Critical Review of Synthesis, Toxicology and Detection of Acyclovir
Abstract
1. Introduction
2. The Discovery and Pharmacology of ACV
3. The Preparation of ACV and Its Dosage Forms
3.1. The Synthesis of ACV
3.1.1. Synthesis from the 5-Aminoimidazole-4-carboxamide
3.1.2. Synthesis from Guanine and Its Derivatives
3.1.3. Synthesis from Other Purine Derivatives
3.2. Structures Modification for Improving ACV Performances
3.3. The Dosage Forms
3.3.1. Spray Formed In Situ
3.3.2. Gastric Retention Dosage Form
3.3.3. Vaginal Sustained-Release Agents
4. Toxicology Studies of ACV
4.1. Acute and Subchronic Manifestations of Toxicity
4.2. Chronic Manifestations of Toxicity
4.3. Teratology and Reproductive Study
4.4. Nephrotoxicity and Neurotoxicity
5. Analytical Methods for Detection of ACV
5.1. Spectrophotometry
5.2. High Performance Liquid Chromatography (HPLC)
5.3. Liquid Chromatography/Tandem Mass Spectrometry (LC-MS/MS)
5.4. Electrochemical Analysis Technology
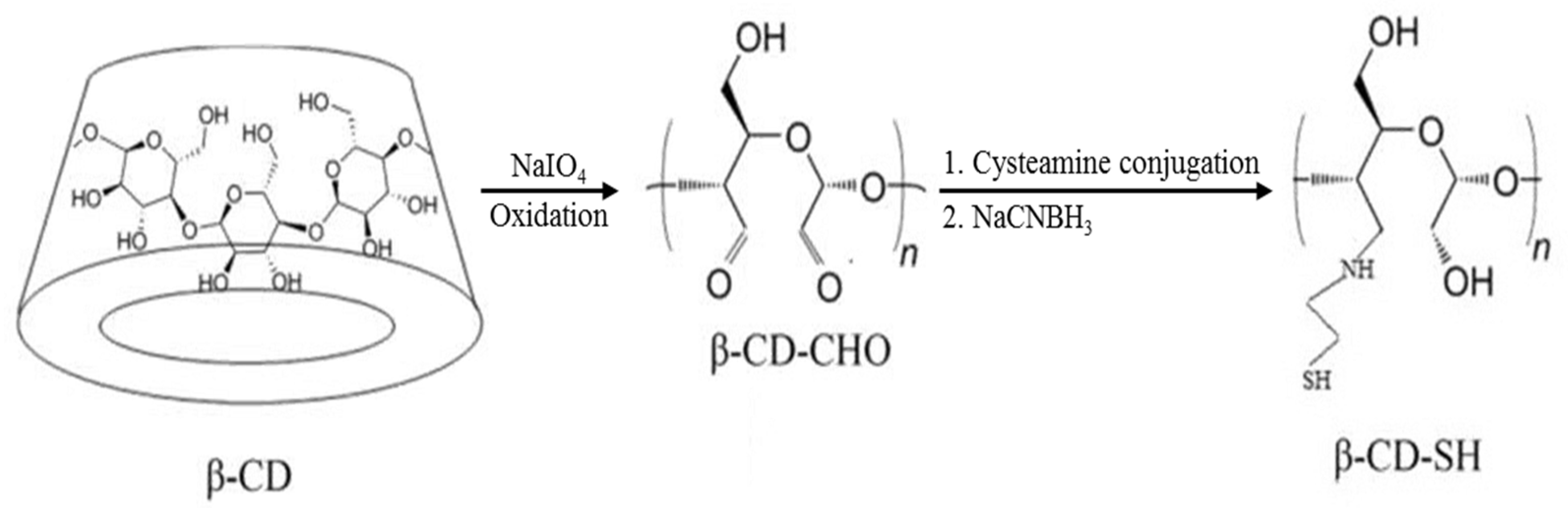
5.5. Molecularly Imprinted Polymers (MIPs)
5.6. Flow Injection–Chemiluminescence (FI-CL)
6. Current Research and Future Challenges of ACV
6.1. Current Research
6.2. Future Challenges of ACV
7. Conclusions
Author Contributions
Funding
Institutional Review Board Statement
Informed Consent Statement
Acknowledgments
Conflicts of Interest
References
- Castro, A.A.; Cordoves, A.I.; Farias, P.A. Determination of the antiretroviral drug acyclovir in diluted alkaline electrolyte by adsorptive stripping voltammetry at the mercury film electrode. Anal. Chem. Insights 2013, 8, 21–28. [Google Scholar] [CrossRef]
- Jos, W.; Der, V.; Meer, M.D. Acyclovir in severe herpes virus infections. Am. J. Med. 1997, 271–274. [Google Scholar] [CrossRef]
- Heidari, A.; Kalantar, E.; Dehghan, M.; Fallah, P. Herpes simplex encephalitis: Successful treatment with Acyclovir. J. Paramed. Sci. 2019, 10, 56–58. [Google Scholar] [CrossRef]
- Schaeffer, H.J.; Beauchamp, L.; Miranda, P.; Elion, G.B.; Bauer, D.J.; Collins, P. 9-(2-Hydroxyethoxymethyl)guanine activity against viruses of the herpes group. Nature 1978, 272, 583–585. [Google Scholar] [CrossRef]
- Newman, D.J.; Cragg, G.M. Natural products as sources of new drugs from 1981 to 2014. J. Nat. Prod. 2016, 79, 629–661. [Google Scholar] [CrossRef] [PubMed]
- Shetti, N.P.; Malode, S.J.; Nayak, D.S.; Naik, R.R.; Kuchinad, G.T.; Reddy, K.R.; Shukla, S.S.; Aminabhavi, T.M. Hetero-nanostructured iron oxide and bentonite clay composite assembly for the determination of an antiviral drug acyclovir. Microchem. J. 2020, 155, 104–727. [Google Scholar] [CrossRef]
- Shekh, M.I.; Amirian, J.; Stadler, F.J.; Du, B.; Zhu, Y. Oxidized chitosan modified electrospun scaffolds for controllable release of acyclovir. Int. J. Biol. Macromol. 2020, 151, 787–796. [Google Scholar] [CrossRef] [PubMed]
- Maichuk, I.F.; Kazachenko, M.A. Acyclovir and acyclovir in combination with interferon in the treatment of ophthalmic herpes. Oftalmol. Zhurnal 1988, 36, 402–405. [Google Scholar]
- Sutton, D.; Taylor, J.; Bacon, T.; Boyd, M. Activity of Penciclovir in Combination with Azido-Thymidine, Ganciclovir, Acyclovir, Foscarnet and Human Interferons against Herpes Simplex Virus Replication in Cell Culture. Antivir. Chem. Chemother. 1992, 3, 85–94. [Google Scholar] [CrossRef]
- Schalm, S.W. Treatment of chronic hepatitis B with a combination of acyclovir and human lymphoblastoid interferon. Chemioter. Int. J. Mediterr. Soc. Chemother. 1988, 7, 26–29. [Google Scholar] [CrossRef]
- Alhede, B.; Clausen, F.P.; Juhl-Christensen, J.; McCluskey, K.K.; Preikschat, H.F. A simple and efficient synthesis of 9-substituted guanines. Cyclodesulfurization of 1-substituted 5-[(thiocarbamoyl)amino]imidazole-4-carboxamides under aqueous basic conditions. J. Org. Chem. 1991, 56, 2139–2143. [Google Scholar] [CrossRef]
- Qian, M.; Glaser, R. 5-Cyanoamino-4-imidazolecarboxamide and Nitrosative Guanine Deamination: Experimental evidence for pyrimidine ring-Opening during deamination. J. Am. Chem. Soc. 2004, 126, 2274–2275. [Google Scholar] [CrossRef] [PubMed]
- Wang, J.; Ji, X.; Zhu, Q.; Yang, H. Synthesis of antiviral drug acyclovir. Chin. J. Pharm. 1992, 23, 289–290. [Google Scholar] [CrossRef]
- Matsumoto, H.; Kaneko, C.; Yamada, K.; Takeuchi, T.; Mori, T.; Mizuno, Y. A Convenient synthesis of 9-(2-Hydroxyethoxymethyl)guanine (Acyclovir) and related compounds. Chem. Pharm. Bull. 1988, 36, 1153–1157. [Google Scholar] [CrossRef] [PubMed]
- Chen, X.; Wang, Y. An improved synthesis of acyclovir. J. China Pharm. Univ. 1992, 23, 43–44. [Google Scholar]
- Luo, X. Synthesis of antiviral drug acyclovir. Chem. Reag. 2001, 23, 184–185. [Google Scholar] [CrossRef]
- Hakimelahi, G.H.; Khalafi-Nezhad, A. Catalytic effect of tetrabutylammonium fluoride in the preparation of secoribo-nucleosides. Helv. Chim. Acta 1989, 72, 1495–1500. [Google Scholar] [CrossRef]
- Kelley, J.; Schaeffer, H. Purine acyclic nucleosides. Unambiguous synthesis of acyclovir via A furazano [3, 4-d]pyrimidine. J. Heterocycl. Chem. 1986, 23, 271–273. [Google Scholar] [CrossRef]
- Barrio, J.R.; Bryant, J.D.; Keyser, G.E. A direct method for the preparation of 2-hydroxyethoxymethyl derivatives of guanine, adenine, and cytosine. J. Med. Chem. 1980, 23, 572–574. [Google Scholar] [CrossRef]
- Han, Y.K.; Harrington, P.J.; Schloemer, G.C. Preparation of Acyclovir. European Patent 95110955, 1 May 1996. [Google Scholar]
- Newby, C.S.; Coke, M. The preparation, characterisation and solubility characteristics of a hydrogen-bonded complex between acyclovir and cytosine. J. Pharm. Biomed. Anal. 1996, 15, 39–47. [Google Scholar] [CrossRef]
- Tong, P.; Shao, S.; Zhang, Y.M.; Zhang, C.H. Preparation and in vitro antiviral activity of liposomes of lipophilic esters of acyclovir. Acta Pharm. Sin. 1991, 27, 15–21. [Google Scholar] [CrossRef]
- Zhou, Y.; Wei, Y.H.; Zhang, G.Q.; Wu, X.A. Synergistic penetration of ethosomes and lipophilic prodrug on the transdermal delivery of acyclovir. Arch. Pharm. Res. 2010, 33, 567–574. [Google Scholar] [CrossRef]
- Zheng, L.; Chen, W.; Deng, X.; Gu, C.; Han, B. Studies on synthesis of acyclovir’s derivatives. J. Shihezi Univ. Nat. Sci. 2006, 24, 475–476. [Google Scholar] [CrossRef]
- Beauchamp, L.M. Therapeutic Valine Esters of Acyclovir and Pharmaceutically Acceptable Salts Thereof. U.S. Patent 4957924A, 18 September 1990. [Google Scholar]
- Golankiewicz, B.; Ostrowski, T.; Goslinski, T.; Januszczyk, P.; Zeidler, J.; Baranowski, D.; De Clercq, E. Fluorescent tricyclic analogues of acyclovir and ganciclovir. A structure-antiviral activity study. J. Med. Chem. 2001, 44, 4284–4287. [Google Scholar] [CrossRef] [PubMed]
- Yao, J.; Zhang, Y.; Ramishetti, S.; Wang, Y.; Huang, L. Turning an antiviral into an anticancer drug: Nanoparticle delivery of acyclovir monophosphate. J. controlled release: Off. J. Control. Rel. Soc. 2013, 170, 414–420. [Google Scholar] [CrossRef]
- Gómez-Segura, J.; Caballero, S.; Moreno, V.; Prieto, M.J.; Bosch, A. Palladium(II) binding to N(7) of acyclovir: DNA interaction and herpes simplex virus (HSV-1) inhibitory activity. J. Inorg. Biochem. 2009, 103, 128–134. [Google Scholar] [CrossRef]
- Wu, G.; Yang, Y.; Wang, G.; Cai, Y.; Li, G.; Jin, Q.; Tan, G.; Ni, J.; Huang, W. Situ Acyclovir and Its Preparation Method of Spray Forming. China Patent 102204887A, 19 May 2013. [Google Scholar]
- Zhang, J.H.; Zhu, J.B.; Chen, X.J.; Zhao, R.; Gang, Y.Y.; Wu, Z.H.; Cheng, K.; Xu, X.Y. Pharmacokinetics and bioavailability of sustained release and conventional formulation of Acyclovir. Eur. J. Drug Metab. Pharmacokinet. 2001, 26, 145–148. [Google Scholar] [CrossRef] [PubMed]
- Lewis, L.D.; Fowle, A.S.; Bittiner, S.B.; Bye, A.; Isaacs, P.E. Human gastrointestinal absorption of acyclovir from tablet duodenal infusion and sipped solution. Br. J. Clin. Pharmacol. 1986, 21, 459–462. [Google Scholar] [CrossRef] [PubMed]
- Wong, P.S.L.; Dong, L.-C.; Edgren, D.E.; Theeuwes, F.; Gardner, P.I.; Jao, F.; Wan, J.J. Prolonged Release Active Agent Dosage form Adapted for Gastric Retention. U.S. Patent No. 6120803, 19 September 2000. [Google Scholar]
- Ruiz-Caro, R.; Gago-Guillan, M.; Otero-Espinar, F.J.; Veiga, M.D. Mucoadhesive Tablets for Controlled Release of Acyclovir. Chem. Pharm. Bull. 2012, 60, 1249–1257. [Google Scholar] [CrossRef] [PubMed]
- Liu, H.; Pan, W.; Ke, P.; Dong, Y.; Ji, L. Preparation and evaluation of a novel gastric mucoadhesive sustained-release acyclovir microsphere. Drug Dev. Ind. Pharm. 2010, 36, 1098–1105. [Google Scholar] [CrossRef] [PubMed]
- Sánchez-Sánchez, M.-P.; Martín-Illana, A.; Ruiz-Caro, R.; Bermejo, P.; Abad, M.-J.; Carro, R.; Bedoya, L.-M.; Tamayo, A.; Rubio, J.; Fernández-Ferreiro, A.; et al. Chitosan and Kappa-Carrageenan Vaginal Acyclovir Formulations for Prevention of Genital Herpes. In Vitro and Ex Vivo Evaluation. Mar. Drugs 2015, 13, 5976–5992. [Google Scholar] [CrossRef]
- Pavelić, Ž.; Škalko-Basnet, N.; Filipović-Grčić, J.; Martinac, A.; Jalšenjak, I. Development and in vitro evaluation of a liposomal vaginal delivery system for acyclovir. J. Control. Release 2005, 106, 34–43. [Google Scholar] [CrossRef]
- Ijaz, M.; Griessinger, J.A.; Mahmood, A.; Laffleur, F.; Bernkop-Schnürch, A. Thiolated Cyclodextrin: Development of a Mucoadhesive Vaginal Delivery System for Acyclovir. J. Pharm. Sci. 2016, 105, 1714–1720. [Google Scholar] [CrossRef] [PubMed]
- Pacheco-Quito, E.-M.; Ruiz-Caro, R.; Rubio, J.; Tamayo, A.; Veiga, M.-D. Carrageenan-Based Acyclovir Mucoadhesive Vaginal Tablets for Prevention of Genital Herpes. Mar. Drugs 2020, 18, 249. [Google Scholar] [CrossRef]
- Yildiz, C.; Ozsurekci, Y.; Gucer, S.; Cengiz, A.B.; Topaloglu, R. Acute kidney injury due to acyclovir. CEN Case Rep. 2012, 2, 38–40. [Google Scholar] [CrossRef] [PubMed]
- Tucker, W.E. Preclinical toxicology profile of acyclovir: An overview. Am. J. Med. 1982, 73, 27–30. [Google Scholar] [CrossRef]
- Tucker, W.E.; Macklin, A.W.; Szot, R.J.; Johnston, R.E.; Elion, G.B.; de Miranda, P.; Szczech, G.M. Preclinical toxicology studies with acyclovir: Acute and subchronic tests. Fundam. Appl. Toxicol. 1983, 3, 573–578. [Google Scholar] [CrossRef]
- Brigden, D.; Whiteman, P. The mechanism of action, pharmacokinetics and toxicity of acyclovir—A review. J. Infect. 1983, 6, 3–9. [Google Scholar] [CrossRef]
- Tucker, W.E.; Krasny, H.C.; de Miranda, P.; Goldenthal, E.I.; Elion, G.B.; Hajian, G.; Szczech, G.M. Preclinical toxicology studies with acyclovir: Carcinogenicity bioassays and chronic toxicity tests. Fundam. Appl. Toxicol. 1983, 3, 579–586. [Google Scholar] [CrossRef]
- Moore, H.L.; Szczech, G.M.; Rodwell, D.E.; Kapp, R.W.; de Miranda, P.; Tucker, W.E. Preclinical toxicology studies with acyclovir: Teratologic, reproductive and neonatal tests. Fundam. Appl. Toxicol. 1983, 3, 560–568. [Google Scholar] [CrossRef]
- Stahlmann, R.; Klug, S.; Lewandowski, C.; Bochert, G.; Chahoud, I.; Rahm, U.; Merker, H.J.; Neubert, D. Prenatal toxicity of acyclovir in rats. Arch. Toxicol. 1988, 61, 468–479. [Google Scholar] [CrossRef] [PubMed]
- Klug, S.; Lewandowski, C.; Merker, H.J.; Stahlmann, R.; Wildi, L.; Neubert, D. In vitro and in vivo studies on the prenatal toxicity of five virustatic nucleoside analogues in comparison to aciclovir. Arch. Toxicol. 1991, 65, 283–291. [Google Scholar] [CrossRef]
- Selby, P.J.; Jameson, B.; Watson, J.G.; Morgenstern, G.; Powles, R.L.; Kay, H.E.M.; Thornton, R.; Clink, H.M.; McElwain, T.J.; Prentice, H.G.; et al. Parenteral Acyclovir therapy for herpesvirus infections in man. Lancet 1979, 314, 1267–1270. [Google Scholar] [CrossRef]
- Kuo, M.C.; Chang, J.-M.; Lin, S.P.; Lee, J.; Chen, H.C.; Lai, Y.-H. Acyclovir-induced acute renal failure. Nephrology 2002, 7, 158–160. [Google Scholar] [CrossRef]
- Riba Sole, M.; Farre Riba, R.; Badell Serra, I.; Bafalluy, A. Acyclovir-induced acute renal failure in a paediatric oncology patient, Farmacia hospitalaria: Organo oficial de expresion cientifica de la. Soc. Esp. Farm. Hosp. 2011, 35, 281–282. [Google Scholar] [CrossRef]
- Enríquez, F.; Sánchez-Vázquez, A.; Cañabate-Reche, F.; Pintor, A.; Román, R. Acyclovir-induced acute renal failure: An under-estimated secondary effect. An. Pediatr. 2008, 69, 171–174. [Google Scholar] [CrossRef]
- Gunness, P.; Aleksa, K.; Koren, G. The effect of acyclovir on the tubular secretion of creatinine in vitro. J. Transl. Med. 2010, 8, 139. [Google Scholar] [CrossRef]
- Meng, J.-B.; Zheng, X.; Zhang, G.; Fang, Q. Oral acyclovir induced acute renal failure. World J. Emerg. Med. 2011, 2, 310–313. [Google Scholar] [CrossRef][Green Version]
- Sadjadi, S.A.; Regmi, S.; Chau, T. Acyclovir neurotoxicity in a peritoneal dialysis patient: Report of a case and review of the pharmacokinetics of acyclovir. Am. J. Case Rep. 2018, 19, 1459–1462. [Google Scholar] [CrossRef]
- Dubrofsky, L.; Kerzner, R.S.; Delaunay, C.; Kolenda, C.; Jocelyne, P.; Schwartz, B.C. Interdisciplinary systems-based intervention to improve IV Hydration during parenteral administration of Acyclovir. Can. J. Hosp. Pharm. 2016, 69, 7–13. [Google Scholar] [CrossRef]
- Brigden, D.; Rosling, A.E.; Woods, N.C. Renal function after Acyclovir intravenous injection. Am. J. Med. 1982, 73, 182–185. [Google Scholar] [CrossRef]
- Sultan, M. Spectrophotometric determination of acyclovir in some pharmaceutical formulations. Il Farm. 2002, 57, 865–870. [Google Scholar] [CrossRef]
- Ajima, U.; Onah, J. Spectrophotometric determination of acyclovir after its reaction with ninhydrin and ascorbic acid. J. Appl. Pharm. Sci. 2015, 5, 65–69. [Google Scholar] [CrossRef][Green Version]
- Kumar, T.; Gurupadayya, B.M.; Reddy, M.B.; Raju, M.V. Selective and validated spectrophotometric method for determination of acyclovir and valacyclovir using N-Bromosuccinimide. J. Pharm. Res. 2011, 4, 24–27. [Google Scholar]
- Tavares, G.D.; Ishikawa, G.M.; Monteiro, T.F.; Zanolini, C.; Kedor, É.R.; Bou-Chacra, N.; Consiglieri, V.O.; Prestes, L. Derivative spectrophotometric method for determination of acyclovir in polymeric nanoparticles. Química Nova 2012, 35, 203–206. [Google Scholar] [CrossRef][Green Version]
- Thomas, O.F.; Adegoke, O.A. Development and validation of a new spectrophotometric method for the determination of acyclovir. J. Pharm. Bioresour. 2013, 9, 75–84. [Google Scholar] [CrossRef]
- Fatrekar, N.; Dessai, P. Stability indicating method development and validation of UV method for the determination of acyclovir in tablet dosage form. Indo Am. J. Pharm. Sci. 2018, 5, 8955–8960. [Google Scholar] [CrossRef]
- Šmidovnik, A.; Wondra, A.G.; Prošek, M. Determination of acyclovir in plasma by high performance liquid chromatography with UV detection. Method development and method validation. J. High Resolut. Chromatogr. 1997, 20, 503–506. [Google Scholar] [CrossRef]
- Bahrami, G.; Mirzaeei, S.; Kiani, A. Determination of acyclovir in human serum by high-performance liquid chromatography using liquid–liquid extraction and its application in pharmacokinetic studies. J. Chromatogr. B 2005, 816, 327–331. [Google Scholar] [CrossRef] [PubMed]
- Brown, S.D.; White, C.A.; Chu, C.K.; Bartlett, M.G. Determination of acyclovir in maternal plasma, amniotic fluid, fetal and placental tissues by high-performance liquid chromatography. J. Chromatogr. B 2002, 772, 327–334. [Google Scholar] [CrossRef]
- Zeng, L.; Nath, C.E.; Shaw, P.J.; Earl, J.W.; McLachlan, A.J. HPLC-fluorescence assay for acyclovir in children. Biomed. Chromatogr. 2008, 22, 879–887. [Google Scholar] [CrossRef]
- Maes, A.; Garré, B.; Desmet, N.; van der Meulen, K.; Nauwynck, H.; De Backer, P.; Croubels, S. Determination of acyclovir in horse plasma and body fluids by high-performance liquid chromatography combined with fluorescence detection and heated electrospray ionization tandem mass spectrometry. Biomed. Chromatogr. 2009, 23, 132–140. [Google Scholar] [CrossRef]
- Dewulf, J.; Galanti, L.; Godet, M.; Gillet, P.; Jamart, J.; Hecq, J.D. Long-term stability of acyclovir in 0.9% NaCl infusion polyolefin bags at 5 ± 3 °C after freeze-thaw treatment: A generic product versus the brand name. Ann. Pharm. Françaises 2015, 73, 108–113. [Google Scholar] [CrossRef]
- Tzanavaras, P.D.; Themelis, D.G. High-throughput HPLC assay of acyclovir and its major impurity guanine using a monolithic column and a flow gradient approach. J. Pharm. Biomed. Anal. 2007, 43, 1526–1530. [Google Scholar] [CrossRef]
- Silva, G.R.; Caldeira, A.S.P.; Damico, F.M.; Takahashi, B.S.; Silva-Cunha, A.; Fialho, S.L. Analysis of acyclovir in vitreous humor by a validated HPLC method, Die Pharmazie. Int. J. Pharm. Sci. 2013, 68, 235–239. [Google Scholar]
- Zendelovska, D.; Simeska, S.; Atanasovska, E.; Georgievska, K.; Kikerkov, I.; Labachevski, N.; Jakovski, K.; Balkanov, T. Determination of Acyclovir in human plasma samples by HPLC method with UV detection: Application to Single-Dose Pharmacokinetic Study. Open Access Maced J. Med. Sci. 2015, 3, 32–36. [Google Scholar] [CrossRef] [PubMed]
- Balogh Nemes, K.; Dalmadi Kiss, B.; Klebovich, I. Determination of acyclovir in dog plasma by HPLC using a column switching technique. Chromatographia 2000, 51, 211–216. [Google Scholar] [CrossRef]
- Zaenudin, M.; Situmorang, A.; Supandi, S. Optimization and Validation Methods for Assay of Acyclovir Cream Determination by High Performance Liquid Chromatography. IOP Conf. Ser. Earth Environ. Sci. 2021, 819, 012055. [Google Scholar] [CrossRef]
- Uřinovská, R.; Kacířová, I.; Sagan, J. Determination of acyclovir and its metabolite 9- carboxymethoxymethylguanide in human serum by ultra-high-performance liquid chromatography-tandem mass spectrometry. J. Sep. Sci. 2021, 44, 3080–3088. [Google Scholar] [CrossRef]
- Kanneti, R.; Rajesh, R.; Aravinda Raj, J.R.; Bhatt, P.A. An LC–MS–MS method for the simultaneous quantitation of Acyclovir and valacyclovir in human plasma. Chromatographia 2009, 70, 407–414. [Google Scholar] [CrossRef]
- Sasanya, J.J.; Abd-Alla, A.M.M.; Parker, A.G.; Cannavan, A. Analysis of the antiviral drugs acyclovir and valacyclovir-hydrochloride in tsetse flies (Glossina pallidipes) using LC–MSMS. J. Chromatogr. B 2010, 878, 2384–2390. [Google Scholar] [CrossRef] [PubMed]
- Schimek, D.; Raml, R.; Francesconi, K.A.; Bodenlenz, M.; Sinner, F. Quantification of acyclovir in dermal interstitial fluid and human serum by ultra-high-performance liquid–high-resolution tandem mass spectrometry for topical bioequivalence evaluation. Biomed. Chromatogr. 2018, 32, e4194. [Google Scholar] [CrossRef] [PubMed]
- Mulabagal, V.; Annaji, M.; Kurapati, S.; Dash, R.P.; Srinivas, N.R.; Tiwari, A.K.; Babu, R.J. Stability-indicating HPLC method for acyclovir and lidocaine in topical formulations. Biomed. Chromatogr. 2020, 34, e4751. [Google Scholar] [CrossRef]
- Wu, Y.; Deng, P.; Tian, Y.; Magesa, F.; Liu, J.; Li, G.; He, Q. Construction of effective electrochemical sensor for the determination of quinoline yellow based on different morphologies of manganese dioxide functionalized graphene. J. Food Compos. Anal. 2019, 84, 103–280. [Google Scholar] [CrossRef]
- Magesa, F.; Wu, Y.; Tian, Y.; Vianney, J.-M.; Buza, J.; He, Q.; Tan, Y. Graphene and graphene like 2D graphitic carbon nitride: Electrochemical detection of food colorants and toxic substances in environment. Trends Environ. Anal. Chem. 2019, 23, e00064. [Google Scholar] [CrossRef]
- Heli, H.; Zarghan, M.; Jabbari, A.; Parsaei, A.; Moosavi-Movahedi, A.A. Electrocatalytic oxidation of the antiviral drug acyclovir on a copper nanoparticles-modified carbon paste electrode. J. Solid State Electrochem. 2010, 14, 787–795. [Google Scholar] [CrossRef]
- Magesa, F.; Wu, Y.; Dong, S.; Tian, Y.; Li, G.; Vianney, J.M.; Buza, J.; Liu, J.; He, Q. Electrochemical Sensing Fabricated with Ta2O5 Nanoparticle-Electrochemically Reduced Graphene Oxide nanocomposite for the detection of Oxytetracycline. Biomolecules 2020, 10, 110. [Google Scholar] [CrossRef]
- He, Q.; Liu, J.; Liu, X.; Li, G.; Chen, D.; Deng, P.; Liang, J. A promising sensing platform toward dopamine using MnO2 nanowires/electro-reduced graphene oxide composites. Electrochim. Acta 2019, 296, 683–692. [Google Scholar] [CrossRef]
- Tian, Y.; Deng, P.; Wu, Y.; Li, J.; Liu, J.; Li, G.; He, Q. MnO2 nanowires-decorated reduced Graphene Oxide modified glassy carbon electrode for sensitive determination of bisphenol A. J. Electrochem. Soc. 2020, 167, 046514. [Google Scholar] [CrossRef]
- He, Q.; Liu, J.; Xia, Y.; Tuo, D.; Deng, P.; Tian, Y.; Wu, Y.; Li, G.; Chen, D. Rapid and sensitive voltammetric detection of Rhodamine B in chili-containing foodstuffs using MnO2 nanorods/electro-reduced Graphene Oxide composite. J. Electrochem. Soc. 2019, 166, B805–B813. [Google Scholar] [CrossRef]
- Shetti, N.P.; Malode, S.J.; Nandibewoor, S.T. Electrochemical behavior of an antiviral drug acyclovir at fullerene-C(60)-modified glassy carbon electrode. Bioelectrochemistry 2012, 88, 76–83. [Google Scholar] [CrossRef]
- Joseph, R.; Kumar, K.G. Electrochemical sensing of acyclovir at a gold electrode modified with 2-mercaptobenzothiazole-[5, 10, 15, 20-tetrakis-(3-methoxy-4-hydroxyphenyl)porphyrin ato]copper(II). Anal. Sci. Int. J. Jpn. Soc. Anal. Chem. 2011, 27, 67–72. [Google Scholar] [CrossRef][Green Version]
- Shahrokhian, S.; Azimzadeh, M.; Amini, M.K. Modification of glassy carbon electrode with a bilayer of multiwalled carbon nanotube/tiron-doped polypyrrole: Application to sensitive voltammetric determination of acyclovir. Mater. Sci. Eng. C 2015, 53, 134–141. [Google Scholar] [CrossRef]
- Dilgin, D.G.; Karakaya, S. Differential pulse voltammetric determination of acyclovir in pharmaceutical preparations using a pencil graphite electrode. Mater. Sci. Eng. C 2016, 63, 570–576. [Google Scholar] [CrossRef]
- Dorraji, P.S.; Jalali, F. Differential pulse voltammetric determination of nanomolar concentrations of antiviral drug acyclovir at polymer film modified glassy carbon electrode. Mater. Sci. Eng. C Mater. Biol. Appl. 2016, 61, 858–864. [Google Scholar] [CrossRef] [PubMed]
- Tarlekar, P.; Khan, A.; Chatterjee, S. Nanoscale determination of antiviral drug acyclovir engaging bifunctionality of single walled carbon nanotubes-nafion film. J. Pharm. Biomed. Anal. 2018, 151, 1–9. [Google Scholar] [CrossRef] [PubMed]
- Wang, F.; Chen, L.; Chen, X.; Hu, S. Studies on electrochemical behaviors of acyclovir and its voltammetric determination with nano-structured film electrode. Anal. Chim. Acta 2006, 576, 17–22. [Google Scholar] [CrossRef] [PubMed]
- Sadıkoğlu, M.; Saglikoglu, G.; Yagmur, S.; Orta, E.; Yilmaz, S. Voltammetric Determination of Acyclovir in Human Urine Using Ultra Trace Graphite and Glassy Carbon Electrodes. Curr. Anal. Chem. 2011, 7, 130–135. [Google Scholar] [CrossRef]
- Wang, P.; Gan, T.; Zhang, J.; Luo, J.; Zhang, S. Polyvinylpyrrolidone-enhanced electrochemical oxidation and detection of acyclovir. J. Mol. Liq. 2013, 177, 129–132. [Google Scholar] [CrossRef]
- Pavamana, M.; Shetti, N.P.; Malode, S.J.; Bukkitgar, S.D. Nano level detection and analysis of an antiviral drug at ZnO nanoparticles modified sensor. Mater. Today Proc. 2019, 18, 1568–1573. [Google Scholar] [CrossRef]
- Ranganathan, P.; Mutharani, B.; Chen, S.-M.; Sireesha, P. Polystyrene: β-Cyclodextrin Inclusion Complex-Supported Y2O3-Based Electrochemical Sensor: Effective and Simultaneous Determination of 4-Aminoantipyrine and Acyclovir Drugs. J. Phys. Chem. C 2019, 123, 12211–12222. [Google Scholar] [CrossRef]
- Wu, Y.; Deng, P.; Tian, Y.; Ding, Z.; Li, G.; Liu, J.; Zuberi, Z.; He, Q. Rapid recognition and determination of tryptophan by carbon nanotubes and molecularly imprinted polymer-modified glassy carbon electrode. Bioelectrochemistry 2020, 131, 107393. [Google Scholar] [CrossRef] [PubMed]
- Wu, S.; Tan, L.; Wang, G.; Peng, G.; Kang, C.; Tang, Y. Binding characteristics of homogeneous molecularly imprinted polymers for acyclovir using an (acceptor–donor–donor)—(donor–acceptor–acceptor) hydrogen-bond strategy, and analytical applications for serum samples. J. Chromatogr. A 2013, 1285, 124–131. [Google Scholar] [CrossRef]
- Yan, H.; Wang, M.; Han, Y.; Qiao, F.; Row, K.H. Hybrid molecularly imprinted polymers synthesized with 3-aminopropyltriethoxysilane-methacrylic acid monomer for miniaturized solid-phase extraction: A new and economical sample preparation strategy for determination of acyclovir in urine. J. Chromatogr. A 2014, 1346, 16–24. [Google Scholar] [CrossRef]
- Han, Y.; Yan, H.; Cheng, X.; Yang, G.; Li, B. Rapid determination of acyclovir in edible creatural tissues by molecularly imprinted matrix solid-phase dispersion coupled with high performance liquid chromatography. Anal. Methods 2013, 5, 3285–3290. [Google Scholar] [CrossRef]
- Tang, M.; Zhang, B.T.; Teng, Y.; Liu, M.; Zhang, Y. Fast determination of peroxymonosulfate by flow injection chemiluminescence using the Tb(III) ligand in micelle medium. Luminescence 2020, 35, 274–283. [Google Scholar] [CrossRef] [PubMed]
- Ambar, M.; Asghar, F.; Ameen, S.; Al-Nadhari, A.; Waseem, M.; Yaqoob, A.; Alarfaj, A.; Nabi, A. A Flow Injection Chemiluminescence Method for the Determination of Retinol in Pharmaceutical Formulations by Using Luminol-Diperiodatoargentate(III) Reaction. J. Nutr. Sci. Vitaminol. 2020, 66, 10–18. [Google Scholar] [CrossRef] [PubMed]
- Li, N.; Chen, H.; Zhu, H.; Tan, X.; Li, X.; Xu, X. Determination of acyclovir by a flow injection-chemiluminescence method based on Ni(IV) ComplexLuminol System. Chin. J. Anal. Lab. 2016, 35, 993–997. [Google Scholar] [CrossRef]
- Long, X.; Chen, F. Flow-injection chemiluminescence determination of acyclovir. Luminescence 2012, 27, 478–481. [Google Scholar] [CrossRef]
- Zhou, Y.; Zhang, Q.; Gu, Y.; Jin, Y.; Xu, X.; Chen, Y. Supersaturated system improves transdermal delivery of acyclovir fatty acid ester precursor drug. Chin. Pharm. 2021, 3216, 1975–1981. [Google Scholar] [CrossRef]
- Ljiljana, D.; Jovana, J.; Bojan, Č.; Marija, P. Development of semisolid self-microemulsifying drug delivery systems (SMEDDSs) filled in hard capsules for oral delivery of acyclovir. J. Pharm. 2017, 528, 372–380. [Google Scholar] [CrossRef]
- Sun, L.; Wang, C.; Zhang, Y. A physiologically based pharmacokinetic model for valacyclovir established based on absolute expression quantity of hPEPT1 and its application. Eur. J. Pharm. Sci. 2018, 123, 560–568. [Google Scholar] [CrossRef] [PubMed]
- Chou, S.; Matthew, W.; Rohita, S.; Steven, K. Ganciclovir and maribavir susceptibility phenotypes of cytomegalovirus UL97 ATP binding region mutations detected by expanded genotypic testing. Antivir. Res. 2021, 193, 105139. [Google Scholar] [CrossRef]
- Ho, L.; Heeryong, L.; Seoung, W.L.; Seun, D.H.; Joon, H. Efficacy and Safety According to the Dose of Valganciclovir for Cytomegalovirus Prophylaxis in Transplantation: Network Meta-analysis Using Recent Data. Transplant. Proc. 2021, 53, 6, 1945–1950. [Google Scholar] [CrossRef]
- Sahu, P.K.; Umme, T.; Yu, J.; Kim, G.; Qu, S.; Naik, S.D.; Jeong, L.S. Structure-Activity Relationships of Acyclic Selenopurine Nucleosides as Antiviral Agents. Molecules 2017, 22, 1167. [Google Scholar] [CrossRef] [PubMed]
- Komazin-Meredith, G.; Cardinale, S.C.; Williams, J.; Peet, N.P.; Prichard, M.N.; Bowlin, T.L. Human Herpesvirus 6 U69 Kinase Phosphorylates the Methylenecyclopropane Nucleosides Cyclopropavir, MBX 2168, and MBX 1616 to Their Monophosphates. Antimicrob. Agents Chemother. 2013, 57, 5760–5762. [Google Scholar] [CrossRef][Green Version]
- Yang, X.; He, Y.; Wu, Z.; Feng, B.; Gao, Y. Desloratadine Citrate Disodium Freeze-Dried Oral Instant Tablets and Preparing Method Thereof. China Patent 112094230A, 18 December 2020. [Google Scholar]
- Bryan-Marrugo, O.; Ramos-Jiménez, J.; Barrera-Saldaña, H.; Rojas-Martínez, A.; Vidaltamayo, R.; Rivas-Estilla, A. History and progress of antiviral drugs: From acyclovir to direct-acting antiviral agents (DAAs) for Hepatitis. C. Med. Univ. 2015, 17, 165–174. [Google Scholar] [CrossRef]
- Prestwich, G.D.; Liu, Y.; Yu, B.; Shu, X.Z.; Scott, A. 3-D culture in synthetic extracellular matrices: New tissue models for drug toxicology and cancer drug discovery. Adv. Enzym. Regul. 2007, 47, 196–207. [Google Scholar] [CrossRef] [PubMed]
- Caplin, J.D.; Granados, N.G.; James, M.R.; Montazami, R.; Hashemi, N. Microfluidic Organ-on-a-Chip Technology for Advancement of Drug Development and Toxicology. Adv. Heal. Mater. 2015, 4, 1426–1450. [Google Scholar] [CrossRef]
- Skardal, A.; Shupe, T.; Atala, A. Organoid-on-a-chip and body-on-a-chip systems for drug screening and disease modeling. Drug Discov. Today 2016, 21, 1399–1411. [Google Scholar] [CrossRef]
- Lee, J.B.; Sung, J.H. Organ-on-a-chip technology and microfluidic whole-body models for pharmacokinetic drug toxicity screening. Biotechnol. J. 2013, 8, 1258–1266. [Google Scholar] [CrossRef] [PubMed]
- Choucha Snouber, L.; Bunescu, A.; Naudot, M.; Legallais, C.; Brochot, C.; Dumas, M.E.; Elena-Herrmann, B.; Leclerc, E. Metabolomics-on-a-chip of hepatotoxicity induced by anticancer drug flutamide and Its active metabolite hydroxyflutamide using HepG2/C3a microfluidic biochips. Toxicol. Sci. 2013, 132, 8–20. [Google Scholar] [CrossRef]
- Esch, E.W.; Bahinski, A.; Huh, D. Organs-on-chips at the frontiers of drug discovery. Nat. Rev. Drug Discov. 2015, 14, 248–260. [Google Scholar] [CrossRef] [PubMed]
- Du, J.; Guo, J.; Kang, D.; Li, Z.; Wang, G.; Wu, J.; Zhang, Z.; Fang, H.; Hou, X.; Huang, Z.; et al. New techniques and strategies in drug discovery. Chin. Chem. Lett. 2020, 31, 1695–1708. [Google Scholar] [CrossRef]
- Zhu, H. Big data and artificial intelligence modeling for drug discovery. Annu. Rev. Pharmacol. Toxicol. 2020, 60, 573–589. [Google Scholar] [CrossRef]
- Leelananda, S.P.; Lindert, S. Computational methods in drug discovery. Beilstein J. Org. Chem. 2016, 12, 2694–2718. [Google Scholar] [CrossRef]
- Schwede, T.; Kopp, J.; Guex, N.; Peitsch, M.C. SWISS-MODEL: An automated protein homology-modeling server. Nucleic Acids Res. 2003, 31, 3381–3385. [Google Scholar] [CrossRef]
- Kelley, L.A.; Sternberg, M.J. Protein structure prediction on the Web: A case study using the Phyre server. Nat. Protoc. 2009, 4, 363–371. [Google Scholar] [CrossRef]
- Källberg, M.; Wang, H.; Wang, S.; Peng, J.; Wang, Z.; Lu, H.; Xu, J. Template-based protein structure modeling using the RaptorX web server. Nat. Protoc. 2012, 7, 1511–1522. [Google Scholar] [CrossRef]
- Wu, S.; Zhang, Y. MUSTER: Improving protein sequence profile–profile alignments by using multiple sources of structure information, Proteins: Structure. Funct. Bioinform. 2008, 72, 547–556. [Google Scholar] [CrossRef]
- Zhang, Y. I-TASSER server for protein 3D structure prediction. BMC Bioinform. 2008, 9, 40. [Google Scholar] [CrossRef] [PubMed]
- Xu, D.; Zhang, Y. Ab initio protein structure assembly using continuous structure fragments and optimized knowledge-based force field. Proteins 2012, 80, 1715–1735. [Google Scholar] [CrossRef] [PubMed]
- Marks, D.S.; Colwell, L.J.; Sheridan, R.; Hopf, T.A.; Pagnani, R.; Zecchina, C. Sander, Protein 3D structure computed from evolutionary sequence variation. PLoS ONE 2011, 6, e28766. [Google Scholar] [CrossRef] [PubMed]
- Lin, S.K. Pharmacophore Perception, Development and use in drug design. Edited by Osman, F. Güner. Molecules 2000, 5, 987–989. [Google Scholar] [CrossRef]
- Durán, A.; Zamora, I.; Pastor, M. Suitability of GRIND-based principal properties for the description of molecular similarity and ligand-based virtual screening. J. Chem. Inf. Model. 2009, 49, 2129–2138. [Google Scholar] [CrossRef]
- Verma, J.; Khedkar, V.M.; Coutinho, E.C. 3D-QSAR in drug design—A review. Curr. Top. Med. Chem. 2010, 10, 95–115. [Google Scholar] [CrossRef]
- Fotis, C.; Antoranz, A.; Hatziavramidis, D.; Sakellaropoulos, T.; Alexopoulos, L.G. Network-based technologies for early drug discovery. Drug Discov. Today 2018, 23, 626–635. [Google Scholar] [CrossRef]
- Chen, Y.; Kirchmair, J. Cheminformatics in natural product-based drug discovery. Mol. Inform. 2020, 39, 2000171. [Google Scholar] [CrossRef]
- Korkmaz, S. Deep learning-based imbalanced data classification for drug discovery. J. Chem. Inf. Model. 2020, 60, 4180–4190. [Google Scholar] [CrossRef]
- Rifaioğlu, A.; Cetin-Atalay, R.; Kahraman, D.; Dogan, T.; Martin, M.; Atalay, M.V. MDeePred: Novel multi-channel protein featurization for deep learning based binding affinity prediction in drug discovery. Bioinformatics 2020, 37, 858–871. [Google Scholar] [CrossRef]
- D’Souza, S.; Prema, K.V.; Balaji, S. Machine learning models for drug–target interactions: Current knowledge and future directions. Drug Discov. Today 2020, 25, 748–756. [Google Scholar] [CrossRef] [PubMed]











| Starting Materials | Synthesizing Process | The Routes in Scheme 2 | References | ||
|---|---|---|---|---|---|
| (1) | 5-aminoimidazole-4-carboxamide | Three steps: alkylation, condensation, ring closure | (a) | [11,12] | |
| (2) | Guanine and its derivatives | Guanosine | Three steps: acylation, condensation, azmmonolysis | (b) | [13] |
| Guanine | Three steps: acylation, condensation, ammonolysis | (c) | [14,15] | ||
| Three steps: silanization, condensation, hydrolysis | (d) | [16] | |||
| One step: the condensation and deprotection of the acyl protecting group and nucleophilic displacement of the halogen atoms | (e) | [17] | |||
| (3) | other purine derivatives | 2, 6-dichloropurine | Condensation, ammoniation and hydrolysis | (f) | [18] |
| 2-chloro-6-iodopurine | Condensation, ammoniation and hydrolysis | (g) | [19] | ||
| 6-iodopurine | Alkylation, chlorination, iodization, ammoniation | (h) | [20] | ||
| 2-amino-6-chloropurine | Silanization, condensation and hydrolysis | (i) | [21] | ||
| Dosage Forms | Products |
|---|---|
| Solid Preparation | ACV tablets, ACV dispersible tablets, ACV sustained-release tablets, ACV chewing tablets, ACV capsules, ACV granules |
| Semi-Solid Preparation | ACV eye cream, ACV cream, ACV ointment, ACV gel |
| Liquid Preparation | ACV for injection, ACV oral suspension, ACV eye drops |
| Human System | Chief Clinical Manifestations |
|---|---|
| Urinary System | No urine, oliguria, low back pain, etc. |
| Nervous System | Headache, sudden neurological abnormalities, etc. |
| Cardiovascular System | Low blood pressure, palpitations, etc. |
| Digestive System | Diarrhea, nausea, vomiting, etc. |
| Allergic Reactions | Itchy skin, urticarial, anaphylactic shock, etc. |
| Mouse | Rat | |||
|---|---|---|---|---|
| Male | Female | Male | Female | |
| LD50 by intravenous route (mg/kg) | 405 | N.A | >600 | N.A |
| LD50 by intraperitoneal route (mg/kg) | 1454 | 999 | 1305 | 1210 |
| LD50 | LC50 | |
|---|---|---|
| Oral | 20,000 mg/kg (rat) | N.A |
| Inhalative | Intraperitoneal: 860 mg/kg (rat) Intravenous: 750 mg/kg (rat) | >15.1 mg/L (rat) |
| Methods | Operating Wave Length(nm) | Linear Range (μg/mL) | LOD (μg/mL) | Samples | Recovery% | References |
|---|---|---|---|---|---|---|
| UV/Vis | 616 | 20–200 | 1.06 | dosage forms of ACV | 98.6–99.7 | [56] |
| UV/Vis | 540 | <30 | 0.2 | dosage forms of ACV | 96.9–102.0 | [57] |
| UV/Vis | 508 | 1–5, 5–10 | 0.3 | ACV and valacyclovir in commercial tablet | 99.26 ± 0.52, 99.47 ± 0.96 | [58] |
| a DS | 295.2 | 1.25–40.0 | 0.08 | b ACV present in PACA nanoparticles | 99.3–101.2 | [59] |
| UV/Vis | 404 | 1.81–9.06 | 0.024 | ACV in bulk and dosage forms | 97.0–100.0 | [60] |
| UV/Vis | 252 | 1600–2400 | 0.030 | ACV in bulk and pharmaceutical Dosage form | 99.72 | [61] |
| Methods | Operating Wavelength (nm) | Linear Range (μg/mL) | LOD (μg/mL) | Samples | Recovery% | References |
|---|---|---|---|---|---|---|
| HPLC-VIS | 254 | 0.02–4 | 0.01 | plasma samples | 94.4–104.3 | [62] |
| HPLC-VIS | 254 | 0.010–2.560 | 0.01 | ACV in human serum | 90 ± 8% | [63] |
| HPLC-VIS | 254 | 0.25–100 | 2.5 | Plasma and amniotic fluid samples | >80% | [64] |
| HPLC-FLD | 260 | 100–20,000 | 33 | Plasma from pediatric oncology patients | 101% | [65] |
| HPLC-FLD, LC-HESI-MS/MS | N.A | 0.1–1.5 | 0.05, 0.002 | equine plasma and body fluids | 98.8–99.3, 95.4–99.9 | [66] |
| HPLC-PDA | 350 | 50–500 | N.A | ACV (ACV Hospira®) | N.A | [67] |
| HPLC-DAD | N.A | 100–1000 | 20 | ACV raw material | 99.2–101.6 | [68] |
| HPLC-UV | 254 | 35–70 | 0.048 | ACV in the vitreous humor | 98.18–99.64 | [69] |
| HPLC-UV | 255 | 0.1–5.0 | N.A | ACV in plasma samples | 91.37–98.98 | [70] |
| HPLC-UV | 254 | 0.001–5 | 0.0I | a pharmacokinetic linearity study in dogs. | 88.2–92.9 | [71] |
| a YMC-Triart C18 | 252.0 | 8–12 | 0.27 | Aciclovir Cream | 99. 6–100.6 | [72] |
| Methods | Linear Range (μg/mL) | LOD (μg/mL) | Samples | Recovery% | References |
|---|---|---|---|---|---|
| a UPLC-MS | 50–500 | 50 | 9-carboxymethoxymethylguanosine in human serum | 92.2–114.2 | [70] |
| HPLC-FLD, LC-HESI-MS/MS | 0.1–1.5 | 0.05, 0.002 | equine plasma and body fluids | 98.8–99.3, 95.4–99.9 | [63] |
| LC-MS-MS | 0.047–10.255, 0.005–1.075 | 0.047, 0.005 | ACV and valacyclovir in human plasma. | 96.0–106.3, 99.2–105.5 | [71] |
| b HPLC- MS, | 0.45–4.5 | 0.0625, 0.2 | valacyclovir-HCl and ACV in tsetse flies | 92%, 95% | [72] |
| c UHPLC-HR MS/MS | 0.0001–0.025 | 0.00001 | ACV in dermal samples | 82 ± 5% | [73] |
| d UPLC-TOF-MS | 5–500, 10–200 | 5, 10 | ACV and lidocaine in topical formulations | 92.8 ± 0.7, 91.3 ± 3.2 | [74] |
| Electrochemical Sensors | Technique | Linear Range (μM) | LOD (μM) | Samples | Recovery% | References |
|---|---|---|---|---|---|---|
| Copper nanoparticle/CPE | Amperometry | 27–521 | 2.64 | Tablets | 96.5–106 | [80] |
| Fullerene-C60/GCE | g DPV | 0.090–6.0 | 0.0148 | Urine; Human serum | 98.12–99.43 | [85] |
| a MBZ/TMHPP Cu(II)/GE | h SWV | 0.01–1000 | 0.01 | Tablets; Urine | 100–102 | [86] |
| PGE | DPV | 1–100 | 0.30 | Tablets | N.A | [88] |
| PEBT/GCE | DPV | 0.03–1.5 | 0.012 | Tablets; Human serum | 98-102 | [89] |
| SWNT/Naf/GCE | SWV | 0.01–30 | 0.0018 | Tablets | 96.0–102.7 | [90] |
| b MWNTs-DHP/GCE | LSV | 0.080–10 | 0.030 | Tablets | 102–105 | [91] |
| c UTGE;GCE | DPV | 4–70; 2.0–100 | 1.0; 0.35 | Human urine | 104; 99 | [92] |
| d PVP/CPE | DPV | 0.01–0.75 | 0.0025 | Injection; Tablets | N.A | [93] |
| e ZnO/GCE | SWV | 1–20 | 0.0423 | Tablets; Urine | 91.3–97.5 | [94] |
| f PS:β-CD IC/Y2O3/GCE | DPV | 0.01–118; 148–918 | 0.02 | Urine; Tablets | 88–99.3 | [95] |
Publisher’s Note: MDPI stays neutral with regard to jurisdictional claims in published maps and institutional affiliations. |
© 2021 by the authors. Licensee MDPI, Basel, Switzerland. This article is an open access article distributed under the terms and conditions of the Creative Commons Attribution (CC BY) license (https://creativecommons.org/licenses/by/4.0/).
Share and Cite
Wei, Y.-P.; Yao, L.-Y.; Wu, Y.-Y.; Liu, X.; Peng, L.-H.; Tian, Y.-L.; Ding, J.-H.; Li, K.-H.; He, Q.-G. Critical Review of Synthesis, Toxicology and Detection of Acyclovir. Molecules 2021, 26, 6566. https://doi.org/10.3390/molecules26216566
Wei Y-P, Yao L-Y, Wu Y-Y, Liu X, Peng L-H, Tian Y-L, Ding J-H, Li K-H, He Q-G. Critical Review of Synthesis, Toxicology and Detection of Acyclovir. Molecules. 2021; 26(21):6566. https://doi.org/10.3390/molecules26216566
Chicago/Turabian StyleWei, Yan-Ping, Liang-Yuan Yao, Yi-Yong Wu, Xia Liu, Li-Hong Peng, Ya-Ling Tian, Jian-Hua Ding, Kang-Hua Li, and Quan-Guo He. 2021. "Critical Review of Synthesis, Toxicology and Detection of Acyclovir" Molecules 26, no. 21: 6566. https://doi.org/10.3390/molecules26216566
APA StyleWei, Y.-P., Yao, L.-Y., Wu, Y.-Y., Liu, X., Peng, L.-H., Tian, Y.-L., Ding, J.-H., Li, K.-H., & He, Q.-G. (2021). Critical Review of Synthesis, Toxicology and Detection of Acyclovir. Molecules, 26(21), 6566. https://doi.org/10.3390/molecules26216566

