Effect of New Surfactants on Biological Properties of Liquid Soaps
Abstract
1. Introduction
2. Results
2.1. Irritating Properties
2.2. Ability to Emulsify Fatty Soils
2.3. AlamarBlue™ Assay
2.4. Cell Viability Assay
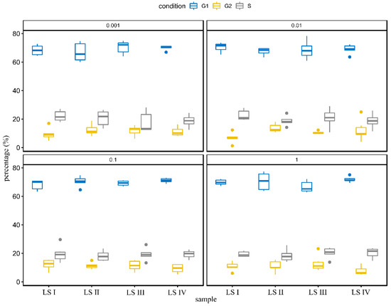
2.5. Cell Cycle Assay
3. Discussion
4. Materials and Methods
4.1. Chemicals
- Sodium Laureth Sulfate (Texapon N70, active mater 70%; BASF, Ludwigshafen, Germany);
- Cocamidopropyl Betaine (Dehyton K, active mater 30%; BASF, Ludwigshafen, Germany);
- CocamidopropylHydroxysultaine (Crodateric CAS 50LQ, active mater 50%; CRODA, Krakow, Poland);
- Evening PrimroseamidopropylSulfobetaine (sulfobetaine obtained in Department of Technology and Instrumental Analysis, Institute of Quality Science, Poznan University of Economics and Business);
- Cocamide DEA (Rokamid KAD from Rokita S.A., active matter: 98%, Brzeg Dolny, Poland);
- Urea from PPH Standard Poland;
- SodiumChloride (NaCl; POCH, Gliwice, Poland);
- Sodium Benzoate and Potassium Sorbate, KEM BS from Pol Nil S.A., Warsaw, Poland;
- Distilled water.
4.2. Soap Composition
4.3. Evening Primrose Oil Preparation
4.4. Soap Production
4.5. Irritating Properties
4.5.1. The Zein Assay
4.5.2. Ability to Emulsify Fatty Soils
4.6. Cell Culture
4.7. Cytotoxicity Assays
4.7.1. AlamarBlue™ Assay
4.7.2. Cell Viability Assay
4.7.3. Cell Cycle Assay
Author Contributions
Funding
Institutional Review Board Statement
Informed Consent Statement
Data Availability Statement
Conflicts of Interest
Sample Availability
References
- Mendes, B.R.; Shimabukuro, D.M.; Uber, M.; Abagge, K.T. Critical Assessment of the PH of Children’s Soap. J. Pediatr. 2016, 92, 290–295. [Google Scholar] [CrossRef][Green Version]
- Yao, R.T.; Langer, E.R.; Leckie, A.; Tremblay, L.A. Household Preferences When Purchasing Handwashing Liquid Soap: A Choice Experiment Application. J. Clean. Prod. 2019, 235, 1515–1524. [Google Scholar] [CrossRef]
- Aiello, A.E.; Larson, E.L.; Levy, S.B. Consumer Antibacterial Soaps: Effective or Just Risky? Clin. Infect. Dis. 2007, 45 (Suppl. S2), S137–S147. [Google Scholar] [CrossRef]
- Montville, R.; Schaffner, D.W. A Meta-Analysis of the Published Literature on the Effectiveness of Antimicrobial Soaps. J. Food Prot. 2011, 74, 1875–1882. [Google Scholar] [CrossRef]
- Beiu, C.; Mihai, M.; Popa, L.; Cima, L.; Popescu, M.N. Frequent Hand Washing for COVID-19 Prevention Can Cause Hand Dermatitis: Management Tips. Cureus 2020, 12, e7506. [Google Scholar] [CrossRef]
- World Health Organization; United Nations Children’s Fund (UNICEF). Water, Sanitation, Hygiene, and Waste Management for the COVID-19 Virus: Interim Guidance, 19 March 2020; World Health Organization: Geneva, Switzerland, 2020. [Google Scholar]
- Jefferson, T.; Mar, C.D.; Dooley, L.; Ferroni, E.; Al-Ansary, L.A.; Bawazeer, G.A.; van Driel, M.L.; Foxlee, R.; Rivetti, A. Physical Interventions to Interrupt or Reduce the Spread of Respiratory Viruses: Systematic Review. BMJ 2009, 339, b3675. [Google Scholar] [CrossRef]
- Jefferson, T.; Del Mar, C.B.; Dooley, L.; Ferroni, E.; Al-Ansary, L.A.; Bawazeer, G.A.; van Driel, M.L.; Nair, S.; Jones, M.A.; Thorning, S.; et al. Physical Interventions to Interrupt or Reduce the Spread of Respiratory Viruses. Cochrane Database Syst. Rev. 2011, 11, CD006207. [Google Scholar] [CrossRef]
- Przekwas, A.; Chen, Z. Washing Hands and the Face May Reduce COVID-19 Infection. Med. Hypotheses 2020, 144, 110261. [Google Scholar] [CrossRef]
- Rundle, C.W.; Presley, C.L.; Militello, M.; Barber, C.; Powell, D.L.; Jacob, S.E.; Atwater, A.R.; Watsky, K.L.; Yu, J.; Dunnick, C.A. Hand Hygiene during COVID-19: Recommendations from the American Contact Dermatitis Society. J. Am. Acad. Dermatol. 2020, 83, 1730–1737. [Google Scholar] [CrossRef]
- Hall-Manning, T.J.; Holland, G.H.; Rennie, G.; Revell, P.; Hines, J.; Barratt, M.D.; Basketter, D.A. Skin Irritation Potential of Mixed Surfactant Systems. Food Chem. Toxicol. 1998, 36, 233–238. [Google Scholar] [CrossRef]
- Mechanism of Skin Irritation by Surfactants and Anti-Irritants for Sur. Available online: https://www.taylorfrancis.com/chapters/edit/10.1201/b15273-45/mechanism-skin-irritation-surfactants-anti-irritants-surfactant-based-products-marc-paye (accessed on 11 July 2022).
- Klimaszewska, E.; Ogorzałek, M.; Zaporowska, A. Improvement of the Safety in Use of Shower Gels for Children Through the Addition Various Types of Protein Hydrolysates. Towarozn. Probl. Jakości 2019, 2, 103–113. [Google Scholar] [CrossRef]
- Klimaszewska, E.; Wieczorek, D.; Seweryn, A.; Ogorzałek, M. Application of Newly Synthesized Sulfobetaine Based on Sweet Almond Oil in Bath Liquids for Sensitive Skin: Anwendung Eines Neu Synthetisierten Sulfobetains Auf Der Basis von Süßmandelöl in Badeflüssigkeiten Für Empfindliche Haut. Tenside Surfactants Deterg. 2021, 58, 106–113. [Google Scholar] [CrossRef]
- Scibisz, M.; Arct, J.; Pytkowska, K. Hydrolysed Proteins in Cosmetic Production, Part II. SOFW J. Pol. Ed. 2008, 1, 12–16. [Google Scholar]
- Teglia, A.; Secchi, G. New Protein Ingredients for Skin Detergency: Native Wheat Protein-Surfactant Complexes. Int. J. Cosmet. Sci. 1994, 16, 235–246. [Google Scholar] [CrossRef] [PubMed]
- Mukherjee, S.; Yang, L.; Vincent, C.; Lei, X.; Ottaviani, M.F.; Ananthapadmanabhan, K.P. A Comparison between Interactions of Triglyceride Oil and Mineral Oil with Proteins and Their Ability to Reduce Cleanser Surfactant-Induced Irritation. Int. J. Cosmet. Sci. 2015, 37, 371–378. [Google Scholar] [CrossRef]
- Bujak, T.; Wasilewski, T.; Nizioł-Łukaszewska, Z. Role of Macromolecules in the Safety of Use of Body Wash Cosmetics. Colloids Surf. B Biointerfaces 2015, 135, 497–503. [Google Scholar] [CrossRef]
- Wolf, R.; Parish, L.C. Effect of Soaps and Detergents on Epidermal Barrier Function. Clin. Dermatol. 2012, 30, 297–300. [Google Scholar] [CrossRef]
- Tan, E.P.; Duncan, F.E.; Slawson, C. The Sweet Side of the Cell Cycle. Biochem. Soc. Trans. 2017, 45, 313–322. [Google Scholar] [CrossRef]
- Bondi, C.A.; Marks, J.L.; Wroblewski, L.B.; Raatikainen, H.S.; Lenox, S.R.; Gebhardt, K.E. Human and Environmental Toxicity of Sodium Lauryl Sulfate (SLS): Evidence for Safe Use in Household Cleaning Products. Environ. Health Insights 2015, 9, 27–32. [Google Scholar] [CrossRef]
- Klimaszewska, E.; Wieczorek, D.; Zięba, M.; Małysa, A.; Staszak, K.; Kwaśniewska, D.; Adamczyk, K.; Drzymala, K.; Dobrowolski, A. Effect of N-Dodecyl-N-(Propylpiperydinium-3-Sulfonate) on Usage Properties of Liquid Soaps for Sensitive Skin. Tenside Surfactants Deterg. 2018, 55, 439–446. [Google Scholar] [CrossRef]
- Zieba, M.; Wieczorek, D.; Klimaszewska, E.; Malysa, A.; Kwasniewska, D. Application of New Synthesized Zwitterionic Surfactants as Hair Shampoo Components. J. Dispers. Sci. Technol. 2019, 40, 1189–1196. [Google Scholar] [CrossRef]
- Blake-haskins, J.C.; Scala, D.; Rhein, L.D.; Robbins, C.R.; Search, C.R. Predicting Surfactant Irritation from the Swelling Response of a Collagen Film. J. Soc. Cosmet. Chem. 1986, 37, 199–210. [Google Scholar]
- Mehta, S.K.; Bhasin, K.K.; Kumar, A. An Insight into the Micellization of Dodecyldimethylethylammonium Bromide (DDAB) in the Presence of Bovine Serum Albumin (BSA). J. Colloid Interface Sci. 2008, 323, 426–434. [Google Scholar] [CrossRef] [PubMed]
- Paye, M.; Block, C.; Hamaide, N.; Hüttmann, G.-E.; Kirkwood, S.; Lally, C.; Lloyd, P.H.; Makela, P.; Razenberg, H.; Young, R. Antagonisms between Surfactants: The Case of Laundry Detergents. Tenside Surfactants Deterg. 2006, 43, 290–294. [Google Scholar] [CrossRef]
- Seweryn, A. Interactions between Surfactants and the Skin—Theory and Practice. Adv. Colloid Interface Sci. 2018, 256, 242–255. [Google Scholar] [CrossRef]
- Wolf, R.; Wolf, D.; Tüzün, B.; Tüzün, Y. Soaps, Shampoos, and Detergents. Clin. Dermatol. 2001, 19, 393–397. [Google Scholar] [CrossRef]
- Wilhelm, K.P.; Cua, A.B.; Wolff, H.H.; Maibach, H.I. Surfactant-Induced Stratum Corneum Hydration in Vivo: Prediction of the Irritation Potential of Anionic Surfactants. J. Investig. Dermatol. 1993, 101, 310–315. [Google Scholar] [CrossRef]
- Wilhelm, K.P. Effects of Surfactants on Skin Hydration. Curr. Probl. Dermatol. 1995, 22, 72–79. [Google Scholar] [CrossRef]
- Blank, I.H. The action of soaps and detergents on the skin. Practitioner. 1969, 202, 147–151. [Google Scholar]
- Klimaszewska, E.; Ogorzałek, M.; Seweryn, A.; Wasilewski, T. Application Properties of Bath Liquids for Children Based on Sodium Laureth Sulfate with Addition of Different Molecular Weight Collagens Derived from Marine Sources. J. Surfactants Deterg. 2019, 22, 1469–1475. [Google Scholar] [CrossRef]
- Seweryn, A.; Bujak, T. Application of Anionic Phosphorus Derivatives of Alkyl Polyglucosides for the Production of Sustainable and Mild Body Wash Cosmetics. ACS Sustain. Chem. Eng. 2018, 6, 17294–17301. [Google Scholar] [CrossRef]
- Liebsch, M.; Grune, B.; Seiler, A.; Butzke, D.; Oelgeschläger, M.; Pirow, R.; Adler, S.; Riebeling, C.; Luch, A. Alternatives to Animal Testing: Current Status and Future Perspectives. Arch. Toxicol. 2011, 85, 841–858. [Google Scholar] [CrossRef] [PubMed]
- Szymański, Ł.; Jęderka, K.; Cios, A.; Ciepelak, M.; Lewicka, A.; Stankiewicz, W.; Lewicki, S. A Simple Method for the Production of Human Skin Equivalent in 3D, Multi-Cell Culture. Int. J. Mol. Sci. 2020, 21, 4644. [Google Scholar] [CrossRef] [PubMed]
- Castanedo-Cázares, J.P.; Cortés-García, J.D.; Cornejo-Guerrero, M.F.; Torres-Álvarez, B.; Hernández-Blanco, D. Study of the Cytotoxic and Irritant Effects of Skin Cleansing Soaps. Gac. Med. Mex. 2020, 156, 418–423. [Google Scholar] [CrossRef]
- Wilson, J.R.; Mills, J.G.; Prather, I.D.; Dimitrijevich, S.D. A Toxicity Index of Skin and Wound Cleansers Used on in Vitro Fibroblasts and Keratinocytes. Adv. Skin Wound Care 2005, 18, 373–378. [Google Scholar] [CrossRef] [PubMed]
- Masunaga, A.; Kawahara, T.; Morita, H.; Nakazawa, K.; Tokunaga, Y.; Akita, S. Fatty Acid Potassium Improves Human Dermal Fibroblast Viability and Cytotoxicity, Accelerating Human Epidermal Keratinocyte Wound Healing in Vitro and in Human Chronic Wounds. Int. Wound J. 2021, 18, 467–477. [Google Scholar] [CrossRef]
- Cvikl, B.; Lussi, A.; Gruber, R. The in Vitro Impact of Toothpaste Extracts on Cell Viability. Eur. J. Oral Sci. 2015, 123, 179–185. [Google Scholar] [CrossRef] [PubMed]
- Birant, S.; Duran, Y.; Akkoc, T.; Seymen, F. Cytotoxic Effects of Different Detergent Containing Children’s Toothpastes on Human Gingival Epithelial Cells. BMC Oral Health 2022, 22, 66. [Google Scholar] [CrossRef]
- Available online: https://www.cir-safety.org/sites/default/files/sultan062017slr.pdf (accessed on 20 July 2022).
- Available online: https://www.oecd.org/env/ehs/testing/tg439-revised-in-vitro-skin-irritation-reconstructed-human-epidermis-test-method.pdf (accessed on 22 July 2022).
- Tavss, E.A.; Eigen, E.; Kligman, A.M. Anionic detergent-induced skin irritation and anion-ic detergent-induced pH rise of bovine serum albumin. J. Soc. Cosmet. Chem. 1987, 39, 267–272. [Google Scholar]
- Pezron, I.; Galet, L.; Clausse, D. Surface Interaction between a Protein Monolayer and Surfactants and Its Correlation with Skin Irritation by Surfactants. J. Colloid Interface Sci. 1996, 180, 285–289. [Google Scholar] [CrossRef]
- Colombo, I.; Sangiovanni, E.; Maggio, R.; Mattozzi, C.; Zava, S.; Corbett, Y.; Fumagalli, M.; Carlino, C.; Corsetto, P.A.; Scaccabarozzi, D.; et al. HaCaT Cells as a Reliable In Vitro Differentiation Model to Dissect the Inflammatory/Repair Response of Human Keratinocytes. Mediat. Inflamm. 2017, 2017, 7435621. [Google Scholar] [CrossRef] [PubMed]
- Szymanski, L.; Cios, A.; Lewicki, S.; Szymanski, P.; Stankiewicz, W. Fas/FasL Pathway and Cytokines in Keratinocytes in Atopic Dermatitis—Manipulation by the Electromagnetic Field. PLoS ONE 2018, 13, e0205103. [Google Scholar] [CrossRef] [PubMed]
- Złotek, U.; Jakubczyk, A.; Rybczyńska-Tkaczyk, K.; Ćwiek, P.; Baraniak, B.; Lewicki, S. Characteristics of New Peptides GQLGEHGGAGMG, GEHGGAGMGGGQFQPV, EQGFLPGPEESGR, RLARAGLAQ, YGNPVGGVGH, and GNPVGGVGHGTTGT as Inhibitors of Enzymes Involved in Metabolic Syndrome and Antimicrobial Potential. Molecules 2020, 25, 2492. [Google Scholar] [CrossRef] [PubMed]





| Mean | SD | |
|---|---|---|
| LS_I | 6.00 | 0.00 |
| LS_2 | 5.86 | 0.35 |
| LS_3 | 5.71 | 0.45 |
| LS_4 | 5.71 | 0.45 |
| Ingredients by International Nomenclature of Cosmetic Ingredients (INCI) | The Content of the Raw Material/the Pure Component [%w/w] | |||
|---|---|---|---|---|
| LS I | LS II | LS III | LS IV | |
| Aqua | 84.18 + 4.00 | 84.18 | 84.18 | 84.18 |
| Sodium Laureth Sulfate | 6.75 | 6.75 | 6.75 | 6.75 |
| Cocamide DEA | 2.94 | 2.94 | 2.94 | 2.94 |
| Urea | 1.00 | 1.00 | 1.00 | 1.00 |
| Sodium Benzoate and Potassium Sorbate | 0.50 | 0.50 | 0.50 | 0.50 |
| Sodium Chloride | 0.63 | 0.63 | 0.63 | 0.63 |
| Cocamidopropyl Betaine | - | 4.00 | - | |
| Cocamidopropyl Hydroxysultaine | - | - | 4.00 | - |
| Evening Primroseamidopropyl Sulfobetaine | - | - | 4.00 | |
| Score Scale | Changes in Emulsion Appearance |
|---|---|
| 0 | Separated drops or a layer of clear oil |
| 1 | Rim of emulsified oil over 5 mm |
| 2 | Rim of emulsified oil from 3 to 5 mm |
| 3 | Rim of emulsified oil from 1 to 5 mm |
| 4 | Rim of emulsified oil less than 1 mm |
| 5 | The rim of the emulsified oil is very faintly visible or the emulsion is not homogenous |
| 6 | No visible rim, homogeneous emulsion |
Publisher’s Note: MDPI stays neutral with regard to jurisdictional claims in published maps and institutional affiliations. |
© 2022 by the authors. Licensee MDPI, Basel, Switzerland. This article is an open access article distributed under the terms and conditions of the Creative Commons Attribution (CC BY) license (https://creativecommons.org/licenses/by/4.0/).
Share and Cite
Klimaszewska, E.; Wieczorek, D.; Lewicki, S.; Stelmasiak, M.; Ogorzałek, M.; Szymański, Ł.; Tomasiuk, R.; Markuszewski, L. Effect of New Surfactants on Biological Properties of Liquid Soaps. Molecules 2022, 27, 5425. https://doi.org/10.3390/molecules27175425
Klimaszewska E, Wieczorek D, Lewicki S, Stelmasiak M, Ogorzałek M, Szymański Ł, Tomasiuk R, Markuszewski L. Effect of New Surfactants on Biological Properties of Liquid Soaps. Molecules. 2022; 27(17):5425. https://doi.org/10.3390/molecules27175425
Chicago/Turabian StyleKlimaszewska, Emilia, Daria Wieczorek, Sławomir Lewicki, Marta Stelmasiak, Marta Ogorzałek, Łukasz Szymański, Ryszard Tomasiuk, and Leszek Markuszewski. 2022. "Effect of New Surfactants on Biological Properties of Liquid Soaps" Molecules 27, no. 17: 5425. https://doi.org/10.3390/molecules27175425
APA StyleKlimaszewska, E., Wieczorek, D., Lewicki, S., Stelmasiak, M., Ogorzałek, M., Szymański, Ł., Tomasiuk, R., & Markuszewski, L. (2022). Effect of New Surfactants on Biological Properties of Liquid Soaps. Molecules, 27(17), 5425. https://doi.org/10.3390/molecules27175425

