± 0.10 c | 5.53 ± 0.23 b | 5.78 ± 0.21 a | - | - |
| Glutamic acid | 8.02 ± 0.15 c | 8.60 ± 0.31 b | 8.91 ± 0.34 a | - | - |
| Serine | 1.47 ± 0.03 b | 1.58 ± 0.04 b | 1.73 ± 0.07 a | - | - |
| Glycine | 2.09 ± 0.07 b | 2.15 ± 0.01 b | 2.36 ± 0.02 a | - | - |
| Arginine | 2.14 ± 0.02 a | 2.04 ± 0.06 b | 2.23 ± 0.17 a | - | - |
| Alanine | 2.60 ± 0.08 b | 2.88 ± 0.10 a | 3.03 ± 0.13 c | - | - |
| Proline | 1.13 ± 0.01 b | 1.09 ± 0.05 b | 1.45 ± 0.08 a | - | - |
| Hydrolysis Conditions | Units | Symbol | Proteases | |
|---|---|---|---|---|
| Alcalase | Protamex | |||
| Incubation temperature | °C | T | 50 | 55 |
| pH | pH | pH | 8.0 | 7 |
| Enzyme/Substrate ratio (w/w) | % | E/S | 1, 1.5, 2, 2.5, 3, 3.5 | 1, 1.5, 2, 2.5, 3, 3.5 |
| Soy protein/buffer ratio | g/mL | S/L | 1:1, 1:2, 1:3,1:4, 1:5 | 1:1, 1:2, 1:3,1:4, 1:5 |
| Incubation time | h | H | 1, 3, 5, 7, 8 | 1, 3, 5, 7, 8 |
| Inactivation temperature | °C | T | 90 | 90 |
| Inactivation time | min | - | 20 | 20 |
Publisher’s Note: MDPI stays neutral with regard to jurisdictional claims in published maps and institutional affiliations. |
© 2022 by the authors. Licensee MDPI, Basel, Switzerland. This article is an open access article distributed under the terms and conditions of the Creative Commons Attribution (CC BY) license (https://creativecommons.org/licenses/by/4.0/).
Share and Cite
Islam, M.; Huang, Y.; Islam, S.; Fan, B.; Tong, L.; Wang, F. Influence of the Degree of Hydrolysis on Functional Properties and Antioxidant Activity of Enzymatic Soybean Protein Hydrolysates. Molecules 2022, 27, 6110. https://doi.org/10.3390/molecules27186110
Islam M, Huang Y, Islam S, Fan B, Tong L, Wang F. Influence of the Degree of Hydrolysis on Functional Properties and Antioxidant Activity of Enzymatic Soybean Protein Hydrolysates. Molecules. 2022; 27(18):6110. https://doi.org/10.3390/molecules27186110
Chicago/Turabian StyleIslam, Monirul, Yatao Huang, Serajul Islam, Bei Fan, Litao Tong, and Fengzhong Wang. 2022. "Influence of the Degree of Hydrolysis on Functional Properties and Antioxidant Activity of Enzymatic Soybean Protein Hydrolysates" Molecules 27, no. 18: 6110. https://doi.org/10.3390/molecules27186110
APA StyleIslam, M., Huang, Y., Islam, S., Fan, B., Tong, L., & Wang, F. (2022). Influence of the Degree of Hydrolysis on Functional Properties and Antioxidant Activity of Enzymatic Soybean Protein Hydrolysates. Molecules, 27(18), 6110. https://doi.org/10.3390/molecules27186110

