Pyridine Scaffolds, Phenols and Derivatives of Azo Moiety: Current Therapeutic Perspectives
Abstract
:1. Introduction
Role of Pyridine Scaffolds in Medicinal Chemistry
2. Pharmacological Properties of Phenol Derivatives
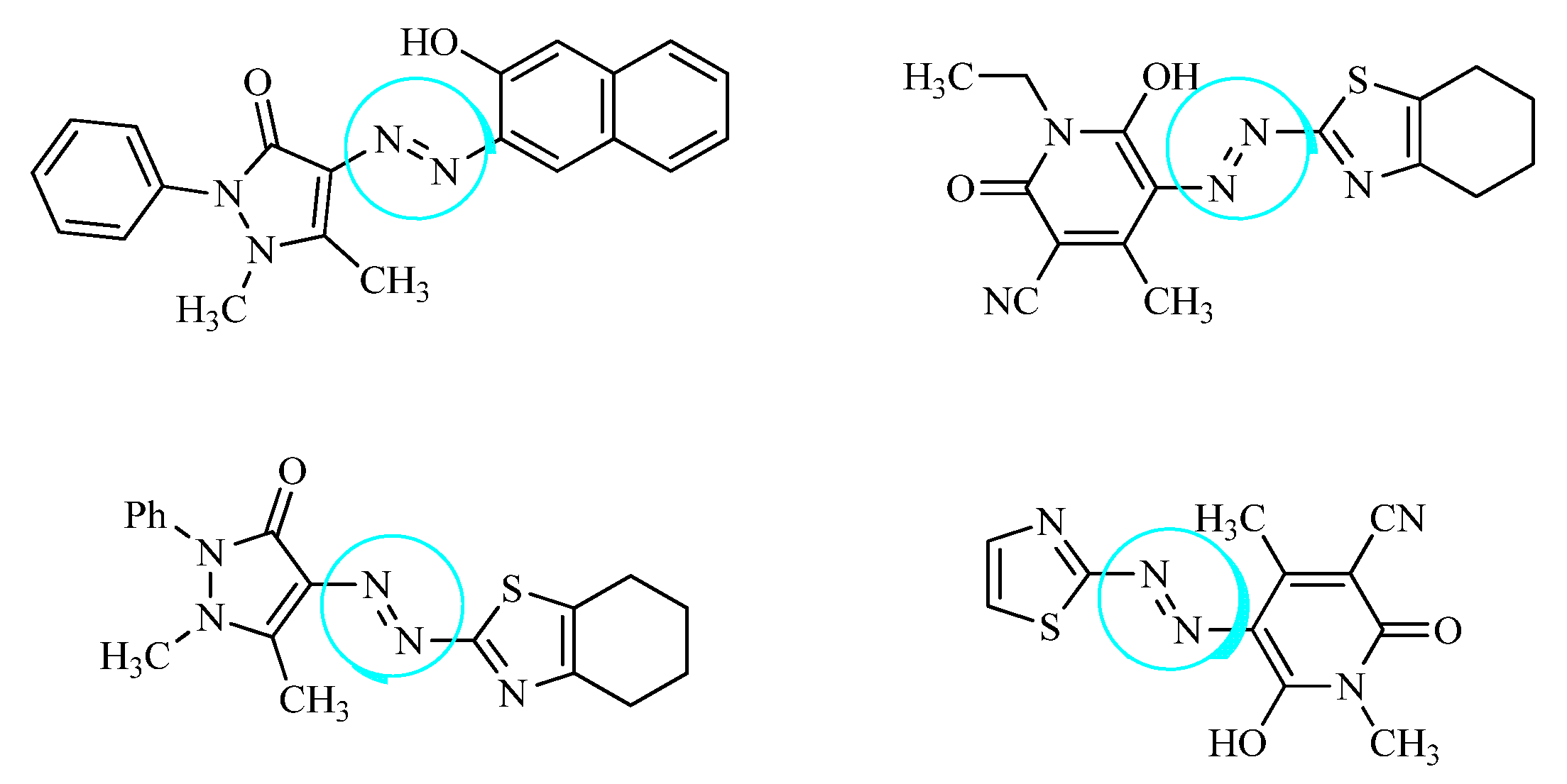
3. Therapeutic Potential of Azo Moiety
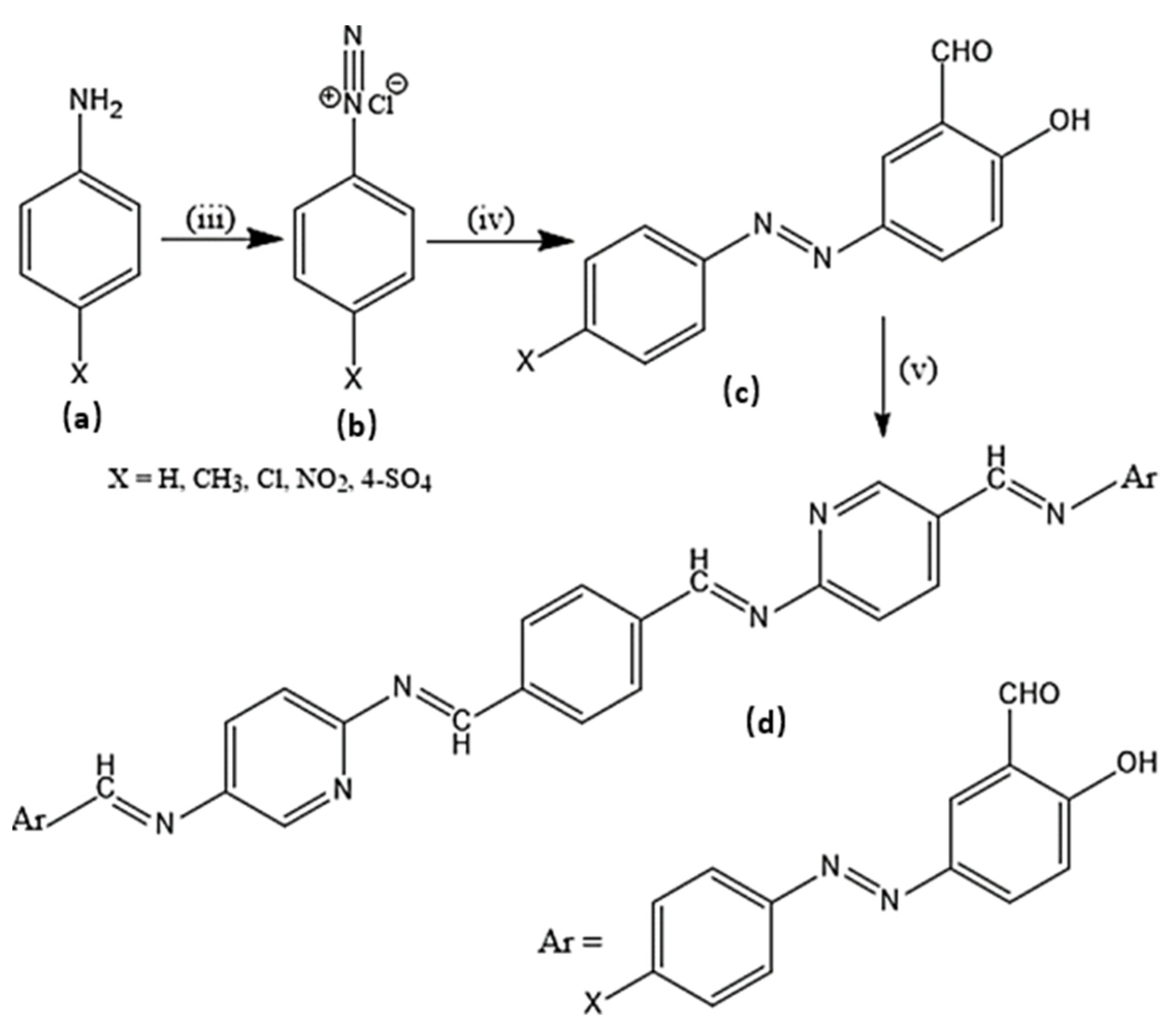
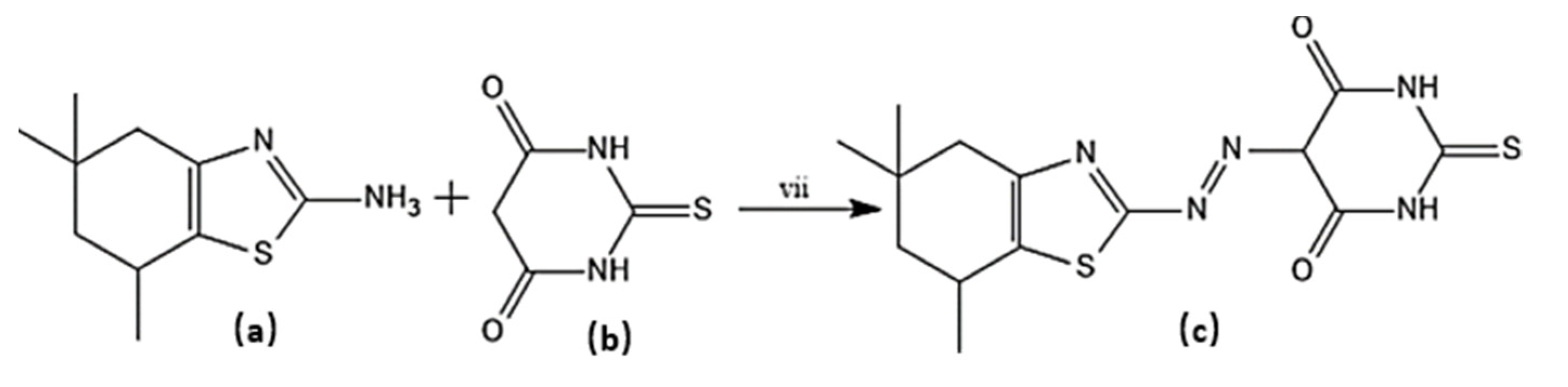
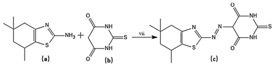
3.1. Syntheses Routes of Azo Derivatives
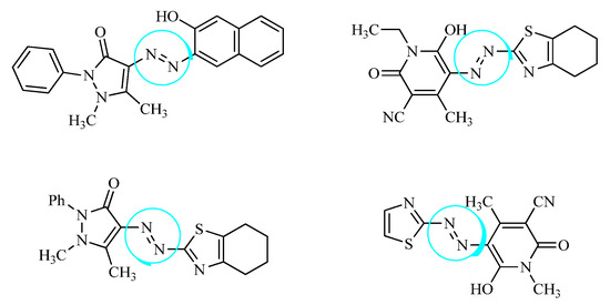
3.2. Azo as Therapeutic Agents
3.3. Azo Dyes as Chemosensors
4. Conclusions
Author Contributions
Funding
Institutional Review Board Statement
Informed Consent Statement
Data Availability Statement
Conflicts of Interest
References
- Acharya, P.T.; Bhavsar, Z.A.; Jethava, D.J.; Patel, D.B.; Patel, H.D. A review on development of bio-active thiosemicarbazide derivatives: Recent advances. J. Mol. Struct. 2021, 1226, 129268. [Google Scholar] [CrossRef]
- Arumugam, N.; Almansour, A.I.; Kumar, R.S.; Siva Krishna, V.; Sriram, D.; Dege, N. Stereoselective synthesis and discovery of novel spirooxindolopyrrolidine engrafted indandione heterocyclic hybrids as antimycobacterial agents. Bioorg. Chem. 2021, 110, 104798. [Google Scholar] [CrossRef]
- Iqbal, N.; Yaqoob, M.; Javed, M.; Abbasi, M.; Iqbal, J.; Iqbal, M.A. Synthesis in combination with Biological and Computational evaluations of selenium-N-Heterocyclic Carbene compounds. Comput. Theor. Chem. 2021, 1197, 113135. [Google Scholar] [CrossRef]
- Kamo, M.; Ito, M.; Toma, T.; Gotoh, H.; Shimozono, R.; Nakagawa, R.; Koga, R.; Monde, K.; Tateishi, H.; Misumi, S.; et al. Discovery of anti-cell migration activity of an anti-HIV heterocyclic compound by identification of its binding protein hnRNP M. Bioorg. Chem. 2021, 107, 104627. [Google Scholar] [CrossRef]
- Kaur, R.; Kumar, K. Synthetic and medicinal perspective of quinolines as antiviral agents. Eur. J. Med. Chem. 2021, 215, 113220. [Google Scholar] [CrossRef] [PubMed]
- Kumar, R.S.; Almansour, A.I.; Arumugam, N.; Kotresha, D.; Manohar, T.S.; Venketesh, S. Cholinesterase inhibitory activity of highly functionalized fluorinated spiropyrrolidine heterocyclic hybrids. Saudi J. Biol. Sci. 2021, 28, 754–761. [Google Scholar] [CrossRef]
- Mi, Y.; Zhang, J.; Han, X.; Tan, W.; Miao, Q.; Cui, J.; Li, Q.; Guo, Z. Modification of carboxymethyl inulin with heterocyclic compounds: Synthesis, characterization, antioxidant and antifungal activities. Int. J. Biol. Macromol. 2021, 181, 572–581. [Google Scholar] [CrossRef]
- Singh, K.; Pal, R.; Khan, S.A.; Kumar, B.; Akhtar, M.J. Insights into the structure activity relationship of nitrogen-containing heterocyclics for the development of antidepressant compounds: An updated review. J. Mol. Struct. 2021, 1237, 130369. [Google Scholar] [CrossRef]
- Alqahtani, A.M.; Bayazeed, A.A. Synthesis and antiproliferative activity studies of new functionalized pyridine linked thiazole derivatives. Arab. J. Chem. 2021, 14, 102914. [Google Scholar] [CrossRef]
- Krajčovičová, S.; Jorda, R.; Vanda, D.; Soural, M.; Kryštof, V. 1,4,6-Trisubstituted imidazo[4,5-c]pyridines as inhibitors of Bruton’s tyrosine kinase. Eur. J. Med. Chem. 2021, 211, 113094. [Google Scholar] [CrossRef] [PubMed]
- Lee, S.; Kwon, N.H.; Seo, B.; Lee, J.Y.; Cho, H.Y.; Kim, K.; Kim, H.S.; Jung, K.; Jeon, Y.H.; Kim, S.; et al. Discovery of novel potent migrastatic Thiazolo[5,4-b]pyridines targeting Lysyl-tRNA synthetase (KRS) for treatment of Cancer metastasis. Eur. J. Med. Chem. 2021, 218, 113405. [Google Scholar] [CrossRef]
- Lončar, B.; Perin, N.; Mioč, M.; Boček, I.; Grgić, L.; Kralj, M.; Tomić, S.; Stojković, M.R.; Hranjec, M. Novel amino substituted tetracyclic imidazo[4,5-b]pyridine derivatives: Design, synthesis, antiproliferative activity and DNA/RNA binding study. Eur. J. Med. Chem. 2021, 217, 113342. [Google Scholar] [CrossRef] [PubMed]
- Martinez-Gualda, B.; Saul, S.; Froeyen, M.; Schols, D.; Herdewijn, P.; Einav, S.; De Jonghe, S. Discovery of 3-phenyl- and 3-N-piperidinyl-isothiazolo[4,3-b]pyridines as highly potent inhibitors of cyclin G-associated kinase. Eur. J. Med. Chem. 2021, 213, 113158. [Google Scholar] [CrossRef]
- Němec, V.; Maier, L.; Berger, B.-T.; Chaikuad, A.; Drápela, S.; Souček, K.; Knapp, S.; Paruch, K. Highly selective inhibitors of protein kinases CLK and HIPK with the furo[3,2-b]pyridine core. Eur. J. Med. Chem. 2021, 215, 113299. [Google Scholar] [CrossRef] [PubMed]
- Pfaffenrot, B.; Klövekorn, P.; Juchum, M.; Selig, R.; Albrecht, W.; Zender, L.; Laufer, S.A. Design and synthesis of 1H-pyrazolo[3,4-b]pyridines targeting mitogen-activated protein kinase kinase 4 (MKK4—A promising target for liver regeneration. Eur. J. Med. Chem. 2021, 218, 113371. [Google Scholar] [CrossRef] [PubMed]
- Ullah, S.; El-Gamal, M.I.; El-Gamal, R.; Pelletier, J.; Sévigny, J.; Shehata, M.K.; Anbar, H.S.; Iqbal, J. Synthesis, biological evaluation, and docking studies of novel pyrrolo[2,3-b]pyridine derivatives as both ectonucleotide pyrophosphatase/phosphodiesterase inhibitors and antiproliferative agents. Eur. J. Med. Chem. 2021, 217, 113339. [Google Scholar] [CrossRef] [PubMed]
- Slimani, I.; Hamzaoui, S.; Mansour, L.; Harrath, A.H.; Hamdi, N. One-pot, simple and efficient synthesis of novel bioactive 4-aryl-1,2-dihydro-6-(4-hydroxy-2-oxo-2H-chromen-3-yl)-2-oxopyridin-3-carbonitriles via multi-component approach. J. King Saud Univ. Sci. 2020, 32, 1212–1217. [Google Scholar] [CrossRef]
- Oldoni, T.L.C.; Merlin, N.; Bicas, T.C.; Prasniewski, A.; Carpes, S.T.; Ascari, J.; de Alencar, S.M.; Massarioli, A.P.; Bagatini, M.D.; Morales, R.; et al. Antihyperglycemic activity of crude extract and isolation of phenolic compounds with antioxidant activity from Moringa oleifera Lam. leaves grown in Southern Brazil. Food Res. Int. 2021, 141, 110082. [Google Scholar] [CrossRef] [PubMed]
- Ashfaq, T.T.M.; Shahzad, M.I.; Tabassum, R. Antiviral evaluation of bioactive azo derivatives to treat endemic poultry viruses. Thai J. Vet. Med. 2020, 50, 435–443. [Google Scholar]
- Favre-Besse, F.-C.; Poirel, O.; Bersot, T.; Kim-Grellier, E.; Daumas, S.; El Mestikawy, S.; Acher, F.C.; Pietrancosta, N. Design, synthesis and biological evaluation of small-azo-dyes as potent Vesicular Glutamate Transporters inhibitors. Eur. J. Med. Chem. 2014, 78, 236–247. [Google Scholar] [CrossRef] [PubMed]
- Khaligh, N.G. Telescopic synthesis of azo compounds via stable arenediazonium bis(trifluoromethane)sulfonimide salts by using tert-butyl nitrite. Dye Pigment. 2017, 139, 556–560. [Google Scholar] [CrossRef]
- Khedr, A.M.; El-Ghamry, H.; Kassem, M.A.; Saad, F.A.; El-Guesmi, N. Novel series of nanosized mono- and homobi-nuclear metal complexes of sulfathiazole azo dye ligand: Synthesis, characterization, DNA-binding affinity, and anticancer activity. Inorg. Chem. Commun. 2019, 108, 107496. [Google Scholar] [CrossRef]
- Kirthan, B.R.; Prabhakara, M.C.; Naik, H.S.B.; Nayak, P.H.A.; Naik, E.I. Synthesis, characterization, DNA interaction and anti-bacterial studies of Cu(ii), Co(ii) and Ni(ii) metal complexes containing azo-dye ligand. Chem. Data Collect. 2020, 29, 100506. [Google Scholar] [CrossRef]
- Mishra, V.R.; Ghanavatkar, C.W.; Mali, S.N.; Qureshi, S.I.; Chaudhari, H.K.; Sekar, N. Design, synthesis, antimicrobial activity and computational studies of novel azo linked substituted benzimidazole, benzoxazole and benzothiazole derivatives. Comput. Biol. Chem. 2019, 78, 330–337. [Google Scholar] [CrossRef]
- Raveendra, R.S.; Prashanth, P.A.; Hari Krishna, R.; Bhagya, N.P.; Nagabhushana, B.M.; Raja Naika, H.; Lingaraju, K.; Nagabhushana, H.; Daruka Prasad, B. Synthesis, structural characterization of nano ZnTiO3 ceramic: An effective azo dye adsorbent and antibacterial agent. J. Asian Ceram. Soc. 2014, 2, 357–365. [Google Scholar] [CrossRef] [Green Version]
- Sathiyavimal, S.; Vasantharaj, S.; Kaliannan, T.; Pugazhendhi, A. Eco-biocompatibility of chitosan coated biosynthesized copper oxide nanocomposite for enhanced industrial (Azo) dye removal from aqueous solution and antibacterial properties. Carbohydr. Polym. 2020, 241, 116243. [Google Scholar] [CrossRef] [PubMed]
- Tadić, J.D.; Lađarević, J.M.; Vitnik, Ž.J.; Vitnik, V.D.; Stanojković, T.P.; Matić, I.Z.; Mijin, D.Ž. Novel azo pyridone dyes based on dihydropyrimidinone skeleton: Synthesis, DFT study and anticancer activity. Dye Pigment. 2021, 187, 109123. [Google Scholar] [CrossRef]
- Tahir, T.; Ashfaq, M.; Asghar, H.; Shahzad, M.I.; Tabassum, R.; Ashfaq, A. Medicinal Importance of Azo and Hippuric Acid Derivatives. Mini Rev. Med. Chem. 2019, 19, 708–719. [Google Scholar] [CrossRef]
- Hamada, Y. Role of Pyridines in Medicinal Chemistry and Design of BACE1 Inhibitors Possessing a Pyridine Scaffold; IntechOpen: London, UK, 2018; pp. 9–26. [Google Scholar]
- Abdelgawad, M.A.; Bakr, R.B.; Azouz, A.A. Novel pyrimidine-pyridine hybrids: Synthesis, cyclooxygenase inhibition, anti-inflammatory activity and ulcerogenic liability. Bioorg. Chem. 2018, 77, 339–348. [Google Scholar] [CrossRef]
- Crocetti, L.; Giovannoni, M.P.; Schepetkin, I.A.; Quinn, M.T.; Khlebnikov, A.I.; Cantini, N.; Guerrini, G.; Iacovone, A.; Teodori, E.; Vergelli, C. 1H-pyrrolo[2,3-b]pyridine: A new scaffold for human neutrophil elastase (HNE) inhibitors. Bioorg. Med. Chem. 2018, 26, 5583–5595. [Google Scholar] [CrossRef]
- Wang, R.; Chen, Y.; Yang, B.; Yu, S.; Zhao, X.; Zhang, C.; Hao, C.; Zhao, D.; Cheng, M. Design, synthesis, biological evaluation and molecular modeling of novel 1H-pyrrolo[2,3-b]pyridine derivatives as potential anti-tumor agents. Bioorg. Chem. 2020, 94, 103474. [Google Scholar] [CrossRef]
- Engers, D.W.; Bollinger, S.R.; Engers, J.L.; Panarese, J.D.; Breiner, M.M.; Gregro, A.; Blobaum, A.L.; Bronson, J.J.; Wu, Y.-J.; Macor, J.E.; et al. Discovery and characterization of N-(1,3-dialkyl-1H-indazol-6-yl)-1H-pyrazolo[4,3-b]pyridin-3-amine scaffold as mGlu4 positive allosteric modulators that mitigate CYP1A2 induction liability. Bioorg. Med. Chem. Lett. 2018, 28, 2641–2646. [Google Scholar] [CrossRef]
- Chen, C.; Pan, P.; Deng, Z.; Wang, D.; Wu, Q.; Xu, L.; Hou, T.; Cui, S. Discovery of 3,6-diaryl-1H-pyrazolo[3,4-b]pyridines as potent anaplastic lymphoma kinase (ALK) inhibitors. Bioorg. Med. Chem. Lett. 2019, 29, 912–916. [Google Scholar] [CrossRef] [PubMed]
- Chitti, S.; Singireddi, S.; Santosh Kumar Reddy, P.; Trivedi, P.; Bobde, Y.; Kumar, C.; Rangan, K.; Ghosh, B.; Sekhar, K.V.G.C. Design, synthesis and biological evaluation of 2-(3,4-dimethoxyphenyl)-6 (1,2,3,6-tetrahydropyridin-4-yl)imidazo[1,2-a]pyridine analogues as antiproliferative agents. Bioorg. Med. Chem. Lett. 2019, 29, 2551–2558. [Google Scholar] [CrossRef] [PubMed]
- Gerasi, M.; Frakolaki, E.; Papadakis, G.; Chalari, A.; Lougiakis, N.; Marakos, P.; Pouli, N.; Vassilaki, N. Design, synthesis and anti-HBV activity evaluation of new substituted imidazo[4,5-b]pyridines. Bioorg. Chem. 2020, 98, 103580. [Google Scholar] [CrossRef] [PubMed]
- Metwally, N.H.; Radwan, I.T.; El-Serwy, W.S.; Mohamed, M.A. Design, synthesis, DNA assessment and molecular docking study of novel 2-(pyridin-2-ylimino)thiazolidin-4-one derivatives as potent antifungal agents. Bioorg. Chem. 2019, 84, 456–467. [Google Scholar] [CrossRef]
- Rizk, O.H.; Teleb, M.; Abu-Serie, M.M.; Shaaban, O.G. Dual VEGFR-2/PIM-1 kinase inhibition towards surmounting the resistance to antiangiogenic agents via hybrid pyridine and thienopyridine-based scaffolds: Design, synthesis and biological evaluation. Bioorg. Chem. 2019, 92, 103189. [Google Scholar] [CrossRef]
- Sun, B.; Dong, Y.; Lei, K.; Wang, J.; Zhao, L.; Liu, M. Design, synthesis and biological evaluation of amide-pyridine derivatives as novel dual-target (SE, CYP51) antifungal inhibitors. Bioorg. Med. Chem. 2019, 27, 2427–2437. [Google Scholar] [CrossRef]
- Rai, S.; Kureel, A.K.; Dutta, P.K.; Mehrotra, G.K. Phenolic compounds based conjugates from dextran aldehyde and BSA: Preparation, characterization and evaluation of their anti-cancer efficacy for therapeutic applications. Int. J. Biol. Macromol. 2018, 110, 425–436. [Google Scholar] [CrossRef]
- Ali, G.; Cuny, G.D. An efficient synthesis of an 8-phenoxy aporphine derivative utilizing mono-ligated palladium ortho-phenol arylation. Tetrahedron 2019, 75, 4318–4324. [Google Scholar] [CrossRef]
- Al Majidi, M.I.H.; El-Shaheny, R.; El-Shabrawy, Y.; El-Maghrabey, M. Screening and greenness profiling of oxidative-coupling and electrophilic aromatic substitution reactions for determination of three phenolic drugs. Microchem. J. 2019, 149, 104051. [Google Scholar] [CrossRef]
- Irfan, A.; Imran, M.; Khalid, M.; Ullah, M.S.; Khalid, N.; Assiri, M.A.; Thomas, R.; Muthu, S.; Basra, M.A.R.; Hussein, M. Phenolic and flavonoid contents in Malva sylvestris and exploration of active drugs as antioxidant and anti-COVID19 by quantum chemical and molecular docking studies. J. Saudi Chem. Soc. 2021, 25, 101277. [Google Scholar] [CrossRef]
- Ribeiro, D.; Poença, C.; Varela, C.; Janela, J.; Tavares da Silva, E.J.; Fernandes, E.; Roleira, F.M.F. New phenolic cinnamic acid derivatives as selective COX-2 inhibitors. Design, synthesis, biological activity and structure-activity relationships. Bioorg. Chem. 2019, 91, 103179. [Google Scholar] [CrossRef]
- Krátký, M.; Janďourek, O.; Baranyai, Z.; Novotná, E.; Stolaříková, J.; Bősze, S.; Vinšová, J. Phenolic N-monosubstituted carbamates: Antitubercular and toxicity evaluation of multi-targeting compounds. Eur. J. Med. Chem. 2019, 181, 111578. [Google Scholar] [CrossRef] [PubMed]
- Dayma, V.; Chopra, J.; Sharma, P.; Dwivedi, A.; Tripathi, I.P.; Bhargava, A.; Murugesan, V.; Goswami, A.K.; Baroliya, P.K. Synthesis, antidiabetic, antioxidant and anti-inflammatory activities of novel hydroxytriazenes based on sulpha drugs. Heliyon 2020, 6, e04787. [Google Scholar] [CrossRef] [PubMed]
- Gu, X.; Zhang, Y.; Zou, Y.; Li, X.; Guan, M.; Zhou, Q.; Qiu, J. Synthesis and evaluation of new phenyl acrylamide derivatives as potent non-nucleoside anti-HBV agents. Bioorg. Med. Chem. 2021, 29, 115892. [Google Scholar] [CrossRef]
- Koutsopoulos, K.; Lavrentaki, V.; Antoniou, I.; Kousaxidis, A.; Lefkopoulou, M.; Tsantili-Kakoulidou, A.; Kovacikova, L.; Stefek, M.; Nicolaou, I. Design synthesis and evaluation of novel aldose reductase inhibitors: The case of indolyl–sulfonyl–phenols. Bioorg. Med. Chem. 2020, 28, 115575. [Google Scholar] [CrossRef]
- Lv, M.; Ma, J.; Li, Q.; Xu, H. Discovery of benzotriazole-azo-phenol/aniline derivatives as antifungal agents. Bioorg. Med. Chem. Lett. 2018, 28, 181–187. [Google Scholar] [CrossRef]
- Prakash, S.; Somiya, G.; Elavarasan, N.; Subashini, K.; Kanaga, S.; Dhandapani, R.; Sivanandam, M.; Kumaradhas, P.; Thirunavukkarasu, C.; Sujatha, V. Synthesis and characterization of novel bioactive azo compounds fused with benzothiazole and their versatile biological applications. J. Mol. Struct. 2020, 1224, 129016. [Google Scholar] [CrossRef]
- Zhang, Y.; Liu, Y.; Ma, X.; Ma, X.; Wang, B.; Li, H.; Huang, Y.; Liu, C. An environmentally friendly approach to the green synthesis of azo dyes with aryltriazenes via ionic liquid promoted CN bonds formation. Dye Pigment. 2018, 158, 438–444. [Google Scholar] [CrossRef]
- Zhang, Y.; Huang, C.; Lin, X.; Hu, Q.; Hu, B.; Zhou, Y.; Zhu, G. Modular Synthesis of Alkylarylazo Compounds via Iron (III)-Catalyzed Olefin Hydroamination. Org. Lett. 2019, 21, 2261–2264. [Google Scholar] [CrossRef] [PubMed]
- Taha, N.I.; Tapabashi, N.O.; El-Subeyhi, M.N. Green Synthesis of New Tetra Schiff Bases and Bis-Azo Bis-Schiff Bases Derived from 2, 6-Diaminopyridine as Promising Photosensitizers. Int. J. Org. Chem. 2018, 8, 309. [Google Scholar] [CrossRef] [Green Version]
- Mondal, B.; Mukherjee, P.S. Cage Encapsulated Gold Nanoparticles as Heterogeneous Photocatalyst for Facile and Selective Reduction of Nitroarenes to Azo Compounds. J. Am. Chem. Soc. 2018, 140, 12592–12601. [Google Scholar] [CrossRef] [PubMed]
- Matada, M.N.; Jathi, K. A novel azo metal complexes of 5, 5, 7-trimethyl-4, 5, 6, 7-tetrahydro-1, 3-benzothiazol as potential pharmacological agents: Synthesis and spectroscopic characterization. J. Mol. Struct. 2019, 1180, 196–208. [Google Scholar] [CrossRef]
- Ghanavatkar, C.W.; Mishra, V.R.; Mali, S.N.; Chaudhari, H.K.; Sekar, N. Synthesis, bioactivities, DFT and in-silico appraisal of azo clubbed benzothiazole derivatives. J. Mol. Struct. 2019, 1192, 162–171. [Google Scholar] [CrossRef]
- Harisha, S.; Keshavayya, J.; Kumara Swamy, B.E.; Prasanna, S.M.; Viswanath, C.C.; Ravi, B.N. Catalytic approach green synthesis, characterization and electrochemical studies of heterocyclic azo dye derived from 5-amino-1,3,4-thiadiazole-2-thiol. J. Mol. Liq. 2018, 271, 976–983. [Google Scholar] [CrossRef]
- Kaur, H.; Lim, S.M.; Ramasamy, K.; Vasudevan, M.; Shah, S.A.A.; Narasimhan, B. Diazenyl schiff bases: Synthesis, spectral analysis, antimicrobial studies and cytotoxic activity on human colorectal carcinoma cell line (HCT-116). Arab. J. Chem. 2020, 13, 377–392. [Google Scholar] [CrossRef]
- Kantar, C.; Akal, H.; Kaya, B.; Islamoğlu, F.; Türk, M.; Şaşmaz, S. Novel phthalocyanines containing resorcinol azo dyes; synthesis, determination of pKa values, antioxidant, antibacterial and anticancer activity. J. Organomet. Chem. 2015, 783, 28–39. [Google Scholar] [CrossRef]
- Athira, L.; Balachandran, S.; Devi, R.S. Synthesis, crystal structure, solvatochromic properties and DNA cleaving activity of azo derivative of naphthalen-2-ol. J. Mol. Struct. 2019, 1180, 100–109. [Google Scholar] [CrossRef]
- Maliyappa, M.; Keshavayya, J.; Mallikarjuna, N.; Krishna, P.M.; Shivakumara, N.; Sandeep, T.; Sailaja, K.; Nazrulla, M.A. Synthesis, characterization, pharmacological and computational studies of 4, 5, 6, 7-tetrahydro-1, 3-benzothiazole incorporated azo dyes. J. Mol. Struct. 2019, 1179, 630–641. [Google Scholar] [CrossRef]
- Ravi, B.; Keshavayya, J.; Kumar, V.; Kandgal, S. Synthesis, characterization and pharmacological evaluation of 2-aminothiazole incorporated azo dyes. J. Mol. Struct. 2020, 1204, 127493. [Google Scholar] [CrossRef]
- Samad, M.K.; Hawaiz, F.E. Synthesis, characterization, antioxidant power and acute toxicity of some new azo-benzamide and azo-imidazolone derivatives with in vivo and in vitro antimicrobial evaluation. Bioorg. Chem. 2019, 85, 431–444. [Google Scholar] [CrossRef]
- Chhetri, A.; Chettri, S.; Rai, P.; Mishra, D.K.; Sinha, B.; Brahman, D. Synthesis, characterization and computational study on potential inhibitory action of novel azo imidazole derivatives against COVID-19 main protease (Mpro: 6LU7). J. Mol. Struct. 2020, 1225, 129230. [Google Scholar] [CrossRef]
- Niluvanji Matada, M.; Jathi, K.; Rangappa, M.M.; Geoffry, K.; Ravi Kumar, S.; Nagarajappa, R.B.; Noor Zahara, F. A new sulphur containing heterocycles having azo linkage: Synthesis, structural characterization and biological evaluation. J. King Saud Univ. Sci. 2020, 32, 3313–3320. [Google Scholar] [CrossRef]
- Waheeb, A.S.; Al-Adilee, K.J. Synthesis, characterization and antimicrobial activity studies of new heterocyclic azo dye derived from 2-amino- 4,5- dimethyl thiazole with some metal ions. Mater. Today Proc. 2021, 42, 2150–2163. [Google Scholar] [CrossRef]
- Agarkar, H.; Dave, D.; Das, D. Transition metal complexes incorporated with photoswitchable azo-based benzimidazole ligands: Photochromic and solvatochromic studies. Spectrochim. Acta A Mol. Biomol. Spectrosc. 2020, 242, 118735. [Google Scholar] [CrossRef]
- Ispir, E.; Ikiz, M.; Inan, A.; Sünbül, A.B.; Tayhan, S.E.; Bilgin, S.; Köse, M.; Elmastaş, M. Synthesis, structural characterization, electrochemical, photoluminescence, antiproliferative and antioxidant properties of Co (II), Cu (II) and Zn (II) complexes bearing the azo-azomethine ligands. J. Mol. Struct. 2019, 1182, 63–71. [Google Scholar] [CrossRef]
- Venugopal, N.; Krishnamurthy, G.; Bhojyanaik, H.; Krishna, P.M. Synthesis, spectral characterization and biological studies of Cu (II), Co (II) and Ni (II) complexes of azo dye ligand containing 4‒amino antipyrine moiety. J. Mol. Struct. 2019, 1183, 37–51. [Google Scholar] [CrossRef]
- Yin, P.; Niu, Q.; Yang, Q.; Lan, L.; Li, T. A new “naked-eye” colorimetric and ratiometric fluorescent sensor for imaging Hg2+ in living cells. Tetrahedron 2019, 75, 130687. [Google Scholar] [CrossRef]
- Golsanamlou, Z.; Soleymani, J.; Abbaspour, S.; Siahi-Shadbad, M.; Rahimpour, E.; Jouyban, A. Sensing and bioimaging of lead ions in intracellular cancer cells and biomedical media using amine-functionalized silicon quantum dots fluorescent probe. Spectrochim. Acta A Mol. Biomol. Spectrosc. 2021, 256, 119747. [Google Scholar] [CrossRef] [PubMed]
- Liu, Y.-L.; Yang, L.; Li, P.; Li, S.-J.; Li, L.; Pang, X.-X.; Ye, F.; Fu, Y. A novel colorimetric and “turn-off” fluorescent probe based on catalyzed hydrolysis reaction for detection of Cu2+ in real water and in living cells. Spectrochim. Acta A Mol. Biomol. Spectrosc. 2020, 227, 117540. [Google Scholar] [CrossRef]
- Yang, S.; Wang, K.; Wang, X.; Sun, X. Organic acid participation strategy for the synthesis of highly fluorescent carbon dots and their application in dual-mode determination of copper ions. Appl. Surf. Sci. 2020, 505, 144567. [Google Scholar] [CrossRef]
- Sivamani, J.; Sadhasivam, V.; Siva, A. Aldoxime based biphenyl-azo derivative for self-assembly, chemosensor (Hg2+/F−) and bioimaging studies. Sens. Actuators B Chem. 2017, 246, 108–117. [Google Scholar] [CrossRef]
- Deepa, S.; kumar, K.R. A symmetrical luminol based azo derivative for trimodal ratiometric Hg2+ sensing and its application to bioimaging in living cells. J. Photochem. Photobiol. A Chem. 2018, 364, 773–786. [Google Scholar] [CrossRef]
- Roy, P.; Sarkar, D.; Ghosh, P.; Naskar, R.; Murmu, N.; Mondal, T.K. Luminescent rhenium(I) carbonyl complex with redox noninnocent ONS donor azo-phenol ligand: Synthesis, X-ray structure, photophysical properties and live cell imaging. Polyhedron 2019, 161, 154–160. [Google Scholar] [CrossRef]
- Sağırlı, A.; Bozkurt, E. Rhodamine-Based Arylpropenone Azo Dyes as Dual Chemosensor for Cu2+/Fe3+ Detection. J. Photochem. Photobiol. A Chem. 2020, 403, 112836. [Google Scholar] [CrossRef]
- Chatterjee, C.; Sethi, S.; Mukherjee, V.; Sahu, P.K.; Behera, N. Triazole derived azo-azomethine dye as a new colorimetric anion chemosensor. Spectrochim. Acta A Mol. Biomol. Spectrosc. 2020, 226, 117566. [Google Scholar] [CrossRef]
- Dini, S.; Khanmohammadi, H. A new azo-azomethine sensor for detection of CN− and AcO− anions: Highly selective chemosensor for naked eye detection of sodium diclofenac. Spectrochim. Acta A Mol. Biomol. Spectrosc. 2019, 222, 117157. [Google Scholar] [CrossRef]
- Hosseinjani-Pirdehi, H.; Mahmoodi, N.O.; Pasandideh Nadamani, M.; Taheri, A. Novel synthesized azo-benzylidene-thiourea as dual naked-eye chemosensor for selective detection of Hg2+ and CN¯ ions. J. Photochem. Photobiol. A Chem. 2020, 391, 112365. [Google Scholar] [CrossRef]
- Park, S.; Hong, K.-H.; Hong, J.-I.; Kim, H.-J. Azo dye-based latent colorimetric chemodosimeter for the selective detection of cyanides in aqueous buffer. Sens. Actuators B Chem. 2012, 174, 140–144. [Google Scholar] [CrossRef]
- Tavallali, H.; Deilamy-Rad, G.; Karimi, M.A.; Rahimy, E. A novel dye-based colorimetric chemosensors for sequential detection of Cu2+ and cysteine in aqueous solution. Anal. Biochem. 2019, 583, 113376. [Google Scholar] [CrossRef] [PubMed]
















Publisher’s Note: MDPI stays neutral with regard to jurisdictional claims in published maps and institutional affiliations. |
© 2021 by the authors. Licensee MDPI, Basel, Switzerland. This article is an open access article distributed under the terms and conditions of the Creative Commons Attribution (CC BY) license (https://creativecommons.org/licenses/by/4.0/).
Share and Cite
Tahir, T.; Ashfaq, M.; Saleem, M.; Rafiq, M.; Shahzad, M.I.; Kotwica-Mojzych, K.; Mojzych, M. Pyridine Scaffolds, Phenols and Derivatives of Azo Moiety: Current Therapeutic Perspectives. Molecules 2021, 26, 4872. https://doi.org/10.3390/molecules26164872
Tahir T, Ashfaq M, Saleem M, Rafiq M, Shahzad MI, Kotwica-Mojzych K, Mojzych M. Pyridine Scaffolds, Phenols and Derivatives of Azo Moiety: Current Therapeutic Perspectives. Molecules. 2021; 26(16):4872. https://doi.org/10.3390/molecules26164872
Chicago/Turabian StyleTahir, Tehreem, Muhammad Ashfaq, Muhammad Saleem, Muhammad Rafiq, Mirza Imran Shahzad, Katarzyna Kotwica-Mojzych, and Mariusz Mojzych. 2021. "Pyridine Scaffolds, Phenols and Derivatives of Azo Moiety: Current Therapeutic Perspectives" Molecules 26, no. 16: 4872. https://doi.org/10.3390/molecules26164872
APA StyleTahir, T., Ashfaq, M., Saleem, M., Rafiq, M., Shahzad, M. I., Kotwica-Mojzych, K., & Mojzych, M. (2021). Pyridine Scaffolds, Phenols and Derivatives of Azo Moiety: Current Therapeutic Perspectives. Molecules, 26(16), 4872. https://doi.org/10.3390/molecules26164872

