Hypoglycemic and Anti-Inflammatory Effects of Triterpene Glycoside Fractions from Aeculus hippocastanum Seeds
Abstract
1. Introduction
2. Results and Discussion
2.1. Identification of Chemical Structures of Saponin Derivatives by HPLC-MS
2.2. Hypoglycemic Activity
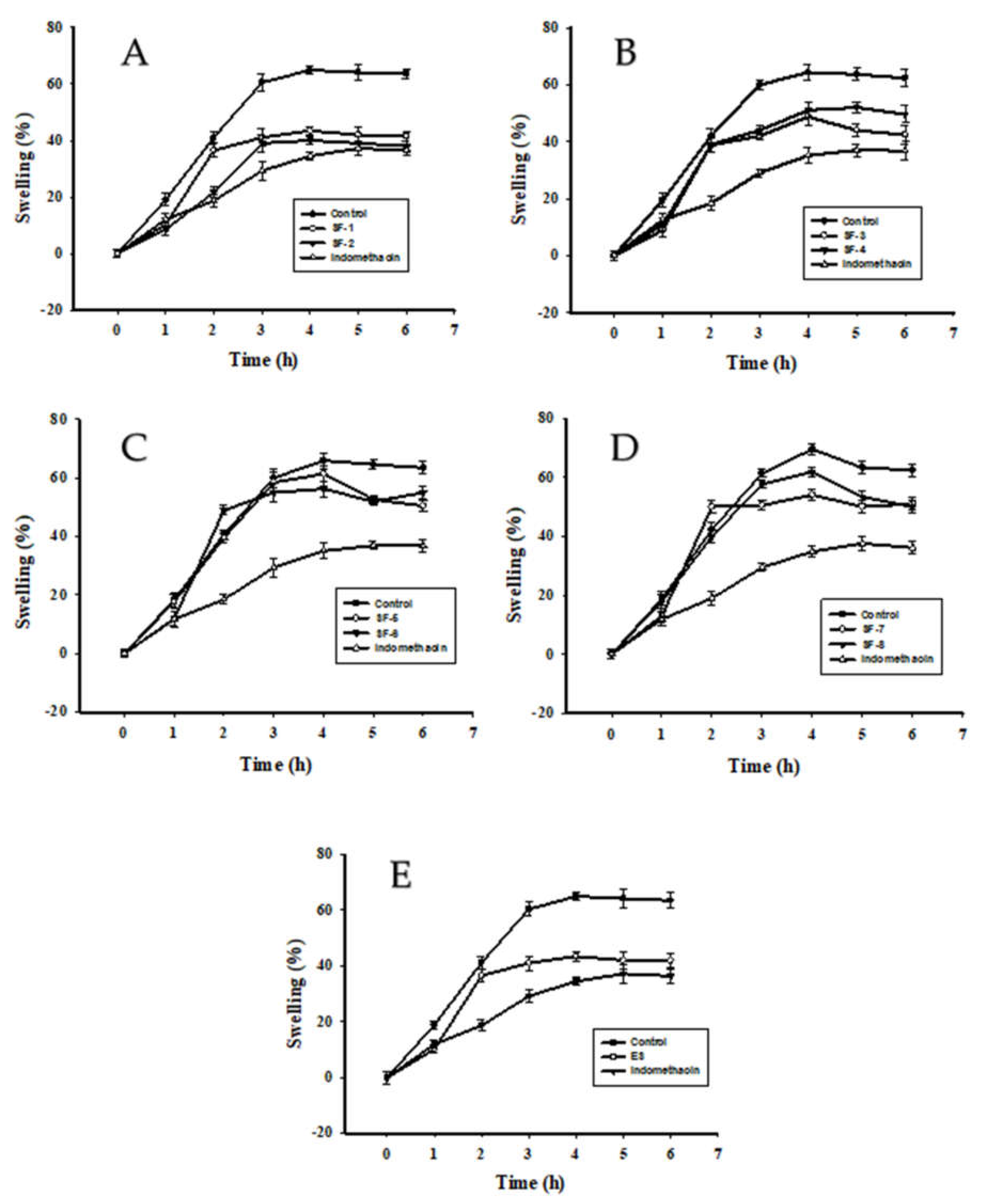
2.3. Anti-Inflammatory Activity
3. Materials and Methods
3.1. Materials
3.2. Preparation of Horse A. hippocastanum L. Seeds
3.3. Extraction, Fractionation, and Isolation of Saponins from Defatted A. hippocastanum L. Seeds
3.4. Instrumental Analysis
3.5. Animals
3.6. Glucose Tolerance Test in Mice
3.7. Experimental Design of the Study
- (i)
- Blank control group: injected with olive oil used as the vehicle (2 mL/kg);
- (ii)
- SF-1-, SF-2-, SF-3-, SF-4-, SF-5-, SF-6-, SF-7-, and SF-8-treated groups: injected by a single oral administration of glucose at dose of 0.5 g/kg (n = 5);
- (iii)
- Escin-treated groups: injected with two different doses (100 and 200 mg/kg) by a single oral administration of glucose at dose of 0.5 g/kg (per group n = 5).
3.7.1. Evaluation of Anti-Inflammatory Activity
- (i)
- Control group: carrageenin-induced inflammation rats received the vehicle of olive oil (2 ml/kg) by a single oral administration (n = 5);
- (ii)
- SF-1-, SF-2-, SF-3-, SF-4-, SF-5-, SF-6-, SF-7-, and SF-8-treated groups: injected a dose of 100 mg/kg by a single oral administration (n = 5);
- (iii)
- Escin-treated groups: injected with two different doses (100 and 200 mg/kg: carrageenin-induced inflammation + escin100 and carrageenin-induced inflammation + escin200) by a single oral administration (n = 5);
- (iv)
- Carrageenin-induced inflammation rats received indomethacin 100 mg/kg by a single oral administration (n = 5).
3.7.2. Carrageenan-Induced Acute Inflammatory Model
3.8. Statistical Analysis of Data
4. Conclusions
Author Contributions
Funding
Institutional Review Board Statement
Data Availability Statement
Acknowledgments
Conflicts of Interest
Sample Availability
References
- Komes, D.; Belščak-Cvitanović, A.; Horžić, D.; Rusak, G.; Likić, S.; Berendika, M. Phenolic composition and antioxidant properties of some traditionally used medicinal plants affected by the extraction time and hydrolysis. Phytochem. Anal. 2010, 22, 172–180. [Google Scholar] [CrossRef] [PubMed]
- Butler, M.S.; Robertson, A.; Cooper, M. Natural product and natural product derived drugs in clinical trials. Nat. Prod. Rep. 2014, 31, 1612–1661. [Google Scholar] [CrossRef] [PubMed]
- Zhang, Z.; Li, S.; Lian, X.-Y. An Overview of Genus Aesculus L.: Ethnobotany, Phytochemistry, and Pharmacological Activities. Pharm. Crop. 2010, 1, 24–51. [Google Scholar] [CrossRef]
- Kim, J.W.; Ha, T.-K.-Q.; Cho, H.; Kim, E.; Shim, S.H.; Yang, J.-L.; Oh, W.K. Antiviral escin derivatives from the seeds of Aesculus turbinata Blume (Japanese horse chestnut). Bioorganic Med. Chem. Lett. 2017, 27, 3019–3025. [Google Scholar] [CrossRef] [PubMed]
- Fang, L.; Karakiulakis, G.; Roth, M. Are patients with hypertension and diabetes mellitus at increased risk for COVID-19 infection? Lancet Respir. Med. 2020, 8, e21. [Google Scholar] [CrossRef]
- Pittler, M.H.; Ernst, E. Horse chestnut seed extract for chronic venous insufficiency. Cochrane Database Syst. Rev. 2012, 11. [Google Scholar] [CrossRef]
- Wilkinson, J.A.; Brown, A.M.G. Horse Chestnut—Aesculus Hippocastanum: Potential Applications in Cosmetic Skin-care Products. Int. J. Cosmet. Sci. 1999, 21, 437–447. [Google Scholar] [CrossRef]
- Wu, C.-Y.; Jan, J.-T.; Ma, S.-H.; Kuo, C.-J.; Juan, H.-F.; Cheng, Y.-S.E.; Hsu, H.-H.; Huang, H.-C.; Wu, D.; Brik, A.; et al. Small molecules targeting severe acute respiratory syndrome human coronavirus. Proc. Natl. Acad. Sci. USA 2004, 101, 10012–10017. [Google Scholar] [CrossRef]
- Rao, A.; Sung, M.-K. Saponins as anticarcinogens. J. Nutr. 1995, 125, 717S–724S. [Google Scholar]
- Cheong, D.H.; Arfuso, F.; Sethi, G.; Wang, L.; Hui, K.; Kumar, A.P.; Tran, T. Molecular targets and anti-cancer potential of escin. Cancer Lett. 2018, 422, 1–8. [Google Scholar] [CrossRef]
- Varinská, L.; Fáber, L.; Kello, M.; Petrovová, E.; Balážová, L.; Solár, P.; Čoma, M.; Urdzík, P.; Mojžiš, J.; Švajdlenka, E.; et al. β-Escin Effectively Modulates HUVECs Proliferation and Tube Formation. Molecules 2018, 23, 197. [Google Scholar] [CrossRef]
- Liang, J.; Jin, W.; Li, H.; Liu, H.; Huang, Y.; Shan, X.; Li, C.; Shan, L.; Efferth, T. In Vivo Cardiotoxicity Induced by Sodium Aescinate in Zebrafish Larvae. Molecules 2016, 21, 190. [Google Scholar] [CrossRef]
- Li, B.; Wang, Z.; Xie, J.-m.; Wang, G.; Qian, L.-q.; Guan, X.-m.; Shen, X.-p.; Qin, Z.-h.; Shen, G.-h.; Li, X.-q. IGAR knockdown enhanced the anticancer effect of aescin via regulating autophagy and apoptosis in colorectal cancer cells. Acta Pharmacol. Sin. 2019, 40, 111–121. [Google Scholar] [CrossRef]
- Wang, Y.; Xu, X.; Zhao, P.; Tong, B.; Wei, Z.; Dai, Y. Escin Ia suppresses the metastasis of triple-negative breast cancer by inhibiting epithelial-mesenchymal transition via down-regulating LOXL2 expression. Oncotarget 2016, 7, 23684–23699. [Google Scholar] [CrossRef]
- Patlolla, J.M.R.; Rao, C.V. Anti-inflammatory and Anti-cancer Properties of β-Escin, a Triterpene Saponin. Curr. Pharmacol. Rep. 2015, 1, 170–178. [Google Scholar] [CrossRef]
- Gallelli, L. Escin: S review of its anti-edematous, anti-inflammatory, and venotonic properties. Drug Des. Dev. Ther. 2019, 13, 3425–3437. [Google Scholar] [CrossRef]
- Yoshikawa, M.; Harada, E.; Murakami, T.; Matsuda, H.; Wariishi, N.; Yamahara, J.; Murakami, N.; Kitagawa, I. Escins-Ia, Ib, IIa, IIb, and IIIa, Bioactive Triterpene Oligoglycosides from the Seeds of Aesculus hippocastanum L.: Their Inhibitory Effects on Ethanol Absorption and Hypoglycemic Activity on Glucose Tolerance Test. Chem. Pharm. Bull. 1994, 42, 1357–1359. [Google Scholar] [CrossRef]
- Yoshikawa, M.; Murakami, T.; Yamahara, J.; Matsuda, H. Bioactive Saponins and Glycosides. XII. Horse Chestnut. (2): Structures of Escins IIIb, IV, V, and VI and Isoescins Ia, Ib, and V, Acylated Polyhydroxyoleanene Triterpene Oligoglycosides, from the Seeds of Horse Chestnut Tree (Aesculus hippocastanum L., Hippocastanaceae). Chem. Pharm. Bull. 1998, 46, 1764–1769. [Google Scholar] [CrossRef]
- Wu, X.-J.; Zhang, M.-L.; Cui, X.-Y.; Fawcett, J.P.; Gu, J.-K. Comparative pharmacokinetics and the bioavailability of escin Ib and isoescin Ib following the administration of escin, pure escin Ib and isoescin Ib in rats. J. Ethnopharmacol. 2014, 151, 839–845. [Google Scholar] [CrossRef]
- Sreij, R.; Dargel, C.; Schweins, R.; Prévost, S.; Dattani, R.; Hellweg, T.; Geisler, R. Aescin-Cholesterol Complexes in DMPC Model Membranes: A DSC and Temperature-Dependent Scattering Study. Sci. Rep. 2019, 9, 5542. [Google Scholar] [CrossRef]
- Shibuya, M.; Xiang, T.; Katsube, Y.; Otsuka, M.; Zhang, H.; Ebizuka, Y. Origin of structural diversity in natural triterpenes: Direct synthesis of seco-triterpene skeletons by oxidosqua-lene cyclase. J. Am. Chem. Soc. 2007, 129, 1450–1455. [Google Scholar] [CrossRef] [PubMed]
- Oszmiański, J.; Kalisz, S.; Aneta, W. The Content of Phenolic Compounds in Leaf Tissues of White (Aesculus hippocastanum L.) and Red Horse Chestnut (Aesculus carea H.) Colonized by the Horse Chestnut Leaf Miner (Cameraria ohridella Deschka & Dimić). Molecules 2014, 19, 14625–14636. [Google Scholar] [CrossRef] [PubMed]
- Matsuda, H.; Li, Y.; Murakami, T.; Ninomiya, K.; Yamahara, J.; Yoshikawa, M. Antiinflammatory effects of escins Ia, Ib, IIa, and IIb from horse chestnut, the seeds of Aesculus hippocasta-num L. Bioorg. Med. Chem. Lett. 1997, 7, 1611–1616. [Google Scholar] [CrossRef]
- Sreij, R.; Prévost, S.F.; Dargel, C.; Dattani, R.; Hertle, Y.; Wrede, O.; Hellweg, T. Interaction of the Saponin Aescin with Ibuprofen in DMPC Model Membranes. Mol. Pharm. 2018, 15, 4446–4461. [Google Scholar] [CrossRef]
- Sirtori, C.R. Aescin: Pharmacology, pharmacokinetics and therapeutic profile. Pharmacol. Res. 2001, 44, 183–193. [Google Scholar] [CrossRef]
- Hu, J.-N.; Zhu, X.-M.; Han, L.-K.; Saito, M.; Sun, Y.-S.; Yoshikawa, M.; Kimura, Y.; Zheng, Y.-N. Anti-obesity Effects of Escins Extracted from the Seeds of Aesculus turbinata B LUME (Hippocastanaceae). Chem. Pharm. Bull. 2008, 56, 12–16. [Google Scholar] [CrossRef]
- Sarikurkcu, C.; Locatelli, M.; Tartaglia, A.; Ferrone, V.; Juszczak, A.M.; Ozer, M.S.; Tepe, B.; Tomczyk, M. Enzyme and Biological Activities of the Water Extracts from the Plants Aesculus hippocastanum, Olea europaea and Hypericum perforatum That Are Used as Folk Remedies in Turkey. Molecules 2020, 25, 1202. [Google Scholar] [CrossRef]
- Matsuda, H.; Li, Y.; Murakami, T.; Ninomiya, K.; Yamahara, J.; Yoshikawa, M. Effects of Escins Ia, Ib, IIa, and IIb from Horse Chestnut, the Seeds of Aesculus hippocastanum L., on Acute Inflammation in Animals. Biol. Pharm. Bull. 1997, 20, 1092–1095. [Google Scholar] [CrossRef][Green Version]
- Michelini, F.M.; Alché, L.E.; Bueno, C.A. Virucidal, antiviral and immunomodulatory activities of β-escin and Aesculus hippocastanum extract. J. Pharm. Pharmacol. 2018, 70, 1561–1571. [Google Scholar] [CrossRef]
- Raetz, J.; Wilson, M.; Collins, K. Varicose Veins: Diagnosis and Treatment. Am. Fam. Physician 2019, 99, 682–688. [Google Scholar]
- Xiang, Q.Y.; Crawford, D.J.; Wolfe, A.D.; Tang, Y.-C.; DePamphilis, C.W. Origin and biogeography of Aesculus L. (Hippocastanaceae): A molecular phylogenetic perspective. Evolution 1998, 52, 988–997. [Google Scholar] [CrossRef]
- Wu, X.; Liu, L.; Zhang, M.; Wu, D.; Wang, Y.; Sun, Y.; Fawcett, J.P.; Gu, J.; Zhang, J. Simultaneous analysis of isomers of escin saponins in human plasma by liquid chromatography–tandem mass spectrometry: Application to a pharmacokinetic study after oral administration. J. Chromatogr. B 2010, 878, 861–867. [Google Scholar] [CrossRef]
- Li, H.; Wang, Y.; Jiang, Y.; Tang, Y.; Wang, J.; Zhao, L.; Gu, J. A liquid chromatography/tandem mass spectrometry method for the simultaneous quantification of valsartan and hydrochlorothiazide in human plasma. J. Chromatogr. B 2007, 852, 436–442. [Google Scholar] [CrossRef]
- Kimura, H.; Ogawa, S.; Jisaka, M.; Kimura, Y.; Katsube, T.; Yokota, K. Identification of novel saponins from edible seeds of Japanese horse chestnut (Aesculus turbinata Blume) after treatment with wooden ashes and their nutraceutical activity. J. Pharm. Biomed. Anal. 2006, 41, 1657–1665. [Google Scholar] [CrossRef]
- Chen, J.; Li, W.; Yang, B.; Guo, X.; Lee, F.S.-C.; Wang, X. Determination of four major saponins in the seeds of Aesculus chinensis Bunge using accelerated solvent extraction followed by high-performance liquid chromatography and electrospray-time of flight mass spectrometry. Anal. Chim. Acta 2007, 596, 273–280. [Google Scholar] [CrossRef]
- Mastinu, A.; Bonini, S.A.; Rungratanawanich, W.; Aria, F.; Marziano, M.; Maccarinelli, G.; Abate, G.; Premoli, M.; Memo, M.; Uberti, D. Gamma-oryzanol Prevents LPS-induced Brain Inflammation and Cognitive Impairment in Adult Mice. Nutrients 2019, 11, 728. [Google Scholar] [CrossRef]
- Mastinu, A.; Bonini, S.A.; Premoli, M.; Maccarinelli, G.; Mac Sweeney, E.; Zhang, L.; Lucini, L.; Memo, M. Protective effects of Gynostemma pentaphyllum (var. Ginpent) against lipopolysaccharide-induced inflamma-tion and motor alteration in mice. Molecules 2021, 26, 570. [Google Scholar] [CrossRef]
- Winter, C.A.; Risley, E.A.; Nuss, G.W. Carrageenin-Induced Edema in Hind Paw of the Rat as an Assay for Antiinflammatory Drugs. Exp. Biol. Med. 1962, 111, 544–547. [Google Scholar] [CrossRef]
- Cordaro, M.; Siracusa, R.; Fusco, R.; D’Amico, R.; Peritore, A.F.; Gugliandolo, E.; Genovese, T.; Scuto, M.; Crupi, R.; Mandalari, G.; et al. Cashew (Anacardium occidentale L.) nuts counteract oxidative stress and inflammation in an acute experi-mental model of Carrageenan-induced Paw edema. Antioxidants 2020, 9, 660. [Google Scholar] [CrossRef]
- Zhang, H.; Shang, C.; Tian, Z.; Amin, H.K.; Kassab, R.B.; Moneim, A.E.A.; Zhang, Y. Diallyl Disulfide Suppresses Inflammatory and Oxidative Machineries following Carrageenan Injection-Induced Paw Edema in Mice. Mediat. Inflamm. 2020, 2020, 1–11. [Google Scholar] [CrossRef]
- Avci, G.; Küçükkurt, I.; Akkol, E.K.; Yeşilada, E. Effects of escin mixture from the seeds of Aesculus hippocastanum on obesity in mice fed a high fat diet. Pharm. Biol. 2010, 48, 247–252. [Google Scholar] [CrossRef] [PubMed]
- Amdekar, S.; Roy, P.; Singh, V.; Kumar, A.; Singh, R.; Sharma, P. Anti-inflammatory activity of lactobacillus on carrageenan-induced paw edema in male wistar rats. Int. J. Inflamm. 2012, 2012, 752015. [Google Scholar]





| 1 | RT (min) | Name | R1 | R2 | R3 | R4 | R5 | R6 | m/z; aem [M − H]− |
|---|---|---|---|---|---|---|---|---|---|
| SF-1 | 11.941 | Escin Ia | H | Tig | Ac | OH | H | Glc-p | 1129 |
| Escin Ib | H | Ang | Ac | OH | H | Glc-p | |||
| Escin IVc | H | H | Tig | OH | Ac | Glc-p | |||
| Escin IVd | H | H | Ang | OH | Ac | Glc-p | |||
| Escin VIb | Ang | Ac | H | OH | H | Glc-p | |||
| Isoescin Ia | H | Tig | H | OH | Ac | Glc-p | |||
| Isoescin Ib | H | Ang | H | OH | Ac | Glc-p | |||
| Isoescin VIIa | H | Tig | H | OH | Ac | Gal-p | |||
| SF-2 | 10.791 | Escin IIa | H | Tig | Ac | OH | H | Xyl-p | 1099 |
| Escin IIb | H | Ang | Ac | OH | H | Xyl-p | |||
| Isoescin IIa | H | Tig | H | OH | Ac | Xyl-p | |||
| Isoescin IIb | H | Ang | H | OH | Ac | Xyl-p | |||
| SF-3 | 11.343 | Escin IIIa | H | Tig | Ac | H | H | Gal-p | 1113 |
| Escin IIIb | H | Ang | Ac | H | H | Gal-p | |||
| Isoescin IIIa | H | Tig | H | H | Ac | Gal-p | |||
| Isoescin IIIb | H | Ang | H | H | Ac | Gal-p | |||
| Isoescin VIIIa | H | Ang | H | H | Ac | Glc-p | |||
| SF-4 | 10.782 | Escin IV | H | Ac | Ac | OH | H | Glc-p | 1089 |
| SF-5 | 13.210 | Escin IVe | H | H | H | OH | Tig | Glc-p | 1087 |
| Escin IVf | H | H | H | OH | Ang | Glc-p | |||
| Escin IVg | H | H | Tig | OH | H | Glc-p | |||
| Escin IVh | H | H | Ang | OH | H | Glc-p | |||
| Deacetylescin Ia | H | Tig | H | OH | H | Glc-p | |||
| Deacetylescin Ib | H | Ang | H | OH | H | Glc-p | |||
| SF-6 | 10.343 | Escin V | H | MP | Ac | OH | H | Glc-p | 1117 |
| Isoescin V | H | MP | H | OH | Ac | Glc-p | |||
| SF-7 | 10.938 | Escin VI | H | MB | Ac | OH | H | Glc-p | 1131 |
| Isoescin VIa | H | MB | H | OH | Ac | Glc-p | |||
| SF-8 | 12.587 | Deacetylescin IIa | H | Tig | H | OH | H | Xyl-p | 1057 |
| Deacetylescin IIb | H | Ang | H | OH | H | Xyl-p |
| Sample | Dose (mg/kg, p.o.) | Elevation of Blood Glucose Level (mg/dL) | ||
|---|---|---|---|---|
| 0.5 h | 1.0 h | 2.0 h | ||
| Control | 0 | 112.9 ± 19.71 (100) | 82.4 ± 13.26 | 51.2 ± 11.38 |
| Ecsin and its derivatives (ED) | 200 | 47.2 ± 12.69 (41.8) ** | 44.0 ± 8.85 | 48.2 ± 9.49 |
| SF-1 | 100 | 67.4 ± 13.46 (59.7) * | 70.88 ± 16.65 | 52.5 ± 10.86 |
| SF-2 | 100 | 76.9 ± 8.97 (68.1) ** | 85.9 ± 11.87 | 51.9 ± 9.33 |
| SF-3 | 100 | 84.8 ± 11.9 (75.1) * | 92.8 ± 9.62 | 52.3 ± 7.01 |
| Control | 0 | 111.7 ± 15.0 (100) | 68.9 ± 12.41 | 48.8 ± 8.20 |
| Ecsin and its derivatives (ED) | 100 | 86.4 ± 12.1 (77.4) * | 69.8 ± 12.25 | 50.8 ± 8.42 |
| SF-4 | 100 | 84.3 ± 11.1 (75.5) ** | 56.6 ± 8.09 | 48.9 ± 7.91 |
| SF-5 | 100 | 92.2 ± 11.5 (82.5) * | 57.5 ± 8.32 | 51.3 ± 8.43 |
| SF-6 | 100 | 81.9 ± 15.0 (73.3) * | 62.8 ± 6.86 | 49.7 ± 8.66 |
| Control | 0 | 114.7 ± 14.8 (100) | 72.2 ± 16.26 | 58.5 ± 7.47 |
| SF-7 | 100 | 89.2 ± 10.7 (77.8) ** | 76.6 ± 16.91 | 61.7 ± 7.22 |
| SF-8 | 100 | 109.9 ± 13.2 (95.8) * | 75.5 ± 12.84 | 62.9 ± 8.41 |
| SF-1 + SF-2 | 100 | 74.8 ± 9.0 (65.2) * | 66.1 ± 8.76 | 57.8 ± 12.00 |
| SF-1 + SF-2 + SF-8 | 100 | 86.2 ± 7.5 (75.2) * | 63.0 ± 14.83 | 51.7 ± 8.95 |
Publisher’s Note: MDPI stays neutral with regard to jurisdictional claims in published maps and institutional affiliations. |
© 2021 by the authors. Licensee MDPI, Basel, Switzerland. This article is an open access article distributed under the terms and conditions of the Creative Commons Attribution (CC BY) license (https://creativecommons.org/licenses/by/4.0/).
Share and Cite
Sharipov, A.; Tursunov, K.; Fazliev, S.; Azimova, B.; Razzokov, J. Hypoglycemic and Anti-Inflammatory Effects of Triterpene Glycoside Fractions from Aeculus hippocastanum Seeds. Molecules 2021, 26, 3784. https://doi.org/10.3390/molecules26133784
Sharipov A, Tursunov K, Fazliev S, Azimova B, Razzokov J. Hypoglycemic and Anti-Inflammatory Effects of Triterpene Glycoside Fractions from Aeculus hippocastanum Seeds. Molecules. 2021; 26(13):3784. https://doi.org/10.3390/molecules26133784
Chicago/Turabian StyleSharipov, Avez, Khurshid Tursunov, Sunnatullo Fazliev, Bahtigul Azimova, and Jamoliddin Razzokov. 2021. "Hypoglycemic and Anti-Inflammatory Effects of Triterpene Glycoside Fractions from Aeculus hippocastanum Seeds" Molecules 26, no. 13: 3784. https://doi.org/10.3390/molecules26133784
APA StyleSharipov, A., Tursunov, K., Fazliev, S., Azimova, B., & Razzokov, J. (2021). Hypoglycemic and Anti-Inflammatory Effects of Triterpene Glycoside Fractions from Aeculus hippocastanum Seeds. Molecules, 26(13), 3784. https://doi.org/10.3390/molecules26133784

