Variability of Major Phenyletanes and Phenylpropanoids in 16-Year-Old Rhodiola rosea L. Clones in Norway
Abstract
1. Introduction
2. Results
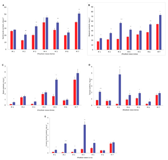
2.1. Comparison of Phenyletanes and Phenylpropanoids Content in R. rosea Clones
2.2. Statistical Analyses
3. Discussion
4. Materials and Methods
4.1. Materials and Reagents
4.2. Extraction and HPLC Analysis
4.3. Statistical Analyses
4.3.1. Correlation Analyses
4.3.2. Association Analysis
5. Conclusions
Author Contributions
Funding
Acknowledgments
Conflicts of Interest
References
- Kelly, G. Rhodiola rosea: A possible plant adaptogen. Altern. Med. Rev. 2001, 6, 293–302. [Google Scholar] [PubMed]
- Ming, D.S.; Hillhouse, B.J.; Guns, E.S.; Eberding, A.; Xie, S.; Vimalanathan, S.; Towers, G.N. Bioactive compounds from Rhodiola rosea (Crassulaceae). Phytother. Res. 2005, 19, 740–743. [Google Scholar] [CrossRef] [PubMed]
- Panossian, A.; Wikman, G.; Sarris, J. Rosenroot (Rhodiola Rosea): Traditional use, chemical composition, pharmacology and clinical efficacy. Phytomedicine 2010, 17, 481–493. [Google Scholar] [CrossRef]
- Panossian, A. Understanding adaptogenic activity: Specificity of the pharmacological action of adaptogens and other phytochemicals. Ann. N. Y. Acad. Sci. 2017, 1401, 49–64. [Google Scholar] [CrossRef] [PubMed]
- Bykov, V.; Zapesochnaya, G.; Kurkin, V. Traditional and biotechnological aspects of obtaining medicinal preparations from Rhodiola Rosea L. (A review). Pharm. Chem. J. 1999, 33, 29–40. [Google Scholar] [CrossRef]
- Fägringar, M.B. Växter som berör oss (Beauty: Herbs that Touch Us); Berntssons: Östersund, Sweden, 1992; pp. 66–67. (In Swedish) [Google Scholar]
- Zhong, Z.; Han, J.; Zhang, J.; Xiao, Q.; Hu, J.; Chen, L. Pharmacological activities, mechanisms of action, and safety of salidroside in the central nervous system. Drug Des. Dev. 2018, 12, 1479–1489. [Google Scholar] [CrossRef]
- Kosakowska, O.; Bączek, K.; Przybył, J.L.; Pióro-Jabrucka, E.; Czupa, W.; Synowiec, A.; Gniewosz, M.; Costa, R.; Mondello, L.; Węglarz, Z. Antioxidant and antibacterial activity of roseroot (Rhodiola rosea L.) dry extracts. Molecules 2018, 23, 1767. [Google Scholar] [CrossRef]
- Pu, W.-l.; Zhang, M.-Y.; Bai, R.-Y.; Sun, L.-K.; Li, W.-H.; Yu, Y.-L.; Zhang, Y.; Song, L.; Wang, Z.-X.; Peng, Y.-F. Anti-inflammatory effects of Rhodiola rosea L.: A review. Biomed. Pharm. 2020, 121, 109552. [Google Scholar] [CrossRef]
- Xin, X.; Yao, D.; Zhang, K.; Han, S.; Liu, D.; Wang, H.; Liu, X.; Li, G.; Huang, J.; Wang, J. Protective effects of rosavin on bleomycin-induced pulmonary fibrosis via suppressing fibrotic and inflammatory signaling pathways in mice. Biomed. Pharm. 2019, 115, 108870. [Google Scholar] [CrossRef]
- Amsterdam, J.D.; Panossian, A.G. Rhodiola rosea L. as a putative botanical antidepressant. Phytomedicine 2016, 23, 770–783. [Google Scholar] [CrossRef]
- Panossian, A.; Seo, E.J.; Efferth, T. Effects of anti-inflammatory and adaptogenic herbal extracts on gene expression of eicosanoids signaling pathways in isolated brain cells. Phytomedicine 2019, 60, 152881. [Google Scholar] [CrossRef] [PubMed]
- Xie, H.; Shen, C.-Y.; Jiang, J.-G. The sources of salidroside and its targeting for multiple chronic diseases. J. Funct. Foods 2019, 64, 103648. [Google Scholar] [CrossRef]
- Kolodziej, B.; Sugier, D. Influence of plants age on the chemical composition of roseroot (Rhodiola rosea L.). Acta Sci. Pol. Hortorum Cultus 2013, 12, 147–160. [Google Scholar]
- Grech-Baran, M.; Syklowska-Baranek, K.; Pietrosiuk, A. Approaches of Rhodiola kirilowii and Rhodiola rosea field cultivation in Poland and their potential health benefits. Ann. Agric. Environ. Med. 2015, 22, 281–285. [Google Scholar] [CrossRef] [PubMed]
- Kotiranta, H.; Uotila, P.; Sulkava, S.; Peltonnen, S.-L. (Eds.) Red Data Book of East Fennoscandia; Ministry of Environment; Finnish Environment Institute & Botanical Museum; Finnish Museum of Natural History: Helsinki, Finland, 1998; p. 351.
- Lange, D. Europe’s Medicinal and Aromatic Plants: Their Use, Trade and Conservation; Traffic International: Cambridge, UK, 1998. [Google Scholar]
- Dines, T.D.; Jones, R.A.; Leach, S.J.; McKean, D.R.; Pearman, D.A.; Preston, C.D.; Rumsey, F.J.; Taylor, I. The Vascular Plant Red Data List for Great Britain; Species Status 7; Cheffings, C.M., Farrell, L., Eds.; Joint Nature Conservation Committee: Peterborough, UK, 2015. Available online: https://hub.jncc.gov.uk/assets/cc1e96f8-b105-4dd0-bd87-4a4f60449907 (accessed on 1 June 2020).
- Platikanov, S.; Evstatieva, L. Introduction of wild golden root (Rhodiola rosea L.) as a potential economic crop in Bulgaria. Econ. Bot. 2008, 62, 621–627. [Google Scholar] [CrossRef]
- Galambosi, B. Demand and availability of Rhodiola rosea raw material. Frontis 2006, 17, 223–236. [Google Scholar]
- Elameen, A.; Klemsdal, S.S.; Dragland, S.; Fjellheim, S.; Rognli, O.A. Genetic diversity in a germplasm collection of roseroot (Rhodiola rosea) in Norway studied by AFLP. Biochem. Syst. Ecol. 2008, 36, 706–715. [Google Scholar] [CrossRef]
- Shikov, A.N.; Kosman, V.M.; Flissyuk, E.V.; Smekhova, I.E.; Elameen, A.; Pozharitskaya, O.N. Natural deep eutectic solvents for the extraction of phenyletanes and phenylpropanoids of Rhodiola rosea L. Molecules 2020, 25, 1826. [Google Scholar] [CrossRef]
- Marchev, A.S.; Dinkova-Kostova, A.T.; György, Z.; Mirmazloum, I.; Aneva, I.Y.; Georgiev, M.I. Rhodiola rosea L.: From golden root to green cell factories. Phytochem. Rev. 2016, 15, 515–536. [Google Scholar] [CrossRef]
- Guo, C.; Li, Y.; Zhang, R.; Zhang, Y.; Zhao, J.; Yao, J.; Sun, J.; Dong, J.; Liao, L. protective effect of salidroside against diabetic kidney disease through inhibiting BIM-mediated apoptosis of proximal renal tubular cells in rats. Front. Pharmacol. 2018, 9, 1433. [Google Scholar] [CrossRef]
- Hao, X.; Yuan, J.; Dong, H. Salidroside prevents diabetes-induced cognitive impairment via regulating the Rho pathway. Mol. Med. Rep. 2019, 19, 678–684. [Google Scholar] [CrossRef] [PubMed]
- Elameen, A.; Dragland, S.; Klemsdal, S.S. Bioactive compounds produced by clones of Rhodiola rosea maintained in the Norwegian germplasm collection. Die Pharm. An Int. J. Pharm. Sci. 2010, 65, 618–623. [Google Scholar]
- Ma, C.; Wang, H.; Gu, X.; Hu, L. Large-scale preparative isolation of rosavin from Rhodiola rosea via Ion liquids MAE and subsequent flash adsorption chromatography. Sep. Sci. Technol. 2012, 47, 1821–1827. [Google Scholar] [CrossRef]
- Ganzera, M.; Yayla, Y.; Khan, I.A. Analysis of the marker compounds of Rhodiola rosea L. (golden root) by reversed phase high performance liquid chromatography. Chem. Pharm. Bull. (Tokyo) 2001, 49, 465–467. [Google Scholar] [CrossRef]
- Li, H.; Chen, C. Inhibition of autophagy enhances synergistic effects of salidroside and anti-tumor agents against colorectal cancer. BMC Complement Altern. Med. 2017, 17, 538. [Google Scholar] [CrossRef] [PubMed]
- Shikov, A.N.; Pozharitskaya, O.N.; Makarov, V.G.; Wagner, H.; Verpoorte, R.; Heinrich, M. Medicinal plants of the Russian Pharmacopoeia; their history and applications. J. Ethnopharmacol. 2014, 154, 481–536. [Google Scholar] [CrossRef]
- Bejar, E.; Upton, R.; John, H. Adulteration of Rhodiola (Rhodiola rosea) rhizome and root and extracts. Bot Adulterants Bull. 2017, 1–8. Available online: www.botanicaladulterants.org (accessed on 20 May 2020).
- Yu, H.-S.; Ma, L.-Q.; Zhang, J.-X.; Shi, G.-L.; Hu, Y.-H.; Wang, Y.-N. Characterization of glycosyltransferases responsible for salidroside biosynthesis in Rhodiola sachalinensis. Phytochemistry 2011, 72, 862–870. [Google Scholar] [CrossRef]
- Bi, H.; Wang, S.; Zhou, W.; Zhuang, Y.; Liu, T. Producing Gram-scale unnatural rosavin analogues from glucose by engineered Escherichia coli. ACS Synth. Biol. 2019, 8, 1931–1940. [Google Scholar] [CrossRef]
- Hellum, B.H.; Tosse, A.; Hoybakk, K.; Thomsen, M.; Rohloff, J.; Nilsen, O.G. Potent in vitro inhibition of CYP3A4 and P-glycoprotein by Rhodiola rosea. Planta Med. 2010, 76, 331–338. [Google Scholar] [CrossRef]
- Adamczak, A.; Buchwald, W.; Gryszczynska, A. Biometric features and content of phenolic compounds of roseroot (Rhodiola rosea L.). Acta Soc. Bot. Pol. 2016, 85, 3500. [Google Scholar] [CrossRef]
- Dimpfel, W.; Schombert, L.; Panossian, A.G. Assessing the quality and potential efficacy of commercial extracts of Rhodiola rosea L. by analyzing the salidroside and rosavin content and the electrophysiological activity in hippocampal long-term potentiation, a synaptic model of memory. Front. Pharmacol. 2018, 9, 425. [Google Scholar] [CrossRef] [PubMed]
- Wiedenfeld, H.; Dumaa, M.; Malinowski, M.; Furmanowa, M.; Narantuya, S. Phytochemical and analytical studies of extracts from Rhodiola rosea and Rhodiola quadrifida. Pharmazie 2007, 62, 308–311. [Google Scholar] [PubMed]
- Booker, A.; Jalil, B.; Frommenwiler, D.; Reich, E.; Zhai, L.; Kulic, Z.; Heinrich, M. The authenticity and quality of Rhodiola rosea products. Phytomedicine 2016, 23, 754–762. [Google Scholar] [CrossRef] [PubMed]
- Xue, F.; Yang, M.; Ma, L. Microbial synthesis of salidroside. Sheng Wu Gong Cheng Xue Bao 2019, 35, 1184–1192. [Google Scholar] [PubMed]
- Bai, Y.; Bi, H.; Zhuang, Y.; Liu, C.; Cai, T.; Liu, X.; Zhang, X.; Liu, T.; Ma, Y. Production of salidroside in metabolically engineered Escherichia coli. Sci. Rep. 2014, 4, 6640. [Google Scholar] [CrossRef]
- Xue, F.; Guo, H.; Hu, Y.; Liu, R.; Huang, L.; Lv, H.; Liu, C.; Yang, M.; Ma, L. Expression of codon-optimized plant glycosyltransferase UGT72B14 in Escherichia coli enhances salidroside production. BioMed Res. Int. 2016, 2016, 9845927. [Google Scholar] [CrossRef]
- Patov, S.A.; Punegov, V.V.; Kuchin, A.V. Synthesis of the Rhodiola rosea glycoside rosavin. Chem. Nat. Compd. 2006, 42, 397–399. [Google Scholar] [CrossRef]
- Lin, S.S.C.; Chin, L.W.; Chao, P.C.; Lai, Y.Y.; Lin, L.Y.; Chou, M.Y.; Chou, M.C.; Wei, J.C.C.; Yang, C.C. In vivo Th1 and Th2 cytokine modulation effects of Rhodiola rosea standardised solution and its major constituent, salidroside. Phytother. Res. 2011, 25, 1604–1611. [Google Scholar]
- Linh, P.T.; Kim, Y.H.; Hong, S.P.; Jian, J.J.; Kang, J.S. Quantitative determination of salidroside and tyrosol from the underground part of Rhodiola rosea by high performance liquid chromatography. Arch. Pharm. Res. 2000, 23, 349–352. [Google Scholar] [CrossRef]
- Makarov, V.; Zenkevich, I.; Shikov, A.; Pimenov, A.; Pozharitskaya, O.; Ivanova, S.; Galambosi, B. Comparative analysis of Rhodiola rosea of Scandinavian and Russian origin. In Proceedings of the Congress: Phytopharm 2003. Actual Problems of Creation of New Medicinal Preparations of Natural Origin, St. Petersburg-Pushkin, Russia, 3–5 July 2003; pp. 570–574. [Google Scholar]
- Galambosi, B.; Galambosi, Z.; Uusitalo, M.; Heinonen, A. Effects of plant sex on the biomass production and secondary metabolites in roseroot (Rhodiola rosea L.) from the aspect of cultivation. Z. Für Arznei Gewürzpflanzen 2009, 14, 114–121. [Google Scholar]
- Kučinskaitė, A.; Pobłocka-Olech, L.; Krauze-Baranowska, M.; Sznitowska, M.; Savickas, A.; Briedis, V. Evaluation of biologically active compounds in roots and rhizomes of Rhodiola rosea L. cultivated in Lithuania. Medicina 2007, 43, 487–494. [Google Scholar] [CrossRef] [PubMed]
- Kurkin, V.; Zapesochnaya, G. The chemical-composition and pharmacological properties of rhodiola plants. Pharm. Chem. J. 1986, 20, 1231–1244. [Google Scholar]
- Kurkin, V.; Zapesochnaya, G.; Nukhimovsky, E.; Klimakhin, G. Chemical-composition of rhizomes of Mongolian Rhodiola-rosea L population introduced into districts near Moscow. Pharm. Chem. J. 1988, 22, 324–326. [Google Scholar]
- Liu, Z.; Liu, Y.; Liu, C.; Song, Z.; Li, Q.; Zha, Q.; Lu, C.; Wang, C.; Ning, Z.; Zhang, Y. The chemotaxonomic classification of Rhodiola plants and its correlation with morphological characteristics and genetic taxonomy. Chem. Cent. J. 2013, 7, 118. [Google Scholar] [CrossRef]
- Thu, O.K.; Nilsen, O.G.; Hellum, B. In vitro inhibition of cytochrome P-450 activities and quantification of constituents in a selection of commercial Rhodiola rosea products. Pharm. Biol. 2016, 54, 3249–3256. [Google Scholar] [CrossRef]
- Saunders, D.; Poppleton, D.; Struchkov, A.; Ireland, R. Analysis of five bioactive compounds from naturally occurring Rhodiola rosea in eastern Canada. Can. J. Plant Sci. 2014, 94, 741–748. [Google Scholar] [CrossRef]
- Peschel, W.; Prieto, J.M.; Karkour, C.; Williamson, E.M. Effect of provenance, plant part and processing on extract profiles from cultivated European Rhodiola rosea L. for medicinal use. Phytochemistry 2013, 86, 92–102. [Google Scholar] [CrossRef]
- Mirmazloum, I.; Ladányi, M.; György, Z. Changes in the content of the glycosides, aglycons and their possible precursors of Rhodiola rosea during the vegetation period. Nat. Prod. Commun. 2015, 10, 1413–1416. [Google Scholar] [CrossRef]
- Peschel, W.; Kump, A.; Zomborszki, Z.P.; Pfosser, M.; Kainz, W.; Csupor, D. Phenylpropenoid content in high-altitude cultivated Rhodiola rosea L. provenances according to plant part, harvest season and age. Ind. Crop. Prod. 2018, 111, 446–456. [Google Scholar] [CrossRef]
- Peschel, W.; Kump, A.; Horvath, A.; Csupor, D. Age and harvest season affect the phenylpropenoid content in cultivated European Rhodiola rosea L. Ind. Crop. Prod. 2016, 83, 787–802. [Google Scholar] [CrossRef]
- Galambosi, B.; Galambosi, Z.; Varga, E.; Hajdu, Z.; Telek, E. Cultivation methods, root yield and flavonoid content of roseroot (Rhodiola rosea L.) cultivated in Finland. In Proceedings of the Book of abstracts of the IV International Conference on Cultivation, Harvesting and Processing of Medicinal Herbs, Ľubovnianske Kúpele, Slovakia, 8–11 June 1999. [Google Scholar]
- Alperth, F.; Turek, I.; Weiss, S.; Vogt, D.; Bucar, F. Qualitative and quantitative analysis of different Rhodiola rosea rhizome extracts by UHPLC-DAD-ESI-MSn. Sci. Pharm. 2019, 87, 8. [Google Scholar] [CrossRef]
- Zomborszki, Z.P.; Kusz, N.; Csupor, D.; Peschel, W. Rhodiosin and herbacetin in Rhodiola rosea preparations: Additional markers for quality control? Pharm. Biol. 2019, 57, 295–305. [Google Scholar] [CrossRef] [PubMed]
- Hosein, F. Isolation of high quality RNA from seeds and tubers of the Mexican yam bean (Pachyrhizus erosus). Plant Mol. Biol. Rep. 2001, 19, 65. [Google Scholar] [CrossRef]
- Reyes, A.; Mahn, A.; Cares, V. Analysis of dried onions in a hybrid solar dryer, freeze dryer and tunnel dryer. Chem. Eng. Trans. 2015, 43, 139–144. [Google Scholar]
- Garcia-Baldenegro, C.V.; Vargas-Arispuro, I.; Islas-Osuna, M.; Rivera-Dominguez, M.; Aispuro-Hernandez, E.; Martinez-Tellez, M.A. Total RNA quality of lyophilized and cryopreserved dormant grapevine buds. Electron. J. Biotechnol. 2015, 18, 134–137. [Google Scholar] [CrossRef]
- Thomsen, M.G.; Galambosi, B.; Galambosi, Z.; Uusitalo, M.; Mordal, R.; Heinonen, A. Harvest time and drying temperature effect on secondary metabolites in Rhodiola rosea. Acta Hortic. 2012, 955, 243–252. [Google Scholar] [CrossRef]
- Ioset, K.N.; Nyberg, N.T.; Van Diermen, D.; Malnoe, P.; Hostettmann, K.; Shikov, A.N.; Jaroszewski, J.W. Metabolic profiling of Rhodiola rosea rhizomes by 1H NMR spectroscopy. Phytochem. Anal. 2011, 22, 158–165. [Google Scholar] [CrossRef]
- Weglarz, Z.; Roslon, W. Developmental and chemical variability of female and male forms of nettle Urtica dioica L. In Proceedings of the XXV International Horticultural Congress, Part 13: New and Specialized Crops and Products, Botanic Gardens and Human-Horticulture Relationship. ISHS Acta Hortic. 1998, 523, 75–80. [Google Scholar]
- Virk, P.S.; FordLloyd, B.V.; Jackson, M.T.; Pooni, H.S.; Clemeno, T.P.; Newbury, H.J. Predicting quantitative variation within rice germplasm using molecular markers. Heredity 1996, 76, 296–304. [Google Scholar] [CrossRef]
- Roy, S.N.; Bargmann, R.E. Tests of Multiple Independence and the Associated Confidence-Bounds; Mimeograph Series No. 175; North Carolina Institute of Statistics: Chapel Hill, NC, USA, 1957. [Google Scholar]
- Afifi, A.; Clark, V. Computer-Aided Multivariate Analysis, 2nd ed.; Van Nostrand Reinhold Co.: New York, NY, USA, 1990; p. 503. [Google Scholar]
Sample Availability: Samples of the compounds are available from the authors. |


| Clone Id | Freeze-Drying at −130 °C | Drying at 70 °C | ||||
|---|---|---|---|---|---|---|
| Fresh-Weight (g) | Dry Weight (g) | % of Water Loss | Fresh-Weight (g) | Dry Weight (g) | % of Water Loss | |
| M1 | 22.77 ± 1.42 | 5.21 ± 0.31 | 77.12 | 24.96 ± 1.72 | 5.88 ± 0.64 | 76.44 |
| M2 | 23.61 ± 1.61 | 5.37 ± 0.28 | 77.26 | 25.83 ± 1.84 | 6.08 ± 0.92 | 76.46 |
| M3 | 26.39 ± 1.84 | 6.31 ± 0.42 | 76.09 | 25.45 ± 1.81 | 6.22 ± 0.81 | 75.56 |
| M4 | 26.51 ± 1.71 | 6.12 ± 0.38 | 76.91 | 24.68 ± 1.63 | 5.98 ± 0.73 | 75.77 |
| M5 | 27.18 ± 2.02 | 6.53 ± 0.61 | 75.97 | 26.06 ± 2.05 | 6.44 ± 1.02 | 75.29 |
| M6 | 26.24 ± 1.48 | 5.61 ± 0.84 | 78.62 | 27.76 ± 2.14 | 6.03 ± 1.11 | 78.28 |
| M7 | 24.04 ± 1.59 | 5.97 ± 0.76 | 75.17 | 26.54 ± 1.97 | 6.85 ± 0.94 | 74.19 |
| Compound | Freeze-Drying at −130 °C | Drying at 70 °C | ||
|---|---|---|---|---|
| Minimum Level | Maximum Level | Minimum Level | Maximum Level | |
| Rosavin | 24.40 ± 0.01 * | 73.12 ± 1.24 * | 17.71 ± 0.91 | 54.0 ± 3.31 |
| Salidroside | 21.92 ± 0.06 ** | 50.96 ± 0.58 ** | 12.91 ± 0.81 | 38.72 ± 1.82 |
| Rosin | 0.52 ± 0.02 * | 5.84 ± 0.27 | 0.17 ± 0.03 | 4.61 ± 0.35 |
| Cinnamyl alcohol | 0.43 ± 0.01 * | 4.83 ± 0.35 ** | 0.12 ± 0.01 | 1.62 ± 0.24 |
| Tyrosol | 0.58 ± 0.01 *** | 4.80 ± 0.43 * | 0.23 ± 0.03 | 1.64 ± 0.37 |
| Rosavin | Salidroside | Rosin | Cinnamyl Alcohol | Tyrosol | |
|---|---|---|---|---|---|
| Rosavin | 1.0000 | ||||
| Salidroside | 0.9025 *** | 1.00000 | |||
| Rosin | 0.6431 ** | 0.2648 | 1.0000 | ||
| Cinnamyl alcohol | 0.4863 * | 0.5614 * | 0.7235 ** | 1.0000 | |
| Tyrosol | 0.6274 ** | 0.6349 * | 0.6184 ** | 0.4356 * | 1.0000 |
| Origin of Plants | Rosavin | Salidroside | Rosin | Cinnamyl Alcohol | Tyrosol | Literature Reference |
|---|---|---|---|---|---|---|
| Norway | 73.120 | 50.910 | 5.831 | 4.820 | 4.837 | This study 1,D |
| Norway | 85.950 | 12.850 | 4.750 | 1.180 | 2.150 | [26] D |
| China | ns | 11.100 | ns | ns | 2.200 | [44] D |
| China | 0.650 | 11.140 | 3.580 | ns | 1.120 | [27] ND |
| Finland | 0.790 | 0.280 | 0.120 | 0.080 | ns | [45] D |
| Finland | 18.140 | 7.380 | ns | ns | ns | [46] D |
| Lithuania | 3.688 | 1.352 | 1.603 | ns | ns | [47] D |
| Mongolia | 18.700 | 13.100 | ns | 18.900 | ns | [37] D |
| Poland | 27.900 | 4.000 | ns | 10.500 | ns | [37] D |
| Russia | 25.000 | 12.000 | ns | ns | ns | [48] D |
| Russia | ns | ns | 1.000 | ns | ns | [49] ND |
| Russia | 4.110 | 0.930 | 0.530 | 0.300 | ns | [45] D |
| Russia | 0.562 | 1.624 | 2.574 | ns | ns | [47] D |
| Sweden | 50.700 | 0.000 | ns | 15.600 | ns | [37] D |
| China | 0.027 | 0.271 | 0.180 | ns | 0.040 | [50] ND |
| Pollen | 3.61 | 6.790 | ns | ns | 1.890 | [35] D |
| Germany | 3.67 | 3.08 | 0.70 | 1.06 | 0.460 | [36] ND |
| Bulgaria | 19.7 | 26.700 | 0.412 | ns | ns | [23] ND |
| USA | 3.500 | 2.700 | 0.800 | ns | ns | [28] ND |
| Norway | 18.10 | 17.70 | 2.00 | ns | 1.60 | [51] ND |
| Bulgaria | ns | 14.6 | ns | ns | ns | [19] D |
| Canada | 21.40 | 17.61 | 3.11 | ns | 2.82 | [52] D |
| UK | 4.20 | 1.200 | ns | ns | ns | [53] D |
| Austria | 2.70 | 27.30 | 1.50 | 8.80 | 18.4 | [54] D |
| Norway | 3.63 | 21.19 | ns | 0.20 | 0.41 | [34] D |
| Poland | 9.770 | 1.970 | 4.624 | ns | 0.381 | [14] D |
| Clone Id | Region | County | Gender | Latitude | Longitude |
|---|---|---|---|---|---|
| M1 | SW | Rogland | M | 59°39′ N | 06 18′ E |
| M2 | N | Nordland | M | 68°05′ N | 15 38′ E |
| M3 | SW | Sogn og Fjordane | M | 61°10′ N | 06 01′ E |
| M4 | N | Finnmark | M | 70°36′ N | 27 00′ E |
| M5 | ME | Sør-Trondelag | M | 63°09′ N | 11 39′ E |
| M6 | SW | Møre og Romsdal | M | 62°25′ N | 07 59′ E |
| M7 | N | Finnmark | F | 70°37′ N | 27 00′ E |
© 2020 by the authors. Licensee MDPI, Basel, Switzerland. This article is an open access article distributed under the terms and conditions of the Creative Commons Attribution (CC BY) license (http://creativecommons.org/licenses/by/4.0/).
Share and Cite
Elameen, A.; Kosman, V.M.; Thomsen, M.; Pozharitskaya, O.N.; Shikov, A.N. Variability of Major Phenyletanes and Phenylpropanoids in 16-Year-Old Rhodiola rosea L. Clones in Norway. Molecules 2020, 25, 3463. https://doi.org/10.3390/molecules25153463
Elameen A, Kosman VM, Thomsen M, Pozharitskaya ON, Shikov AN. Variability of Major Phenyletanes and Phenylpropanoids in 16-Year-Old Rhodiola rosea L. Clones in Norway. Molecules. 2020; 25(15):3463. https://doi.org/10.3390/molecules25153463
Chicago/Turabian StyleElameen, Abdelhameed, Vera M. Kosman, Mette Thomsen, Olga N. Pozharitskaya, and Alexander N. Shikov. 2020. "Variability of Major Phenyletanes and Phenylpropanoids in 16-Year-Old Rhodiola rosea L. Clones in Norway" Molecules 25, no. 15: 3463. https://doi.org/10.3390/molecules25153463
APA StyleElameen, A., Kosman, V. M., Thomsen, M., Pozharitskaya, O. N., & Shikov, A. N. (2020). Variability of Major Phenyletanes and Phenylpropanoids in 16-Year-Old Rhodiola rosea L. Clones in Norway. Molecules, 25(15), 3463. https://doi.org/10.3390/molecules25153463

