The Genus Haplophyllum Juss.: Phytochemistry and Bioactivities—A Review
Abstract
1. Introduction
2. Phytochemistry
2.1. Essential Oils of Haplophyllum Species
2.2. Polar Fraction Metabolites of Haplophyllumn Species
3. Ethnobotany and Biological Activities
3.1. H. acutifolium
3.2. H. canalicatum
3.3. H. myrtifolium
3.4. H. perforatum
3.5. H. sieversii
3.6. H. tuberculatum
3.7. Other Species
4. Conclusions
Author Contributions
Funding
Institutional Review Board Statement
Informed Consent Statement
Conflicts of Interest
References
- Mohammadhosseini, M. The ethnobotanical, phytochemical and pharmacological properties and medicinal applications of essential oils and extracts of different Ziziphora species. Ind. Crop. Prod. 2017, 105, 164–192. [Google Scholar] [CrossRef]
- Mohammadhosseini, M.; Venditti, A.; Sarker, S.D.; Nahar, L.; Akbarzadeh, A. The genus Ferula: Ethnobotany, phytochemistry and bioactivities—A review. Ind. Crop. Prod. 2019, 129, 350–394. [Google Scholar] [CrossRef]
- Mohammadhosseini, M.; Frezza, C.; Venditti, A.; Akbarzadeh, A. Ethnobotany and phytochemistry of the genus Eremostachys Bunge. Curr. Org. Chem. 2019, 23, 1828–1842. [Google Scholar] [CrossRef]
- Frezza, C.; Venditti, A.; De Vita, D.; Toniolo, C.; Franceschin, M.; Ventrone, A.; Tomassini, L.; Foddai, S.; Guiso, M.; Nicoletti, M.; et al. Phytochemistry, chemotaxonomy, and biological activities of the Araucariaceae family—A review. Plants 2020, 9, 888. [Google Scholar] [CrossRef] [PubMed]
- The Plant List. Available online: www.theplantlist.org (accessed on 24 June 2021).
- Townsend, C. Taxonomic Revision of the Genus Haplophyllum (Rutaceae), Hooker’s Icones Plantarum; Bentham-Moxon Trust: Kent, UK, 1986. [Google Scholar]
- Salvo, G.; Manafzadeh, S.; Ghahremaninejad, F.; Tojibaev, K.; Zeltner, L.; Conti, E. Phylogeny, morphology, and biogeography of Haplophyllum (Rutaceae), a species-rich genus of the Irano-Turanian floristic region. Taxon 2011, 60, 513–527. [Google Scholar] [CrossRef]
- Prieto, J.M. Haplophyllum A. Juss, a rich source of bioactive natural principles. In Bioactive Compounds: Types, Biological Activities and Health Effects [Internet]; Bitterlich, A., Fischl, S., Eds.; Nova Science Publishers: New York, NY, USA, 2012; pp. 341–380. [Google Scholar]
- Nekoei, M.; Mohammadhosseini, M. Application of HS-SPME, SDME and cold-press coupled to GC/MS to analysis the essential oils of Citrus sinensis CV. Thomson Navel and QSRR study for prediction of retention indices by stepwise and genetic algorithm-multiple linear regression approaches. Anal. Chem. Lett. 2014, 4, 93–103. [Google Scholar] [CrossRef]
- Hashemi-Moghaddam, H.; Mohammadhosseini, M.; Azizi, Z. Impact of amine- and phenyl-functionalized magnetic nanoparticles impacts on microwave-assisted extraction of essential oils from root of Berberis integerrima Bunge. J. Appl. Res. Med. Aromat. Plants 2018, 10, 1–8. [Google Scholar] [CrossRef]
- Hashemi-Moghaddam, H.; Mohammadhosseini, M.; Salar, M. Chemical composition of the essential oils from the hulls of Pistacia vera L. by using magnetic nanoparticle-assisted microwave (MW) distillation: Comparison with routine MW and conventional hydrodistillation. Anal. Methods 2014, 6, 2572–2579. [Google Scholar] [CrossRef]
- Bakkali, F.; Averbeck, S.; Averbeck, D.; Idaomar, M. Biological effects of essential oils—A review. Food Chem. Toxicol. 2008, 46, 446–475. [Google Scholar] [CrossRef]
- Shaaban, H.A.; El-Ghorab, A.H.; Shibamoto, T. Bioactivity of essential oils and their volatile aroma components: Review. J. Essent. Oil Res. 2012, 24, 203–212. [Google Scholar] [CrossRef]
- Sánchez-González, L.; Vargas, M.; González-Martínez, C.; Chiralt, A.; Cháfer, M. Use of essential oils in bioactive edible coatings: A review. Food Eng. Rev. 2011, 3, 1–16. [Google Scholar] [CrossRef]
- Aljaafari, M.N.; AlAli, A.O.; Baqais, L.; Alqubaisy, M.; Al Ali, M.; Molouki, A.; Ong-Abdullah, J.; Abushelaibi, A.; Lai, K.-S.; Lim, S.E. An overview of the potential therapeutic applications of essential oils. Molecules 2021, 26, 628. [Google Scholar] [CrossRef]
- Asili, J.; Fard, M.R.; Ahi, A.; Emami, S.A. Chemical composition of the essential oil from aerial parts of Haplophyllum acutifolium (DC.) G. Don from Iran. J. Essent. Oil Bear. Plants 2011, 14, 201–207. [Google Scholar] [CrossRef]
- Azadi, B.; Khaef, S. Volatile constituents of Haplophyllum buhsei Boiss. flowering aerial parts. Bull. Chem. Soc. Ethiop. 2015, 29, 327–330. [Google Scholar] [CrossRef][Green Version]
- Biniyaz, T.; Habibi, Z.; Masoudi, S.; Rustaiyan, A. Composition of the essential oils of Haplophyllum furfuraceum Bge. ex Boiss. and Haplophyllum virgatum spach. from Iran. J. Essent. Oil Res. 2007, 19, 49–51. [Google Scholar] [CrossRef]
- Bamoniri, A.; Mirjalili, B.B.F.; Mazoochi, A.; Naeimi, H.; Golchin, H.; Batooli, H. Study of the bioactive and fragrant constituents extracted from leaves and aerial parts of Haplophyllum glabrrimum Bge ex Bioss from central Iran by nano scale injection. Dig. J. Nanomater. Biostruct. 2010, 5, 169–172. [Google Scholar]
- Azadi, B.; Khaef, S. The essential oil composition of Haplophyllum laeviusculum C. C. Towns. aerial parts. J. Chem. Pharm. Res. 2014, 6, 1002–1005. [Google Scholar]
- Javidnia, K.; Miri, R.; Soltani, M.; Varamini, P. Volatile constituents of two species of Haplophyllum a. Juss. from Iran [H. lissonotum C. Town. and H. buxbaumii (Poir.) G. Don. Subsp. Mesopotamicum (Boiss.) C. Town.]. J. Essent. Oil Res. 2009, 21, 48–51. [Google Scholar] [CrossRef]
- Ünver-Somer, N.; Kaya, G.I.; Sarikaya, B.; Önür, M.A.; Özdemir, C.; Demircispi-Sup, B.; Başer, K.H.C. Composition of the essential oil of endemic Haplophyllum megalanthum Bornm. from Turkey. Rec. Nat. Prod. 2012, 6, 80–83. [Google Scholar]
- Saglam, H.; Gozler, T.; Kivcak, B.; Demirci, B.; Baser, K.H.C. Volatile compounds from Haplophyllum myrtifolium. Chem. Nat. Compd. 2001, 37, 442–444. [Google Scholar] [CrossRef]
- Saglam, H.; Gozler, T.; Kivcak, B.; Demirci, B.; Baser, K.H.C. Composition of the essential oil of Haplophyllum myrtifolium. Chem. Nat. Compd. 2001, 37, 439–441. [Google Scholar] [CrossRef]
- Mohammadhosseini, M.; Nekoei, M.; Mashayekhi, H.A.; Aboli, J. Chemical composition of the essential oil from flowers, leaves and stems of Haplophyllum perforatum by using head space solid phase microextraction. J. Essent. Oil Bear. Plants 2012, 15, 506–515. [Google Scholar] [CrossRef]
- Masoudi, S.; Rustaiyan, A.; Azar, P.A. Essential oil of Haplophyllum robustum Bge. from Iran. J. Essent. Oil Res. 2004, 16, 548–549. [Google Scholar] [CrossRef]
- Gholivand, M.B.; Rahimi-Nasrabadiab, M.; Batoolic, H.; Samimid, H. Chemical composition and antioxidant activity of the essential oil and various extracts of Haplophyllum robustum Bge. Nat. Prod. Res. 2012, 26, 883–891. [Google Scholar] [CrossRef] [PubMed]
- Bamonieri, A.; Safaei-Ghomi, J.; Asadi, H.; Batooli, H.; Masoudi, S.; Rustaiyan, A. Essential oils from leaves, stems, flowers and fruits of Haplophyllum robustum Bge. (Rutaceae) grown in Iran. J. Essent. Oil Res. 2006, 18, 379–380. [Google Scholar] [CrossRef]
- Rahimi-Nasrabadi, M.; Gholivand, M.B.; Batooli, H. Chemical composition of the essential oil from leaves and flowering aerial parts of Haplophyllum robustum Bge. (Rutaceae). Dig. J. Nanomater. Biostruct. 2009, 4, 819–822. [Google Scholar]
- Yari, M.; Masoudi, S.; Rustaiyan, A. Essential oil of Haplophyllum tuberculatum (Forssk.) A. Juss. grown wild in Iran. J. Essent. Oil Res. 2000, 12, 69–70. [Google Scholar] [CrossRef]
- Al Yousuf, M.H.; Bashir, A.K.; Veres, K.; Dobos, Á.; Nagy, G.; Máthé, I.; Blunden, G.; Vera, J.R. Essential oil of Haplophyllum tuberculatum (Forssk.) A. Juss. from the United Arab Emirates. J. Essent. Oil Res. 2005, 17, 519–521. [Google Scholar] [CrossRef]
- Al-Burtamani, S.K.S.; Fatope, M.O.; Marwah, R.G.; Onifade, A.K.; Al-Saidi, S.H. Chemical composition, antibacterial and antifungal activities of the essential oil of Haplophyllum tuberculatum from Oman. J. Ethnopharmacol. 2005, 96, 107–112. [Google Scholar] [CrossRef]
- Javidnia, K.; Miri, R.; Banani, A. Volatile oil constituents of Haplophyllum tuberculatum (Forssk.) A. Juss. (Rutaceae) from Iran. J. Essent. Oil Res. 2006, 18, 355–356. [Google Scholar] [CrossRef]
- Al-Rehaily, A.J.; Alqasoumi, S.I.; Yusufoglu, H.S.; Al-Yahya, M.A.; Demirci, B.; Tabanca, N.; Wedge, D.E.; Demirci, F.; Bernier, U.R.; Becnel, J.J.; et al. Chemical composition and biological activity of Haplophyllum tuberculatum Juss. essential oil. J. Essent. Oil Bear. Plants 2014, 17, 452–459. [Google Scholar] [CrossRef]
- Debouba, M.; Khemakhem, B.; Zouari, S.; Meskine, A.; Gouia, H. Chemical and biological activities of Haplophyllum tuberculatum organic extracts and essential oil. J. Essent. Oil Bear. Plants 2014, 17, 787–796. [Google Scholar] [CrossRef]
- Mechehoud, Y.; Chalard, P.; Figuérédo, G.; Marchioni, E.; Benayache, F.; Benayache, S. Chemical composition of the essential oil of Haplophyllum tuberculatum (Forssk.) L.A. Juss. from Algeria. Res. J. Pharm. Biol. Chem. Sci. 2014, 5, 1416–1419. [Google Scholar]
- Sabry, O.M.M.; Sayed, A.M.E.; Alshalmani, S.K. GC/MS analysis and potential cytotoxic activity of Haplophyllum tuberculatum essential oils against lung and liver cancer cells. Pharmacogn. J. 2016, 8, 66–69. [Google Scholar] [CrossRef]
- Hamdi, A.; Majouli, K.; Vander Heyden, Y.; Flamini, G.; Marzouk, Z. Phytotoxic activities of essential oils and hydrosols of Haplophyllum tuberculatum. Ind. Crop. Prod. 2017, 97, 440–447. [Google Scholar] [CrossRef]
- Karimi, F.; Yousefzadi, M.; Mirjalili, M.H.; Rahmani, N.; Zaeifi, M. Chemical composition of the essential oil of Haplophyllum virgatum var. virgatum from Iran. Chem. Nat. Compd. 2013, 49, 148–149. [Google Scholar] [CrossRef]
- Conti, B.; Canale, A.; Cioni, P.L.; Flamini, G.; Rifici, A. Hyptis suaveolens and Hyptis spicigera (Lamiaceae) essential oils: Qualitative analysis, contact toxicity and repellent activity against Sitophilus granarius (L.) (Coleoptera: Dryophthoridae). J. Pest. Sci. 2011, 84, 219–228. [Google Scholar] [CrossRef]
- Rouis, Z.; Laamari, A.; Abid, N.; Elaissi, A.; Cioni, P.L.; Flamini, G.; Aouni, M. Chemical composition and larvicidal activity of several essential oils from Hypericum species from Tunisia. Parasitol. Res. 2013, 112, 699–705. [Google Scholar] [CrossRef]
- Najar, B.; Cervelli, C.; Ferri, B.; Cioni, P.L.; Pistelli, L. Essential oils and volatile emission of eight South African species of Helichrysum grown in uniform environmental conditions. S. Afr. J. Bot. 2019, 124, 178–187. [Google Scholar] [CrossRef]
- Staerk, D.; Kesting, J.R.; Sairafianpour, M.; Witt, M.; Asili, J.; Emami, S.A.; Jaroszewski, J.W. Accelerated dereplication of crude extracts using HPLC-PDA-MS-SPE-NMR: Quinolinone alkaloids of Haplophyllum acutifolium. Phytochemistry 2009, 70, 1055–1061. [Google Scholar] [CrossRef]
- Razzakova, D.M.; Bessonova, I.A.; Yunusov, S.Y. Alkaloids of Haplophyllum acutifolium. Chem. Nat. Compd. 1975, 9, 199–202. [Google Scholar] [CrossRef]
- Sadikov, Y.J.; Hojimatov, M. Alkaloids of Haplophyllum acutifolium (DC) G. Don. Fil. Plant Resour. 1988, 24, 77–81. [Google Scholar]
- Ali, M.S.; Fatima, S.; Pervez, M.K. Haplotin: A new furanoquinoline from Haplophyllum acutifolium (Rutaceae). J. Chem. Soc. Pak. 2008, 30, 775–779. [Google Scholar]
- Ali, M.S.; Pervez, M.K.; Saleem, M.; Tareen, R.B. Haplophytin-A and B: The alkaloidal constituents of Haplophyllum acutifolium. Phytochemistry 2001, 57, 1277–1280. [Google Scholar] [CrossRef]
- Razzakova, D.M.; Bessonova, I.A.; Yunusov, S.Y. Eudesmin—A lignane from Haplophyllum acutifolium and H. perforatum. Chem. Nat. Compd. 1972, 8, 646–647. [Google Scholar] [CrossRef]
- Nesmelova, E.F.; Razakova, D.M.; Akhmedzhanova, V.I.; Bessonova, I.A. Diphyllin from Haplophyllum alberti-regelii, H. bucharicum, and H. perforatum. Chem. Nat. Compd. 1983, 19, 608. [Google Scholar] [CrossRef]
- Pavlović, D.R.; Zlatković, B.; Živanović, S.; Kitić, D.; Golubović, T. Serbian Rutaceae species: Comparison of chemical profiles and radical scavenging activity. Biol. Nyssana 2018, 9, 37–43. [Google Scholar]
- Bessonova, I.A. Components of Haplophyllum bucharicum. Chem. Nat. Compd. 2000, 36, 323–324. [Google Scholar] [CrossRef]
- Ubaidullaev, K.; Bessonova, I.A.; Yunusov, S.Y. Alkaloids of Haplophyllum pedicellatum, H. obtusifolium, and H. bucharicum. structure of bucharamine. Chem. Nat. Compd. 1974, 8, 337–339. [Google Scholar] [CrossRef]
- Fiot, J.; Jansen, O.; Akhmedjanova, V.; Angenot, L.; Balansard, G.; Ollivier, E. HPLC quantification of alkaloids from Haplophyllum extracts and comparison with their cytotoxic properties. Phytochem. Anal. 2006, 17, 365–369. [Google Scholar] [CrossRef]
- Bessonova, I.A.; Yunusov, S.Y. Alkaloids of Haplophyllum bungei. Chem. Nat. Compd. 1989, 25, 18–20. [Google Scholar] [CrossRef]
- Gashimov, N.F.; Orazmukhamedova, N.O. Coumarins of Haplophyllum bungei. Chem. Nat. Compd. 1979, 14, 563. [Google Scholar] [CrossRef]
- Abyshev, A.Z.; Gashimov, N.F. Coumarin composition of Haplophyllum bungei. Chem. Nat. Compd. 1982, 18, 615–616. [Google Scholar] [CrossRef]
- Varamini, P.; Javidnia, K.; Soltani, M.; Mehdipour, A.R.; Ghaderi, A. Cytotoxic activity and cell cycle analysis of quinoline alkaloids isolated from Haplophyllum canaliculatum Boiss. Planta Med. 2009, 75, 1509–1516. [Google Scholar] [CrossRef]
- Gözler, B.; Arar, G.; Gozler, T.; Hesse, M. Isodaurinol, an arylnaphthalene lignan from Haplophyllum cappadocicum. Phytochemistry 1992, 31, 2473–2475. [Google Scholar]
- Gözler, B.; Önür, M.A.; Gözler, T.; Kadan, G.; Hesse, M. Lignans and lignan glycosides from Haplophyllum cappadocicum. Phytochemistry 1994, 37, 1693–1698. [Google Scholar] [CrossRef]
- Gözler, B.; Gözler, T.; Saǧlam, H.; Hesse, M. Minor lignans from Haplophyllum cappadocicum. Phytochemistry 1996, 42, 689–693. [Google Scholar] [CrossRef]
- Arar, G.; Gözler, T.; Bashir, M.; Shamma, M. Malatyamine, a 4-quinolone alkaloid from Haplophyllum cappadocicum. J. Nat. Prod. 1985, 48, 642–643. [Google Scholar] [CrossRef]
- Batsurén, D.; Batirov, E.K.; Malikov, V.M. Coumarins of Haplophyllum dauricum. 5,7-Dihydroxycoumarin and its C-glucoside. Chem. Nat. Compd. 1982, 18, 616–617. [Google Scholar] [CrossRef]
- Batsurén, D.; Batirov, E.K.; Malikov, V.M.; Yagudaev, M.R. Structures of daurosides A and B—New acylated coumarin glycosides from Haplophyllum dauricum. Chem. Nat. Compd. 1983, 19, 134–138. [Google Scholar] [CrossRef]
- Vdovin, A.D.; Batsurén, D.; Batirov, É.K.; Yagudaev, M.R.; Malikov, V.M. 1H and 13C NMR spectra and the structure of a new coumarin, C-glycoside dauroside D, from Haplophyllum dauricum. Chem. Nat. Compd. 1983, 19, 413–416. [Google Scholar] [CrossRef]
- Batirov, E.K.; Batsurén, D.; Malikov, V.M. Components of Haplophyllum dauricum. Chem. Nat. Compd. 1984, 20, 226–227. [Google Scholar] [CrossRef]
- Bessonova, I.A.; Batsurén, D.; Yunusov, S.Y. Alkaloids of Haplophyllum dauricum. Chem. Nat. Compd. 1984, 20, 68–70. [Google Scholar] [CrossRef]
- Tikhomirova, L.I.; Pimenov, M.G.; Kuznetsova, T.A. Coumarins from Haplophyllum dzhungaricum and H. multicaule. Chem. Nat. Compd. 1975, 10, 403. [Google Scholar] [CrossRef]
- Yuldashev, M.P. Flavonoids and coumarins of Haplophyllum leptomerum and H. dubium. Chem. Nat. Compd. 2002, 38, 192–193. [Google Scholar] [CrossRef]
- Akhmedzhanova, V.I.; Bessonova, I.A.; Yunusov, S.Y. Alkaloids of Haplophyllum foliosum. Chem. Nat. Compd. 1980, 16, 574–576. [Google Scholar] [CrossRef]
- Akhmedzhanova, V.I.; Bessonova, I.A.; Yunusov, S.Y. Alkaloids of Haplophyllum foliosum. III. Structure of folidine. Chem. Nat. Compd. 1985, 21, 782–783. [Google Scholar] [CrossRef]
- Yuldashev, M.P. Flavonoids of Haplophyllum foliosum and H. pedicellatum. Chem. Nat. Compd. 2001, 37, 288–289. [Google Scholar] [CrossRef]
- Aynehchi, Y.; Salehi Sormaghi, M.; Amin, G.; Soltani, A.; Qumehr, N. Survey of Iranian plants for saponins, alkaloids, flavonoids and tannins. II. Int. J. Crude Drug Res. 1982, 20, 61–70. [Google Scholar] [CrossRef]
- Kodirova, D.R.; Rasulova, K.A.; Abdullaev, N.D.; Bobakulov, K.M. Alkaloids from the plant Haplophyllum griffithianum. Chem. Nat. Compd. 2011, 47, 856–857. [Google Scholar] [CrossRef]
- Kodirova, D.R.; Rasulova, K.A.; Turgunov, K.K.; Tashkhodzhaev, B.; Bobakulov, K.M.; Abdullaev, N.D. Gerphytine, a new furanoquinoline alkaloid from Haplophyllum griffithianum. Chem. Nat. Compd. 2011, 47, 773–776. [Google Scholar] [CrossRef]
- Rasulova, K.A.; Kodirova, D.R.; Bobakulov, K.M.; Abdullaev, N.D. Griffithine, a new furanoquinolone alkaloid from: Haplophyllum griffithianum. Chem. Nat. Compd. 2015, 51, 743–745. [Google Scholar] [CrossRef]
- Kodirova, D.R.; Rasulova, K.A.; Sagdullaev, S.S.; Aisa, H.A. Haplophyllum griffithianum as a source of quinoline alkaloids. Chem. Nat. Compd. 2018, 54, 213–214. [Google Scholar] [CrossRef]
- Isaev, Y.I.; Bessenova, I.A. Alkaloids of Haplophyllum schelkovnikovii, H. villosum, H. tenue and H. kowalenskyi. Chem. Nat. Compd. 1974, 6, 815. [Google Scholar] [CrossRef]
- Nesmelova, E.F.; Bessonova, I.A.; Yunusov, S.Y. Alkaloids of Haplophyllum latifolium the structure and synthesis of haplamide and haplamidine. Chem. Nat. Compd. 1978, 14, 637–639. [Google Scholar] [CrossRef]
- Nesmelova, E.F.; Bessonova, I.A.; Yunusov, S.Y. Alkaloids of Haplophyllum latifolium the structure of haplatine. Chem. Nat. Compd. 1978, 14, 645–650. [Google Scholar] [CrossRef]
- Akhmedzhanova, V.I.; Bessonova, I.A.; Yunusov, S.Y. Alkaloids of Haplophyllum leptomerum. I. The structure of leptomerine. Chem. Nat. Compd. 1986, 22, 78–79. [Google Scholar] [CrossRef]
- Akhmedzhanova, V.I.; Angenot, L.; Shakirov, R.S. Alkaloids from Haplophyllum leptomerum. Chem. Nat. Compd. 2010, 46, 502–503. [Google Scholar] [CrossRef]
- Saǧlam, H.; Gözler, T.; Gözler, B. A new prenylated arylnaphthalene lignan from Haplophyllum myrtifolium. Fitoterapia 2003, 74, 564–569. [Google Scholar] [CrossRef]
- Evcim, U.; Gozler, B.; Freyer, A.J.; Shamma, M. Haplomyrtin and (-)-haplomyrfolin: Two lignans from Haplophyllum myrtifolium. Phytochemistry 1986, 25, 1949–1951. [Google Scholar] [CrossRef]
- Kuznetsova, G.A.; Gashimov, N.F. The structure of a new coumarin from Haplophyllum pedicellatum. Chem. Nat. Compd. 1974, 8, 649. [Google Scholar] [CrossRef]
- Rasulova, K.A.; Bessonova, I.A. Alkaloids of Haplophyllum perforatum. Chem. Nat. Compd. 1995, 31, 487–488. [Google Scholar] [CrossRef]
- Bessonova, I.A. Acetylhaplophyllidine, A new alkaloid from Haplophyllum perforatum. Chem. Nat. Compd. 1999, 35, 589–590. [Google Scholar] [CrossRef]
- Razakova, D.M.; Bessonova, I.A.; Abdullaeva, K.A.; Yunusov, S.Y. Components of Haplophyllum perforatum. Chem. Nat. Compd. 1983, 19, 377–378. [Google Scholar] [CrossRef]
- Rasulova, K.A.; Bessonova, I.A.; Yagudaev, M.R.; Yunusov, S.Y. Haplosinine—A new furanoquinoline glycoalkaloid from Haplophyllum perforatum. Chem. Nat. Compd. 1987, 23, 731–734. [Google Scholar] [CrossRef]
- Abdullaeva, K.A.; Bessonova, I.A.; Yunusov, S.Y. Alkaloids of Haplophyllum perforatum. II. Chem. Nat. Compd. 1978, 14, 179–182. [Google Scholar] [CrossRef]
- Rasulova, K.A.; Bessonova, I.A. Alkaloids of Haplophyllum perforatum. Chem. Nat. Compd. 1992, 28, 214–216. [Google Scholar] [CrossRef]
- Yuldashev, M.P.; Batirov, E.K.; Malikov, V.M. Coumarin glycosides of Haplophyllum perforatum. Chem. Nat. Compd. 1980, 16, 125–128. [Google Scholar] [CrossRef]
- Batirov, E.K.; Malikov, V.M. Haploside A—A new acylated flavonol glycoside from Haplophyllum perforatum. Chem. Nat. Compd. 1980, 16, 242–245. [Google Scholar] [CrossRef]
- Batirov, E.K.; Yuldashev, M.P.; Khushbatkova, Z.A.; Syrov, V.N.; Malikov, V.M. Flavonoids of Haplophyllum perforatum. Structure and hypoazotemic activity of haploside C. Chem. Nat. Compd. 1987, 23, 54–57. [Google Scholar] [CrossRef]
- Yuldashev, M.P.; Batirov, E.K.; Malikov, V.M. Flavonoids of Haplophyllum perforatum. New glycosides of limocitrin. Chem. Nat. Compd. 1985, 21, 179–182. [Google Scholar] [CrossRef]
- Ulubelen, A.; Gil, R.R.; Cordell, G.A.; Meriçli, A.H.; Meriçli, F. Cytotoxic lignans from Haplophyllum species. Pure Appl. Chem. 1994, 66, 2379–2382. [Google Scholar] [CrossRef]
- Ulubelen, A.; Meriçli, A.H.; Meriçli, F.; Kaya, Ü. An alkaloid and lignans from Haplophyllum telephioides. Phytochemistry 1994, 35, 1600–1601. [Google Scholar] [CrossRef]
- Ulubelen, A.; Mericli, A.H.; Mericli, F.; Sonmez, U.; Ilarslan, R. Alkaloids and coumarins from Haplophyllum thesioides. Nat. Prod. Lett. 1993, 1, 269–272. [Google Scholar] [CrossRef]
- Bessonova, I.A.; Kurbanov, D.; Yunusov, S.Y. Components of Haplophyllum ramosissimum. Chem. Nat. Compd. 1989, 25, 39–40. [Google Scholar] [CrossRef]
- Abyshev, A.Z.; Denisenko, P.P.; Isaev, N.Y.; Kerimov, Y.B. Coumarins of Haplophyllum schelkovnikovii. Chem. Nat. Compd. 1979, 14, 564–565. [Google Scholar] [CrossRef]
- Cantrell, C.L.; Schrader, K.K.; Mamonov, L.K.; Sitpaeva, G.T.; Kustova, T.S.; Dunbar, C.; Wedge, D.E. Isolation and identification of antifungal and antialgal alkaloids from Haplophyllum sieversii. J. Agric. Food Chem. 2005, 53, 7741–7748. [Google Scholar] [CrossRef] [PubMed]
- Al-Shamma, A.; Al-Douri, N.A.; Phillipson, J.D. Alkaloids of Haplophyllum tuberculatum from Iraq. Phytochemistry 1979, 18, 1417–1419. [Google Scholar] [CrossRef]
- Lavie, D.; Danieli, N.; Weitman, R.; Glotter, E.J.T. A new quinolone type alkaloid from Haplophylum tuberculatum (Rutaceae). Tetrahedron 1968, 24, 3011–3018. [Google Scholar] [CrossRef]
- Al-Yahya, M.A.; El-Domiaty, M.M.; Al-Meshal, I.A.; Al-Said, M.S.; El-Feraly, F.S. (+)-Dihydroperfamine: An alkaloid from Haplophyllum tuberculatum. Int. J. Pharm. 1991, 29, 268–272. [Google Scholar] [CrossRef]
- McPhail, A.T.; McPhail, D.R.; Al-Said, M.S.; El-Domiaty, M.M.; El-Feraly, F.S. Revision of the stereochemistry of (+)-tuberine, an alkaloid from Haplophyllum tuberculatum. Phytochemistry 1990, 29, 3055–3057. [Google Scholar] [CrossRef]
- Sheriha, M.G.; Abou Amer, M.K. Lignans of Haplophyllum tuberculatum. Phytochemistry 1984, 23, 151–153. [Google Scholar] [CrossRef]
- Khalid, S.A.; Waterman, P.G. Alkaloid, lignan and flavonoid constituents of Haplophyllum tuberculatum from Sudan. Planta Med. 1981, 43, 148–152. [Google Scholar] [CrossRef]
- Al-Rehaily, A.J.; Al-Howiriny, T.A.; Ahmad, M.S.; Al-Yahya, M.A.; El-Feraly, F.S.; Hufford, C.D.; McPhail, A.T. Alkaloids from Haplophyllum tuberculatum. Phytochemistry 2001, 57, 597–602. [Google Scholar] [CrossRef]
- Ali, A.-S.; Ekbal, A.-K.; Enas, J.; Diar, A. Qualitative and quantitative investigations of furocoumarin derivatives (psoralens) of Haplophyllum tuberculatum (Rutaceae). AJPS 2005, 2, 24–36. [Google Scholar]
- Youssef, D. Lignans from the aerial parts of Haplophyllum tuberculatum (Forssk) A. Juss. Bull. Pharm. Sci. Assiut Univer. 2005, 28, 261–267. [Google Scholar] [CrossRef][Green Version]
- Al-Qathama, A.; Gibbons, S.; Prieto, J.M. Differential modulation of Bax/Bcl-2 ratio and onset of caspase-3/7 activation induced by derivatives of Justicidin B in human melanoma cells A375. Oncotarget 2017, 8, 95999–96012. [Google Scholar] [CrossRef] [PubMed]
- Gözler, B.; Rentsch, D.; Gözler, T.; Ünver, N.; Hesse, M. Lignans, alkaloids and coumarins from Haplophyllum vulcanicum. Phytochemistry 1996, 42, 695–699. [Google Scholar] [CrossRef]
- Gözler, T.; Gözler, B.; Linden, A.; Hesse, M. Vulcanine, a β-carboline alkaloid from Haplophyllum vulcanicum. Phytochemistry 1996, 43, 1425–1426. [Google Scholar] [CrossRef]
- Gözler, T.; Gözler, B.; Patra, A.; Leet, J.E.; Freyer, A.J.; Shamma, M. Konyanin: A new lignan from Haplophyllum vulcaniclm. Tetrahedron 1984, 40, 1145–1150. [Google Scholar] [CrossRef]
- Waterman, P.G. Alkaloids of the rutaceae: Their distribution and systematic significance. Biochem. Syst. Ecol. 1975, 3, 149–180. [Google Scholar] [CrossRef]
- Gray, A.I.; Waterman, P.G. Coumarins in the Rutaceae. Phytochemistry 1978, 17, 845–864. [Google Scholar] [CrossRef]
- Tomas-Barberan, F.A.; Gil, M.I.; Ferreres, F.; Tomaslorente, F. Flavonoid p-coumaroylglucosides and 8-hydroxyflavone allosylglucosides in some Labiatae. Phytochemistry 1992, 31, 3097–3102. [Google Scholar] [CrossRef]
- Venditti, A.; Bianco, A.; Frezza, C.; Serafini, M.; Giacomello, G.; Giuliani, C.; Bramucci, M.; Quassinti, L.; Lupidi, G.; Lucarini, D.; et al. Secondary metabolites, glandular trichomes and biological activity of Sideritis montana L. subsp. montana from Central Italy. Chem. Biodivers. 2016, 13, 1380–1390. [Google Scholar] [CrossRef]
- Venditti, A.; Bianco, A.; Maggi, F.; Nicoletti, M. Polar constituents composition of endemic Sideritis italica (MILL.) GREUTER et BURTER from Central Italy. Nat. Prod. Res. 2013, 27, 1408–1412. [Google Scholar] [CrossRef]
- Venditti, A.; Bianco, A.; Nicoletti, M.; Quassinti, L.; Bramucci, M.; Lupidi, G.; Vitali, L.A.; Papa, F.; Vittori, S.; Petrelli, D.; et al. Characterization of secondary metabolites, biological activity and glandular trichomes of Stachys tymphaea Hausskn. from the Monti Sibillini National Park (Central Apennines, Italy). Chem. Biodivers. 2014, 11, 245–261. [Google Scholar] [CrossRef]
- Venditti, A.; Frezza, C.; Maggi, F.; Lupidi, G.; Bramucci, M.; Quassinti, L.; Giuliani, C.; Cianfaglione, K.; Papa, F.; Serafini, M.; et al. Phytochemistry, micromorphology and bioactivities of Ajuga chamaepitys (L.) Schreb. (Lamiaceae, Ajugoideae): Two new harpagide derivatives and an unusual iridoid glycosides pattern. Fitoterapia 2016, 113, 35–43. [Google Scholar] [CrossRef] [PubMed]
- Venditti, A.; Serrilli, A.M.; Bianco, A. A new flavonoid and other polar compounds from Galeopsis angustifolia Ehrh. ex Hoffm. Nat. Prod. Res. 2013, 27, 412–416. [Google Scholar] [CrossRef]
- Frezza, C.; Venditti, A.; Serafini, M.; Bianco, A. Phytochemistry, chemotaxonomy, ethnopharmacology, and nutraceutics of Lamiaceae. Stud. Nat. Prod. Chem. 2019, 62, 125–178. [Google Scholar]
- Frezza, C.; Venditti, A.; Toniolo, C.; De Vita, D.; Serafini, I.; Ciccòla, A.; Franceschin, M.; Ventrone, A.; Tomassini, L.; Foddai, S.; et al. Pedicularis L. genus: Systematics, botany, phytochemistry, chemotaxonomy, ethnopharmacology, and other. Plants 2019, 8, 306. [Google Scholar] [CrossRef]
- Ghorbani, A. Studies on pharmaceutical ethnobotany in the region of Turkmen Sahra, north of Iran:(Part 1): General results. J. Ethnopharmacol. 2005, 102, 58–68. [Google Scholar] [CrossRef] [PubMed]
- Varamini, P.; Doroudchi, M.; Mohagheghzadeh, A.; Soltani, M.; Ghaderi, A. Cytotoxic evaluation of four Haplophyllum species with various tumor cell lines. Pharm. Biol. 2007, 45, 299–302. [Google Scholar] [CrossRef]
- Esmaeili, S.; Hamzeloo-Moghadam, M.; Ghaffari, S.; Mosaddegh, M. Cytotoxic activity screening of some medicinal plants from south of Iran. Res. J. Pharmacogn. 2014, 1, 19–25. [Google Scholar]
- Östan, I.; Saǧlam, H.; Limoncu, M.E.; Ertabaklar, H.; Toz, S.Ö.; Özbel, Y.; Özbilgin, A. In vitro and in vivo activities of Haplophyllum myrtifolium against Leishmania tropica. New Microbiol. 2017, 30, 439–445. [Google Scholar]
- Zengin, G.; Sarikurkcu, C.; Aktumsek, A.; Ceylan, R.; Ceylan, O. A comprehensive study on phytochemical characterization of Haplophyllum myrtifolium Boiss. endemic to Turkey and its inhibitory potential against key enzymes involved in Alzheimer, skin diseases and type II diabetes. Ind. Crop. Prod. 2014, 53, 244–251. [Google Scholar] [CrossRef]
- Bazzaz, B.; Haririzadeh, G. Screening of Iranian plants for antimicrobial activity. Pharm. Biol. 2003, 41, 573–583. [Google Scholar] [CrossRef]
- Ahmadipour, S.; Mohsenzadeh, A.; Ahmadipour, S.; Eftekhari, Z.; Tajeddini, P. Ethnobotanical identification of medicinal plants effective on toothache in Shiraz, South Iran. Pharm. Lett. 2015, 7, 419–426. [Google Scholar]
- Bahraminejad, S.; Amiri, R.; Abbasi, S. Anti-fungal properties of 43 plant species against Alternaria solani and Botrytis cinerea. Arch. Phytopathol. Plant. Protect. 2015, 48, 336–344. [Google Scholar] [CrossRef]
- Sadritdinov, F.S.; Кurmukov, А.G. Farmakologiya rastitelnikh alkaloidov i ikh primenenie v medizine [Pharmacology of Plant Alkaloids and Their Use in Medicine]; Medizina: Тashkent, Uzbekistan, 1980; 310p. (In Russian) [Google Scholar]
- Al-Yahya, M.A.; Al-Rehaily, A.J.; Ahmad, M.S.; Al-Said, M.S.; El-Feraly, F.S.; Hufford, C.D. New alkaloids from Haplophyllum tuberculatum. J. Nat. Prod. 1992, 55, 899–903. [Google Scholar] [CrossRef]
- Ulubelen, A.; Öztürk, M. Alkaloids, coumarins and lignans from Haplophyllum species. Rec. Nat. Prod. 2008, 2, 54–69. [Google Scholar]
- Ali, M.B.; Mohamed, A.H.; Bashir, A.K.; Salih, A.M. Pharmacological investigation of Haplophyllum tuberculatum. Int. J. Pharm. 1992, 30, 39–45. [Google Scholar]
- Raissi, A.; Arbabi, M.; Roustakhiz, J.; Hosseini, M. Haplophyllum tuberculatum: An overview. J. HerbMed Pharmacol. 2016, 5, 125–130. [Google Scholar]
- Hadjadj, S.; Bayoussef, Z.; El Hadj-Khelil, A.O.; Beggat, H.; Bouhafs, Z.; Boukaka, Y.; Khaldi, I.A.; Mimouni, S.; Sayah, F.; Tey, M. Ethnobotanical study and phytochemical screening of six medicinal plants used in traditional medicine in the Northeastern Sahara of Algeria (area of Ouargla). J. Med. Plants Res. 2015, 9, 1049–1059. [Google Scholar]
- Al-Snafi, A.E. Pharmacological importance of Haplophyllum species grown in Iraq—A review. IOSR J. Pharm. 2018, 8, 54–62. [Google Scholar]
- Batanouny, K.; Aboutabl, E.; Shabana, M.; Soliman, F. Plants of Potential Medicinal Value, Wild Medicinal Plants in Egypt; Academy of Scientific Research Technology, Egypt; The World Conservation Union: Gland, Switzerland, 1999; Available online: https://www.uicnmed.org/nabp/web/documents/book/medpreface.pdf (accessed on 24 June 2021).
- Tanira, M.; Ali, B.; Bashir, A.; Wasfi, I.; Chandranath, I. Evaluation of the relaxant activity of some United Arab Emirates plants on intestinal smooth muscle. J. Pharm. Pharmacol. 1996, 48, 545–550. [Google Scholar] [CrossRef] [PubMed]
- Gnan, S.O.; Sheriha, G. A research note antimicrobial activity of (+)-tuberine. J. Food Prot. 1986, 49, 340–341. [Google Scholar] [CrossRef] [PubMed]
- Bidak, L.; Heneidy, S.; Shaltout, K.; Al-Sodany, Y. Current status of the wild medicinal plants in the Western Mediterranean coastal region, Egypt. J. Ethnobiol. Ethnomed. 2013, 120, 566–584. [Google Scholar]
- Di Giorgio, C.; Delmas, F.; Akhmedjanova, V.; Ollivier, E.; Bessonova, I.; Riad, E.; Timon-David, P. In vitro antileishmanial activity of diphyllin isolated from Haplophyllum bucharicum. Planta Med. 2005, 71, 366–369. [Google Scholar] [CrossRef]
- Anonymous. World Health Organization: Medicinal Plants in Mongolia; WHO Regional Office for the Western Pacific: Manila, Philippines, 2013. [Google Scholar]
- Tsetlin, A.; Niconov, G.; Shvarev, I.; Pimenov, M. Antitumor activity of natural coumarins. J. Rastit. Resur. 1965, 1, 507. [Google Scholar]
- Kang, K.; Nho, C.W.; Kim, N.D.; Song, D.G.; Park, Y.G.; Kim, M.; Pan, C.H.; Shin, D.; Oh, S.H.; Oh, H.S. Daurinol, a catalytic inhibitor of topoisomerase IIα, suppresses SNU-840 ovarian cancer cell proliferation through cell cycle arrest in S phase. Int. J. Oncol. 2014, 45, 558–566. [Google Scholar] [CrossRef]
- Kang, K.; Oh, S.H.; Yun, J.H.; Jho, E.H.; Kang, J.H.; Batsuren, D.; Tunsag, J.; Park, K.H.; Kim, M.; Nho, C.W. A novel topoisomerase inhibitor, daurinol, suppresses growth of HCT116 cells with low hematological toxicity compared to etoposide. Neoplasia 2011, 13, 1043–1057. [Google Scholar] [CrossRef] [PubMed]
- Egamberdieva, D.; Mamedov, N.; Ovidi, E.; Tiezzi, A.; Craker, L. Phytochemical and pharmacological properties of medicinal plants from Uzbekistan: A review. J. Med. Active Plants 2017, 5, 59–75. [Google Scholar]
- Mirdeilami, S.Z.; Barani, H.; Mazandarani, M.; Heshmati, G.A. Ethnopharmacological survey of medicinal plants in Maraveh Tappeh Region, North of Iran. Iran. J. Plant Physiol. 2011, 2, 327–338. [Google Scholar]
- Tekin, M.; Eruygur, N. The structural studies on the medicinal plant Haplophyllum telephioides. Braz. J. Pharmacogn. 2016, 26, 544–552. [Google Scholar] [CrossRef][Green Version]
- Eskandari, N.; Farjam, M.H.; Joukar, M. Comparative evaluation of antimicrobial and antioxidant activity of essential oil and ethanolic extract of Haplophyllum tenue Boiss and Dalbergia sissoo. Adv. Environ. Biol. 2014, 175–180. Available online: https://go.gale.com/ps/i.do?id=GALE%7CA417570467&sid=googleScholar&v=2.1&it=r&linkaccess=abs&issn=19950756&p=AONE&sw=w&userGroupName=anon%7E25701a74 (accessed on 24 June 2021).














| Plant Species | Main Components (%) | OY a | Identified Compounds | Dominant Group | Extraction Method | Analysis Method | Studied Organs | Country | Reference | |
|---|---|---|---|---|---|---|---|---|---|---|
| Nr. | % | |||||||||
| H. acutifolium (DC.) G. Don | α-Cadinene (25.1%), β-cedrene (19.1%), sabinene (8.1%), terpinen-4-ol (5.7%), and 8,14-cedranoxide (5.5%) | 0.1 | 92 | 97.7 | SH b | CHD c | GC, GC-MS | Aerial parts | Iran | [16] |
| H. buhsei Boiss. | β-Caryophyllene (12.9%), limonene (9.7%), β-pinene (7.9%), linalool (7.4%), α-pinene (6.4%), and 1,8-cineole (5.5%) | 0.35 | 36 | 92.2 | MH d | CHD | GC, GC-MS | FAP e | Iran | [17] |
| H. furfuraceum Bunge | Elemol (11.7%), β-eudesmol (10.1%), 1,8-cineole (9.3%), α-pinene (8.5%), β-pinene (7.7%), caryophyllene oxide (5.9%), and p-cymene (5.2%) | 0.35 | 33 | 98.1 | MH~OS g | CHD | GC, GC-MS | Aerial parts | Iran | [18] |
| H. glaberrimum Bunge | Myrcene (52.9%), elemol (10.6), and β-caryophyllene (8.9%) | 0.08 | 10 | 93.9 | MH | CHD | GC, GC-MS | Leaves | Iran | [19] |
| Myrcene (65.1%), α-thujene (5.4%), and trans-β-ocimene (4.7%) | 0.14 | 16 | 96.9 | Aerial parts | ||||||
| H. laeviusculum C. C. Towns. | β-Pinene (20.1%), α-phellandrene (11.7%), β-caryophyllene (7.6%), myrcene (6.8%), linalool (6.1%), and limonene (5.6%) | NA h | 36 | 95.7 | MH | CHD | GC, GC-MS | FAP | Iran | [20] |
| H. lissonotum C.C. Towns. | Caryophyllene oxide (26.9%), β-caryophyllene (12.2%), humulene epoxide II (8.3%), α-caryophyllene (7.2%), and caryophylla-4(14),8(15)-dien-5β-ol (7.1%) | 0.23 | 50 | 88.5 | OS | CHD | GC, GC-MS | Aerial parts | Iran | [21] |
| H. megalanthum Bornm. | Palmito-γ-lactone (45.8%), octadecatrienoic acid (10.7%), linoleic acid (6.5%), octadecatetraenoic acid (6.3%), and nonacosane (4.8%) | 0.1 | 58 | 91.7 | NH | CHD | GC, GC-MS | FAP | Turkey | [22] |
| H. myrtifolium Boiss. | PEE l: β-Caryophyllene (14.6%), decane (11.4%), and β-phellandrene (7.0%) | - | 47 | 69 | - | SPME n | GC-MS | Aerial parts | Turkey | [23] |
| CEAE m: Havibetol (21.9%), eugenol (19.1%), methyl- eugenol (10.8%), trans-linalool oxide (7.1%), and β-cyclocitral (6.0%) | 42 | 83.2 | NH | |||||||
| Linalool (12.8%), β-caryophyllene (10.3%), and methyl eugenol (5.9%) | NR | 97 | 85.3 | - | CHD | GC-MS | Aerial parts | Turkey | [24] | |
| H. perforatum Kar. & Kir. | Sabinene (52.7%), β-caryophyllene (10.8%), (2E,6E)-farnesyl acetone (10.3%), hexadecanoic acid (5.1%), β-pinene (5.0%), and cis-sabinene hydrate (4.9%) | - | 9 | 95.9 | MH | HS-SPME o | GC, GC-MS | Flowers | Iran | [25] |
| Sabinene (24.7%), β-caryophyllene (35.6%), elemol (17.4%), α-caryophyllene (4.6%), α-pinene (4.5%), and 1,8-cineole (4.3%) | 10 | 99.7 | SH | Leaves | ||||||
| Sabinene (26.2%), β-caryophyllene (8.8%), camphor (7.4%), limonene (6.3%), elemol (5.0%), β-phellandrene (4.9%), and α-pinene (4.6%) | 19 | 81.3 | MH | Stems | ||||||
| H. robustum Bunge | Sabinene (30.5%), β-pinene (18.2%), and limonene (12.1%) | 0.5 | 23 | 86.1 | MH | CHD | GC-MS | Aerial parts | Iran | [26] |
| 1,8-Cineole (38.1%), myrcene (10.7%), α-pinene (8.5%), terpinen-4-ol (7.0%), and sabinene (6.1%) | 30 | 99.2 | OM p | Whole plant | [27] | |||||
| cis-Sabinene hydrate (23.2%), 1,8-cineole (19.1%), γ-terpinene (10.3%), limonene (7.3%), and β-pinene (6.1%) | 1.1 | 13 | 82.7 | GC, GC-MS | Leaves | [28] | ||||
| 1,8-Cineole (27.7%), γ-terpinene (12.2%), cis-sabinene hydrate (11.5%), limonene (11.1%), and β-pinene (7.7%) | 0.39 | 12 | 82.7 | Stems | ||||||
| 1,8-Cineole (45.1%), limonene (12.3%), cis-sabinene hydrate (12.0%), γ-terpinene (6.7%), and β-pinene (6.1%) | 1.1 | 11 | 89.2 | Flowers | ||||||
| 1,8-Cineole (28.4%), limonene (13.8%), cis-sabinene hydrate (12.2%), γ-terpinene (10.1%), and β-pinene (8.7%) | 2.1 | 12 | 83.4 | Fruits | ||||||
| 1,8-Cineole (38.1%), myrcene (10.7%), α-pinene (8.5%), terpinen-4-ol (7.0%), sabinene (6.2%), methyl-geranate (4.7%), γ-terpinene (4.3%), and α-terpinene (3.4%) | 0.5 | 30 | 99.2 | OM | CHD | GC, GC-MS | Aerial parts | Iran | [29] | |
| H. tuberculatum Juss | Limonene (27.3%), and α-pinene (21.9%) | 0.35 | 18 | 79.7 | MH | CHD | GC, GC-MS | Aerial parts | Iran | [30] |
| α-Phellandrene (10.7-32.9%), β-caryophyllene (6.3-12.8%), β-pinene (7.6-8.0%), limonene (4.0-9.6%), and δ-3-carene (5.5-6.0%) q | 0.03 | 23 r | 80.2 r | MH | CHD | FAPCF u | United Arab Emirates | [31] | ||
| 29 s | 78.7 s | |||||||||
| Linalool (15.0%), linalyl acetate (10.6%), β-caryophyllene (9.7%), and α-terpineol (6.7%) t | 0.04 | 28 | 77.4 | OM | ||||||
| β-Phellandrene (23.3%), limonene (12.6%), β-ocimene (12.3%), β-caryophyllene (11.6%), myrcene (11.3%), and α-phellandrene (10.9%) | 0.21 | 30 | 99.7 | MH | GC-MS, 13C NMR | FTF v | Oman | [32] | ||
| Linalool (15.5%), α-pinene (7.9%), and limonene (5.3%) | 0.02 | 40 | 98.1 | GC, GC-MS | Aerial parts | Iran | [33] | |||
| trans-p-Menth-2-en-1-ol (19.2%), cis-p-menth-2-en-1-ol (13.2%), myrcene (10.1%), δ-3- carene (8.8%), β-phellandrene (6.9%), limonene (6.6%), cis-piperitol (6.4%), piperitone (4.1%), and trans-piperitol (4.0%) | NR | 37 | 96.4 | OM | ||||||
| FAP | Saudi Arabia | [34] | ||||||||
| Hexadecanoic acid (40.2%) and oleic acid (26.8%) | 1.54 | 18 | 93.5 | NH | Shoots | Tunisia | [35] | |||
| 2,4-Bis(1,1-dimethylethyl)-phenol (28.3%), piperitone (17. 8%), terpinen-4-ol (3.2.%), hexadec-1-ene (3.2%), β-phellandrene (3.0%), p-cymene-8-ol (2.9%), (1E,4E)-germacrene B (2.1%), octadec-1-ene (2.1%), and α-phellandrene (2.1%) | 0.91 | 26 | 82.5 | OM | Aerial parts | Algeria | [36] | |||
| α-Terpinene (26.4%), β-terpinene (17.1%), β-phellandrene (10.4%), γ-terpinene (9.1%), 3,7-dimethyl-cyclooctadiene (6.0%), and myrcene (5.7%) | 0.4 | 24 | 95.8 | MH | GC-FID, GC-MS | Aerial parts | Egypt | [37] | ||
| α-Terpinene (24.4%), β-terpinene (14.4%), β-phellandrene (10.0%), γ-terpinene (7.8%), 3,7-dimethyl-cyclooctadiene (6.7%), and myrcene (6.0%) | 1.5 | 28 | 97.0 | Flowers | ||||||
| cis-p-Menth-2-en-1-ol (16.8%), trans-p-menth-2-en-1-ol (16.2%), trans-piperitol (12.1%), limonene (8.1%), piperitone (6.7%) 1-octyl acetate (5.4%), and cis-piperitol (4.9%) | NR | 32 | 94.4 | OM | GG-MS | Leaves | Tunisia | [38] | ||
| Isobornyl acetate (13.8%), cis-p-menth-2-en-1-ol (12.4%), trans-p-menth-2-en-1-ol (11.2%), trans-piperitol (9.1%), piperitone (8.5%), 1-octyl acetate (7.4%), α-pinene (4.6%), and cis-piperitol (4.0%) | 24 | 94.3 | Stems | |||||||
| Piperitone (9.1%), 1-octyl acetate (8.8%), cis-p-menth-2-en-1-ol (8.7%), trans-p-menth-2-en-1-ol (8.2%), isobornyl acetate (7.8%), trans-piperitol (5.5%), limonene (5.2%), cryptone (4.5%), and α-pipene (3.9%) | 37 | 91.3 | Leaves and stems | |||||||
| H. virgatum Spach. | 2-Nonanone (28.4%), 2-undecanone (21.5%), 1,8-cineole (9.5%), caryophyllene oxide (6.8%), and linalool (5.0%) | 0.2 | 25 | 90.5 | NH | CHD | GC, GC-MS | Aerial parts | Iran | [18] |
| Valencene (14.6%), β-pinene (13.1%), limonene (8.8%), δ-3-carene (8.2%), aromadendrene (8.1%), and piperitone (6.8%) | 0.3 | 39 | 95.9 | MH | GC-MS | [39] | ||||
| Phytochemical Class | Phytochemical Compound | Haplophyllum spp. | References |
|---|---|---|---|
| Monoterpene hydrocarbons | α-Phellandrene | H. laeviusculum H. tuberculatum | [20,31,32,36] |
| α-Pinene | H. buhsei H. furfuraceum H. perforatum H. robustum H. tuberculatum | [17,18,25,27,28,29,30,33,38] | |
| α-Terpinene | H. robustum H. tuberculatum | [29,37] | |
| α-Thujene | H. glaberrimum | [19] | |
| β-Ocimene | H. tuberculatum | [32] | |
| β-Phellandrene | H. myrtifolium H. perforatum H. tuberculatum | [23,25,32,34,36,37] | |
| β-Pinene | H. buhsei H. furfuraceum H. laeviusculum H. perforatum H. robustum H. tuberculatum H. virgatum | [17,18,20,25,26,28,31,39] | |
| β-Terpinene | H. tuberculatum | [37] | |
| γ-Terpinene | H. robustum H. tuberculatum | [28,29,37] | |
| δ-3-Carene | H. tuberculatum H. virgatum | [31,34,39] | |
| p-Cymene | H. furfuraceum | [18] | |
| Cis-sabinene hydrate | H. perforatum H. robustum | [25,28] | |
| Isobornyl acetate | H. tuberculatum | [38] | |
| Limonene | H. buhsei H. laeviusculum H. perforatum H. robustum H. tuberculatum H. virgatum | [17,20,25,26,28,29,30,31,32,33,34,38,39] | |
| Myrcene | H. glaberrimum H. laeviusculum H. robustum H. tuberculatum | [19,20,27,32,34,37] | |
| Sabinene | H. acutifolium H. perforatum H. robustum | [16,25,26,27,29] | |
| Trans-β-ocimene | H. glaberrimum | [19] | |
| Non-terpene hydrocarbons | 1-Octyl acetate | H. tuberculatum | [38] |
| 2,4-Bis(1,1-dimethylethyl)-phenol | H. tuberculatum | [36] | |
| 3,7-Dimethyl-cyclooctadiene | H. tuberculatum | [37] | |
| (2E,6E)-Farnesyl acetone | H. perforatum | [25] | |
| 2-Nonanone | H. virgatum | [18] | |
| 2-Undecanone | H. virgatum | [18] | |
| β-Cyclocitral | H. myrtifolium | [23] | |
| Decane | H. myrtifolium | [23] | |
| Eugenol | H. myrtifolium | [23] | |
| Havibetol | H. myrtifolium | [23] | |
| Hexadec-1-ene | H. tuberculatum | [36] | |
| Hexadecanoic acid | H. perforatum H. tuberculatum | [25,35] | |
| Linoleic acid | H. megalanthum | [22] | |
| Methyl-eugenol | H. myrtifolium | [23,24] | |
| Methyl-geranate | H. robustum | [29] | |
| Nonacosane | H. megalanthum | [22] | |
| Octadec-1-ene | H. tuberculatum | [36] | |
| Octadecatrienoic acid | H. megalanthum | [22] | |
| Octadecatetraenoic acid | H. megalanthum | [22] | |
| Oleic acid | H. tuberculatum | [35] | |
| Palmito-γ-lactone | H. megalanthum | [22] | |
| Oxygenated monoterpenes | 1,8-Cineole | H. buhsei H. furfuraceum H. perforatum H. robustum H. virgatum | [17,18,25,27,28,29,39] |
| α-Terpineol | H. tuberculatum | [31] | |
| p-Cymene-8-ol | H. tuberculatum | [36] | |
| Camphor | H. perforatum | [25] | |
| Cis-p-menth-2-en-1-ol | H. tuberculatum | [34,38] | |
| Cis-piperitol | H. tuberculatum | [34,38] | |
| Cryptone | H. tuberculatum | [38] | |
| Linalool | H. buhsei H. laeviusculum H. myrtifolium H. tuberculatum H. virgatum | [17,18,20,24,31,33] | |
| Linalyl acetate | H. tuberculatum | [31] | |
| Piperitone | H. tuberculatum H. virgatum | [34,36,38,39] | |
| Terpinen-4-ol | H. acutifolium H. robustum H. tuberculatum | [16,27,29,36] | |
| Trans-p-menth-2-en-1-ol | H. tuberculatum | [34,38] | |
| Trans-linalool oxide | H. myrtifolium | [23] | |
| Trans-piperitol | H. tuberculatum | [34,38] | |
| Oxygenated sesquiterpenes | 8,14-Cedranoxide | H. acutifolium | [16] |
| β-Eudesmol | H. furfuraceum | [18] | |
| Caryophyllene oxide | H. furfuraceum H. lissonotum H. virgatum | [18] | |
| Caryophylla-4(14),8(15)-dien-5β-ol | H. lissonotum | [21] | |
| Elemol | H. furfuraceum H. glaberrimum H. perforatum | [18,19,25] | |
| Humulene epoxide II | H. lissonotum | [21] | |
| Sesquiterpene hydrocarbons | (1E,4E)-Germacrene B | H. tuberculatum | [36] |
| α-Cadinene | H. acutifolium | [16] | |
| α-Caryophyllene | H. lissonotum H. perforatum | [21,25] | |
| β-Cedrene | H. acutifolium | [16] | |
| β-Caryophyllene | H. buhsei H. glaberrimum H. laeviusculum H. lissonotum H. myrtifolium H. perforatum H. tuberculatum | [17,19,20,21,23,24,25,31,32] | |
| Aromadendrene | H. virgatum | [39] | |
| Valencene | H. virgatum | [39] |
| Plant Species | Compounds | Extraction Solvent | Analysis Method | Studied Organs | Country | Reference |
|---|---|---|---|---|---|---|
| H. acutifolium (DC.) G. Don | Haplacutine A, haplacutine B, haplacutine C, haplacutine D, acutine, haplamine, haplacutine E, haplacutine F, and 2-nonyl-quinolin-4(1H)-one | Ethyl acetate | HPLC-PDA-MS, SPE-NMR, UV and IR | Aerial parts | Iran | [43] |
| Acutine, skimmianine, and acetamide | Chloroform | CC, UV, TLC, NMR and MS | Epigeal parts | Turkmenistan | [44] | |
| Skimmianine and evoxine | N.D. | N.D. | N.D. | Tajikistan | [45] | |
| β-Sitosterol, cholesterol, oleanolic acid, haplophytin-A, haplophytin-B, haplotin, flindersine, and kusunokinin | Methanol | CC, UV, NMR and MS | Whole plant | Pakistan | [46,47] | |
| Eudesmin | Ethereal eluates | CC, IR, UV, NMR, and MS | Epigeal parts | Uzbekistan | [46,48] | |
| H. alberti-regelii Korovin | Diphyllin | Methanol | CC, IR, UV, NMR, and MS | Tajikistan | [49] | |
| H. boissierianum Beck | ECNP | Methanol and ethanol | Phytochemical screening | Aerial parts | Serbia | [50] |
| H. bucharicum Litv. | Diphyllin | Methanol | CC, IR, UV, NMR, and MS | Epigeal parts | Tajikistan | [49] |
| β-Sitosterol, stigmasterol, campesterol, cholesterol, skimmianine, bucharaine, and 3-dimethylallyl-4-dimethylallyloxy-2-quinoline | CC, IR, NMR, and MS | Aerial parts | Russia (Dagestan republic) | [49] | ||
| Diphyllin, 4-acetyl-diphyllin, bucharaine, skimmianine, bucharaminol, bucharidine, 4-hydroxyquinolin-2-one, 4-methoxyquinolin-2-onem and justicidin B | MP, CC, and NMR | Uzbekistan (different districts) | [51] | |||
| Skimmianine, dictamnine, γ-fagarine, robustine, haplopine, flindersine, and haplamine | MP, CC, and NMR | Roots | Uzbekistan (Surkhandarinskii district) | [51] | ||
| Bucharaine, skimmianine, haplopine, folifine, bucharidine, γ-fagarine, robustine, and benzamide | Chloroform and phenolic partitions | CC, IR, UV, and NMR | Mother liquor from the roots | Turkmenistan | [52] | |
| H. bungei Trautv. | Skimmianine, haplopine, haplamine, γ-fagarine and POCS | Methanol | HPLC-UV | Leaves | Uzbekistan | [53] |
| Dictamnine, skimmianine, folimine, robustinine, 4-methoxyquinolin-2-one, and haplobungine | CC, UV, IR, MS, NMR, and MP | Epigeal parts | Kazakhstan | [54] | ||
| Osthole, 7-(3′,3′-dimethylallyloxy)-6-methoxycoumarin, and 5-hydroxy-7-methoxycoumarin | Chloroform | MP, IR, and NMR | Turkmenistan | [55] | ||
| Scopoletin, isoscopoletin, and bungeidiol | N.D. | CC, MP, IR, and NMR | Azerbaijan | [56] | ||
| H. canaliculatum Boiss. | 7-Isopentenyloxy-γ-fagarine, atanine, skimmianine, flindersine, and perfamine | Methanol | CC, HPLC-UV, and NMR | Aerial parts | Iran | [57] |
| H. cappadocicum Spach | Isodaurinol, daurinol, justicidin A, justicidin B, diphyllin, matairesinol, dictamnine, robustine, haplopine, skimmianine, scopoletin, and seselin | Ethanol | CC, NMR, UV, and MS | Whole plant | Turkey | [58] |
| (−)-Cappadoside, (−)-cappodicin, and (−)-haplodoside | IR, NMR, MS, and UV | Turkey | [59] | |||
| (−)-haplomyrtoside, (−)-majidine, (−)-lβ-polygamain, and vanillic acid | CC, UV, IR, NMR, and MS | Iran | [60] | |||
| Malatyamine | CC, IR, NMR, and MS | Turkey | [61] | |||
| H. dauricum (L.) G. Don | Justicidin B, daurinol, umbelliferone, umbelliferone 7-O-β-D-glucoside, 5,7-dihydroxy-coumarin, and dauroside D | Ripartition in chloroform, CC, IR, UV, NMR, and MS | Epigeal parts | Mongolia | [62] | |
| Dauroside A and dauroside B | CC, UV, IR, αD, NMR, and MS | [63,64] | ||||
| Diphyllin, scopoletin, dauroside C, haploside B, and haploside D | N.D. | CC, IR, NMR, and MS | Whole plant | N.D. | [65] | |
| Robustine, dictamnine, γ-fagarine, haplopine, skimmianine, 4-methoxy-N-methyl-2-quinolone, folimine, robustinine, and daurine | Methanol | CC, UV, IR, NMR, and MS | Roots | Mongolia | [66] | |
| H. dshungaricum Rubtzov | Seselin and xanthyletin | Ethanol | CC, TLC, MP, IR, and NMR | Whole plant | Kazakhstan | [67] |
| H. dubium Korovin | Scopoletin, scopolin, haploside B, and haploside D | CC, MP, UV, NMR, and MS | Epigeal parts | Tajikistan | [68] | |
| H. foliosum Vved. | Foliosidine, haplodimerine, skimmianine, N-methyl-2-phenyl-4-quinolone, foliosine, and folimine | Chloroform | CC, IR, UV, NMR, and MS | N.D. | [46] | |
| Folimine, foliosidine, dubinidine, foliosine, edulinine, folidine, and ferulic acid | Methanol | CC, IR, UV, NMR, and MS | Tajikistan | [69,70] | ||
| Isorhamnetin, haploside C, and limocitrin-7-O-β-D-(6″-O acetyl)-glucoside | Ethanol | CC, UV, NMR, and MS | Aerial parts | Kyrgyzstan | [71] | |
| H. glaberrimum Bunge | ECNP | N.D. | Phytochemical screening | Uzbekistan | [72] | |
| H. griffithianum Boiss. | Skimmanine, dictamnine, dubinine, dubinidine, gerphytine, dubamine, and N-methylhaplofoline | Methanol | CC, IR, UV, NMR, MS, and X-ray | Whole plant | Uzbekistan | [73,74] |
| Dubamine, dubinine, dubinidine, dictamnine, skimmianine, N-methylhaplofoline, gerphytine, and griffithine | CC, IR, UV, NMR, and MS | Aerial parts | Uzbekistan | [75] | ||
| Flindersine, folimine, and evoxine | MP, TLC, UV, IR, NMR, and MS | Epigeal parts | Uzbekistan | [76] | ||
| H. kowalenskyi Stschegl. | Skimmianine and γ-fagarine | CC and TLC | Epigeal parts | Azerbaijan | [77] | |
| H. latifolium Kar. & Kir. | Skimmianine, evoxine haplopine, glycoperine, 7-isopentenyloxy-γ-fagarine, haplamine, haplamide, haplamidine, and haplatine | CC, UV, IR, NMR, and MS | Whole plant | Kazakhstan | [78,79] | |
| Skimmianine, haplopine, haplamine, and POCS | HPLC-UV | Leaves | Uzbekistan | [53] | ||
| H. leptomerum Lincz. & Vved. | Isorhamnetin and haploside D | Ethanol | CC, MP, UV, NMR, and MS | Epigeal parts | Tajikistan | [68] |
| β-Sitosterol, γ-fagarine, skimmianine, N-methyl-2-phenyl-4-quinolone, and leptomerine | MP, CC, UV, and NMR | Tajikistan | [80] | |||
| Skimmianine, γ-fagarine, N-methyl-2-phenyl-4-quinolone, acutine, leptomerine, 2-heptylquinolin-4-one, and dictamnine | Methanol | CC, TLC, and NMR | Aerial parts | Tajikistan | [81] | |
| γ-Fagarine and dictamnine | CC, TLC, and NMR | Roots | Tajikistan | [81] | ||
| H. multicaule Vved. | β-Sitosterol, seselin and xanthyletin | Ethanol | CC, TLC, IR, NMR, and MP | Whole plant | Kazakhstan | [67] |
| H. myrtifolium Boiss. | Dictamnine, robustine, γ-fagarine, skimmianine, (-)-1β-polygamain, 7-O-(3-methyl-2-butenyl)-isodaurinol, and chrysosplenetin | CC, PTLC, UV, NMR, and MS | Aerial parts | Turkey | [82] | |
| Haplomyrtin and (−)-haplomyrfolin | CC, TLC, UV, NMR, and MS | Whole plant | Turkey | [83] | ||
| H. pedicellatum Bunge ex Boiss. | Scopoletin, 6-methoxymarmin, 7-geranyloxy-6-methoxycoumarin, and pedicellone | N.D. | TLC, CC, αD, IR, UV, and NMR | N.D. | N.D. | [84] |
| γ-Fagarine, skimmianine, haplopine, haplamine, and POCS | Methanol | HPLC-UV | Leaves | Uzbekistan | [53] | |
| Skimmianine, γ-fagarine, haplopine, and robustine | CC, IR, UV, and NMR | Epigeal parts | Uzbekistan | [52] | ||
| Haploside A, haploside B, and haploside C | Ethanol | CC, UV, NMR, and MS | Ground parts | Turkmenistan | [71] | |
| ECNP | N.D. | TFC methods | Aerial parts | Iran | [72] | |
| H. perforatum Kar. & Kir. | Evoxine, haplopine, haplamine, skimmianine, and haplosamine | Methanol | CC, IR. UV, NMR, and MS | Epigeal parts | Kazakhstan | [85] |
| Perforine, skimmianine, haplamine, haplopine, bucharaine, haplophyllidine, flindersine, and γ-fagarine | HPLC-UV | Leaves | Uzbekistan | [53] | ||
| Evoxine, skimmianine, haplophyllidine, anhydroperlorine, flindersine, haplamine, and acetyl-haplophyllidine | CC, IR, UV, NMR, and MS | Aerial parts | Uzbekistan | [86] | ||
| skimmianine, evoxine, 7-isopentenyloxy-γ-fagarine, perfamine, flindersine, haplamine, and eudesmin | CC, UV, MP, NMR, and MS | Epigeal parts | Uzbekistan | [87] | ||
| Haplosinine, glycoperine, glucohaplopine, skimmianine, evoxine, haplamine, and 7-isopentenyloxy-γ-fagarine | CC, MP, NMR, and MS | Romania | [88,89] | |||
| 7-Isopentyloxy-γ-fagarine, skimmianine, evoxine, methylevoxine, glycoperine, haplamine, and flindersine | CC, UV, IR, NMR, and MS | Seeds and roots | Tajikistan | [90] | ||
| Diphyllin | CC, IR, UV, NMR, and MS | Epigeal parts | Tajikistan | [49] | ||
| Scopoletin, scopoletin 7-O-β-D-glucopyranoside, and haploperoside A | Ethanol | CC, UV, αD, IR, NMR, and MS | Kazakhstan | [91] | ||
| Haploperoside B | Butanol | CC, UV, αD, IR, NMR, and MS | Kazakhstan | [91] | ||
| Haploside A, haploside C, and haploside D | Ethanol | CC, αD, UV, IR, NMR, and MS | Kazakhstan | [92,93] | ||
| Haploside E, haplogenin, and limocitrin-7-O-β-D-(6″-O-acetyl)-glucoside | CC, αD, UV, IR, NMR, and MS | Kazakhstan | [94] | |||
| H. ptilosyylum Spach | Justicin B, isodaurinol, matairesinol, arctigenin, (-)1β-polygamain, 4-[6″,7″-dihydroxygeranoyl]-matairesinol, 4-isopentylhaplomyrfolin A, 4-isopentylhaplomyrfolin B, picropolygamain, ptilostin, ptilostol, and ptilin | Methanol | CC, αD, UV, NMR, and MS | Aerial parts | Turkey | [95,96,97] |
| H. ramosissimum (Paulsen) Vved. | Skimmianine, haplopine, Haplamine, and γ-fagarine | HPLC-UV | Leaves | Uzbekistan | [53] | |
| Skimmianine, dictamnine, evoxine, scopoletin, and scoparone | CC, MP, IR, UV, NMR, and MS | Epigeal parts | Kazakhstan | [98] | ||
| H. robustum Bunge | ECNP | N.D. | Preliminary qualitative methods | Aerial parts | Iran | [72] |
| H. schelkovnikovii Grossh. | β-Sitosterol, obtusifol, and POCS | Chloroform and methanol | TLC, NMR, and IR | Epigeal parts | Azerbaijan | [99] |
| Skimmianine and γ-fagarine | Methanol | CC and TLC | Azerbaijan | [77] | ||
| H. sieversii Fisch. | Flindersine, haplamine, anhydroevoxine, and eudesmin | Petroleum ether | CC, TLC, HPLC-UV, NMR, and MS | Aerial parts | Kazakhstan | [100] |
| H. suaveolens Ledeb. | Flindersine, γ-fagarine, kokusaginine, and haplophyllidine | Chloroform and benzene | CC, IR, UV, NMR, and MS | Whole plant | Turkey | [95] |
| ECNP | Methanol and ethanol | Phytochemical screening | Aerial parts | Serbia | [50] | |
| H. tenue Boiss. | Skimmianine and γ-fagarine | Methanol | CC and TLC | Epigeal parts | Azerbaijan | [77] |
| H. telephioides Boiss. | 7-Hydroxy-9-methoxy-flindersine, diphyllin, 4-acetyl-diphyllin, and haplomyrtin | Ethanol | CC, UV, IR, NMR, and MS | Whole plant | Turkey | [96] |
| H. thesioides (Fisch. ex DC.) G.Don | Flindersine, kokusaginine, skimmianine, pteleine, nkolbisine, haplopline, haplosine, thesiolen, seselin, scoparone, and angustifolin | Chloroform | CC, IR, UV, NMR, and MS | Aerial parts | Turkey | [97] |
| H. tuberculatum Juss. | γ-Fagarine, skimmianine, and evoxine | Hot ethanol | CC, TLC, IR, UV, NMR, and MS | Iraq | [101] | |
| Flindersine and 3-dimethylallyl- 4-dimethylallyloxy-2-quinolone | n-Hexane | CC, IR, UV, NMR, and MS | Leaves and stems | Palestine | [102] | |
| (+)-Dihydroperfamine, 3-dimethylallyl-4-dimethylallyloxy-2-quinolone, tubasenecine, tubacetine, 7-hydroxy-8-(3-methyl-2-butenyl)-4-methoxyfuro2,3b-quinoline, justicidin A, and justicidin B | Dichloromethane | CC, TLC, UV, IR, NMR, and MS | Aerial parts | Saudi Arabia | [103] | |
| Tuberine | Petroleum ether and chloroform | CC, IR, UV, NMR, and MS | Lybia | [104,105] | ||
| Skirnmianine, justicidin A, and diphyllin | Chloroform | CC, IR, UV, NMR, and MS | Sudan | [106] | ||
| ECNP | N.D. | Preliminary qualitative methods | Iran | [72] | ||
| Haplotubinone, haplotubine, dyphyllin, and N-(2-phenylethyl)-benzamide | Dichloromethane | CC, IR, UV, NMR, MS, and X-ray | Saudi Arabia | [107] | ||
| Skimmianine and γ-fagarine | Petroleum ether | CC, TLC, NMR, and MS | Iraq | [108] | ||
| Ammoidin and POCS | TLC, MP, and HPLC-UV | |||||
| 1-Hydroxy-3-(hydroxymethyl)-6,7-dimethoxy-4-(3,4-methylenedioxyphenyl)- 2-naphthoic acid γ-lactone, and (−)-secoisolariciresinol | Methanol | CC, IR, HPLC-UV, NMR, and MS | Whole plant | Egypt | [109] | |
| 5,7,4′-Trihydroxy-6-methoxy-3-O-glucosyl flavone | Ethyl acetate | CC, IR, UV, NMR, and MS | Aerial parts | Sudan | [106] | |
| justicidin A, justicidin B, tuberculatin, and acetyl-tuberculatin | Methanol | CC, TLC, NMR, and HPLC-DAD | Aerial parts | Spain | [110] | |
| H. vulcanicum Boiss. & Heldr. | Vulcanine, dictamnine, γ-fagarine, robustine, haplopine, skimmianine, nigdenine, scopoletin, umbelliferone, (−)-haplomyrfolin, kusunokinin, diphyllin, syringarasinol, tuberculatin, haplomyrfolol, and konyanin | Ethanol | CC, IR, UV, NMR, and MS | Whole plant | Turkey | [111,112,113] |
| Phytochemical Class | Phytochemical Compound | Haplophyllum spp. | References |
|---|---|---|---|
| Alkaloids | 2-Heptylquinolin-4-one | H. leptomerum | [81] |
| 2-Nonyl-quinolin-4(1H)-one | H. acutifolium | [43] | |
| 3-Dimethylallyl-4-dimethylallyloxy-2-quinoline | H. bucharicum H. tuberculatum | [49,102,103] | |
| 4-Hydroxyquinolin-2-one | H. bucharicum | [51] | |
| 4-Methoxyquinolin-2-one | H. bucharicum H. bungei | [51,54] | |
| 4-Methoxy-N-methyl-2-quinolone | H. dauricum | [66] | |
| 7-Hydroxy-9-methoxy-flindersine | H. telephioides | [96] | |
| 7-Hydroxy-8-(3-methyl-2-butenyl)-4-methoxyfuro2,3b-quinoline | H. tuberculatum | [103] | |
| 7-Isopentenyloxy-γ-fagarine | H. canaliculatum H. latifolium H. perforatum | [57,78,87,89,90] | |
| γ-Fagarine | H. bucharicum H. bungei H. dauricum H. kowalenskyi H. leptomerum H. myrtifolium H. pedicellatum H. perforatum H. ramosissimum H. schelkovnikovii H. suaveolens H. tenue H. tuberculatum H. vulcanicum | [51,52,53,66,77,80,81,82,95,101,108,111] | |
| N-methyl-2-phenyl-4-quinolone | H. foliosum H. leptomerum | [43,80,81] | |
| N-methylhaplofoline | H. griffithianum | [73,75] | |
| (+)-Dihydroperfamine | H. tuberculatum | [103] | |
| Acutine | H. acutifolium H. leptomerum | [43,81] | |
| Anhydroevoxine | H. sieversii | [100] | |
| Anhydroperlorine | H. perforatum H. sieversii | [86] | |
| Acetyl-haplophyllidine | H. perforatum | [86] | |
| Atanine | H. canaliculatum | [57] | |
| Bucharaine | H. bucharicum H. perforatum | [49,51,52,53] | |
| Bucharaminol | H. bucharicum | [51] | |
| Bucharidine | H. bucharicum | [51,52] | |
| Daurine | H. dauricum | [66] | |
| Dictamnine | H. bucharicum H. bungei H. cappadocicum H. dauricum H. griffithianum H. leptomerum H. myrtifolium H. ramosissimum H. vulcanicum | [51,53,54,58,66,73,75,81,82,98,111] | |
| Dubamine | H. griffithianum | [73,75] | |
| Dubinine | H. griffithianum | [73,75] | |
| Dubinidine | H. foliosum H. griffithianum | [70,73,75] | |
| Edulinine | H. foliosum | [70] | |
| Evoxine | H. acutifolium H. griffithianum H. latifolium H. perforatum H. ramosissimum H. tuberculatum | [45,76,78,85,86,87,89,90,98,101] | |
| Flindersine | H. acutifolium H. bucharicum H. canaliculatum H. griffithianum H. perforatum H. sieversii H. suaveolens H. thesioides H. tuberculatum | [47,51,53,57,75,86,87,90,95,97,100,102] | |
| Folidine | H. foliosum | [70] | |
| Folifine | H. bucharicum | [52] | |
| Folimine | H. bungei H. dauricum H. foliosum H. griffithianum | [46,54,66,69,76] | |
| Foliosidine | H. foliosum | [46,69] | |
| Foliosine | H. foliosum | [46,70] | |
| Gerphytine | H. griffithianum | [74,75] | |
| Glucohaplopine | H. perforatum | [89,90] | |
| Glycoperine | H. perforatum | [89] | |
| Griffithine | H. griffithianum | [75] | |
| Haplacutine A | H. acutifolium | [43,44] | |
| Haplacutine B | H. acutifolium | [43] | |
| Haplacutine C | H. acutifolium | [43] | |
| Haplacutine D | H. acutifolium | [43] | |
| Haplacutine E | H. acutifolium | [43] | |
| Haplacutine F | H. acutifolium | [43] | |
| Haplamide | H. latifolium | [78] | |
| Haplamidine | H. latifolium | [78] | |
| Haplamine | H. acutifolium H. bucharicum H. bungei H. latifolium H. pedicellatum H. perforatum H. ramosissimum H. sieversii | [43,51,53,78,85,86,87,89,90,100] | |
| Haplatine | H. latifolium | [79] | |
| Haplobungine | H. bungei | [54] | |
| Haplodimerine | H. foliosum | [46] | |
| Haplophyllidine | H. perforatum H. suaveolens | [53,86,95] | |
| Haplopine | H. bucharicum H. bungei H. cappadocicum H. dauricum H. latifolium H. pedicellatum H. perforatum H. ramosissimum H. thesioides H. vulcanicum | [51,52,53,58,66,78,85,97,111] | |
| Haplosamine | H. perforatum | [85] | |
| Haplosinine | H. perforatum H. thesioides | [88,97] | |
| Haplotin | H. acutifolium | [46] | |
| Haplotubine | H. tuberculatum | [107] | |
| Haplotubinone | H. tuberculatum | [107] | |
| Haplophytin-A | H. acutifolium | [47] | |
| Haplophytin-B | H. acutifolium | [47] | |
| Kokusaginine | H. suaveolens H. thesioides | [95,97] | |
| Leptomerine | H. leptomerum | [80,81] | |
| Malatyamine | H. cappadocicum | [61] | |
| Methylevoxine | H. perforatum | [90] | |
| Nigdenine | H. vulcanicum | [111] | |
| Nkolbisine | H. thesioides | [97] | |
| Perfamine | H. canaliculatum H. perforatum | [57,87] | |
| Perforine | H. perforatum | [53] | |
| Pteleine | H. thesioides | [97] | |
| Robustine | H. bucharicum H. cappadocicum H. dauricum H. myrtifolium H. pedicellatum H. vulcanicum | [51,52,58,66,82,111] | |
| Robustinine | H. bungei H. dauricum | [54,62] | |
| Skimmianine | H. acutifolium H. bucharicum H. bungei H. canaliculatum H. cappadocicum H. dauricum H. foliosum H. griffithianum H. kowalenskyi H. latifolium H. leptomerum H. myrtifolium H. pedicellatum H. perforatum H. ramosissimum H. schelkovnikovii H. tenue H. thesioides H. tuberculatum H. vulcanicum | [44,45,46,49,51,52,53,54,57,58,66,73,74,77,78,80,81,82,85,86,87,89,90,97,98,101,106,108,111] | |
| Tubacetine | H. tuberculatum | [103] | |
| Tubasenecine | H. tuberculatum | [103] | |
| Tuberine | H. tuberculatum | [104,105] | |
| Vulcanine | H. vulcanicum | [112] | |
| Coumarins | 5,7-Dihydroxy-coumarin | H. dauricum | [62] |
| 5-Hydroxy-7-methoxycoumarin | H. bungei | [55] | |
| 6-Methoxymarmin | H. pedicellatum | [84] | |
| 7-(3′,3′-Dimethylallyloxy)-6-methoxycoumarin | H. bungei | [55] | |
| 7-Geranyloxy-6-methoxycoumarin | H. pedicellatum | [84] | |
| Ammoidin | H. tuberculatum | [108] | |
| Angustifolin | H. thesioides | [97] | |
| Bungeidiol | H. bungei | [56] | |
| Dauroside A | H. dauricum | [63,64] | |
| Dauroside B | H. dauricum | [63,64] | |
| Dauroside C | H. dauricum | [65] | |
| Dauroside D | H. dauricum | [60] | |
| Haploperoside A | H. perforatum | [91] | |
| Haploperoside B | H. perforatum | [91] | |
| Isoscopoletin | H. bungei | [56] | |
| Obtusifol | H. schelkovnikovii | [99] | |
| Osthole | H. bungei | [55] | |
| Pedicellone | H. pedicellatum | [84] | |
| Ptilin | H. ptilosyylum | [96,97] | |
| Ptilostin | H. ptilosyylum | [96,97] | |
| Ptilostol | H. ptilosyylum | [96,97] | |
| Scoparone | H. ramosissimum H. thesioides | [97,98] | |
| Scopoletin | H. bungei H. cappadocicum H. dauricum H. dubium H. pedicellatum H. perforatum H. ramosissimum H. vulcanicum | [56,58,62,68,84,91,98,111] | |
| Scopoletin 7-O-β-D-glucopyranoside | H. perforatum | [91] | |
| Scopolin | H. dubium | [68] | |
| Seselin | H. cappadocicum H. dshungaricum H. multicaule H. thesioides | [58,67,97] | |
| Yhesiolen | H. thesioides | [97] | |
| Umbelliferone | H. dauricum H. vulcanicum | [62,111] | |
| Umbelliferone 7-O-β-D-glucoside | H. dauricum | [62] | |
| Xanthyletin | H. dshungaricum H. multicaule | [67] | |
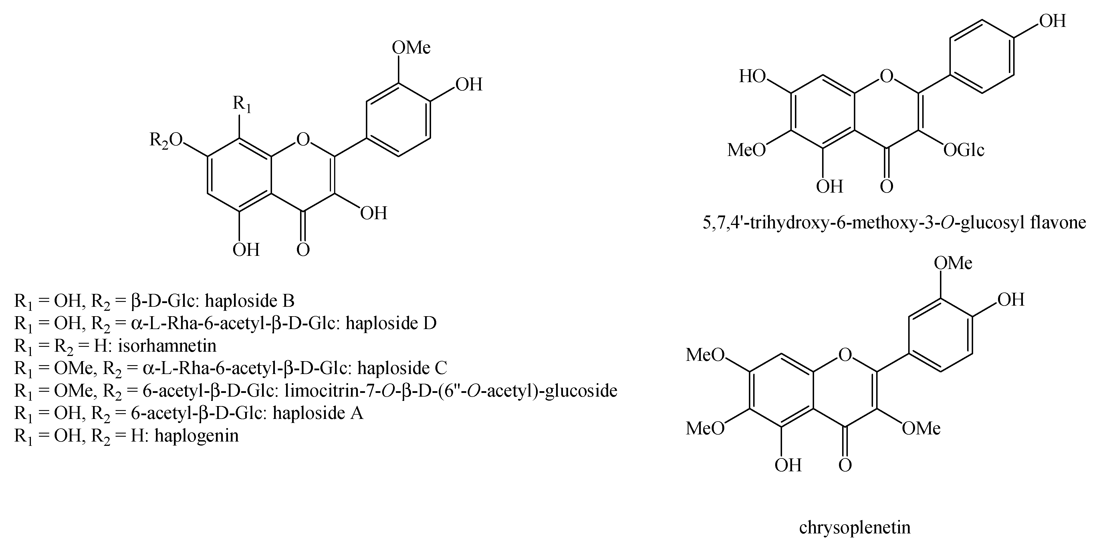
| Flavonoids | 5,7,4′-Trihydroxy-6-methoxy-3-O-glucosyl flavone | H. tuberculatum | [106] |
| Chrysosplenetin | H. myrtifolium | [82] | |
| Haplogenin | H. perforatum | [94] | |
| Haploside A | H. pedicellatum H. perforatum | [71,102] | |
| Haploside B | H. dauricum H. dubium H. pedicellatum | [65,68,71] | |
| Haploside C | H. foliosum H. pedicellatum H. perforatum | [71,93] | |
| Haploside D | H. dauricum H. dubium H. leptomerum H. perforatum | [65,68,93] | |
| Haploside E | H. perforatum | [94] | |
| Isorhamnetin | H. foliosum H. leptomerum | [68,71] | |
| Limocitrin-7-O-β-D-(6″-O acetyl)-glucoside | H. foliosum H. perforatum | [71,94] | |
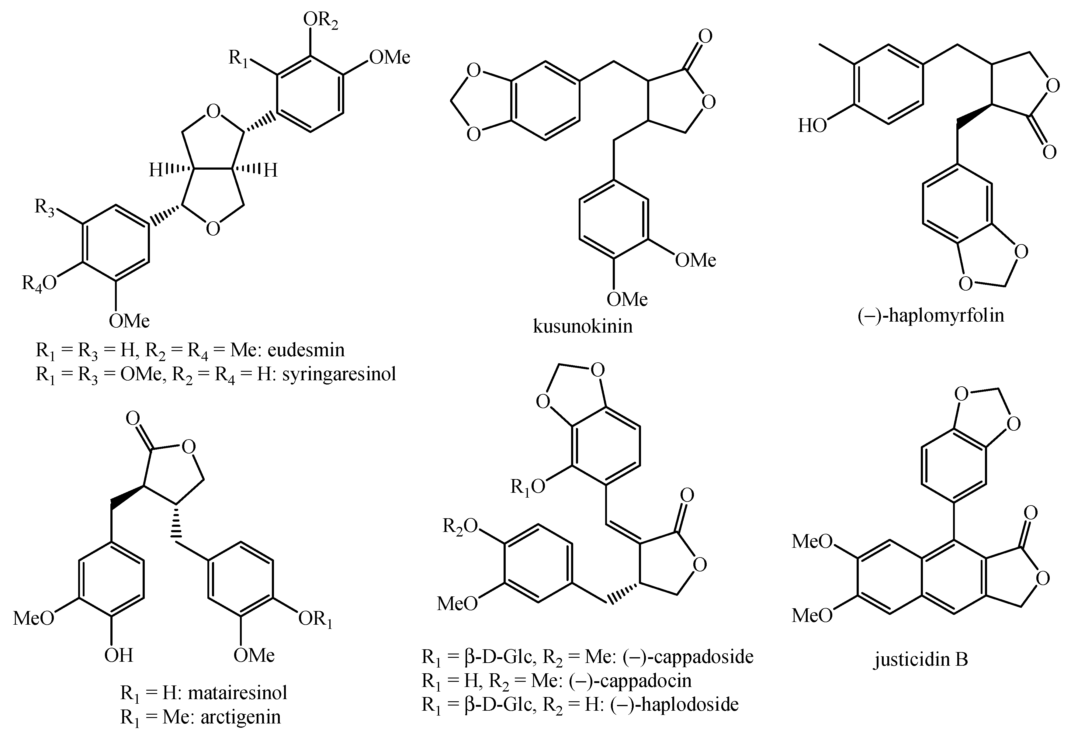
| Lignans | 1-Hydroxy-3-(hydroxymethyl)-6,7-dimethoxy-4-(3,4-methylenedioxyphenyl)-2-naphthoic acid γ-lactone | H. tuberculatum | [109] |
| 4-[6″,7″-Dihydroxygeranoyl]-matairesinol | H. ptilosyylum | [95] | |
| 4-Acetyl-diphyllin | H. bucharicum H. telephioides | [51,96] | |
| 4-Isopentylhaplomyrfolin A | H. ptilosyylum | [95,96] | |
| 4-Isopentylhaplomyrfolin B | H. ptilosyylum | [95,96] | |
| 7-O-(3-Methyl-2-butenyl)-isodaurinol | H. myrtifolium | [82] | |
| (−)-lβ-Polygamain | H. cappadocicum H. myrtifolium H. ptilosyylum | [60,82,95,96] | |
| (−)-Cappodicin | H. cappadocicum | [59] | |
| (−)-Cappadoside | H. cappadocicum | [59] | |
| (−)-Haplodoside | H. cappadocicum | [59] | |
| (−)-Haplomyrfolin | H. myrtifolium H. vulcanicum | [83,111] | |
| (−)-Haplomyrtoside | H. cappadocicum | [60] | |
| (−)-Majidine | H. cappadocicum | [60] | |
| (−)-Secoisolariciresinol | H. tuberculatum | [109] | |
| Acetyl-tuberculatin | H. tuberculatum | [110] | |
| Arctigenin | H. ptilosyylum | [95,96] | |
| Daurinol | H. cappadocicum H. dauricum | [58,62] | |
| Diphyllin | H. alberti-regelii H. bucharicum H. cappadocicum H. dauricum H. perforatum H. telephioides H. tuberculatum H. vulcanicum | [49,51,58,65,96,106,111] | |
| Eudesmin | H. acutifolium H. perforatum H. sieversii | [46,48,87,100] | |
| Haplomyrtin | H. myrtifolium H. telephioides | [82,96] | |
| Haplomyrfolol | H. vulcanicum | [111] | |
| Isodaurinol | H. cappadocicum H. ptilosyylum | [58,95,96] | |
| Justicidin A | H. cappadocicum H. tuberculatum | [58,103,106,110] | |
| Justicidin B | H. bucharicum H. cappadocicum H. dauricum H. ptilosyylum H. tuberculatum | [51,58,62,95,96,103,110] | |
| Konyanin | H. vulcanicum | [112] | |
| Kusunokinin | H. acutifolium H. vulcanicum | [47,111] | |
| Matairesinol | H. cappadocicum H. ptilosyylum | [58,95,96] | |
| Picropolygamain | H. ptilosyylum | [95,96] | |
| Syringarasinol | H. vulcanicum | [111] | |
| Tuberculatin | H. tuberculatum | [110] | |
| Others | N-(2-Phenylethyl)-benzamide | H. tuberculatum | [107] |
| Acetamide | H. acutifolium | [44] | |
| Benzamide | H. bucharicum | [52] | |
| Ferulic acid | H. foliosum | [70] | |
| Vanillic acid | H. cappadocicum | [60] | |
| Terpenoids | β-Sitosterol | H. acutifolium H. bucharicum H. leptomerum H. multicaule H. schelkovnikovii | [47,49,67,80,99] |
| Campesterol | H. bucharicum | [49] | |
| Cholesterol | H. acutifolium H. bucharicum | [47,49] | |
| Oleanolic acid | H. acutifolium | [47] | |
| Stigmasterol | H. bucharicum | [49] |
Publisher’s Note: MDPI stays neutral with regard to jurisdictional claims in published maps and institutional affiliations. |
© 2021 by the authors. Licensee MDPI, Basel, Switzerland. This article is an open access article distributed under the terms and conditions of the Creative Commons Attribution (CC BY) license (https://creativecommons.org/licenses/by/4.0/).
Share and Cite
Mohammadhosseini, M.; Venditti, A.; Frezza, C.; Serafini, M.; Bianco, A.; Mahdavi, B. The Genus Haplophyllum Juss.: Phytochemistry and Bioactivities—A Review. Molecules 2021, 26, 4664. https://doi.org/10.3390/molecules26154664
Mohammadhosseini M, Venditti A, Frezza C, Serafini M, Bianco A, Mahdavi B. The Genus Haplophyllum Juss.: Phytochemistry and Bioactivities—A Review. Molecules. 2021; 26(15):4664. https://doi.org/10.3390/molecules26154664
Chicago/Turabian StyleMohammadhosseini, Majid, Alessandro Venditti, Claudio Frezza, Mauro Serafini, Armandodoriano Bianco, and Behnam Mahdavi. 2021. "The Genus Haplophyllum Juss.: Phytochemistry and Bioactivities—A Review" Molecules 26, no. 15: 4664. https://doi.org/10.3390/molecules26154664
APA StyleMohammadhosseini, M., Venditti, A., Frezza, C., Serafini, M., Bianco, A., & Mahdavi, B. (2021). The Genus Haplophyllum Juss.: Phytochemistry and Bioactivities—A Review. Molecules, 26(15), 4664. https://doi.org/10.3390/molecules26154664

