Extracts from Cell Suspension Cultures of Strawberry (Fragaria x ananassa Duch): Cytotoxic Effects on Human Cancer Cells
Abstract
1. Introduction
2. Results and Discussion
2.1. Callus and Cell Suspension Culture Induction
2.2. Preliminary Investigations
2.3. Chromatographic Analysis
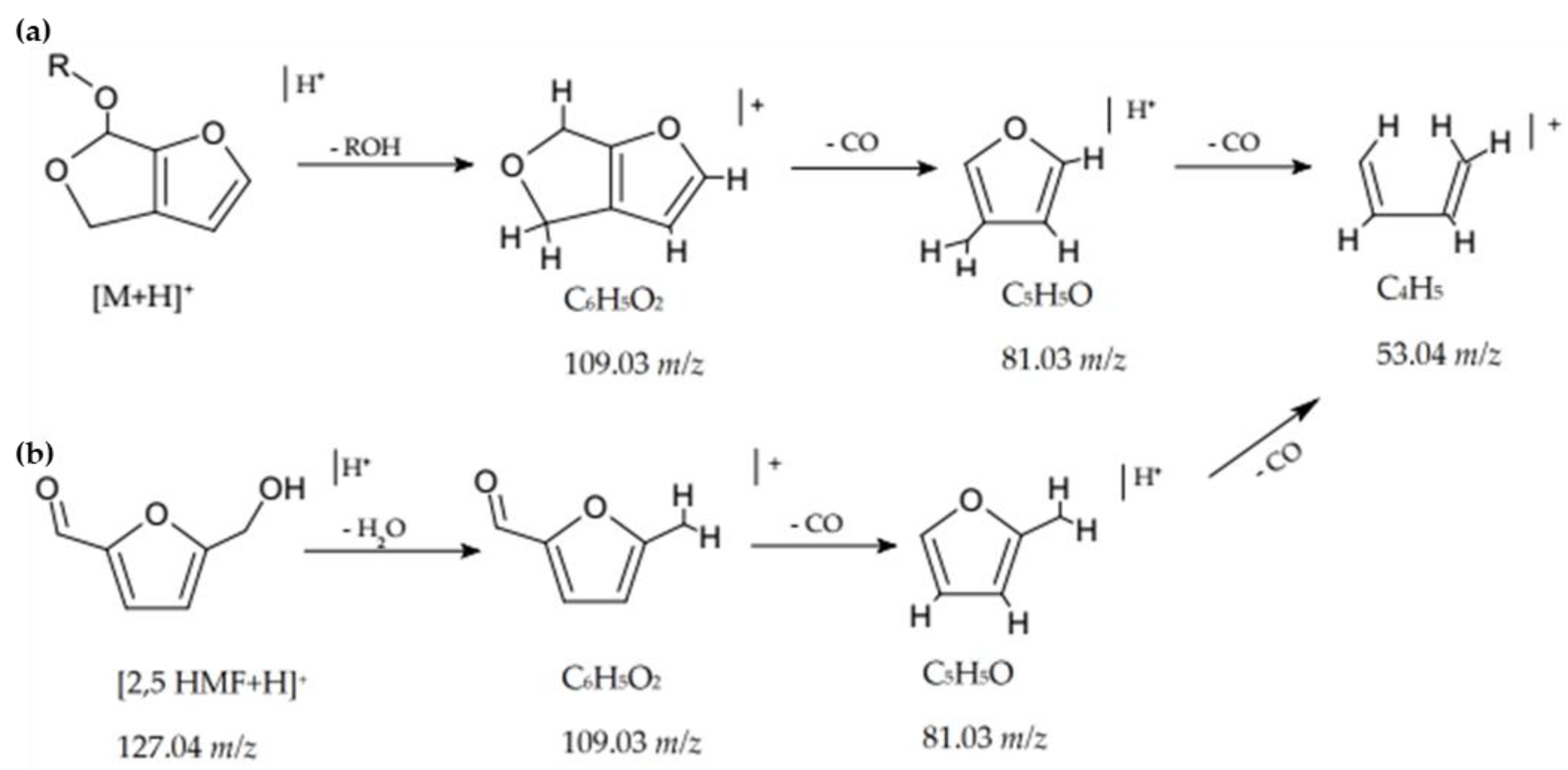
2.4. Spectrometric Investigation
2.5. Cytotoxic Effects of Extracts on Cancer Cell Lines
3. Materials and Methods
3.1. Chemicals and Reagents
3.2. In Vitro Shoot Cultures
3.3. Establishment of Calli and Cell Suspension Cultures
3.4. Suspension Cultures Extraction
3.5. Preliminary Spectrophotometric Assays
3.6. Acid Hydrolysis
3.7. Instrumentation and Chromatographic Conditions
3.8. Data Analysis
3.9. Cell Lines and Strawberry Extract Treatments
3.10. Statistical Analysis
4. Conclusions
Author Contributions
Funding
Conflicts of Interest
References
- Newman, D.J.; Cragg, G.M. Natural products as sources of new drugs from 1981 to 2014. J. Nat. Prod. 2016, 79, 629–661. [Google Scholar] [CrossRef] [PubMed]
- Seca, A.; Pinto, D. Plant secondary metabolites as anticancer agents: Successes in clinical trials and therapeutic application. Int. J. Mol. Sci. 2018, 19, 263. [Google Scholar] [CrossRef]
- Davison, E.K.; Brimble, M.A. Natural product derived privileged scaffolds in drug discovery. Curr. Opin. Chem. Biol. 2019, 52, 1–8. [Google Scholar] [CrossRef] [PubMed]
- Ruffoni, B.; Pistelli, L.; Bertoli, A.; Pistelli, L. Plant cell cultures: Bioreactors for industrial production. Adv. Exp. Med. Biol. 2010, 698, 203–221. [Google Scholar] [PubMed]
- Singh, M.; Roy, B.; Tandon, V.; Chaturvedi, R. Extracts of dedifferentiated cultures of Spilanthes acmella Murr. possess antioxidant and anthelmintic properties and hold promise as an alternative source of herbal medicine. Plant. Biosyst. 2014, 148, 259–267. [Google Scholar] [CrossRef]
- Kolewe, M.E.; Gaurav, V.; Roberts, S.C. Pharmaceutically active natural product synthesis and supply via plant cell culture technology. Mol. Pharm. 2008, 5, 243–256. [Google Scholar] [CrossRef] [PubMed]
- Forni, C.; Braglia, R.; Mulinacci, N.; Urbani, A.; Ronci, M.; Gismondi, A.; Tabolacci, C.; Provenzano, B.; Lentini, A.; Beninati, S. Antineoplastic activity of strawberry (Fragaria x ananassa Duch.) crude extracts on B16-F10 melanoma cells. Mol. Biosyst. 2014, 10, 1255–1263. [Google Scholar] [CrossRef]
- Forni, C.; Frattarelli, A.; Lentini, A.; Beninati, S.; Lucioli, S.; Caboni, E. Assessment of the antiproliferative activity on murine melanoma cells of extracts from elicited cell suspensions of strawberry, strawberry tree, blackberry and red raspberry. Plant Biosyst. 2016, 150, 1233–1239. [Google Scholar] [CrossRef]
- Casto, B.C.; Knobloch, T.J.; Galioto, R.L.; Yu, Z.; Accurso, B.T.; Warner, B.M. Chemoprevention of oral cancer by lyophilized strawberries. Anticancer Res. 2013, 33, 4757–4766. [Google Scholar]
- Somasagara, R.R.; Hegde, M.; Chiruvella, K.K.; Musini, A.; Choudhary, B.; Raghavan, S.C. Extracts of strawberry fruits induce intrinsic pathway of apoptosis in breast cancer cells and inhibits tumor progression in mice. PloS One 2012, 7, e47021. [Google Scholar] [CrossRef]
- Seeram, N.P. Berry fruits: Compositional elements, biochemical activities, and the impact of their intake on human health, performance, and disease. J. Agr. Food Chem. 2008, 56, 627–629. [Google Scholar] [CrossRef]
- Maris, J.M. Recent advances in neuroblastoma. N. Engl. J. Med. 2010, 362, 2202–2211. [Google Scholar] [CrossRef] [PubMed]
- Torre, L.A.; Bray, F.; Siegel, R.L.; Ferlay, J.; Lortet-Tieulent, J.; Jemal, A. Global cancer statistics, 2012. CA Cancer J. Clin. 2015, 65, 87–108. [Google Scholar] [CrossRef]
- Bray, F.; Ren, J.S.; Masuyer, E. Global estimates of cancer prevalence for 27 sites in the adult population in 2008. Int. J. Cancer 2013, 132, 1133–1145. [Google Scholar] [CrossRef] [PubMed]
- Gresshoff, O.M.; Doy, C.H. Development and differentiation of haploid Lycopersicon esculentum (tomato). Planta 1972, 107, 161–170. [Google Scholar] [CrossRef] [PubMed]
- Gamborg, O.L.; Miller, R.A.; Ojima, K. Nutrient requirements of suspension cultures of soybean root cells. Exp. Cell. Res. 1968, 50, 151–158. [Google Scholar] [CrossRef]
- Mustafa, N.R.; De Winter, W.; Van Iren, F.; Verpoorte, R. Initiation, growth and cryopreservation of plant cell suspension cultures. Nat. Protoc. 2011, 6, 715–742. [Google Scholar] [CrossRef] [PubMed]
- Ferrer, I.; Garcia-Reyes, J.F.; Mezcua, M.; Thurman, E.M.; Fernández-Alba, A.R. Multi-residue pesticide analysis in fruits and vegetables by liquid chromatography–time-of-flight mass spectrometry. J. Chromatogr. A 2005, 1082, 81–90. [Google Scholar] [CrossRef] [PubMed]
- De Vijlder, T.; Valkenborg, D.; Lemière, F.; Romijn, E.P.; Laukens, K.; Cuyckens, F. A tutorial in small molecule identification via electrospray ionization-mass spectrometry: The practical art of structural elucidation. Mass Spectrom. Rev. 2017, 37, 607–629. [Google Scholar] [CrossRef] [PubMed]
- Lee, S.; Monnappa, A.K.; Mitchell, R.J. Biological activities of lignin hydrolysate-related compounds. BMB Rep. 2012, 45, 265–274. [Google Scholar] [CrossRef] [PubMed]
- Menegazzo, F.; Ghedini, E.; Signoretto, M. 5-hydroxymethylfurfural (hmf) production from real biomasses. Molecules 2018, 23, 2201. [Google Scholar] [CrossRef] [PubMed]
- Milder, I.E.; Arts, I.C.; van de Putte, B.; Venema, D.P.; Hollman, P.C. Lignan contents of Dutch plant foods: A database including lariciresinol.; pinoresinol.; secoisolariciresinol and matairesinol. Brit. J. Nutr. 2005, 93, 393–402. [Google Scholar] [CrossRef] [PubMed]
- Penalvo, J.L.; Adlercreutz, H.; Uehara, M.; Ristimaki, A.; Watanabe, S. Lignan content of selected foods from Japan. J. Agr. Food Chem. 2007, 56, 401–409. [Google Scholar] [CrossRef]
- Schwartz, H.; Sontag, G. Determination of secoisolariciresinol.; lariciresinol and isolariciresinol in plant foods by high performance liquid chromatography coupled with coulometric electrode array detection. J. Chromatogr. B 2006, 838, 78–85. [Google Scholar] [CrossRef]
- Thompson, L.U.; Boucher, B.A.; Liu, Z.; Cotterchio, M.; Kreiger, N. Phytoestrogen content of foods consumed in Canada.; including isoflavones.; lignans.; and coumestan. Nutr. Cancer 2006, 54, 184–201. [Google Scholar] [CrossRef]
- Roggenbuck, R.; Schmidt, A.; Eilbracht, P. Synthesis of Furo[2.;3b]furans and Furo[2.;3b]pyrans via Rhodium-Catalyzed Tandem Hydroformylation/Acetalization. Org. Lett. 2002, 4, 289–291. [Google Scholar] [CrossRef] [PubMed]
- Teponno, R.B.; Kusari, S.; Spiteller, M. Recent advances in research on lignans and neolignans. Nat. Prod. Rep. 2016, 33, 1044–9102. [Google Scholar] [CrossRef]
- Shu, W.; Yang, Y.; Zhang, D.X.; Wu, L.M.; Zhu, Y.P.; Yin, G.D.; Wu, A.X. Highly Efficient Synthesis of 3a.;6a-Dihydrofuro[2.;3-b]furans via a Novel Bicyclization. Org. Lett. 2013, 15, 456–459. [Google Scholar] [CrossRef] [PubMed]
- Cunha, W.R.; Silva, M.L.A.; Veneziani, R.C.S.; Ambrósio, S.R.; Bastos, J.K. Lignans: Chemical and biological properties. In Phytochemicals-A Global Perspective of their Role in Nutrition and Health; Venketeshwer, R., Ed.; InTech: London, UK, 2012; pp. 213–234. [Google Scholar] [CrossRef]
- Yamauchi, S.; Ina, T.; Kirikihira, T.; Masuda, T. Synthesis and antioxidant activity of oxygenated furofuran lignans. Biosci. Biotech. Bioch. 2004, 68, 183–192. [Google Scholar] [CrossRef]
- Xu, W.H.; Zhao, P.; Wang, M.; Liang, Q. Naturally occurring furofuran lignans: Structural diversity and biological activities. Nat. Prod. Res. 2018, 2018, 1–17. [Google Scholar] [CrossRef]
- Quoirin, M.; Lepoivre, P.; Boxus, P. Un premier bilan di dix annés de recherches sur les cultures de méristèmes et la multiplication in vitro de fruitiers ligneux. In Compte Rendu des Recherches 1976–1977; Station des Cultures Fruitières et Maraîchères: Gembloux, Belgium, 1977; pp. 93–117. [Google Scholar]
- Murashige, T.; Skoog, F. A revised medium for rapid growth and bio assays with tobacco tissue cultures. Physiol. Plantarum 1962, 15, 473–497. [Google Scholar] [CrossRef]
- Blando, F.; Niglio, A.; Frattarelli, A.; Speranza, S.; Damiano, C. Cell suspension cultures in strawberry: Growth characterisation and variability. Acta Hortic. 1993, 336, 257–262. [Google Scholar] [CrossRef]
- Pritchard, H.W. Determination of orchid seed viability using fluorescein diacetate. Plant Cell Environ. 1985, 8, 727–730. [Google Scholar]
- Di Bari, C.; Forni, C.; Di Carlo, A.; Barrajón Catalán, E.; Micol, V.; Teoli, F.; Nota, P.; Matteocci, F.; Frattarelli, A.; Caboni, E.; et al. Pigments for natural dye sensitized solar cells from in vitro grown shoot cultures. J. Photon. Energy 2017, 7, 025503. [Google Scholar] [CrossRef]
- Bradford, M. A rapid and sensitive method for the quantitation of microgram quantities of protein utilizing the principle of protein-dye binding. Anal. Biochem. 1976, 72, 248–254. [Google Scholar] [CrossRef]
- Zlatkis, A.; Zak, B.; Boyle, A.J. A new method for the direct determination of serum cholesterol. J. Lab. Clin. Med. 1953, 41, 486–492. [Google Scholar] [PubMed]
- Burke, R.W.; Diamondstone, B.I.; Velapoldi, R.A.; Menis, O. Mechanisms of the Liebermann-Burchard and Zak color reactions for cholesterol. Clin. Chem. 1974, 20, 794–801. [Google Scholar] [PubMed]
- Ponzoni, M.; Curnis, F.; Brignole, C.; Bruno, S.; Guarnieri, D.; Sitia, L.; Marotta, R.; Sacchi, A.; Bauckneht, M.; Buschiazzo, A.; et al. Enhancement of Tumor Homing by Chemotherapy-Loaded Nanoparticles. Small 2018, 14, 1802886. [Google Scholar] [CrossRef] [PubMed]
Sample Availability: Samples of the compounds are available from the authors. |









| Solvent (70:30) | Peak Name | rt (min) | Area (%) | λmax (nm) | Match |
|---|---|---|---|---|---|
| MeOH/H2O | Me1 | 8.47 | 51.23 | 284 | 999.618 |
| Me2 | 21.85 | 48.77 | 282 | 984.860 | |
| EtOH/H2O | Et1 | 8.05 | 51.41 | 284 | 999.970 |
| Et2 | 35.70 | 48.59 | 282 | 989.726 | |
| iPrOH/H2O | iPr1 | 6.20 | 57.15 | 284 | 999.918 |
| iPr2 | 56.26 | 42.85 | 282 | 983.303 | |
| MeOH/H2O | HMF | 8.63 | 284 |
| Solvent (70:30) | Peak | Detected Mass [M + H]+ (amu) | Calculated Mass (amu) | Molecular Formula | Molecular Mass (amu) | Error (ppm) |
|---|---|---|---|---|---|---|
| MeOH/H2O | Me1 | 127.0389 | 126.0317 | C6H6O3 | 126.0317 | −0.16 |
| Me2 | 141.0546 | 140.0473 | C7H8O3 | 140.0474 | −0.11 | |
| EtOH/H2O | Et1 | 127.0391 | 126.0317 | C6H6O3 | 126.0318 | −0.85 |
| Et2 | 155.07011 | 154.0630 | C8H10O3 | 154.0629 | 0.91 | |
| iPrOH/H2O | iPr1 | Not detectable | ||||
| iPr2 | 169.0860 | 168.0786 | C9H12O3 | 168.0786 | −0.7 | |
| HMF | 127.0389 | 126.0317 | C6H6O3 | 126.0316 | 0.74 |
| Compound | Rt (min) | Characteristic Fragmentation Ions (m/z) | Molecular Formula | Error (ppm) | Assignment |
|---|---|---|---|---|---|
| and Relative Abundances | |||||
| Me1 | 1.9 | [127→]: 127.0395 (10.08) | C6H7O3 | −3.97 | HMF |
| 109.0290 (100.00) | C6H5O2 | −5.23 | |||
| 81.0347 (47.96) | C5H5O | −14.99 | |||
| 53.0405 (22.77) | C4H5 | −36.64 | |||
| [109→]*: 109.0285 (100.00) | C6H5O2 | −0.86 | |||
| 81.0343 (96.52) | C5H5O | −9.98 | |||
| 53.0398 (80.58) | C4H5 | −23.07 | |||
| Me2 | [141→]: 141.0545 (26.14) | C7H9O3 | 0.66 | Methoxy- | |
| 109.0285 (100.00) | C6H5O2 | −0.96 | dihydrofuro-furan | ||
| 81.0343 (32.01) | C5H5O | −9.72 | |||
| 53.0399 (15.55) | C4H5 | −24.68 | |||
| Et1 | 1.66 | [127→]: 127.0389 (38.43) | C6H7O3 | 0.49 | HMF |
| 109.0290 (100.00) | C6H5O2 | −5.75 | |||
| 81.0346 (51.82) | C5H5O | −13.75 | |||
| 53.0402 (19.61) | C4H5 | −30.57 | |||
| [109→]*: 109.0299 (82.29) | C6H5O2 | −13.38 | |||
| 81.0346 (100.00) | C5H5O | −13.77 | |||
| 53.0410 (50.08) | C4H5 | −46.38 | |||
| Et2 | 7.18 | [155→]: 155.0701 (28.25) | C8H11O3 | 0.92 | Ethoxy- |
| 109.0285 (100.00) | C6H5O2 | −1.28 | dihydrofuro-furan | ||
| 81.0339 (28.73) | C5H5O | −10.62 | |||
| 53.0398 (7.65) | C4H5 | −22.33 | |||
| iPr2 | 9.9 | [169→]: 169.0864 (57.32) | C9H13O3 | −2.97 | Isopropoxy- |
| 109.0285 (100.00) | C6H5O2 | −0.94 | dihydrofuro-furan | ||
| 81.0338 (24.72) | C5H5O | −4.25 | |||
| 53.0404 (5.19) | C4H5 | −34.02 | |||
| Standard Compounds | |||||
| 2,5-HMF | 1.91 | [127→]: 127.0394 (27.64) | C6H7O3 | −3.63 | |
| 109.0289 (100.00) | C6H5O2 | −4.74 | |||
| 81.0347 (44.59) | C5H5O | −14.63 | |||
| 53.0404 (20.76) | C4H5 | −34.85 | |||
| [109→]*: 109.0292 (100.00) | C6H5O2 | −7.02 | |||
| 81.0348 (87.99) | C5H5O | −16.19 | |||
| 53.0403 (83.09) | C4H5 | −32.78 | |||
| Ethyl-2-furoate | 10.39 | [141→]: 141.0535 (42.94) | C7H9O3 | 7.67 | |
| 113.0233 (100.00) | C5H5O3 | 0.42 | |||
| 95.0130 (99.29) | C5H5O2 | −2.63 | |||
| Propyl-2-furoate | 11.38 | [155→]: 155.0712 (12.54) | C8H11O3 | −6.13 | |
| 113.0233 (100.00) | C5H5O3 | 0.25 | |||
| 95.0142 (53.88) | C5H5O2 | −14.94 | |||
| Targeted Mass * | Rt (min) |
|---|---|
| 109 | 1.50 |
| 127 | 1.50 |
| 141 | 3.63 |
| 155 | 7.18 |
| 169 | 9.92 |
© 2019 by the authors. Licensee MDPI, Basel, Switzerland. This article is an open access article distributed under the terms and conditions of the Creative Commons Attribution (CC BY) license (http://creativecommons.org/licenses/by/4.0/).
Share and Cite
Lucioli, S.; Pastorino, F.; Nota, P.; Ballan, G.; Frattarelli, A.; Fabbri, A.; Forni, C.; Caboni, E. Extracts from Cell Suspension Cultures of Strawberry (Fragaria x ananassa Duch): Cytotoxic Effects on Human Cancer Cells. Molecules 2019, 24, 1738. https://doi.org/10.3390/molecules24091738
Lucioli S, Pastorino F, Nota P, Ballan G, Frattarelli A, Fabbri A, Forni C, Caboni E. Extracts from Cell Suspension Cultures of Strawberry (Fragaria x ananassa Duch): Cytotoxic Effects on Human Cancer Cells. Molecules. 2019; 24(9):1738. https://doi.org/10.3390/molecules24091738
Chicago/Turabian StyleLucioli, Simona, Fabio Pastorino, Paolo Nota, Giulia Ballan, Andrea Frattarelli, Alessia Fabbri, Cinzia Forni, and Emilia Caboni. 2019. "Extracts from Cell Suspension Cultures of Strawberry (Fragaria x ananassa Duch): Cytotoxic Effects on Human Cancer Cells" Molecules 24, no. 9: 1738. https://doi.org/10.3390/molecules24091738
APA StyleLucioli, S., Pastorino, F., Nota, P., Ballan, G., Frattarelli, A., Fabbri, A., Forni, C., & Caboni, E. (2019). Extracts from Cell Suspension Cultures of Strawberry (Fragaria x ananassa Duch): Cytotoxic Effects on Human Cancer Cells. Molecules, 24(9), 1738. https://doi.org/10.3390/molecules24091738

