Synthesis and Acid-Responsiveness of an Insulated π-Conjugated Polymer Containing Spiropyrans in Its Backbone
Abstract
1. Introduction
2. Results and Discussion
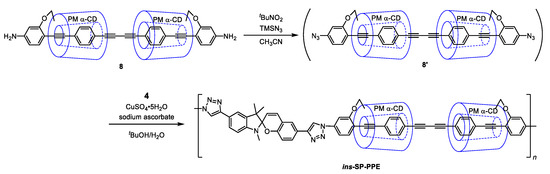
2.1. Synthesis of Ins-SP-PPE and Unins-SP-PPE
2.2. UV-Vis Titration with Acid and Base Stimuli
2.3. 1H-NMR Study
2.4. Photoluminescence Study in the Solution and Solid State
3. Materials and Methods
Synthesis of Ins-SP-PPE
4. Conclusions
Supplementary Materials
Author Contributions
Funding
Acknowledgments
Conflicts of Interest
References
- Fischer, E.; Hirshberg, Y. Formation of Coloured Forms of Spirans by Low-temperature Irradiation. J. Chem. Soc. 1952, 11, 4522–4524. [Google Scholar]
- Klajn, R. Spiropyran-based dynamic materials. Chem. Soc. Rev. 2014, 43, 148–184. [Google Scholar] [CrossRef] [PubMed]
- Florea, L.; Diamond, D.; Benito-Lopez, F. Photo-responsive polymeric structures based on spiropyran. Macromol. Mater. Eng. 2012, 297, 1148–1159. [Google Scholar] [CrossRef]
- Wojtyk, J.T.C.; Wasey, A.; Xiao, N.N.; Kazmaier, P.M.; Hoz, S.; Yu, C.; Lemieux, R.P.; Buncel, E. Elucidating the mechanisms of acidochromic spiropyran-merocyanine interconversion. J. Phys. Chem. A 2007, 111, 2511–2516. [Google Scholar] [CrossRef] [PubMed]
- Liu, Q.; Jiang, K.; Wen, Y.; Wang, J.; Luo, J.; Song, Y. High-performance optoelectrical dual-mode memory based on spiropyran-containing polyimide. Appl. Phys. Lett. 2010, 97, 253304. [Google Scholar] [CrossRef]
- Bardavid, Y.; Goykhman, I.; Nozaki, D.; Cuniberti, G.; Yitzchaik, S. Dipole assisted photogated switch in spiropyran grafted polyaniline nanowires. J. Phys. Chem. C 2011, 115, 3123–3128. [Google Scholar] [CrossRef]
- Chan, Y.H.; Gallina, M.E.; Zhang, X.; Wu, I.C.; Jin, Y.; Sun, W.; Chiu, D.T. Reversible photoswitching of spiropyran-conjugated semiconducting polymer dots. Anal. Chem. 2012, 84, 9431–9438. [Google Scholar] [CrossRef] [PubMed]
- Park, I.S.; Jung, Y.S.; Lee, K.J.; Kim, J.M. Photoswitching and sensor applications of a spiropyran-polythiophene conjugate. Chem. Commun. 2010, 46, 2859–2861. [Google Scholar] [CrossRef] [PubMed]
- Yang, J.; Ng, M.K. Synthesis of a photochromic conjugated polymer incorporating spirobenzopyran in the backbone. Synthesis 2006, 3075–3079. [Google Scholar] [CrossRef]
- Kadokawa, J.I.; Tanaka, Y.; Yamashita, Y.; Yamamoto, K. Synthesis of poly(spiropyran)s by polycondensation and their photoisomerization behaviors. Eur. Polym. J. 2012, 48, 549–559. [Google Scholar] [CrossRef]
- Kempe, F.; Brügner, O.; Buchheit, H.; Momm, S.N.; Riehle, F.; Hameury, S.; Walter, M.; Sommer, M. A simply synthesized, tough polyarylene with transient mechanochromic response. Angew. Chem. Int. Ed. 2018, 57, 997–1000. [Google Scholar] [CrossRef] [PubMed]
- Sommer, M.; Komber, H. Spiropyran main-chain conjugated polymers. Macromol. Rapid Commun. 2013, 34, 57–62. [Google Scholar] [CrossRef] [PubMed]
- Komber, H.; Müllers, S.; Lombeck, F.; Held, A.; Walter, M.; Sommer, M. Soluble and stable alternating main-chain merocyanine copolymers through quantitative spiropyran–merocyanine conversion. Polym. Chem. 2014, 5, 443–453. [Google Scholar] [CrossRef]
- Masai, H.; Terao, J. Stimuli-responsive functionalized insulated conjugated polymers. Polym. J. 2017, 49, 805–814. [Google Scholar] [CrossRef]
- Masai, H.; Terao, J. Synthetic Methodologies for Structurally Defined Linked-[n]Rotaxanes with Permethylated Cyclodextrins: Platform for Functionalized Molecular Electronics. Bull. Chem. Soc. Jpn. 2019, 92, 529–539. [Google Scholar] [CrossRef]
- Masai, H.; Terao, J.; Makuta, S.; Tachibana, Y.; Fujihara, T.; Tsuji, Y. Enhancement of phosphorescence and unimolecular behavior in the solid state by perfect insulation of platinum-acetylide polymers. J. Am. Chem. Soc. 2014, 136, 14714–14717. [Google Scholar] [CrossRef] [PubMed]
- Terao, J.; Ikai, K.; Kambe, N.; Seki, S.; Saeki, A.; Ohkoshi, K.; Fujihara, T.; Tsuji, Y. Synthesis of a head-to-tail-type cyclodextrin-based insulated molecular wire. Chem. Commun. 2011, 47, 6816–6818. [Google Scholar] [CrossRef] [PubMed]
- Hosomi, T.; Masai, H.; Fujihara, T.; Tsuji, Y.; Terao, J. A typical metal-ion-responsive color-tunable emitting insulated π-conjugated polymer film. Angew. Chem. Int. Ed. 2016, 55, 13427–13431. [Google Scholar] [CrossRef] [PubMed]
- Terao, J.; Kimura, K.; Seki, S.; Fujihara, T.; Tsuji, Y. Synthesis of an insulated molecular wire by click polymerization. Chem. Commun. 2012, 48, 1577–1579. [Google Scholar] [CrossRef] [PubMed]
- Masai, H.; Terao, J.; Fujihara, T.; Tsuji, Y. Rational Design for Rotaxane Synthesis through Intramolecular Slippage: Control of Activation Energy by Rigid Axle Length. Chem. Eur. J. 2016, 22, 6624–6630. [Google Scholar] [CrossRef] [PubMed]
Sample Availability: Samples of the compounds are available from the authors. |









© 2019 by the authors. Licensee MDPI, Basel, Switzerland. This article is an open access article distributed under the terms and conditions of the Creative Commons Attribution (CC BY) license (http://creativecommons.org/licenses/by/4.0/).
Share and Cite
Miyagishi, H.V.; Tamaki, T.; Masai, H.; Terao, J. Synthesis and Acid-Responsiveness of an Insulated π-Conjugated Polymer Containing Spiropyrans in Its Backbone. Molecules 2019, 24, 1301. https://doi.org/10.3390/molecules24071301
Miyagishi HV, Tamaki T, Masai H, Terao J. Synthesis and Acid-Responsiveness of an Insulated π-Conjugated Polymer Containing Spiropyrans in Its Backbone. Molecules. 2019; 24(7):1301. https://doi.org/10.3390/molecules24071301
Chicago/Turabian StyleMiyagishi, Hiromichi V., Takashi Tamaki, Hiroshi Masai, and Jun Terao. 2019. "Synthesis and Acid-Responsiveness of an Insulated π-Conjugated Polymer Containing Spiropyrans in Its Backbone" Molecules 24, no. 7: 1301. https://doi.org/10.3390/molecules24071301
APA StyleMiyagishi, H. V., Tamaki, T., Masai, H., & Terao, J. (2019). Synthesis and Acid-Responsiveness of an Insulated π-Conjugated Polymer Containing Spiropyrans in Its Backbone. Molecules, 24(7), 1301. https://doi.org/10.3390/molecules24071301
