Diclofenac-Derived Hybrids for Treatment of Actinic Keratosis and Squamous Cell Carcinoma
Abstract
:1. Introduction
2. Results and Discussion
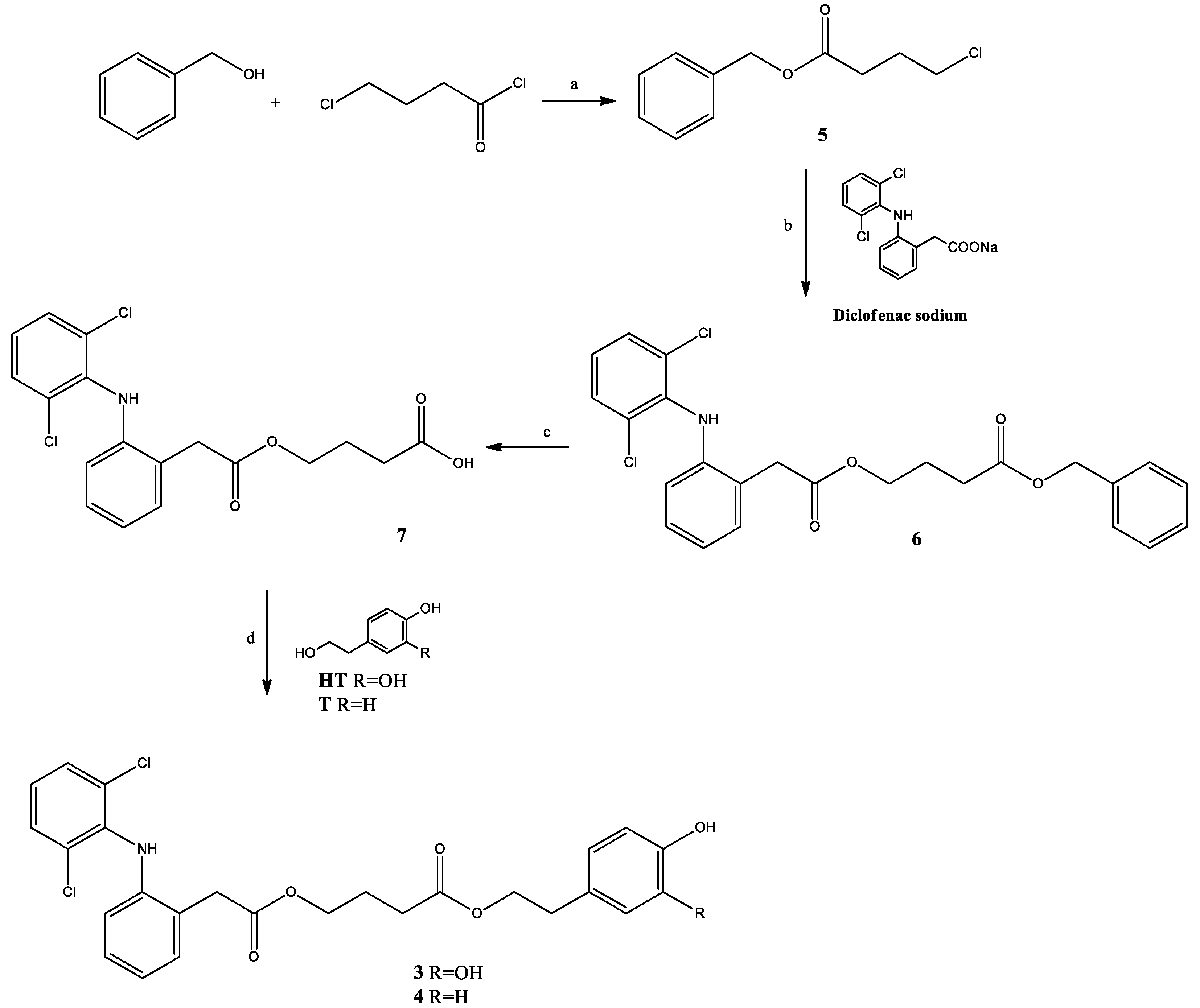
2.1. Synthesis
2.2. Pharmacological Activity
2.3. Nanomicellar Formulation Containing Hybrid 1
3. Materials and Methods
3.1. Chemicals and Instrumentation
3.2. Synthesis Method
3.2.1. General Procedure for the Synthesis of Compounds 1, 2
3,4-Dihydroxyphenethyl 2-(2-((2,6-dichlorophenyl)amino)phenyl)acetate (1). Purified by flash chromatography on a silica gel column, eluting with ethyl acetate/petroleum ether (3:7). Yield 52%; white solid mp 123–125 °C. 1H-NMR (CDCl3): δ (ppm) 7.34 (d, 2H, J = 8.0 Hz, Ar), 7.22 (dd, 1H, J = 1.2, 7.6 Hz, Ar), 7.15 (dt, 1H, J = 1.2, 7.6 Hz, Ar), 6.95–7.01 (m, 2H, Ar), 6.80 (br s, 1H, NH), 6.73 (d, 1H, J = 8.0 Hz, Ar), 6.53–6.58 (m, 3H, Ar), 5.01 (br s, 1H, OH), 4.91 (br s, 1H, OH), 4.31 (t, 2H, J = 6.8 Hz, CH2), 3.80 (s, 2H, CH2Ph), 2.82 (t, 2H, J = 6.8 Hz, CH2). 13C-NMR (CDCl3): δ (ppm) 172.45, 143.45, 142.95, 142.48, 137.78, 131.21, 130.48, 129.81, 129.01, 128.09, 124.35, 122.04, 121.56, 118.25, 116.07, 115.50, 66.15, 38.86, 34.50. HPLC analysis: retention time = 7.50 min; peak area, 96% (280 nm).
3-Hydroxyphenethyl 2-(2-((2,6-dichlorophenyl)amino)phenyl)acetate (2). Purified by chromatography on a silica gel column, eluting with ethyl acetate/petroleum ether (1:9). Yield 30%; yellow solid mp 120–122 °C; 1H-NMR (CDCl3): δ (ppm) 7.34 (d, 2H, J = 8.0 Hz, Ar), 7.21 (dd, 1H, J = 1.2, 7.6 Hz, Ar), 7.13 (dt, 1H, J = 1.6, 7.6 Hz, Ar), 7.00 (d, 2H, J = 8.4 Hz, Ar), 6.94–7.00 (m, 2H, Ar), 6.84 (br s, 1H, NH), 6.71 (d, 2H, J = 8.4 Hz, Ar), 6.55 (d, 1H, J = 7.6 Hz, Ar), 4.60 (br s, 2H, OH), 4.31 (t, 2H, J = 7.1 Hz, CH2), 3.79 (s, 2H, CH2Ph), 2.88 (t, 2H, J = 7.1 Hz, CH2). 13C-NMR (CDCl3): δ 172.32, 154.37, 142.89, 137.99, 131.06, 130.50, 130.36, 130.21, 129.85, 129.75, 129.01, 128.11, 124.47, 124.18, 122.15, 118.40, 115.51, 66.08, 38.83, 34.37. HPLC analysis: retention time = 10.43 min; peak area, 99% (280 nm).
3.2.2. General Procedure for the Synthesis of Compounds 3, 4
3,4-Dihydroxyphenethyl 4-(2-(2-((2,6-dichlorophenyl)amino)phenyl) acetoxy)butanoate (3). The residue was purified by chromatography on a silica gel column, eluting with CHCl3/AcOEt 7:3, and subsequently triturated with Et2O. Yield 20%; oil. 1H-NMR (CDCl3): δ (ppm) 7.35 (d, 2H, J = 8.0 Hz, Ar), 7.22 (dd, 1H, J = 1.2, 7.2 Hz, Ar), 7.11–7.16 (m, 1H, Ar); 6.99 (t, 1H, J = 8.0 Hz, Ar), 6.97 (t, 1H, J = 7.4 Hz, Ar), 6.82 (br s, 1H, NH), 6.78 (d, 1H, J = 8.0 Hz, Ar), 6.72 (d, 1H, J = 2.0 Hz, Ar) , 6.62 (dd, 1H, J = 2.0, 8.0 Hz, Ar), 6.56 (d, 1H, J = 8.0 Hz, Ar), 5.26 (br s, 1H, OH), 5.75 (br s, 1H, OH), 4.25 (t, 2H, J = 6.6 Hz, CH2), 4.15 (t, 2H, J = 6.6 Hz, CH2), 3.82 (s, 2H, CH2Ph), 2.81 (t, 2H, J = 6.6 Hz, CH2), 2.36 (t, 2H, J = 7.0 Hz, CH2), 1.92–2.01 (m, 2H, CH2). 13C-NMR (CDCl3): δ 172.98, 172.89, 143.86, 142.79, 142.70, 137.88, 131.00, 130.55, 129.63, 129.01, 128.21, 124.28, 124.23, 122.24, 121.23, 118.47, 116.09, 115.51, 65.49, 64.59, 38.66, 34.49, 30.75, 24.04. HPLC analysis: retention time = 11.47 min; peak area, 95% (280 nm).
4-Hydroxyphenethyl 4-(2-(2-((2,6-dichlorophenyl)amino)phenyl)acetoxy)butanoate (4). Purified by chromatography on a silica gel column, eluting with CHCl3/AcOEt 9:1, and subsequently triturated with Et2O. Yield 23%; oil. 1H-NMR (CDCl3): δ (ppm) 7.34 (d, 2H, J = 8.0 Hz, Ar), 7.21–7.24 (m, 1H, Ar), 7.23 (d, 2H, J = 8.4 Hz, Ar), 7.13 (dt, 1H, J = 1.5, 7.7 Hz, Ar), 7.02 (d, 2H, J = 8.4 Hz, Ar), 6.94–7.03 (m, 2H, Ar), 6.91 (br s, 1H, NH), 6.56 (d, 1H, J = 7.6 Hz, Ar), 4.27 (t, 2H, J = 6.4 Hz, CH2), 3.85 (t, 2H, J = 6.4 Hz, CH2), 3.83 (s, 2H, CH2Ph), 2.86 (t, 2H, J = 6.6 Hz, CH2), 2.63 (t, 2H, J = 7.4 Hz, CH2), 2.08–2.15 (m, 2H, CH2). 13C-NMR (CDCl3): δ (ppm) 172.45, 171.52, 149.27, 142.81, 137.90, 136.31, 130.95, 130.10, 129.61, 128.98, 128.15, 124.34, 124.15, 122.17, 121.64, 118.43, 64.22, 63.65, 38.66, 30.87, 24.08. HPLC analysis: retention time = 11.35 min; peak area, 95% (280 nm).
3.2.3. Synthesis of Benzyl 4-Chlorobutanoate (5)
3.2.4. Synthesis of Benzyl 4-(2-(2-((2,6-Dichlorophenyl)amino)phenyl)acetoxy)butanoate (6)
3.2.5. Synthesis of 4-(2-(2-((2,6-Dichlorophenyl)amino)phenyl)acetoxy)butanoic acid (7)
3.3. Biological Assay Procedures
3.3.1. Cell Cultures and Experimental Models
3.3.2. Cell Viability Assay
3.4. Nanomicellar Formulation Containing Hybrid 1
3.4.1. Preparation of self-assembling Surfactant Nanomicelles
3.4.2. Physico-Chemical Characterization
3.4.3. In Vitro Cutaneous Permeation and Distribution Studies
4. Statistical Analysis
5. Conclusions
Supplementary Materials
Author Contributions
Funding
Conflicts of Interest
References
- Fernandez Figueras, M.T. From actinic keratosis to squamous cell carcinoma: Pathophysiology revisited. J. Eur. Acad. Dermatol. Venereol. 2017, 31, 5–7. [Google Scholar] [CrossRef]
- Thomas, G.J.; Herranz, P.; Cruz, S.B.; Parodi, A. Treatment of actinic keratosis through inhibition of cyclooxygenase-2: Potential mechanism of action of diclofenac sodium 3% in hyaluronic acid 2.5%. Dermatol. Ther. (Heidelb) 2019, e12800. [Google Scholar] [CrossRef]
- Brinkhuizen, T.; Frencken, K.J.; Nelemans, P.J.; Hoff, M.L.; Kelleners-Smeets, N.W.; Zur Hausen, A.; van der Horst, M.P.; Rennspiess, D.; Winnepenninckx, V.J.; van Steensel, M.A.; et al. The effect of topical diclofenac 3% and calcitriol 3 mg/g on superficial basal cell carcinoma (sBCC) and nodular basal cell carcinoma (nBCC): A phase ii, randomized controlled trial. J. Am. Acad. Dermatol. 2016, 75, 126–134. [Google Scholar] [CrossRef]
- Janowska, A.; Dini, V.; Oranges, T.; Colombo, G.; Bruno, G.; Di Matteo, S.; Romanelli, M. The relapse rate in patients with actinic keratosis treated with diclofenac sodium 3% gel. Int. J. Med. Sci. Clin. Invent. 2019, 6, 4313–4317. [Google Scholar]
- Godic, A.; Poljšak, B.; Adamic, M.; Dahmane, R. The role of antioxidants in skin cancer prevention and treatment. Oxid. Med. Cell. Longev. 2014, 2014, 1–6. [Google Scholar] [CrossRef]
- Fabiani, R. Anti-cancer properties of olive oil secoiridoid phenols: A systematic review of in vivo studies. Food Funct. 2016, 7, 4145–4159. [Google Scholar] [CrossRef]
- Chia, Y.C.; Rajbanshi, R.; Calhoun, C.; Chiu, R.H. Anti-neoplastic effects of gallic acid, a major component of toona sinensis leaf extract, on oral squamous carcinoma cells. Molecules 2010, 8377–8389. [Google Scholar] [CrossRef]
- Chiang, E.P.; Tsai, S.Y.; Kuo, Y.H.; Pai, M.H.; Chiu, H.L.; Rodriguez, R.L.; Tang, F.Y. Caffeic acid derivatives inhibit the growth of colon cancer: Involvement of the PI3-K/AKT and ampk signaling pathways. PLoS ONE 2014, 9, e99631. [Google Scholar] [CrossRef]
- Subramanian, V.; Venkatesan, B.; Tumala, A.; Vellaichamy, E. Topical application of gallic acid suppresses the 7,12-dmba/croton oil induced two-step skin carcinogenesis by modulating anti-oxidants and mmp-2/mmp-9 in swiss albino mice. Food Chem. Toxicol. 2014, 66, 44–55. [Google Scholar] [CrossRef]
- Martínez, L.; Ros, G.; Nieto, G. Hydroxytyrosol: Health benefits and use as functional ingredient in meat. Medicines 2018, 5, 13. [Google Scholar] [CrossRef]
- Li, S.; Han, Z.; Ma, Y.; Song, R.; Pei, T.; Zheng, T.; Wang, J.; Xu, D.; Fang, X.; Jiang, H.; et al. Hydroxytyrosol inhibits cholangiocarcinoma tumor growth: An in vivo and in vitro study. Oncol. Rep. 2014, 31, 145–152. [Google Scholar] [CrossRef]
- Sun, L.; Luo, C.; Liu, J. Hydroxytyrosol induces apoptosis in human colon cancer cells through ros generation. Food Funct. 2014, 5, 1909–1914. [Google Scholar] [CrossRef]
- Zhao, B.; Ma, Y.; Xu, Z.; Wang, J.; Wang, F.; Wang, D.; Pan, S.; Wu, Y.; Pan, H.; Xu, D.; et al. Hydroxytyrosol, a natural molecule from olive oil, suppresses the growth of human hepatocellular carcinoma cells via inactivating AKT and nuclear factor-kappa B pathways. Cancer Lett. 2014, 347, 79–87. [Google Scholar] [CrossRef]
- Anter, J.; Tasset, I.; Demyda-Peyrás, S.; Ranchal, I.; Moreno-Millán, M.; Romero-Jimenez, M.; Muntané, J.; Luque de Castro, M.D.; Muñoz-Serrano, A.; Alonso-Moraga, Á. Evaluation of potential antigenotoxic, cytotoxic and proapoptotic effects of the olive oil by-product “alperujo”, hydroxytyrosol, tyrosol and verbascoside. Mutat. Res. Genet. Toxicol. Environ. Mutagen. 2014, 772, 25–33. [Google Scholar] [CrossRef] [PubMed]
- Kucuksayan, E.; Ozben, T. Hybrid compounds as multitarget directed anticancer agents. Curr. Top. Med. Chem. 2017, 17, 907–918. [Google Scholar] [CrossRef]
- Palmer, B.C.; DeLouise, L.A. Nanoparticle-enabled transdermal drug delivery systems for enhanced dose control and tissue targeting. Molecules 2016, 21, E1719. [Google Scholar] [CrossRef]
- Lee, R.W.; Shenoy, D.B.; Sheel, R. Micellar nanoparticles: Applications for topical and passive transdermal drug delivery. In Personal Care & Cosmetic Technology, Handbook of Non-Invasive Drug Delivery Systems; Vitthal S. Kulkarni, Ed.; William Andrew Publishing, Elsevier: Amsterdam, The Netherlands, 2010; pp. 37–58. [Google Scholar]
- Lapteva, M.; Mondon, K.; Moller, M.; Gurny, R.; Kalia, Y.N. Polymeric micelle nanocarriers for the cutaneous delivery of tacrolimus: A targeted approach for the treatment of psoriasis. Mol. Pharm. 2014, 11, 2989–3001. [Google Scholar] [CrossRef]
- Makhmalzade, B.S.; Chavoshy, F. Polymeric micelles as cutaneous drug delivery system in normal skin and dermatological disorders. J. Adv. Pharm. Technol. Res. 2018, 9, 2–8. [Google Scholar]
- Jacobi, U.; Kaiser, M.; Toll, R.; Mangelsdorf, S.; Audring, H.; Otberg, N.; Sterry, W.; Lademann, J. Porcine ear skin: An in vitro model for human skin. Skin Res. Technol. 2007, 13, 19–24. [Google Scholar] [CrossRef]
- Arumugam, A.; Weng, Z.; Talwelkar, S.S.; Chaudhary, S.C.; Kopelovich, L.; Elmets, C.A.; Afaq, F.; Athar, M. Inhibiting cycloxygenase and ornithine decarboxylase by diclofenac and alpha-difluoromethylornithine blocks cutaneous SCCs by targeting Akt-ERK axis. PLoS ONE 2013, 8, e80076. [Google Scholar] [CrossRef]
- Mayorek, N.; Naftali-Shani, N.; Grunewald, M. Diclofenac inhibits tumor growth in a murine model of pancreatic cancer by modulation of vegf levels and arginase activity. PLoS ONE 2010, 5, e12715. [Google Scholar] [CrossRef] [PubMed]
- Moody, T.W.; Switzer, C.; Santana-Flores, W. Dithiolethione modified valproate and diclofenac increase E-cadherin expression and decrease proliferation of non-small cell lung cancer cells. Lung Cancer 2010, 68, 154–160. [Google Scholar] [CrossRef]
- Smirnova, A.V.; Lazebnik, L.B.; Trubitsina, I.E. Antiproliferative activity of diclofenac at tumor cell cultures. Eksp. Klin. Gastroenterol. 2012, 5, 66–69. [Google Scholar]
- Bouallagui, Z.; Han, J.; Isoda, H.; Sayadi, S. Hydroxytyrosol rich extract from olive leaves modulates cell cycle progression in MCF-7 human breast cancer cells. Food Chem. Toxicol. 2011, 49, 179–184. [Google Scholar] [CrossRef] [PubMed]
- Corona, G.; Deiana, M.; Incani, A.; Vauzour, D.; Dessì, M.A.; Spencer, J.P. Hydroxytyrosol inhibits the proliferation of human colon adenocarcinoma cells through inhibition of ERK1/2 and cyclin D1. Mol. Nutr. Food Res. 2009, 53, 897–903. [Google Scholar] [CrossRef]
- Fabiani, R.; De Bartolomeo, A.; Rosignoli, P.; Servili, M.; Montedoro, G.F.; Morozzi, G. Cancer chemoprevention by hydroxytyrosol isolated from virgin olive oil through G1 cell cycle arrest and apoptosis. Eur. J. Cancer Prev. 2002, 11, 351–358. [Google Scholar] [CrossRef] [PubMed]
- López de Las Hazas, M.C.; Piñol, C.; Macià, A.; Motilva, M.J. Hydroxytyrosol and the colonic metabolites derived from virgin olive oil intake induce cell cycle arrest and apoptosis in colon cancer cells. J. Agric. Food Chem. 2017, 65, 6467–6476. [Google Scholar] [CrossRef] [PubMed]
- Sirianni, R.; Chimento, A.; De Luca, A.; Casaburi, I.; Rizza, P.; Onofrio, A.; Iacopetta, D.; Puoci, F.; Andò, S.; Maggiolini, M.; et al. Oleuropein and hydroxytyrosol inhibit MCF-7 breast cancer cell proliferation interfering with ERK1/2 activation. Mol. Nutr. Food Res. 2010, 54, 833–840. [Google Scholar] [CrossRef]
- Toteda, G.; Lupinacci, S.; Vizza, D.; Bonofiglio, R.; Perri, E.; Bonofiglio, M.; Lofaro, D.; La Russa, A.; Leone, F.; Gigliotti, P.; et al. High doses of hydroxytyrosol induce apoptosis in papillary and follicular thyroid cancer cells. J. Endocrinol. Investig. 2017, 40, 153–162. [Google Scholar] [CrossRef]
- Terzuoli, E.; Giachetti, A.; Ziche, M.; Donnini, S. Hydroxytyrosol, a product from olive oil, reduces colon cancer growth by enhancing epidermal growth factor receptor degradation. Mol. Nutr. Food Res. 2016, 60, 519–529. [Google Scholar] [CrossRef]
- Gareth, J.T.; Colin, A.M. Cyclooxygenase in cancer prevention and treatments for actinic keratosis. Dermatol. Ther. (Heidelb) 2017, 7, S21–S29. [Google Scholar]
- Goren, I.; Lee, S.Y.; Maucher, D.; Nüsing, R.; Schlich, T.; Pfeilschifter, J.; Frank, S. Inhibition of cyclooxygenase-1 and -2 activity in keratinocytes inhibits PGE2 formation and impairs vascular endothelial growth factor release and neovascularisation in skin wounds. Int. Wound J. 2017, 14, 53–63. [Google Scholar] [CrossRef] [PubMed]
- Shen, S.; Ko, C.; Hsu, K.; Chen, Y. 3-OH flavone inhibition of epidermal growth factor-induced proliferaton through blocking prostaglandin E2 production. Int. J. Cancer 2004, 108, 502–510. [Google Scholar] [CrossRef]
- Grudinkin, P.S.; Zenin, V.V.; Kropotov, A.V.; Dorosh, V.N.; Nikolsky, N.N. EGF-induced apoptosis in A431 cells is dependent on STAT1, but not on STAT3. Eur. J. Cell Biol. Oct. 2007, 86, 591–603. [Google Scholar] [CrossRef]
- Yang, C.; Wu, T.; Qi, Y.; Zhang, Z. Recent advances in the application of vitamin E TPGS for drug delivery. Theranostics 2018, 8, 464–485. [Google Scholar] [CrossRef]
- Gillet, J.P.; Gottesman, M.M. Mechanisms of multidrug resistance in cancer. In Multi-Drug Resistance in Cancer; Zhou, J., Ed.; Humana Press, Springer: Heidelberg, Germany, 2010; p. 596. [Google Scholar]
- Su, Y.; Hu, J.; Huang, Z.; Huang, Y.; Peng, B.; Xie, N.; Liu, H. Paclitaxel-loaded star-shaped copolymer nanoparticles for enhanced malignant melanoma chemotherapy against multi drug resistance. Drug Des. Dev. Ther. 2017, 11, 659–668. [Google Scholar] [CrossRef] [PubMed]
- Monti, D.; Egiziano, E.; Burgalassi, S.; Chetoni, P.; Chiappe, C.; Sanzone, A.; Tampucci, S. Ionic liquids as potential enhancers for transdermal drug delivery. Int. J. Pharm. 2017, 516, 45–51. [Google Scholar] [CrossRef]
- Ghafourian, T.; Nokhodchi, A.; Kaialy, W. Surfactants as penetration enhancers for dermal and transdermal drug delivery. Percutaneous Penetr. Enhanc. Chem. Methods Penetr. Enhanc. 2015, 207–230. [Google Scholar]
- Polini, B.; Digiacomo, M.; Carpi, S.; Bertini, S.; Gado, F.; Saccomanni, G.; Macchia, M.; Nieri, P.; Manera, C.; Fogli, S. Oleocanthal and oleacein contribute to the in vitro therapeutic potential of extra virgin oil-derived extracts in non-melanoma skin cancer. Toxicol. In Vitro 2018, 52, 243–250. [Google Scholar] [CrossRef]
- Carpi, S.; Polini, B.; Poli, G.; Alcantara Barata, G.; Fogli, S.; Romanini, A.; Tuccinardi, T.; Guella, G.; Frontini, F.P.; Nieri, P.; et al. Anticancer activity of euplotin C, isolated from the marine ciliate euplotes crassus, against human melanoma cells. Mar. Drugs 2018, 16, E166. [Google Scholar] [CrossRef]
- Monti, D.; Tampucci, S.; Burgalassi, S.; Chetoni, P.; Lenzi, C.; Pirone, A.; Mailland, F. Topical formulations containing finasteride. Part I: In vitro permeation/penetration study and in vivo pharmacokinetics in hairless rat. J. Pharm. Sci. 2014, 103, 2307–2314. [Google Scholar] [CrossRef] [PubMed]
- Tampucci, S.; Burgalassi, S.; Chetoni, P.; Lenzi, C.; Pirone, A.; Mailland, F.; Caserini, M.; Monti, D. Topical Formulations Containing Finasteride. Part II: Determination of Finasteride Penetration into Hair Follicles using the Differential Stripping Technique. J. Pharm. Sci. 2014, 103, 2323–2329. [Google Scholar] [CrossRef]
- Monti, D.; Chetoni, P.; Burgalassi, S.; Tampucci, S.; Centini, M.; Anselmi, C. 4-methylbenzydene camphor microspheres: Reconstituted epidermis (skinethic®) permeation and distribution. Int. J. Cosmet. Sci. 2015, 37, 298–305. [Google Scholar] [CrossRef] [PubMed]
- Reis, J.S.; Corrêa, M.A.; Chung, M.C.; Dos Santos, J.L. Synthesis, antioxidant and photoprotection activities of hybrid derivatives useful to prevent skin cancer. Bioorg. Med. Chem. 2014, 22, 2733–2738. [Google Scholar] [CrossRef] [PubMed]
Sample Availability: Samples of the compounds 1–4 are available from the authors. |






| Treatment | IC50 ± SEM (μM) | |
|---|---|---|
| EGF-stimulated HaCaT | A431 | |
| D | 67.07 ± 1.94 | 31.96 ± 1.05 |
| HT | 72.31 ± 3.58 | NR |
| 1 | 3.71 ± 1.08 | 13.51 ± 2.49 |
| 3 | 17.77 ± 1.09 | 30.65 ± 1.33 |
| T | NR | NR |
| 2 | 16.06 ± 1.15 | 27.51 ± 1.24 |
| 4 | NR | NR |
| Formulation Type | Size (nm) | P.I. | Drug Content (µmol/mL) | Entrapment (%) | Loading (%) |
|---|---|---|---|---|---|
| Nano3Hybrid10 | 14.28 ± 0.24 | 0.2007 | 8.24 ± 0.29 | 80.32 ± 2.89 | 10.32 ± 0.37 |
| Nano3Hybrid15 | 24.98 ± 0.46 | 0.3038 | 11.44 ± 0.27 | 79.41 ± 1.97 | 13.48 ± 0.33 |
| Nano3Hybrid20 | 68.55 ± 5.09 | 0.3562 | 19.3 ± 0.54 | 96.48 ± 1.08 | 22.13 ± 0.34 |
| Nano5Hybrid30 | 50.67 ± 5.2 | 0.3660 | 27.01 ± 0.58 | 93.51 ± 1.56 | 18.77 ± 0.31 |
| Formulation | Drug | Flux, nmol/cm2·h | Lag time, h | Qpermeated 24 h, nmol |
|---|---|---|---|---|
| Solaraze | Diclofenac | 2.01 ± 0.37 | 7.90 ± 0.50 | 32.53 ± 6.36 |
| Nano3Hybrid10 | Hybrid 1 | No permeation | ||
| Diclofenac | 0.12 ± 0.02 | 1.42 ± 0.80 | 3.49 ± 0.62 | |
| Nano3Hybrid15 | Hybrid 1 | No permeation | ||
| Diclofenac | 0.04 ± 0.001 | 2.86 ± 1.57 | 1.18 ± 0.11 | |
| Nano3Hybrid20 | Hybrid 1 | No permeation | ||
| Diclofenac | 0.58 ± 0.004 | 10.8 ± 0.03 | 9.42 ± 0.08 | |
| Nano5Hybrid30 | Hybrid 1 | 0.16 ± 0.08 | 9.10 ± 3.76 | 3.27 ± 2.18 |
| Diclofenac | 0.24 ± 0.06 | 7.09 ± 3.55 | 7.27 ± 4.32 | |
| Formulations | Diclofenac Permeated | Diclofenac Recovered | Hybrid 1 Permeated | Hybrid 1 Recovered |
|---|---|---|---|---|
| Solaraze | 32.53 ± 6.36 | 158 ± 20.5 | n.a. | n.a. |
| Nano3Hybrid10 | 3.49 ± 0.62 | 1.47 ± 1.17 | - | 3.23 ± 0.33 |
| Nano3Hybrid15 | 1.18 ± 0.11 | 1.68 ± 0.50 | - | 6.10 ± 0.97 |
| Nano3Hybrid20 | 9.42 ± 0.08 | 28.21 ± 6.94 | - | 10.42 ± 0.92 |
| Nano5Hybrid30 | 7.28 ± 4.32 | 18.96 ± 3.45 | 3.27 ± 2.19 | 14.1 ± 5.52 |
| Formulation Type | Total Surfactant (% w/w) * | Hybrid-1 (mM) |
|---|---|---|
| Nano3Hybrid10 | 3.0 | 10 |
| Nano3Hybrid15 | 3.0 | 15 |
| Nano3Hybrid20 | 3.0 | 20 |
| Nano5Hybrid30 | 5.0 | 30 |
© 2019 by the authors. Licensee MDPI, Basel, Switzerland. This article is an open access article distributed under the terms and conditions of the Creative Commons Attribution (CC BY) license (http://creativecommons.org/licenses/by/4.0/).
Share and Cite
Tampucci, S.; Carpi, S.; Digiacomo, M.; Polini, B.; Fogli, S.; Burgalassi, S.; Macchia, M.; Nieri, P.; Manera, C.; Monti, D. Diclofenac-Derived Hybrids for Treatment of Actinic Keratosis and Squamous Cell Carcinoma. Molecules 2019, 24, 1793. https://doi.org/10.3390/molecules24091793
Tampucci S, Carpi S, Digiacomo M, Polini B, Fogli S, Burgalassi S, Macchia M, Nieri P, Manera C, Monti D. Diclofenac-Derived Hybrids for Treatment of Actinic Keratosis and Squamous Cell Carcinoma. Molecules. 2019; 24(9):1793. https://doi.org/10.3390/molecules24091793
Chicago/Turabian StyleTampucci, Silvia, Sara Carpi, Maria Digiacomo, Beatrice Polini, Stefano Fogli, Susi Burgalassi, Marco Macchia, Paola Nieri, Clementina Manera, and Daniela Monti. 2019. "Diclofenac-Derived Hybrids for Treatment of Actinic Keratosis and Squamous Cell Carcinoma" Molecules 24, no. 9: 1793. https://doi.org/10.3390/molecules24091793
APA StyleTampucci, S., Carpi, S., Digiacomo, M., Polini, B., Fogli, S., Burgalassi, S., Macchia, M., Nieri, P., Manera, C., & Monti, D. (2019). Diclofenac-Derived Hybrids for Treatment of Actinic Keratosis and Squamous Cell Carcinoma. Molecules, 24(9), 1793. https://doi.org/10.3390/molecules24091793

