Abstract
This work provides a summary of the preparation, structure, reactivity, physicochemical properties, and main uses of 1,2,5-thiadiazole 1,1-dioxides in chemistry and material sciences. An overview of all currently known structures containing the 1,2,5-thiadiazole 1,1-dioxide motif (including the anions radical species) is provided according to the Cambridge Structural Database search. The analysis of the bond lengths typical for neutral and anion radical species is performed, providing a useful tool for unambiguous assessment of the valence state of the dioxothiadiazole-based compounds based solely on the structural data. Theoretical methodologies used in the literature to describe the dioxothiadiazoles are also shortly discussed, together with the typical ‘fingerprint’ of the dioxothiadiazole ring reported by means of various spectroscopic techniques (NMR, IR, UV-Vis). The second part describes the synthetic strategies leading to 1,2,5-thiadiazole 1,1-dioxides followed by the discussion of their electrochemistry and reactivity including mainly the chemical methods for the successful reduction of dioxothiadiazoles to their anion radical forms and the ability to form coordination compounds. Finally, the magnetic properties of dioxothiadiazole radical anions and the metal complexes involving dioxothiadiazoles as ligands are discussed, including simple alkali metal salts and d-block coordination compounds. The last section is a prospect of other uses of dioxothiadiazole-containing molecules reported in the literature followed by the perspectives and possible future research directions involving these compounds.
1. Introduction
Organic molecules are at the very edge of modern applications in technology (OLEDS, organic conducting materials, batteries) and there is a never-ending need for new systems that meet more and more demanding requirements. Heterocyclic organic compounds containing both N and S atoms are widely studied throughout the chemical and molecular sciences in this regard. Specifically, thiadiazoles [1,2,3,4,5,6,7,8,9] (Figure 1a) show several advantageous features such as high thermal and chemical stability, easy synthetic preparation and availability of precursors, coordination and bonding abilities [10], rich electrochemistry [11,12,13], and other functionalities such as magnetism [14], luminescence [15,16,17,18], or chirality [19]. The thiadiazole ring provides a very convenient tool for tuning the physicochemical properties of the relevant molecules—both nitrogen and sulfur atoms can be oxidized with common laboratory oxidants to yield N-oxides, S-oxides (oxothiadiazoles), and S,S-dioxides (dioxothiadiazoles).
Figure 1.
The family of the thiadiazole heterocycles including 1,2,5-thiadiazole 1,1-dioxides (a) and the structural formulas of all 1,2,5-thiadiazole 1,1-dioxides characterized structurally by means of SCXRD according to the Cambridge Structural Database search: 10 June 2021 (b). See Table 1 for additional details and literature references.
Surprisingly, despite great interest in thiadiazole chemistry, little is done to harness the potential of the oxidized species [20]. Dioxothiadiazoles, in this context, are underrepresented, and their chemistry is still awaiting to be recognized as, at the very least, equally interesting as the parent thiadiazoles. The oxo- and dioxothiadiazoles can be easily reduced to stable radical anions [21] and are therefore of potential use to the molecular magnetism community. However, this group of compounds seems to be completely omitted as potential building blocks for the construction of molecule-based magnetic materials [22,23] compared to other organic radicals (nitronyl nitroxides [24,25,26,27], verdazyl [28,29,30], semiquinones [31,32], or TCNE and TCNQ derivatives [33,34]) which have been used extensively to obtain all-organic magnets [35], Single Molecule Magnets [36,37], or Single Chain Magnets (SCMs) [24,38,39,40,41], among many other functional magnetic materials. This review focuses on 1,2,5-thiadiazole 1,1-dioxides (Figure 1a) and their radical anions [42], which constitute perhaps the prime example of the dioxothiadiazole family, and summarizes the current state-of-the-art in the field of 1,2,5-thiadiazole 1,1-dioxides with the aim of shedding light on the extraordinary possibilities and applications of this heterocyclic moieties with respect to the design and preparation of switchable/functional molecular materials.
2. Structure and Geometry
1,2,5-thiadiazole 1,1-dioxides (hereafter denoted as dioxothiadiazoles) comprise a five-membered heterocyclic ring oxidized at the sulfur atom. The ring is attached via the carbon atoms to various organic “backbones” as depicted in Figure 1b (please note that Figure 1b gathers all crystallographically characterized 1,2,5-thiadiazole 1,1-dioxides excluding thiadiazolines and the related N-functionalized derivatives).
Table 1 supplements Figure 1b by providing references to the CSD database and the relevant publications, where the respective compounds are reported [43,44,45,46,47,48,49,50,51]. Sulfonyl (>SO2) is a very strong electron-withdrawing group; therefore, compared to thiadiazoles, their dioxidized analogues containing this sulfonyl group are superior when it comes to negative charge accommodation within the heterocyclic ring and the resulting radical anion formation and their stability. In fact, most of the dioxothiadiazole species can be successfully reduced not only to their monoanionic radical forms but also to the dianionic species, while regular thiadiazoles are not prone to be reduced twice, and the first reduction event occurs usually around −2.0 V vs. Fc/Fc+ [42]. The sulfonyl group is also modifying the nature of molecular interactions available for the heterocyclic ring when transitioning from thiadiazoles to dioxothiadiazoles: the exposed soft sulfur atom in thiadiazoles, which is useful for the coordination to soft metal ions such as Cu+, Ag+ and Hg2+ as well as the weak hydrogen bonding capabilities, is replaced by hard oxygen atoms in dioxothiadiazoles that prefer hard metal ions such as alkali metals and can easily form hydrogen bonds.
Table 1.
All 1,2,5-thiadiazole 1,1-dioxides characterized structurally by means of the single crystal X-ray diffraction (according to the Cambridge Structural Database search using WebCSD tool: 10th June 2021).
A detailed structural analysis of the dioxothiadiazole heterocycle in various derivatives, as presented in Table 2 and Figure 2, indicates that the respective bonds within the heterocycle change length in a systematic way when the compound is reduced to the radical anion form.
Table 2.
Selected bond lengths for neutral and anionic dioxothiadiazoles (structures collected at 100–173 K). The average values given in blue and red correspond to the blue and red bars in Figure 2.
Figure 2.
Histograms presenting the distribution of bond lengths in the dioxothiadiazole rings: (a) C-C, (b) C=N, (c) S-N, and (d) S=O, depending on the valence state: neutral (blue bars) or radical anion (red bars). Note that each plot has the same bond length axis range of 0.1 Å and the bars correspond to 0.005 Å (outsiders in the C-C distribution: *crystal structure VITSAU, ** crystal structure VITROH).
Figure 2 presents the histograms of all bond lengths within the dioxothiadiazole ring gathered in Table 2 in their neutral and radical forms (0.005 Å intervals on the bond length axis). The largest bond length change can be observed for the C-C and C=N bonds, which can be used as markers of the valence state of the dioxothiadiazole derivative. This may be particularly useful when dioxothiadiazoles are used to form complexes with redox-active metal centers to form organic–inorganic molecular frameworks with valence tautomerism—with just a crystal structure, it is possible to accurately determine the valence state of the ligands. Upon reduction, the C-C and S-N bonds get shorter, while C=N and S=O bonds get longer.
The first systematic investigation of the properties of dioxothiadiazoles and perhaps the first rational approach to this heterocycle as a promising candidate for the design of molecular materials was carried out by Awaga et al. His group focused on dioxothiadiazoles fused to extended aromatic systems such as 1,10-phenanthroline (1,10-tdapO2) or pincene and performed a general physicochemical evaluation of these systems [14,44,51,52]. [1,2,5]thiadiazolo[3,4-f][1,10]phenanthroline 2,2-dioxide (1,10-tdapO2) structurally embodies all functionalities necessary to use this building block in the construction of mixed organic–inorganic coordination systems [53]. It readily forms radical anions with stability enhanced by the delocalization of the spin density over a large aromatic system of the 1,10-phenanthroline moiety. This can be clearly seen by comparing 1,10-tdapO2 with monocyclic analogues of dioxothiadiazoles such as 3,4-diphenyl-1,2,5-thiadiazole 1,1-dioxide. Moreover, the nitrogen atoms of its 1,10-phenanthroline backbone are capable of forming stable complexes with d-block metal ions, while the oxygen atoms of the dioxothiadiazole group can form electrostatic interactions with alkali metal ions. All heteroatoms of 1,10-tdapO2 may also participate in hydrogen bonding, providing directionality and enhancing the rigidity of the molecular frameworks formed. Additionally, the flat π electron-rich surface of the tdapO2 can form π-π stacking interactions that controls to some extent the ordering of molecules within the crystals. When distances between the 1,10-tdapO2 radical species are small and the offset appropriate, these stacks become important magnetic interaction pathways [14,44,52]. Please see the following sections for more details.
2.1. Theoretical Investigations
Several theoretical works with a detailed description of selected dioxothiadiazole molecules have been published, providing some general insight into the computational methods best suited to yield satisfactory agreement with experimental data for this family of compounds [47,50,54,55,56,57,58]. The most popular methods for the calculation of dioxothiadiazole properties is standard and involve DFT with B3LYP hybrid functional and a 6-311G++(d,p) or 6-311G++(3df,3pd) basis set. As in the case of most organic molecules, it is fast and reliable in reproducing data for UV-vis and IR interpretation that closely resemble experimental results [21,42,45,51,59,60]. For EPR spectra simulations, usually a B98 hybrid functional is used instead. In the case of solvents effects, the Self-Consistent Isodensity Polarized Continuum Model (SCI-PCM) is employed [59]. CHIH-DFT (Chihuahua Heterocycles-Density Functional Theory) model chemistry is also proposed as a semi-empirical DFT method specifically tailored to accurately predict properties of heterocyclic systems such as dioxothiadiazoles [61].
2.2. NMR, UV-Vis, and IR Spectroscopy
Simply because there are no hydrogen atoms present within the 1,2,5-thiadiazole 1,1-dioxide moiety, the 1H NMR spectra are useless when it comes to the structural characterization of this class of compounds. Several 13C NMR spectra have been reported for 3,4-disubstituted derivatives; carbon signals originating from 1,2,5-thiadiazole 1,1-dioxide ring appear in the 150–170 ppm range [59,60,62,63,64,65,66,67,68] as compared to the 130–160 ppm range for 1,2,5-thiadiazoles [69,70,71]. Many compounds were not characterized by 13C NMR spectroscopy due to their relatively low solubility in common deuterated solvents [43,45,51,67].
IR spectroscopy is quite useful for the characterization/identification of dioxothiadiazoles. This technique can be easily performed in the solid state, which mitigates their poor solubility. Four distinct IR bands are attributed to the heterocyclic ring: two C=N stretching vibrations in the 1600–1550 cm−1 range and two S=O stretches at 1350–1280 and 1170–1100 cm−1 [20,63,64] enable identification of dioxothiadiazole derivatives in more complex supramolecular and coordination systems. Figure 3 presents IR spectra (fingerprint region) of two exemplary dioxothiadiazole derivatives with a clear indication of the C=N and S=O stretching vibration bands.
Figure 3.
Fingerprint regions of the IR spectra of two dioxothiadiazole derivatives: [1,2,5]thiadiazolo[3,4-f][4,7]phenanthroline 2,2-dioxide (ref. [43]; blue line) and [1,2,5]thiadiazolo[3,4-f][1,10]phenanthroline 2,2-dioxide (ref. [44]; red line) with the C=N and S=O stretching vibration bands indicated.
UV-Vis spectroscopy for the simplest 3,4-disubstituted 1,2,5-thiadiazole 1,1-dioxides has a maximum in the ultraviolet region (approximately 315 nm in MeCN and 240–280 nm in ethanol) with the molar absorption coefficient on the order of 103 dm3·mol−1·cm−1 [68,72,73]. When the heterocyclic ring is fused to a larger aromatic system, the UV-Vis spectra become complicated, and the εmax often exceeds 104 dm3·mol−1·cm−1 in the UV region [56,60,68,74].
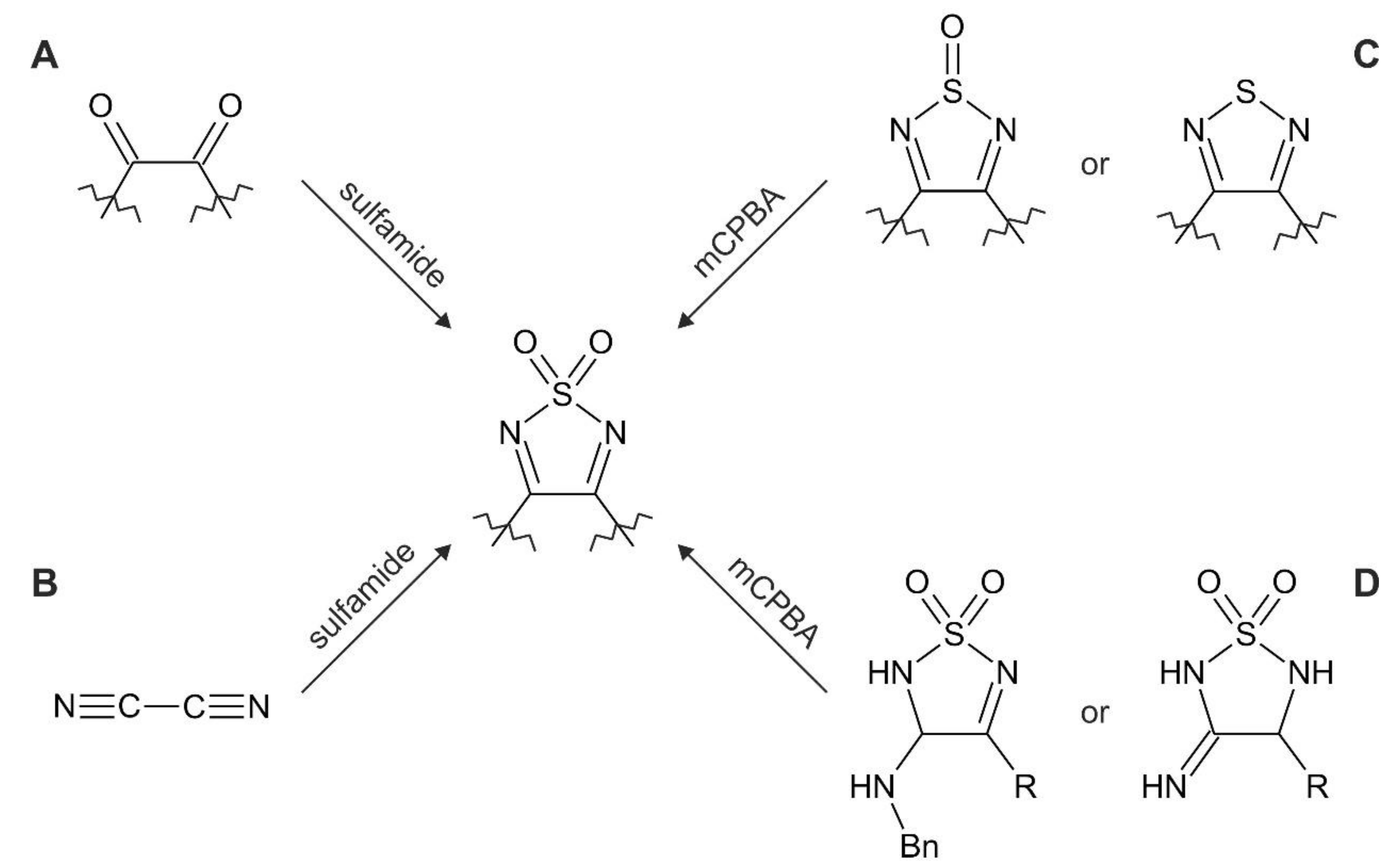
3. Preparation Methods
Synthetic strategies toward 1,2,5-thiadiazole 1,1-dioxides are scarce and can be divided into two distinct categories: condensation of diketones with sulfamide [63,64,72,74,75,76,77] or oxidations of the pre-existing thiadiazoles or 1,2,5-thiadiazole oxides to the corresponding dioxides (Figure 4, Table 3) [21,67,78,79].
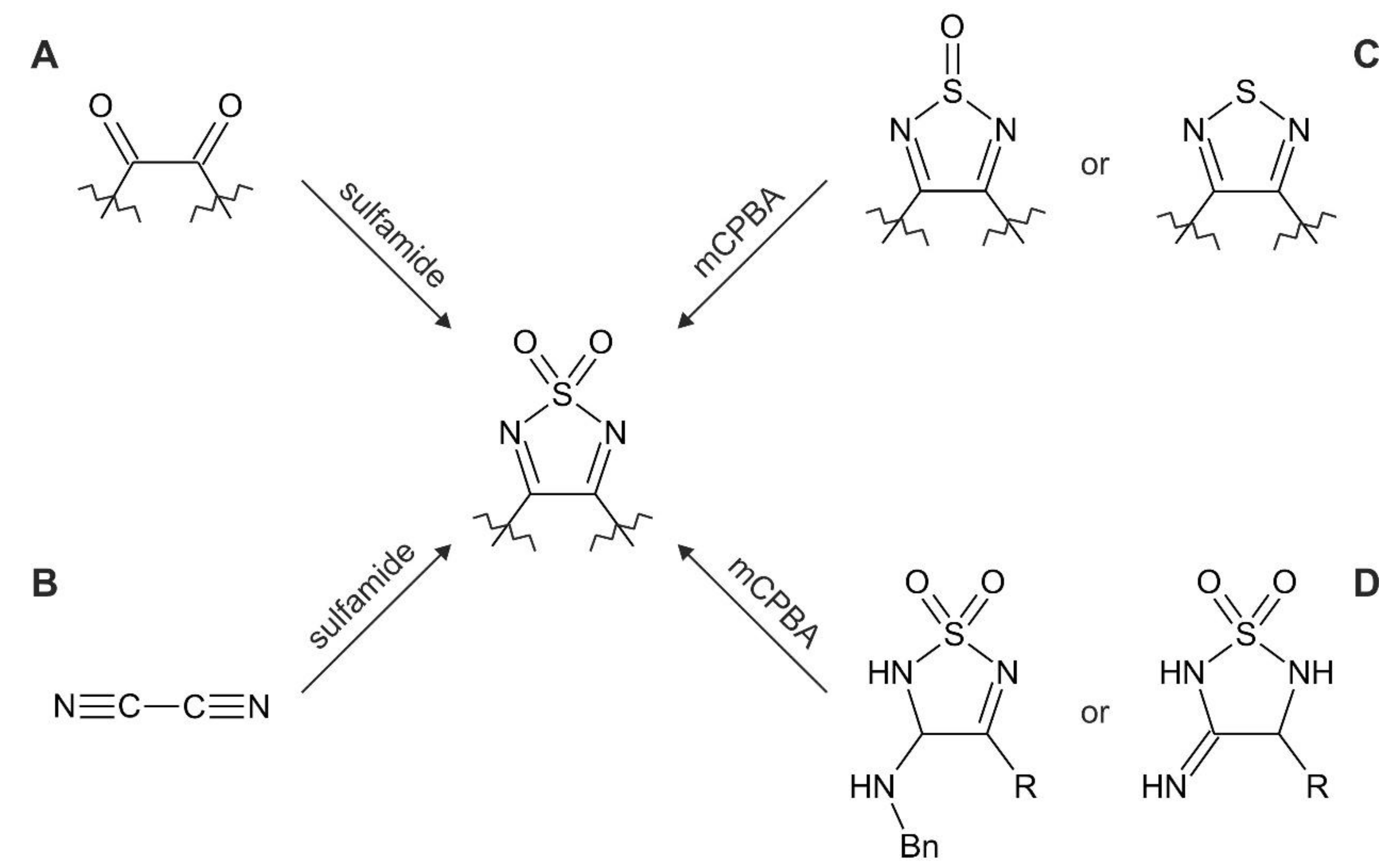
Figure 4.
Summary of the synthetic strategies toward 1,2,5-thiadiazole 1,1-dioxides: condensation of 1,2-diketones (A) or cyanogen (B) with sulfamide or oxidation of the pre-existing heterocyclic scaffolds of 1,2,5-thiadiazoles or 1,2,5-thiadiazole 1-oxides (C) or 1,2,5-thiadiazolidines 1,1-dioxides (D) using mCPBA.
Table 3.
Summary of the synthetic strategies toward 1,2,5-thiadiazole 1,1-dioxides as depicted in Figure 4.
Out of the four possible synthetic routes leading to dioxothiadiazoles, the simplest and the most versatile one is the condensation reaction between sulfamide and 1,2-diketones (α-diketones) [75], as clearly indicated by Table 2. Another possible substrate for condensations with sulfamide is cyanogen [63]. However, this reaction leads to 1,2,5-thiadiazole 1,1-dioxides as the only possible derivative, which could be further functionalized by C-C coupling reactions. Small-scale preparations can resort to other substrates for condensations originating from diketone scaffolds such as methyl 2-oxo-2-phenylacetate and its analogues as well as dimethyl or diethyl oxalate [72,76].
Condensations with sulfamide can also benefit from several modifications in order to deal with common problems such as the presence of strong mineral acid and prolonged heating at elevated temperature or the fact that sulfamide is not readily soluble in aprotic solvents. Poor sulfamide solubility in aprotic media can be evaded by the use of its substituted analogue-N,N’-bis(trimethylsilyl)sulfamide prepared from SO2Cl2 and NH(SiMe3)2. To remove the silyl groups from the product and force the reaction to proceed, a stoichiometric amount of BF3·Et2O complex is required. This synthetic procedure does not involve strong acid catalyst and is performed efficiently at room temperature, thus providing an excellent alternative for heat-sensitive substrates with functional groups incompatible with strong mineral acids [64].
Another alternative for strong mineral acids may be the use of heteropolyacids (HPAs), more precisely, a commercially available and cheap Keggin-type molybdophosphoric acid H3PMo12O40·nH2O [74]. Reactions carried out with this catalyst can be performed in a solvent-free fashion, making them an attractive, green, and environment-friendly alternative to the conventional solvent-based approaches. Efforts are being made to develop a silica-supported version of this catalyst to further decrease the catalyst load required for the efficient dioxothiadiazole synthesis. Microwave-assisted synthesis has also been proposed and successfully applied in dioxothiadiazole base-mediated preparations [77].
When it comes to oxidations of pre-existing thiadiazoles and oxothiadiazoles to the respective dioxides, there is only one exclusive route involving mCPBA reported in the literature [21,78]. There is also a possibility of transforming 1,2,5-dioxothiadiazolines back to dioxothiadiazoles with the use of KO2 in THF or NaOEt in DMF [67,79].
4. Reactivity
4.1. Reactivity toward Nucleophiles
Although the dioxothiadiazole ring is stable enough for sublimation at temperatures up to 300 °C, elevated temperature can decompose it, liberating SO2 and leaving two nitrile groups or a thiadiazole ring. This reaction was successfully applied in gram-scale preparations of dinitriles [65,80,81].
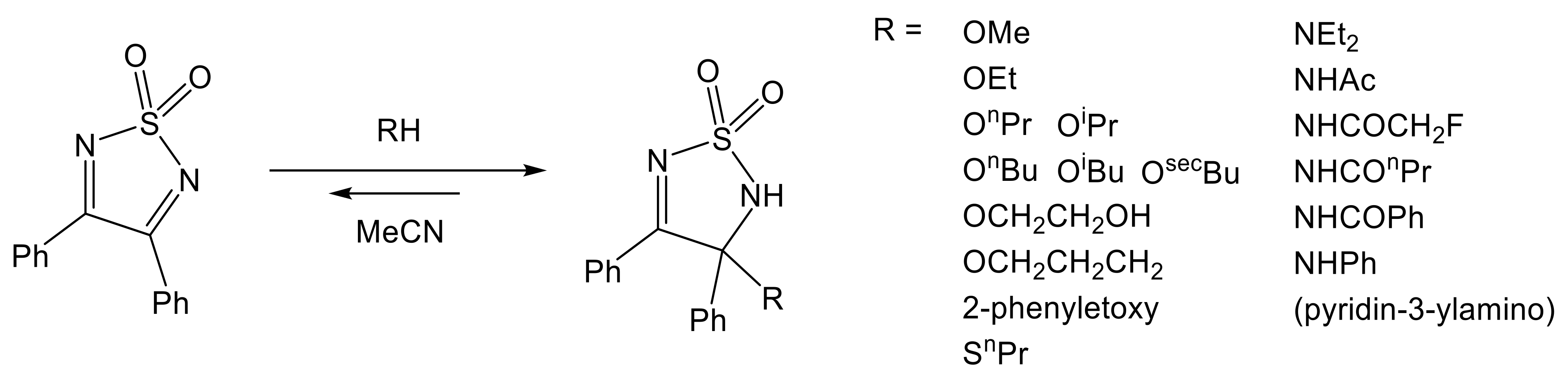
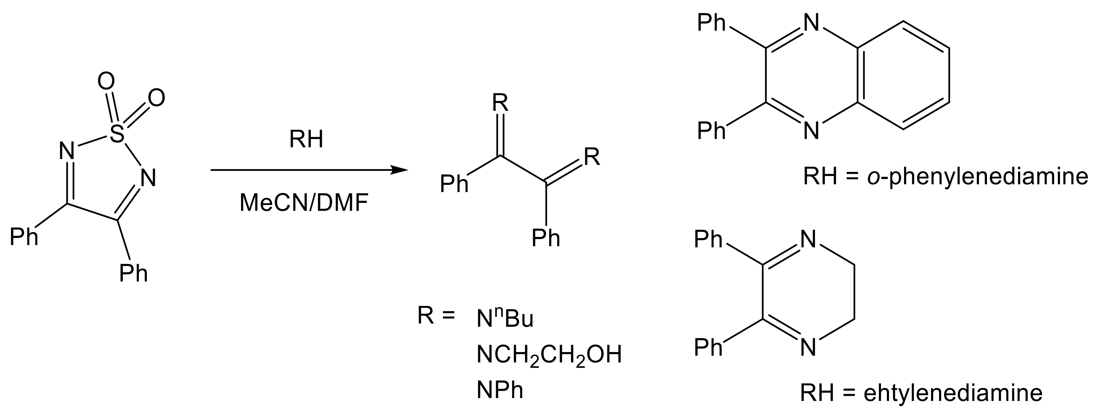
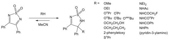
The 1,2,5-dioxothiadiazole ring is especially vulnerable to nucleophiles, and additional reactions of various nucleophiles to the C=N double bond are described. In fact, this reaction is so favorable, it occurs spontaneously in EtOH or EtOH/MeCN solutions of 3,4-diphenyl- or 3-methyl-4-phenyl-1,2,5-thiadiazole 1,1-dioxide [82,83,84]. This has proven to be a general reactivity of 3,4-substituted-1,2,5-thiadiazole 1,1-dioxides toward alcohols; many examples of addition of primary and secondary alcohols were presented and described in details, providing equilibrium constants for these reactions [68]. The same equilibrium and addition to double C=N bond can be observed for primary/secondary amines and amides; see Figure 5 [85,86].
Figure 5.
Addition of soft nucleophiles (primary and secondary alcohols, amines, and primary amides) to the C=N double bond of 3,4-diphenyl 1,2,5-thiadiazole 1,1-dioxide [68,82,83,84,85,86].
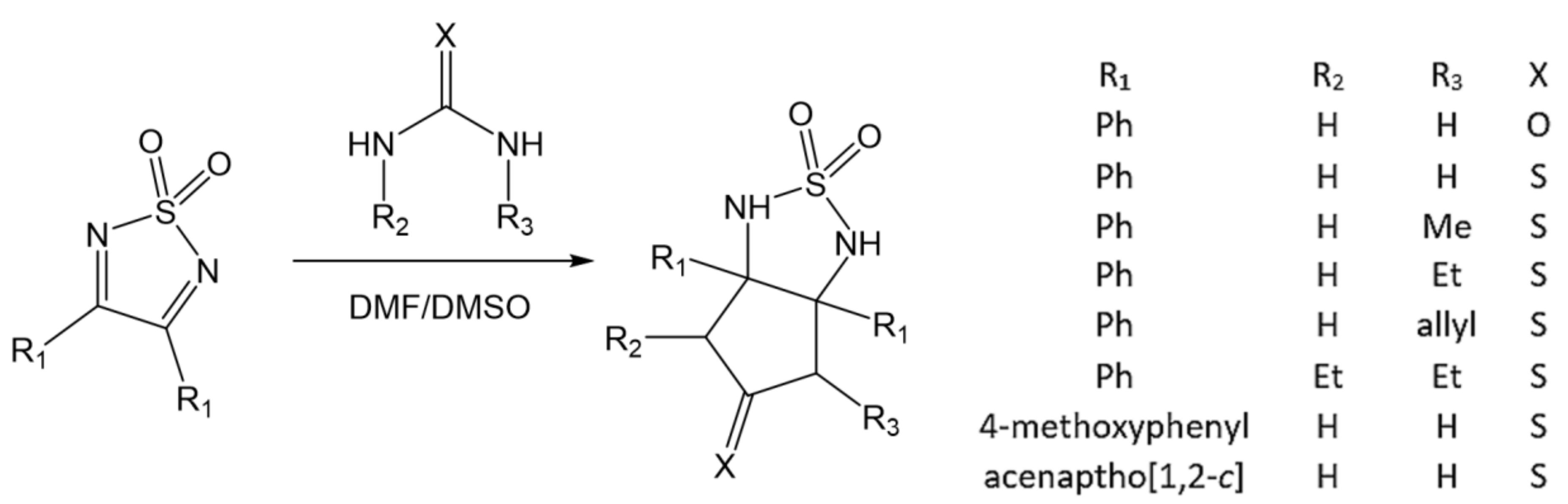
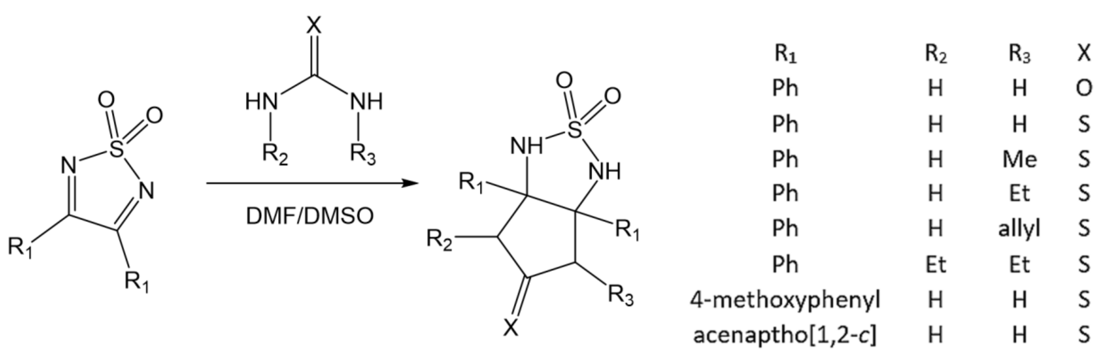
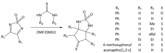
Products of such additions are not stable and exist only in solution. However, for some nucleophiles, this reversible addition to both C=N double bonds may lead even to an irreversible ring cleavage with the release of sulfamide molecules when the reaction is carried out in anhydrous MeCN or DMF at room temperature; see Figure 6 [85,87]. Double additions can also be achieved using urea (or thiourea) and its substituted analogues to furnish the bicyclic products presented in Figure 7 [73,86].
Figure 6.
Double addition of soft nucleophiles to C=N bonds in 3,4-diphenyl 1,2,5-thiadiazole 1,1-dioxide followed by the heterocyclic ring cleavage [85,87].
Figure 7.
Double addition of substituted ureas/tioureas to C=N bonds of 3,4-diphenyl 1,2,5-thiadiazole 1,1-dioxide [73,86].
Cyanide ions are capable of mono or double addition to the 1,2,5-dioxothiadiazole 1,1-dioxide ring at positions 3 and 4 depending on the molar ratio of the heterocycle and the nucleophile. Unstable adducts can be recovered by the addition of methyl iodide to capture substituted N-methylated thiadiazoline and thiadiazolidine oxides, respectively [88]. The addition of alkyl halides to the solution of 3,4-diphenyl-1,2,5-thiadiazole 1,1-dioxide in methanol and subsequent treatment with thiourea in acidic media yields N-alkylated thiadiazoline oxides [89].
The C=N double bond can also be functionalized with alkyl and aryl Grignard reagents. Although the addition proceeds smoothly with no side reactions, products are reported to be unstable in the chromatographic purification (silica gel) and must be used as crudes for further reactions such as reduction with sodium borohydride to achieve thiadiazolidine dioxides [90].
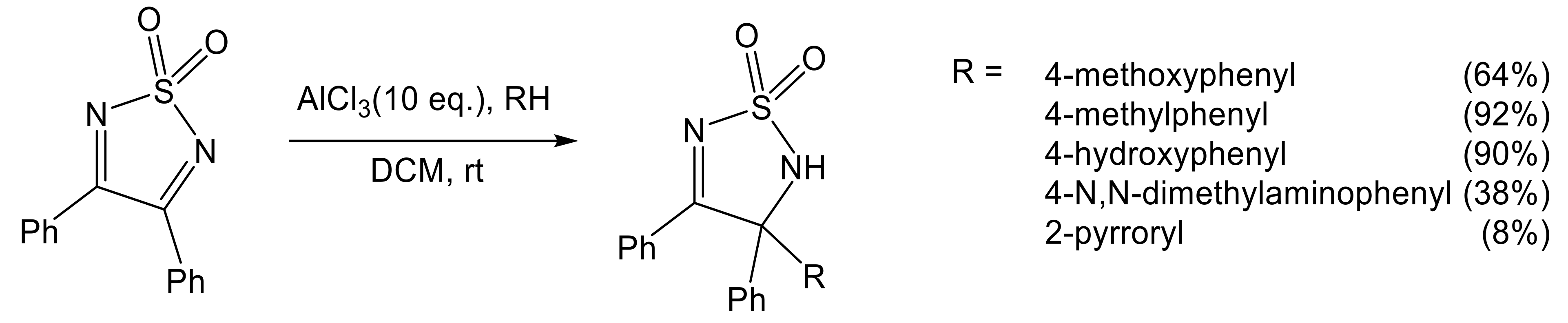
An AlCl3–catalyzed addition of aromatic nucleophiles to the C=N bond of 3,4-diphenyl 1,2,5-thiadiazole was successfully carried out in DCM at room temperature yielding substituted 1,2,5-thiadiazolines in moderate to good yields (Figure 8) [46,91].
Figure 8.
AlCl3 catalyzed addition of phenols to the C=N double bond of 3,4-diphenyl 1,2,5-thiadiazole 1,1-dioxide [46,91].
When chiral reagents based on enantiopure binol and rhodium catalysts are used together with vinylboronic acids, this addition to the dioxothiadiazole heterocycle can be performed in a stereo-controlled manner to yield optically active 1,2,5-thiadiazoline 1,1-dioxides with 90+% yields and ee exceeding 90% [76].
Aromatic rings as substituents at positions 3 and 4 can undergo intramolecular cyclization/aromatization (Scholl reaction) catalyzed by strong Lewis (AlCl3) or Brønsted (HClSO3/H2SO4) acids. However, this reaction suffers from some limitations regarding the substrates and was only successfully applied in two cases: 3,4-diphenyl 1,2,5-thiadiazole 1,1-dioxide and 3,4-di(naphthalen-2-yl)-1,2,5-thiadiazole 1,1-dioxide [92].
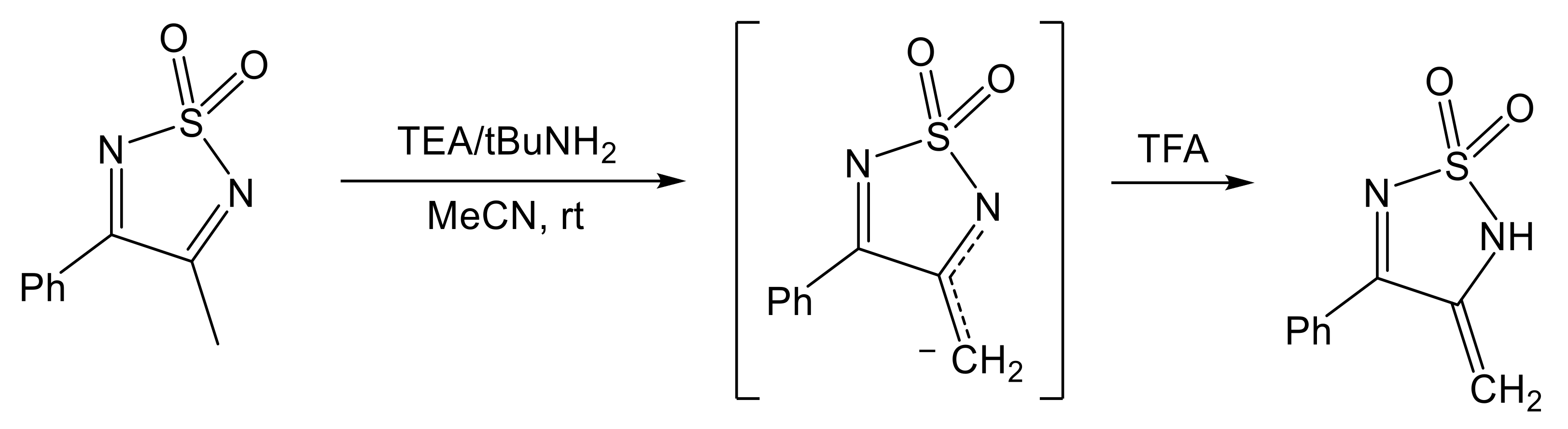
As a result of the strong electron-withdrawing nature of the sulfonyl group, any alpha hydrogens at carbon positions 3 and 4 are very acidic and can easily be removed in basic environment to form tautomeric thiadiazoline carbanions that can be isolated by the addition of strong acids such as TFA (Figure 9) [93].
Figure 9.
Abstraction of proton from methyl group of 3-methyl-4-phenyl 1,2,5-thiadiazole 1,1-dioxide with the formation of tautomeric carbanion followed by the separation of a 3-methylene-4-phenyl-2,3-dihydro-1,2,5-thiadiazole 1,1-dioxide by the addition of strong acid [93].
The reduction of dioxothiadiazoles to dioxothiadiazolidines proceeds smoothly with the use of hydrogen and Adams’ catalysts (PtO2) [75]. Double bonds of 1,2,5-thiadiazole dioxide can also be oxidized to furnish fused bis-oxaziridine derivatives (Figure 10) [3].
Figure 10.
Oxidation of C=N bonds in 3,4-dimethyl 1,2,5-thiadiazole 1,1-dioxide with mCPBA leading to bis-oxaziridine [3].
The abstraction of two oxygen atoms and reduction to parent 1,2,5-thiadiazole was performed for [1,2,5]thiadiazolo[3,4-f]-4,7phenanthroline 2,2-dioxide through extensive heating (285 °C) in vacuum for a prolonged time (15 h) in a sealed Pyrex tube with a partial decomposition of the initial compound. Product was collected via sublimation [43].
4.2. Radical Anion Formation and Electrochemistry
One of the most researched and important features of dioxothiadiazoles is their rich and interesting electrochemistry, which is heavily influenced by the substitution of the heterocyclic ring at the carbon atoms. Several methods have been developed to produce radical and dianionic species and investigate how structural changes influence the electrochemical behavior of dioxothiadiazoles.
Anion radicals can be generated by electrochemical methods or with the use of common laboratory reducing reagents including CN−, SCN−, OCN−, I−, OH−, t-BuO−, amines (triethylamine, ethanolamine, hexamethylenediamine, and N,N-dimethylaminoethylenediamine), and even amides (formamide, N-methylformamide DMF, acetamide, or urea) [42,59]. Electrochemical reduction performed in a controlled potential electrolysis fashion can yield almost quantitative amounts of radicals, with net charge close to one Faraday per mole, indicating that almost no side processes are taking place. In aprotic solvents (DMF, DMSO, MeCN, or DCM) some of the radicals are stable for prolonged periods of time (up to several days), even in the presence of water and oxygen, in dry solvents, they are stable almost indefinitely. The stability of the radical anions depends on the solvent used and decreases in the following series: DMF > DMSO > MeCN >> DCM [48]. It is noteworthy that the use of highly nucleophilic reductors, such as cyanide, may result in the formation of side products by addition to the C=N double bond of the heterocycle. Therefore, sterically hindered reducing agents are preferred, as they allow for better selectivity of anion radical formation; however, even the change of the cation in the system (e.g., KCN vs. LiCN) may play an important role in avoiding the addition reaction [42]. Finally, radical anions of dioxothiadiazoles can be generated with moderate yields in the photochemical approach using the wavelength of around 254 nm and DMF as a solvent [48]. However, reduction is taking place because of the initial radical formation involving DMF molecules that further reduce dioxothiadiazole species. This might be followed by side reactions originating from the photodegradation of DMF which makes the photochemical radical formation unappealing for preparative or practical use.
Typically, two distinct, reversible reduction events can be observed for any dioxothiadiazole within the MeCN electrochemical window. Reduction to radical anions usually takes place at around −0.5 V vs. Fc/Fc+ and is followed by the second reduction to a diamagnetic dianion at around −1.3 V [14,21,43,44,48,51,60,94]. It is noteworthy that most thiadiazoles cannot be reduced twice at all and are hardly even reduced to monoanions [21,43,44,94,95]. Electrochemistry, HOMO, and LUMO levels can be easily manipulated and tuned by the introduction of electron-withdrawing substituents such as bromine atoms [45,48].
5. Magnetic Properties of Dioxothiadiazole Radical Anions
Due to the exceptional stability of the dioxothiadiazole radical species, they can be studied using standard techniques such as electron paramagnetic resonance (EPR) or magnetometry. The same applies to their compounds: metal salts and coordination complexes. The following section will summarize and discuss all relevant radical anion-based magnetic materials.
5.1. Electron Paramagnetic Resonance
There are several reports providing some insights into the stability and structure of the anion radical species based on the 1,1-dioxo-1,2,5-thiadiazole motif [42,48,59]. In general, g factors for radicals based on dioxothiadiazoles vary within the range of 2.002–2.009. This indicates that the unpaired electron responsible for its formation is delocalized. Hyperfine coupling constants for nitrogen atoms of the 1,1-dioxo-1,2,5-thiadiazole ring aN of around 2.5–4 G are usually present in EPR spectra of these anion radicals [14,42,43,51,59]. The presence of the -NO2 group in the structure of the radical backbone, even if it is seemingly distant from the dioxothiadiazole ring, is enough to draw a major part (about 2/3) of the electron spin density toward it, affecting the g factor value and EPR spectra because of stronger interaction with nitrogen atom reflected in strong (ca. 11 G) hyperfine coupling [59].
5.2. Magnetometry
Having an unpaired electron, anion radicals based on 1,2,5-dioxothiadiazole 1,1-dioxides are paramagnetic. Therefore, they can interact magnetically with other spin carriers in the solid state, leading to peculiar magnetic behaviors, including the long-range ferro-/antiferromagnetic ordering. This line of research is well known in the field of molecular magnetism with many fascinating examples [24,35,36,37,38,39,40,41]. Dioxothiadiazoles have drawn little attention in this regard, and only recently, some interesting results have been published [43,44,45,52,53].
Nevertheless, all magnetic systems published so far involve dioxothiadiazoles fused to a larger π-electronic system such as phenanthroline [14,43,44,45,52] or pincene [51]. Most commonly, those systems present antiferromagnetic superexchange coupling with J/kB values between −13 and −310 K (for the spin Hamiltonian H = −2 JΣSiSi+1), arising from the magnetic interactions between two π-π stacked dioxothiadiazoles [14,44,45,51]. Figure 11 presents an exemplary χT(T) dependence for π-π stacked structure of K+[4,7-tdapO2]− [43] due to the very strong antiferromagnetic interactions between the radical anions. Ferromagnetic interactions are also observed with J/kB value in the 6–24 K range [14]. In light of this information, it becomes clear that for this type of system, stacking interactions are crucial for the successful design of molecule-based magnets with desired magnetic properties.
Figure 11.
Typical χT(T) dependence (red stars) recorded at 1000 Oe for K+[4,7-tdapO2]− [42] (a) showing the importance of the π-π stacking interactions (b) as efficient magnetic interaction pathways. The solid line in (a) is a simulation assuming local antiferromagnetic interactions between two 4,7-tdapO2− radical anions (g = 2.00) with J = −250 cm−1 (H = −2 JS1S2).
6. Magnetic Materials with Dioxothiadiazoles as Ligands
Two significantly different classes of compounds can be distinguished among examples of dioxothiadiazole-based magnetic materials: organic and alkali metal salts of dioxothiadiazole anion radicals [14,43,44,51] and d-block metal ions coordinated by the dioxothiadiazoles [43,53]. Most of the coordination abilities of the dioxothiadiazole heterocycle are realized through its oxygen atoms, although there are examples where nitrogen atoms are also involved in coordination to metal centers. There are numerous examples of alkali metal salts of dioxothiadiazole anions where K+, Rb+, or Cs+ cations are interacting with the oxygen atoms of the dioxothiadiazole moiety and a few examples where nitrogen atoms are utilized together with the oxygen atoms to coordinate to metal centers [14]. There is also one example of a coordination chain {CuCl2(4,7-tdapO2)}n (4,7-tdapO2 = [1,2,5]thiadiazolo[3,4-f][4,7]phenanthroline 2,2-dioxide) where copper ions are coordinated by one nitrogen of the dioxothiadiazole unit and one nitrogen atom of the 4,7-phenanthroline backbone and the diamagnetic 4,7-tdapO2 ligand acts as a molecular bridge (Figure 12) [43]. Magnetic measurements for {CuCl2(4,7-tdapO2)}n revealed that it behaves as a magnetic chain with CuII⋅⋅⋅CuII antiferromagnetic interactions transmitted through the bridging ligand, dominating the magnetic properties of the compound. Dioxothiadiazole moiety can contribute to the functionality of the designed coordination complexes by utilizing its rich electrochemistry to tune the properties of the material. An example of such use of dioxothiadiazoles is a series of complexes of [1,2,5]thiadiazolo[3,4-f][1,10]phenanthroline 2,2-dioxide (1,10-tdapO2) with CuII ions where the metal was coordinated by two 1,10-tdapO2 moieties with different valence states: solely neutral 1,10-tdapO2 in {[CuIICl(1,10-tdapO2)](μ-Cl)2[CuIICl(1,10-tdapO2)]}, mixed neutral and radical 1,10-tdapO2 in [CuIICl(1,10-tdapO2−)(1,10-tdapO2)]·2MeCN and solely radical 1,10-tdapO2− in PPN[CuIICl(1,10-tdapO2−)2]·2DMA (DMA = dimethylacetamide; PPN = bis (triphenylphosphine) iminium cation); see Figure 13.
Figure 12.
Schematic structure of {CuCl2(4,7-tdapO2)}n chain with 4,7-tdapO2 molecules acting as diamagnetic bridges between the CuII metal ions [42].
Figure 13.
A family of CuII-1,10-tdapO2 complexes where the 1,10-tdapO2 ligands exhibit different valence states: two neutral ligands in a CuII2 dimer (a), CuII complex with one neutral and one radical anion (b) and a similar CuII complex with two radical anions (c) [53].
An interesting point was made about the redox potentials of the 1,10-tdapO2 molecule changing upon the coordination to the positively charged, electron-withdrawing metal ion. This change was found to be about +300 mV as compared to the free ligand with the first reduction potential at around −520 mV vs. Fc/Fc+. In terms of the magnetic properties, the three reported compounds are paramagnetic and show antiferromagnetic interactions, which are revealed as the decrease of the χT(T) product while cooling. In the case of the system with mixed neutral and radical 1,10-tdapO2 ligands, [CuIICl(1,10-tdapO2·−)(1,10-tdapO2)]·2MeCN, its magnetic properties are dominated by strong antiferromagnetic interaction between the neighboring 1,10-tdapO2 radical anions rather than the intramolecular 1,10-tdapO2-CuII ones, showcasing the crucial character of intermolecular 1,10-tdapO2⋅⋅⋅1,10-tdapO2 contacts in the construction of dioxothiadiazole-based magnetic materials [53].
Overall, the dioxothiadiazoles are underexplored when it comes to the design and construction of magnetic materials in combination with paramagnetic metal ions. However, taking into account their rich electrochemistry and chemical tunability, as well as the possibility to form stable radical anions, the library of new switchable compounds is expected to be expanded extensively in the near future.
7. Other Properties and Applications
7.1. Organic Semiconductors
As a result of their rich electrochemistry, dioxothiadiazoles are considered as good candidates for the construction of n-type organic semiconductors [21,51,60]. The chemistry and physical properties of molecules with this particular heterocycle are most commonly discussed in light of electrochemical features: low-lying HOMO and LUMO energy levels, making them good candidates for the n-type electron-transporting organic materials. Small organic molecules acting as n-type semiconductors are of special research interest as they are necessary for the preparation of purely organic electronics and are not studied as extensively as their p-type counterparts [21,60]. The rigid and flat heterocyclic ring of dioxothiadiazoles might also improve the mechanical properties of the designed materials and their overall crystallinity.
7.2. Medical and Other Studies
Several different molecules containing dioxothiadiazole moieties have been used in biochemical research as ligands for specific biological targets, for example: CXC- and CC-chemokine receptors in cancer treatment [96,97], 11C-labeled radiotracer for selective norepinephrine transporter imaging in PET of cardiac sympathetic nerve system evaluation in patients with heart failure or Parkinson’s disease [98], or histamine H2-receptor agonists [62,78,99].
Due to the electrochemical activity of dioxothiadiazoles, the phenanthro[9,10-c]-1,2,5-thiadiazole 1,1-dioxide was tested for its application as a non-toxic corrosion inhibitor for copper in acidic media [100].
8. Conclusions and Perspectives
Dioxothiadiazoles present reactivity and properties very different from their parent thiadiazole analogues. The presence of the sulfonyl group strongly influences the electrochemical behavior of these molecules, enabling easy access to paramagnetic radical monoanions. This feature together with the possibility of a straightforward chemical modification at the carbon atoms makes this class of compounds very attractive as potential building blocks for the construction of tuneable functional molecular magnets. The incorporation of dioxothiadiazoles into more complex multinuclear coordination compounds might result in fascinating switchable materials with valence tautomerism, while the polymerization of dioxothiadiazole units might lead to all-organic conductive/magnetic materials. Another research direction might be the merging of multiple dioxothiadiazole groups within a small carbon-based backbone with the aim of reaching organic molecules with multiple valence states. Such molecules would have at least two dublet states (two different S = 1/2 states) and possibly a triplet state (S = 1 state).
Author Contributions
Conceptualization, P.P. and D.P.; validation, D.P.; formal analysis, P.P.; investigation, P.P. and D.P.; data curation, P.P.; writing—original draft preparation, P.P.; writing—review and editing, D.P.; visualization, P.P. and D.P.; supervision, D.P.; funding acquisition, D.P. Both authors have read and agreed to the published version of the manuscript.
Funding
This work was funded by the National Science Center within the Sonata Bis project no. 2016/22/E/ST5/00055.
Institutional Review Board Statement
Not applicable.
Informed Consent Statement
Not applicable.
Conflicts of Interest
The authors declare no conflict of interest.
References
- Rakitin, O.A. Fused 1,2,5-thia- and 1,2,5-selenadiazoles: Synthesis and application in materials chemistry. Tetrahedron Lett. 2020, 61, 152230. [Google Scholar] [CrossRef]
- Schmidt, R.R. Recent Developments in the Synthesis of Glycoconjugates. Pure Appl. Chem. 1989, 61, 1257–1270. [Google Scholar] [CrossRef]
- Koutentis, P.A. 1,2,5-Thiadiazoles. In Comprehensive Heterocyclic Chemistry III; Katritzky, A.R., Ramsden, C.A., Scriven, E.F.V., Taylor, R.J.K., Eds.; Elsevier: Oxford, UK, 2008; Volume 5, pp. 515–565. ISBN 9780080449920. [Google Scholar]
- Clerici, F. Thiazole and thiadiazole S-oxides. In Advances in Heterocyclic Chemistry; Katritzky, A.R., Ed.; Elsevier: Cambridge, MA, USA; Academic Press: Cambridge, MA, USA, 2002; Volume 83, pp. 71–115. ISBN 978-0-12-020783-1. [Google Scholar]
- Hu, Y.; Li, C.Y.; Wang, X.M.; Yang, Y.H.; Zhu, H.L. 1,3,4-Thiadiazole: Synthesis, reactions, and applications in medicinal, agricultural, and materials chemistry. Chem. Rev. 2014, 114, 5572–5610. [Google Scholar] [CrossRef]
- Weinstock, L.M.; Shinkai, I. 1,2,5-Thiadiazoles and their Benzo Derivatives. In Comprehensive Heterocyclic Chemistry; Katritzky, A.R., Rees, C.W., Eds.; Elsevier: Oxford, UK, 1984; Volume 6–7, pp. 513–543. ISBN 9780080965192. [Google Scholar]
- Shinkai, I.; Reider, P.J. 1,2,5-Thiadiazoles. In Comprehensive Heterocyclic Chemistry II; Katritzky, A.R., Rees, C.W., Scriven, E.F.V., Eds.; Elsevier: Oxford, UK, 1996; Volume 4, pp. 355–377. ISBN 9780080420721. [Google Scholar]
- Mali, S.N.; Pandey, A. 1,2,5-Thiadiazole Scaffold: A review on recent progress in biological activities. Comb. Chem. High Throughput Screen. 2021, 24, 1. [Google Scholar] [CrossRef] [PubMed]
- Jain, A.K.; Sharma, S.; Vaidya, A.; Ravichandran, V.; Agrawal, R.K. 1,3,4-thiadiazole and its derivatives: A review on recent progress in biological activities. Chem. Biol. Drug Des. 2013, 81, 557–576. [Google Scholar] [CrossRef] [PubMed]
- Frija, L.M.T.; Pombeiro, A.J.L.; Kopylovich, M.N. Coordination chemistry of thiazoles, isothiazoles and thiadiazoles. Coord. Chem. Rev. 2016, 308, 32–55. [Google Scholar] [CrossRef]
- Pushkarevsky, N.A.; Chulanova, E.A.; Shundrin, L.A.; Smolentsev, A.I.; Salnikov, G.E.; Pritchina, E.A.; Genaev, A.M.; Irtegova, I.G.; Bagryanskaya, I.Y.; Konchenko, S.N.; et al. Radical Anions, Radical-Anion Salts, and Anionic Complexes of 2,1,3-Benzochalcogenadiazoles. Chem. Eur. J. 2019, 25, 806–816. [Google Scholar] [CrossRef]
- Beer, L.; Reed, R.W.; Brusso, J.L.; Cordes, A.W.; Haddon, R.C.; Itkis, M.E.; Kirschbaum, K.; MacGregor, D.S.; Oakley, R.T.; Pinkerton, A.A. Resonance-stabilized 1,2,3-dithiazolo-1,2,3-dithiazolyis as neutral π-radical conductors. J. Am. Chem. Soc. 2002, 124, 9498–9509. [Google Scholar] [CrossRef]
- Tang, H.; Sun, J.; Yan, X.; Wu, P. Electrochemical and adsorption behaviors of thiadiazole derivatives on the aluminum surface. RSC Adv. 2019, 9, 34617–34626. [Google Scholar] [CrossRef] [Green Version]
- Shuku, Y.; Suizu, R.; Domingo, A.; Calzado, C.J.; Robert, V.; Awaga, K. Multidimensional network structures and versatile magnetic properties of intermolecular compounds of a radical-anion ligand, [1,2,5]thiadiazolo[3,4-f][1,10]phenanthroline 1,1-dioxide. Inorg. Chem. 2013, 52, 9921–9930. [Google Scholar] [CrossRef]
- Kremer, A.; Aurisicchio, C.; Deleo, F.; Ventura, B.; Wouters, J.; Armaroli, N.; Barbieri, A.; Bonifazi, D. Walking Down the Chalcogenic Group of the Periodic Table: From Singlet to Triplet Organic Emitters. Chem. Eur. J. 2015, 21, 15377–15387. [Google Scholar] [CrossRef] [PubMed]
- Tao, T.; Ma, B.B.; Peng, Y.X.; Wang, X.X.; Huang, W.; You, X.Z. Asymmetrical/symmetrical D-π-A/D-π-D thiazole-containing aromatic heterocyclic fluorescent compounds having the same triphenylamino chromophores. J. Org. Chem. 2013, 78, 8669–8679. [Google Scholar] [CrossRef]
- Godugu, K.; Shaik, S.; Mohinuddin Pinjari, M.K.; Gundala, T.R.; Chellappa Subramanyam, D.V.; Loka, S.S.; Divi, H.; Vemula, V.; Reddy Nallagondu, C.G. Solid state thiazole-based fluorophores: Promising materials for white organic light emitting devices. Dye. Pigment. 2021, 187, 109077. [Google Scholar] [CrossRef]
- Mishra, S.P.; Palai, A.K.; Kumar, A.; Srivastava, R.; Kamalasanan, M.N.; Patri, M. Highly air-stable thieno[3,2-b]thiophene-Thiophene-Thiazolo[5,4-d]thiazole- based polymers for light-emitting diodes. Macromol. Chem. Phys. 2010, 211, 1890–1899. [Google Scholar] [CrossRef]
- Biet, T.; Martin, K.; Hankache, J.; Hellou, N.; Hauser, A.; Bürgi, T.; Vanthuyne, N.; Aharon, T.; Caricato, M.; Crassous, J.; et al. Triggering Emission with the Helical Turn in Thiadiazole-Helicenes. Chem. Eur. J. 2017, 23, 437–446. [Google Scholar] [CrossRef] [Green Version]
- Arán, V.J.; Goya, P.; Ochoa, C. Heterocycles Containing the Sulfamide Moiety. In Advances in Heterocyclic Chemistry; Katritzky, A.R., Ed.; Elsevier: Cambridge, MA, USA; Academic Press: Cambridge, MA, USA, 1988; Volume 44, pp. 81–197. ISBN 0065-2725. [Google Scholar]
- Linder, T.; Badiola, E.; Baumgartner, T.; Sutherland, T.C. Synthesis of π-extended thiadiazole (oxides) and their electronic properties. Org. Lett. 2010, 12, 4520–4523. [Google Scholar] [CrossRef]
- Ratera, I.; Veciana, J. Playing with organic radicals as building blocks for functional molecular materials. Chem. Soc. Rev. 2012, 41, 303–349. [Google Scholar] [CrossRef]
- Train, C.; Norel, L.; Baumgarten, M. Organic radicals, a promising route towards original molecule-based magnetic materials. Coord. Chem. Rev. 2009, 253, 2342–2351. [Google Scholar] [CrossRef]
- Caneschi, A.; Gatteschi, D.; Lalioti, N.; Sangregorio, C.; Sessoli, R.; Venturi, G.; Vindigni, A.; Rettori, A.; Pini, M.G.; Novak, M.A. Cobalt(II)-nitronyl nitroxide chains as molecular magnetic nanowires. Angew. Chem. Int. Ed. 2001, 40, 1760–1763. [Google Scholar] [CrossRef]
- Sun, J.; Xie, J.; Li, L.; Sutter, J.P. Single-chain magnet behavior in a 2p-3d-4f spin array with a nitronyl nitroxide biradical. Inorg. Chem. Front. 2020, 7, 1949–1956. [Google Scholar] [CrossRef]
- Ovcharenko, V.; Romanenko, G.; Polushkin, A.; Letyagin, G.; Bogomyakov, A.; Fedin, M.; Maryunina, K.; Nishihara, S.; Inoue, K.; Petrova, M.; et al. Pressure-Controlled Migration of Paramagnetic Centers in a Heterospin Crystal. Inorg. Chem. 2019, 58, 9187–9194. [Google Scholar] [CrossRef]
- Sun, J.; Sun, Z.; Wang, K.; Xi, L.; Ma, Y.; Li, L. Slow relaxation of magnetization in unprecedented Cu-Ln-Rad hetero-tri-spin chains constructed from multidentate nitronyl nitroxide. J. Mater. Chem. C 2019, 7, 9057–9064. [Google Scholar] [CrossRef]
- Jobelius, H.; Wagner, N.; Schnakenburg, G.; Meyer, A. Verdazyls as possible building blocks for multifunctional molecular materials: A case study on 1,5-Diphenyl-3-(p-iodophenyl)-verdazyl focusing on magnetism, electron transfer and the applicability of the Sonogashira-Hagihara reaction. Molecules 2018, 23, 1758. [Google Scholar] [CrossRef]
- Brook, D.J.R.; Fleming, C.; Chung, D.; Richardson, C.; Ponce, S.; Das, R.; Srikanth, H.; Heindl, R.; Noll, B.C. An electron transfer driven magnetic switch: Ferromagnetic exchange and spin delocalization in iron verdazyl complexes. Dalton Trans. 2018, 47, 6351–6360. [Google Scholar] [CrossRef] [PubMed]
- Norel, L.; Chamoreau, L.M.; Journaux, Y.; Oms, O.; Chastanet, G.; Train, C. Verdazyl-lanthanide(iii) one dimensional compounds: Synthesis, structure and magnetic properties. Chem. Commun. 2009, 2381–2383. [Google Scholar] [CrossRef] [PubMed]
- Jeon, I.-R.; Negru, B.; Van Duyne, R.P.; Harris, T.D. A 2D Semiquinone Radical-Containing Microporous Magnet with Solvent-Induced Switching from Tc = 26 to 80 K. J. Am. Chem. Soc. 2015, 137, 15699–15702. [Google Scholar] [CrossRef] [PubMed]
- Rupp, F.; Chevalier, K.; Graf, M.; Schmitz, M.; Kelm, H.; Grün, A.; Zimmer, M.; Gerhards, M.; van Wüllen, C.; Krüger, H.J.; et al. Spectroscopic, Structural, and Kinetic Investigation of the Ultrafast Spin Crossover in an Unusual Cobalt(II) Semiquinonate Radical Complex. Chem. Eur. J. 2017, 23, 2119–2132. [Google Scholar] [CrossRef]
- Yee, G.T.; McLean, R.S.; Epstein, A.J.; Miller, J.S. A room-temperature molecular/organic-based magnet. Science 1991, 252, 1415–1417. [Google Scholar] [CrossRef]
- Zhang, J.; Kosaka, W.; Kitagawa, Y.; Miyasaka, H. Host–Guest Hydrogen Bonding Varies the Charge-State Behavior of Magnetic Sponges. Angew. Chem. Int. Ed. 2019, 58, 7351–7356. [Google Scholar] [CrossRef]
- Phan, H.; Herng, T.S.; Wang, D.; Li, X.; Zeng, W.; Ding, J.; Loh, K.P.; Shen Wee, A.T.; Wu, J. Room-Temperature Magnets Based on 1,3,5-Triazine-Linked Porous Organic Radical Frameworks. Chem 2019, 5, 1223–1234. [Google Scholar] [CrossRef]
- Demir, S.; Jeon, I.R.; Long, J.R.; Harris, T.D. Radical ligand-containing single-molecule magnets. Coord. Chem. Rev. 2015, 289–290, 149–176. [Google Scholar] [CrossRef] [Green Version]
- Jeon, I.R.; Park, J.G.; Xiao, D.J.; Harris, T.D. An azophenine radical-bridged Fe2 single-molecule magnet with record magnetic exchange coupling. J. Am. Chem. Soc. 2013, 135, 16845–16848. [Google Scholar] [CrossRef]
- Zhang, W.X.; Ishikawa, R.; Breedlove, B.; Yamashita, M. Single-chain magnets: Beyond the Glauber model. RSC Adv. 2013, 3, 3772–3798. [Google Scholar] [CrossRef]
- Degayner, J.A.; Wang, K.; Harris, T.D. A Ferric Semiquinoid Single-Chain Magnet via Thermally-Switchable Metal-Ligand Electron Transfer. J. Am. Chem. Soc. 2018, 140, 6550–6553. [Google Scholar] [CrossRef]
- Vaz, M.G.F.; Cassaro, R.A.A.; Akpinar, H.; Schlueter, J.A.; Lahti, P.M.; Novak, M.A. A cobalt pyrenylnitronylnitroxide single-chain magnet with high coercivity and record blocking temperature. Chem. Eur. J. 2014, 20, 5460–5467. [Google Scholar] [CrossRef]
- Cassaro, R.A.A.; Reis, S.G.; Araujo, T.S.; Lahti, P.M.; Novak, M.A.; Vaz, M.G.F. A Single-Chain Magnet with a Very High Blocking Temperature and a Strong Coercive Field. Inorg. Chem. 2015, 54, 9381–9383. [Google Scholar] [CrossRef]
- Mirífico, M.V.; Caram, J.A.; Gennaro, A.M.; Cobos, C.J.; Vasini, É.J. Radical anions containing the dioxidated 1,2,5-thiadiazole heterocycle. J. Phys. Org. Chem. 2009, 22, 964–970. [Google Scholar] [CrossRef]
- Pinkowicz, D.; Li, Z.; Pietrzyk, P.; Rams, M. New thiadiazole dioxide bridging ligand with a stable radical form for the construction of magnetic coordination Chains. Cryst. Growth Des. 2014, 14, 4878–4881. [Google Scholar] [CrossRef]
- Shuku, Y.; Suizu, R.; Awaga, K. Monovalent and mixed-valent potassium salts of [1,2,5]thiadiazolo[3,4-f][1,10]phenanthroline 1,1-dioxide: A radical anion for multidimensional network structures. Inorg. Chem. 2011, 50, 11859–11861. [Google Scholar] [CrossRef]
- Pakulski, P.; Arczyński, M.; Pinkowicz, D. Bis(Triphenylphosphine)iminium salts of dioxothiadiazole radical anions: Preparation, crystal structures, and magnetic properties. Crystals 2019, 9, 30. [Google Scholar] [CrossRef] [Green Version]
- Rozas, M.F.; Piro, O.E.; Castellano, E.E.; Mirífico, M.V.; Vasini, E.J. Novel synthesis of 3,4,4-trisubstituted thiadiazolines from 3,4-diphenyl-1,2,5-thiadiazole 1,1-dioxide. Competition with the intra-molecular aryl-aryl cyclization of 3,4-diphenyl-1,2,5-thiadiazole 1,1-dioxide. Synthesis 2002, 2002, 2399–2403. [Google Scholar] [CrossRef]
- Castellano, E.E.; Piro, O.E.; Caram, J.A.; Mirífico, M.V.; Aimone, S.L.; Vasini, E.J.; Marquez Lucero, A.; Glossman Mitnik, D. Crystallographic study and molecular orbital calculations of thiadiazole derivatives. 1. Phenanthro[9,10-c]-1,2,5-thiadiazole 1, 1-dioxide and acenaphtho[1,2-c]-1,2,5-thiadiazole 1,1-dioxide. J. Mol. Struct. 2001, 562, 157–166. [Google Scholar] [CrossRef]
- Caram, J.A.; Jiménez Macías, J.P.; Arroyo, N.R.; Martínez Suárez, J.F.; Gennaro, A.M.; Echeverría, G.A.; Piro, O.E.; Mirífico, M.V. Stability of the Monoelectronic Reduction Product from 1,2,5-Thiadiazole S,S-Dioxides. Electrochemical, Chemical, and Photoinduced Doping. ChemistrySelect 2018, 3, 8729–8739. [Google Scholar] [CrossRef]
- Dunn, P.J.; Rees, C.W.; Slawin, A.M.Z.; Williams, D.J. Interannular contraction upon oxidation of a mesoionic bicyclic imine. J. Chem. Soc. Chem. Commun. 1989, 1134–1136. [Google Scholar] [CrossRef]
- Castellano, E.E.; Piro, O.E.; Caram, J.A.; Mirifico, M.V.; Aimone, S.L.; Vasini, E.J.; Glossman, M.D. Crystallographic study and molecular orbital calculations of 1,2,5-thiadiazole 1,1-dioxide derivatives. J. Phys. Org. Chem. 1998, 11, 91–100. [Google Scholar] [CrossRef]
- Xie, Y.; Shuku, Y.; Matsushita, M.M.; Awaga, K. Thiadiazole dioxide-fused picene: Acceptor ability, anion radical formation, and n-type charge transport characteristics. Chem. Commun. 2014, 50, 4178–4180. [Google Scholar] [CrossRef] [PubMed]
- Shuku, Y.; Awaga, K. Transition metal complexes and radical anion salts of 1,10-Phenanthroline derivatives annulated with a 1,2,5-Tiadiazole and 1,2,5-Tiadiazole 1,1-Dioxide Moiety: Multidimensional crystal structures and various magnetic properties. Molecules 2014, 19, 609–640. [Google Scholar] [CrossRef]
- Arczyński, M.; Pinkowicz, D. Influence of the Increasing Number of Organic Radicals on the Structural, Magnetic, and Electrochemical Properties of the Copper(II)-Dioxothiadiazole Family of Complexes. Inorg. Chem. 2020, 59, 13489–13501. [Google Scholar] [CrossRef]
- Glossman-Mitnik, D. CHIH-DFT computational molecular characterization of acenaphto[1,2-c]-1,2,5-thiadiazole 1,1-dioxide. J. Mol. Struct. THEOCHEM 2007, 811, 373–378. [Google Scholar] [CrossRef]
- Flores-Holguín, N.; Rodríguez-Valdez, L.M.; Glossman-Mitnik, D. CHIH-DFT computational molecular characterization of phenanthro [9,10-c]-1,2,5-thiadiazole 1,1-dioxide. J. Mol. Struct. THEOCHEM 2008, 862, 60–65. [Google Scholar] [CrossRef]
- Vasini, E.J.; Mirífico, M.V.; Caram, J.A. On experimental versus theoretically calculated properties of thiadiazole derivatives. Int. J. Quantum Chem. 2011, 111, 1879–1884. [Google Scholar] [CrossRef]
- Castellano, E.E.; Piro, O.E.; Caram, J.A.; Mirífico, M.V.; Aimone, S.L.; Vasini, E.J.; Márquez-Lucero, A.; Glossman-Mitnik, D. Crystallographic study and molecular orbital calculations of thiadiazole derivatives. Part 3: 3,4-diphenyl-1,2,5-thiadiazoline 1,1-dioxide, 3,4-diphenyl-1,2,5-thiadiazolidine 1,1-dioxide and 4-ethoxy-5-methyl-3,4-diphenyl-1,2,5-thiadiazoline 1,1-dioxide. J. Mol. Struct. 2001, 597, 163–175. [Google Scholar] [CrossRef]
- Friedman, P.; Ferris, K.F. A theoretical study of the aromaticity of hypervalent sulfur heterocycles. J. Mol. Struct. THEOCHEM 1997, 418, 119–126. [Google Scholar] [CrossRef]
- Mirífico, M.V.; Caram, J.A.; Gennaro, A.M.; Cobos, C.J.; Vasini, E.J. Radical anions containing the dioxidated 1,2,5-thiadiazole heterocycle. Part II. J. Phys. Org. Chem. 2011, 24, 1039–1044. [Google Scholar] [CrossRef]
- Keller, S.N.; Bromby, A.D.; Sutherland, T.C. Optical Effect of Varying Acceptors in Pyrene Donor–Acceptor–Donor Chromophores. Eur. J. Org. Chem. 2017, 2017, 3980–3985. [Google Scholar] [CrossRef]
- Glossman-Mitnik, D. CHIH-DFT determination of the molecular structure and infrared and ultraviolet spectra of azathiophenes. Theor. Chem. Acc. 2007, 117, 57–68. [Google Scholar] [CrossRef]
- Lumma, W.C.; Anderson, P.S.; Baldwin, J.J.; Bolhofer, W.A.; Britcher, S.F.; Clineschmidt, B.V.; Denny, G.H.; Habecker, C.N.; Hirshfield, J.M. Inhibitors of gastric acid secretion: 3,4-diamino-1,2,5-thiadiazole 1-oxides and 1,1-dioxides as urea equivalents in a series of histamine H2 receptor antagonists. J. Med. Chem. 1982, 25, 207–210. [Google Scholar] [CrossRef]
- Arán, V.J.; Ruiz, J.R.; Dávila, E.; Alkorta, I.; Stud, M. Synthesis and reactivity of some amino-substituted 1,2,5-thiadiazole 1,1-dioxides. Liebigs Ann. Chem. 1988, 1988, 337–341. [Google Scholar] [CrossRef]
- Schüttler, C.; Li-Böhmer, Z.; Harms, K.; Von Zezschwitz, P. Enantioselective synthesis of 3,4-disubstituted cis- and trans-1,2,5-thiadiazolidine-1,1-dioxides as precursors for chiral 1,2-diamines. Org. Lett. 2013, 15, 800–803. [Google Scholar] [CrossRef]
- Grant, C.D.; Kang, S.O.; Hay, B.P. Synthesis of a hydrophilic naphthalimidedioxime. J. Org. Chem. 2013, 78, 7735–7740. [Google Scholar] [CrossRef]
- Martinez, A.; Castro, A.; Arán, V.J.; Cardelús, I.; Llenas, J.; Palacios, J.M. Synthesis of nonsymmetrically 3,4-disubstituted 1,2,5-thiadiazole dioxides. J. Heterocycl. Chem. 1998, 35, 297–300. [Google Scholar] [CrossRef]
- Lee, C.H.; Kim, S.H.; Yang, C.M. Studies on the Chemical Properties and Synthesis of Sulfamides (III): Oxidation Reaction of 4-Aryl-3-imino-1,2,5-thiadiazolidines 1,1-dioxides and 4-Aryl-3-amino-4,5-dihydro-1,2,5-thiadiazole 1,1-dioxides. J. Korean Chem. Soc. 1998, 42, 112–114. [Google Scholar]
- Aimone, S.L.; Caram, J.A.; Mirífico, M.V.; Vasini, E.J. Electrochemical and spectroscopic study of the addition of several nucleophiles to 1,2,5-thiadiazole 1,1-dioxide derivatives. J. Phys. Org. Chem. 2000, 13, 272–282. [Google Scholar] [CrossRef]
- DaSilveira Neto, B.A.; Lopes, A.S.A.; Ebeling, G.; Gonçalves, R.S.; Costa, V.E.U.; Quina, F.H.; Dupont, J. Photophysical and electrochemical properties of π-extended molecular 2,1,3-benzothiadiazoles. Tetrahedron 2005, 61, 10975–10982. [Google Scholar] [CrossRef]
- Lork, E.; Mews, R.; Shakirov, M.M.; Watson, P.G.; Zibarev, A.V. Reactions of Arylthiazylamides with Internal and External Fluoro Electrophiles − Formation of Products with Unusual Structures. Eur. J. Inorg. Chem. 2001, 2001, 2123–2134. [Google Scholar] [CrossRef]
- Cillo, C.M.; Lash, T.D. Benzo[1,2-c:3,4-c′]bis[1,2,5]selenadiazole, [1,2,5]selenadiazolo-[3,4-e]-2,1,3-benzothiadiazole, furazanobenzo-2,1,3-thiadiazole, furazanobenzo-2,1,3-selenadiazole and related heterocyclic systems. J. Heterocycl. Chem. 2004, 41, 955–962. [Google Scholar] [CrossRef]
- Wen, R.Y.; Komin, A.P.; Street, R.W.; Carmack, M. Chemistry of 1,2,5-thiadiazoles. II. 3,4-Disubstituted derivatives of 1,2,5-thiadiazole 1,1-dioxide. J. Org. Chem. 1975, 40, 2743–2748. [Google Scholar] [CrossRef]
- Caram, J.A.; Mirífico, M.V.; Aimone, S.L.; Piro, O.E.; Castellano, E.E.; Vasini, E.J. The addition reaction of diamides to 1,2,5-thiadiazole 1,1 -dioxide derivatives. J. Phys. Org. Chem. 2004, 17, 1091–1098. [Google Scholar] [CrossRef]
- Arroyo, N.R.; Rozas, M.F.; Vázquez, P.; Romanelli, G.P.; Mirífico, M.V. Solvent-Free Condensation Reactions to Synthesize Five-Membered Heterocycles Containing the Sulfamide Fragment. Synthesis 2016, 48, 1344–1352. [Google Scholar] [CrossRef] [Green Version]
- Wright, J.B. The Reaction of Sulfamide with α- and β-Diketones. The Preparation of 1,2,5-Thiadiazole 1,1-dioxides and 1,2,6-Thiadiazine 1,1-dioxides. J. Org. Chem. 1964, 29, 1905–1909. [Google Scholar] [CrossRef]
- Li, Y.; Liu, B.; Xu, M.H. Rhodium-Catalyzed Enantioselective Alkenylation of Cyclic Ketimines: Synthesis of Multifunctional Chiral α,α-Disubstituted Allylic Amine Derivatives. Org. Lett. 2018, 20, 2306–2310. [Google Scholar] [CrossRef]
- Gediz Erturk, A.; Bekdemir, Y. Microwave-assisted synthesis of some substituted sulfamides. Phosphorus Sulfur Silicon Relat. Elem. 2014, 189, 285–292. [Google Scholar] [CrossRef]
- Algieri, A.A.; Luke, G.M.; Standridge, R.T.; Brown, M.; Partyka, R.A.; Crenshaw, R.R. 1,2,5-Thiadizole 1-oxide and 1,1-dioxide derivatives. A new class of potent histamine H2-receptor antagonists. J. Med. Chem. 1982, 25, 210–212. [Google Scholar] [CrossRef]
- Chung, K.W.; Lee, C.H. Studies on the Chemical Properties and Synthesis of Sulfamide Derivatives (II): Oxidation Reaction of 4-Aryl-3-imino-1,2,5-thiadiazolidine 1,1-dioxides. J. Korean Chem. Soc. 1995, 39, 834–836. [Google Scholar]
- Xiao, Y.; Qian, X. Novel highly efficient fluoroionophores with a peri-effect and strong electron-donating receptors: TICT-promoted PET and signaling response to transition metal cations with low background emission. Tetrahedron Lett. 2003, 44, 2087–2091. [Google Scholar] [CrossRef]
- Ege, G.; Beisiegel, E. Eine neue Synthese aromatischer Dinitrile durch Pyrolyse benzo-kondensierter 1,2,5-Thiadiazol-1,1-dioxide. Synthesis 1974, 1974, 22–23. [Google Scholar] [CrossRef]
- Mirífico, M.V.; Caram, J.A.; Vasini, E.J.; Sicre, J.E. Interaction of 3,4-diphenyl-1,2,5-thiadiazole 1,1-dioxide with proton donor solvents. J. Phys. Org. Chem. 1993, 6, 341–346. [Google Scholar] [CrossRef]
- Caram, J.A.; Mirífico, M.V.; Aimone, S.L.; Vasini, E.J. 3,4-Disubstituted derivatives of 1,2,5-thiadiazole 1,1-dioxide. Ethanol addition reactions and electroreduction of 3-methyl-4-phenyl and 3,4-dimethyl derivatives in acetonitrile and ethanol solvents. Can. J. Chem. 1996, 74, 1564–1571. [Google Scholar] [CrossRef] [Green Version]
- Caram, J.A.; Mirífico, M.V.; Vasini, E.J. Electrochemistry of 3,4-diphenyl-1,2,5-thiadiazole 1,1-dioxide (I) and its derivatives in ethanol-acetonitrile solutions and interactions of the dianion of I with metal cations. Electrochim. Acta 1994, 39, 939–945. [Google Scholar] [CrossRef]
- Caram, J.A.; Piro, O.E.; Castellano, E.E.; Mirífico, M.V.; Vasini, E.J. Reactions of the activated, rigid, α-diazomethine group of 1,2,5-thiadiazole 1,1-dioxides with nitrogenated nucleophiles. Part III: Aliphatic monoamines and phenylhydrazine. J. Phys. Org. Chem. 2006, 19, 229–237. [Google Scholar] [CrossRef]
- Caram, J.A.; Almone, S.L.; Mirífico, M.V.; Vasini, E.J. Reactions of 1,2,5-thiadiazole 1,1-dioxide derivatives with nitrogenated nucleophiles. Part 1—Addition of amines and amides to 3,4-diphenyl-1,2,5-thiadiazole 1,1-dioxide. J. Phys. Org. Chem. 2003, 16, 220–225. [Google Scholar] [CrossRef]
- Mirífico, M.V.; Caram, J.A.; Vasini, E.J.; Piro, O.E.; Castellano, E.E. Reactions of 1,2,5-thiadiazole 1,1-dioxide derivatives with nitrogen nucleophiles. Part IV. Addition of α-diamines. J. Phys. Org. Chem. 2009, 22, 163–169. [Google Scholar] [CrossRef]
- Mirífico, M.V.; Caram, J.A.; Piro, O.E.; Vasini, E.J. Synthesis of an α-amino nitrile and a bis α-amino nitrile derivative of thiadiazole: Reaction mechanism. J. Phys. Org. Chem. 2007, 20, 1081–1087. [Google Scholar] [CrossRef]
- Baranov, V.V.; Antonova, M.M.; Melnikova, E.K.; Kravchenko, A.N. Reductive transformation of 3-methoxy-2-methyl-3,4-diphenyl-2,3-dihydro-1,2,5-thiadiazole 1,1-dioxide in the reaction with thiourea and HC1. Russ. Chem. Bull. 2020, 69, 401–404. [Google Scholar] [CrossRef]
- Pansare, S.V.; Rai, A.N.; Kate, S.N. Stereoselective synthesis of 3,4-disubstituted 1,2,5-thiadiazolidine 1,1-dioxides and their conversion to unsymmetrical vicinal diamines. Synlett 1998, 1998, 623–624. [Google Scholar] [CrossRef]
- Rozas, M.F.; Piro, O.E.; Castellano, E.E.; Mirífico, M.V.; Vasini, E.J. Addition of aromatic nucleophiles to a C=N double bond of 1,2,5-thiadiazole 1,1-dioxide. Molecules 2000, 5, 503–504. [Google Scholar] [CrossRef]
- Svartman, E.L.; Rozas, M.F.; Piro, O.E.; Castellano, E.; Mirífico, M.V. Efficient formation of polycyclic aromatic systems fused to a thiadiazole ring using strong Lewis or Brønsted acids. Synthesis 2006, 2006, 2313–2318. [Google Scholar] [CrossRef]
- Aimone, S.L.; Caram, J.A.; Mirífico, M.V.; Vasini, E.J. A new type of imine α-anion derived from 3-methyl-4-phenyl-1,2,5-thiadiazole 1,1-dioxide. Tautomerization and dimerization reactions. J. Phys. Org. Chem. 2001, 14, 217–223. [Google Scholar] [CrossRef]
- Svartman, E.L.; Caram, J.A.; Mirífico, M.V.; Vasini, E.J. Electrochemistry of 1,2,5-thiadiazole 1,1 -dioxide derivatives with 3,4 substituents presenting separated, connected, and fused π-systems. Can. J. Chem. 1999, 77, 511–517. [Google Scholar] [CrossRef]
- Boeré, R.T.; Roemmele, T.L. Electrochemistry of redox-active group 15/16 heterocycles. Coord. Chem. Rev. 2000, 210, 369–445. [Google Scholar] [CrossRef]
- Jaeger, K.; Bruenle, S.; Weinert, T.; Guba, W.; Muehle, J.; Miyazaki, T.; Weber, M.; Furrer, A.; Haenggi, N.; Tetaz, T.; et al. Structural Basis for Allosteric Ligand Recognition in the Human CC Chemokine Receptor 7. Cell 2019, 178, 1222–1230.e10. [Google Scholar] [CrossRef] [PubMed] [Green Version]
- Biju, P.; Taveras, A.; Yu, Y.; Zheng, J.; Chao, J.; Rindgen, D.; Jakway, J.; Hipkin, R.W.; Fossetta, J.; Fan, X.; et al. 3,4-Diamino-2,5-thiadiazole-1-oxides as potent CXCR2/CXCR1 antagonists. Bioorg. Med. Chem. Lett. 2008, 18, 228–231. [Google Scholar] [CrossRef] [PubMed]
- Chen, X.; Kudo, T.; Lapa, C.; Buck, A.; Higuchi, T. Recent advances in radiotracers targeting norepinephrine transporter: Structural development and radiolabeling improvements. J. Neural Transm. 2020, 127, 851–873. [Google Scholar] [CrossRef] [PubMed] [Green Version]
- Agrawal, V.K.; Knaus, E.E.; McNeill, J.H. Pyridine and reduced pyridine analogues of 1,2,5-thiadiazoles as histamine H2-receptor antagonists. Eur. J. Med. Chem. 1987, 22, 319–323. [Google Scholar] [CrossRef]
- Grillo, C.A.; Mirífico, M.V.; Morales, M.L.; Reigosa, M.A.; de Mele, M.F.L. Assessment of cytotoxic and cytogenetic effects of a 1,2,5-thiadiazole derivative on CHO-K1 cells. Its application as corrosion inhibitor. J. Hazard. Mater. 2009, 170, 1173–1178. [Google Scholar] [CrossRef] [PubMed]
Publisher’s Note: MDPI stays neutral with regard to jurisdictional claims in published maps and institutional affiliations. |
© 2021 by the authors. Licensee MDPI, Basel, Switzerland. This article is an open access article distributed under the terms and conditions of the Creative Commons Attribution (CC BY) license (https://creativecommons.org/licenses/by/4.0/).












