Pyrido[2,3-d]pyrimidin-7(8H)-ones: Synthesis and Biomedical Applications
Abstract
1. Introduction
2. Structural Features of Pyrido[2,3-d]pyrimidin-7(8H)-ones: Substitution Patterns and Degree of Unsaturation C5-C6
2.1. Substitution Pattern at C2 and C4
2.2. Substitution Pattern at C5 and C6
2.3. Substitution Pattern at N8
- (a)
- In 14.08% of the 5,6-dihydropyrido[2,3-d]pyrimidin-7(8H)-ones (11): G2 = nitrogen substituent, G4 = oxygen substituent (in particular as a carbonyl group), R5 = phenyl group, R6 = H, N8 = H.
- (b)
- In 7.84% of the pyrido[2,3-d]pyrimidin-7(8H)-ones (10): G2 = nitrogen substituent, G4 = H, R5 = H, R6 = phenyl group, N8 = Me.
3. Synthetic Approaches to Pyrido[2,3-d]pyrimidin-7(8H)-ones
- (1)
- Search through Reaction Structure: in which it is possible to draw either two general starting products and the reaction arrow not drawing the reaction product or to draw a possible general starting material and the reaction arrow followed by the structure of the reaction product. Such approaches are very convenient once the possible starting products are known.
- (2)
- Retrosynthetic analysis: drawing the structure of the general final product indicating with a small arrow included in the structure editor the bonds to be broken. Such an approach is more useful when several possible synthetic approaches must be considered.
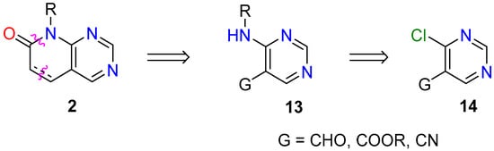
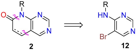
3.1. Synthesis from a Preformed Pyrimidine
3.2. Synthesis from a Preformed Pyridone
4. Biomedical Applications of Pyrido[2,3-d]pyrimidin-7(8H)-ones
5. Conclusions
Author Contributions
Funding
Conflicts of Interest
References
- Sako, M. Product class 19: Pyridopyrimidines. Sci. Synth. 2004, 16, 1155–1267. [Google Scholar]
- Akssira, M.; Guillaumet, G.; Routier, S. Recent advances in the chemistry and biology of pyridopyrimidines. Eur. J. Med. Chem. 2015, 95, 76–95. [Google Scholar]
- Evans, B.E.; Rittle, K.E.; Bock, M.G.; DiPardo, R.M.; Freidinger, R.M.; Whitter, W.L.; Lundell, G.F.; Veber, D.F.; Anderson, P.S.; Chang, R.S. Methods for drug discovery: Development of potent, selective, orally effective cholecystokinin antagonists. J. Med. Chem 1988, 31, 2235–2246. [Google Scholar] [CrossRef]
- Altomare, C.D. Privileged heterocyclic scaffolds in chemical biology and drug discovery: Synthesis and bioactivity. Chem. Heterocycl. Compd. 2017, 53, 239. [Google Scholar]
- Theivendren, P.S.; Caiado, R.J.; Phadte, V.D.; Silveira, K.V. A mini review of pyrimidine and fused pyrimidine marketed drugs. Res. Pharm. 2012, 2, 1–9. [Google Scholar]
- Victory, P.; Jover, J.M.; Nomen, R. The 3-cyano-2-methoxy-2,3-dehydropiperidin-6-ones as starting materials in synthesis. Synthesis of heterocycles. I. Sect. Title Heterocycl. Compd. 1981, 38, 497–500. [Google Scholar]
- Chemical Abstracts Service. Scifinder, Version 2019; Chemical Abstracts Service: Columbus, OH, USA, 2019. [Google Scholar]
- Wu, P.; Choudhary, A. Kinase Inhibitor Drugs; Wiley-VCH GmbH & Co. KGaA: Weinheim, Germany, 2018; Volume 3, pp. 65–93. [Google Scholar]
- Dickson, M.A. Molecular Pathways: CDK4 Inhibitors for Cancer Therapy. Clin. Cancer Res. 2014, 20, 3379–3383. [Google Scholar] [CrossRef]
- Robak, P.; Robak, T. Novel synthetic drugs currently in clinical development for chronic lymphocytic leukemia. Expert Opin. Investig. Drugs 2017, 26, 1249–1265. [Google Scholar] [CrossRef]
- Miller, S.M.; Goulet, D.R.; Johnson, G.L. Targeting the Breast Cancer Kinome. J. Cell. Physiol. 2017, 232, 53–60. [Google Scholar] [CrossRef]
- Schmidt, B.; Schieffer, B. Angiotensin II AT1 Receptor Antagonists. J. Med. Chem. 2003, 46, 2261–2270. [Google Scholar] [CrossRef]
- Lu, J. Palbociclib: A first-in-class CDK4/CDK6 inhibitor for the treatment of hormone-receptor positive advanced breast cancer. J. Hematol. Oncol. 2015, 8, 1–3. [Google Scholar] [CrossRef] [PubMed]
- Mallory, F.B.; Mallory, C.W. Photocyclization of Stilbenes and Related Molecules. In Organic Reactions; John Wiley & Sons, Inc.: Hoboken, NJ, USA, 1984; pp. 1–456. [Google Scholar]
- Choi, Y.; Kim, H.; Shin, Y.H.; Park, S.B. Diverse display of non-covalent interacting elements using pyrimidine-embedded polyheterocycles. Chem. Commun. 2015, 51, 13040–13043. [Google Scholar] [CrossRef] [PubMed]
- Perez-Pi, I.; Berzosa, X.; Galve, I.; Teixido, J.; Borrell, J.I. Dehydrogenation of 5,6-dihydropyrido[2,3-d]pyrimidin-7(8H)-ones: A convenient last step for a synthesis of pyrido[2,3-d]pyrimidin-7(8H)-ones. Heterocycles 2010, 82, 581–591. [Google Scholar] [CrossRef]
- Singh, S.B.; Kaelin, D.E.; Wu, J.; Miesel, L.; Tan, C.M.; Gill, C.; Black, T.; Nargund, R.; Meinke, P.T.; Olsen, D.B.; et al. Hydroxy tricyclic 1,5-naphthyridinone oxabicyclooctane-linked novel bacterial topoisomerase inhibitors as broad-spectrum antibacterial agents-SAR of RHS moiety (Part-3). Bioorg. Med. Chem. Lett. 2015, 25, 2473–2478. [Google Scholar] [CrossRef] [PubMed]
- Rana, P.; Will, Y.; Nadanaciva, S.; Jones, L.H. Development of a cell viability assay to assess drug metabolite structure–toxicity relationships. Bioorg. Med. Chem. Lett. 2016, 26, 4003–4006. [Google Scholar] [CrossRef] [PubMed]
- Teraoka, Y.; Kume, S.; Lin, Y.; Atsuji, S.; Inui, T. Comprehensive Evaluation of the Binding of Lipocalin-Type Prostaglandin D Synthase to Poorly Water-Soluble Drugs. Mol. Pharm. 2017, 14, 3558–3567. [Google Scholar] [CrossRef] [PubMed]
- Ellingboe, J.W.; Antane, M.; Nguyen, T.T.; Collini, M.D.; Antane, S.; Bender, R.; Hartupee, D.; White, V.; McCallum, J.; Park, C.H.; et al. Pyrido[2,3-d]pyrimidine Angiotensin II Antagonists. J. Med. Chem. 1994, 37, 542–550. [Google Scholar] [CrossRef]
- Gentile, G.; Ceccarelli, M.; Micheli, L.; Tirone, F.; Cavallaro, S. Functional genomics identifies Tis21-dependent mechanisms and putative cancer drug targets underlying medulloblastoma shh-type development. Front. Pharmacol. 2016, 7, 449. [Google Scholar] [CrossRef]
- Tu, S.; Li, C.; Shi, F.; Zhou, D.; Shao, Q.; Cao, L.; Jiang, B. An efficient chemoselective synthesis of pyrido[2,3-d]pyrimidine derivatives under microwave irradiation. Synthesis 2008, 2008, 369–376. [Google Scholar] [CrossRef]
- Camarasa, M.; Barnils, C.; Puig de la Bellacasa, R.; Teixido, J.; Borrell, J.I. A new and practical method for the synthesis of 6-aryl-5,6-dihydropyrido[2,3-d]pyrimidine-4,7(3H,8H)-diones. Mol. Divers. 2013, 17, 525–536. [Google Scholar] [CrossRef]
- Borrell, J.I.; Teixido, J.; Matallana, J.L.; Martinez-Teipel, B.; Colominas, C.; Costa, M.; Balcells, M.; Schuler, E.; Castillo, M.J. Synthesis and Biological Activity of 7-Oxo Substituted Analogues of 5-Deaza-5,6,7,8-tetrahydrofolic Acid (5-DATHF) and 5,10-Dideaza-5,6,7,8-tetrahydrofolic Acid (DDATHF). J. Med. Chem. 2001, 44, 2366–2369. [Google Scholar] [CrossRef] [PubMed]
- Moradi, S.; Zolfigol, M.A.; Zarei, M.; Alonso, D.A.; Khoshnood, A.; Tajally, A. An efficient catalytic method for the synthesis of pyrido[2,3-d]pyrimidines as biologically drug candidates by using novel magnetic nanoparticles as a reusable catalyst. Appl. Organomet. Chem. 2018, 32, e4043. [Google Scholar] [CrossRef]
- Uitdehaag, J.C.M.; de Man, J.; Willemsen-Seegers, N.; Prinsen, M.B.W.; Libouban, M.A.A.; Sterrenburg, J.G.; de Wit, J.J.P.; de Vetter, J.R.F.; de Roos, J.A.D.M.; Buijsman, R.C.; et al. Target Residence Time-Guided Optimization on TTK Kinase Results in Inhibitors with Potent Anti-Proliferative Activity. J. Mol. Biol. 2017, 429, 2211–2230. [Google Scholar] [CrossRef] [PubMed]
- El-Naggar, A.M.; Khalil, A.K.; Zeidan, H.M.; El-Sayed, W.M. Eco-friendly Synthesis of Pyrido[2,3-d]pyrimidine Analogs and Their Anticancer and Tyrosine Kinase Inhibition Activities. Anticancer. Agents Med. Chem. 2018, 17, 1644–1651. [Google Scholar] [CrossRef]
- Galve, I.; Puig de la Bellacasa, R.; Sanchez-Garcia, D.; Batllori, X.; Teixido, J.; Borrell, J.I. Synthesis of 2-arylamino substituted 5,6-dihydropyrido[2,3-d]pyrimidine-7(8H)-ones from arylguanidines. Mol. Divers. 2012, 16, 639–649. [Google Scholar] [CrossRef]
- Parthasarathy, S.; Henry, K.; Pei, H.; Clayton, J.; Rempala, M.; Johns, D.; De Frutos, O.; Garcia, P.; Mateos, C.; Pleite, S.; et al. Discovery of chiral dihydropyridopyrimidinones as potent, selective and orally bioavailable inhibitors of AKT. Bioorg. Med. Chem. Lett. 2018, 28, 1887–1891. [Google Scholar] [CrossRef]
- Sakamoto, T.; Koga, Y.; Hikota, M.; Matsuki, K.; Mochida, H.; Kikkawa, K.; Fujishige, K.; Kotera, J.; Omori, K.; Morimoto, H.; et al. 8-(3-Chloro-4-methoxybenzyl)-8H-pyrido[2,3-d]pyrimidin-7-one derivatives as potent and selective phosphodiesterase 5 inhibitors. Bioorg. Med. Chem. Lett. 2015, 25, 1431–1435. [Google Scholar] [CrossRef]
- Camarasa, M.; Puig de la Bellacasa, R.; González, À.L.; Ondoño, R.; Estrada, R.; Franco, S.; Badia, R.; Esté, J.; Martínez, M.Á.; Teixidó, J. Design, synthesis and biological evaluation of pyrido[2,3-d]pyrimidin-7-(8H)-ones as HCV inhibitors. Eur. J. Med. Chem. 2016, 115, 463–483. [Google Scholar] [CrossRef]
- Zinchenko, A.N.; Muzychka, L.V.; Biletskii, I.I.; Smolii, O.B. Synthesis of new 4-amino-substituted 7-iminopyrido[2,3-d]pyrimidines. Chem. Heterocycl. Compd. 2017, 53, 589–596. [Google Scholar] [CrossRef]
- Zinchenko, A.M.; Muzychka, L.V.; Kucher, O.V.; Sadkova, I.V.; Mykhailiuk, P.K.; Smolii, O.B. One-Pot Synthesis of 6-Aminopyrido[2,3-d]pyrimidin-7-ones. Eur. J. Org. Chem. 2018, 2018, 6519–6523. [Google Scholar] [CrossRef]
- Thibault, S.; Hu, W.; Hirakawa, B.; Kalabat, D.; Franks, T.; Sung, T.; Khoh-Reiter, S.; Lu, S.; Finkelstein, M.; Jessen, B.; et al. Intestinal Toxicity in Rats Following Administration of CDK4/6 Inhibitors Is Independent of Primary Pharmacology. Mol. Cancer Ther. 2018, 18, 257–266. [Google Scholar] [CrossRef] [PubMed]
- Poratti, M.; Marzaro, G. Third-generation CDK inhibitors: A review on the synthesis and binding modes of Palbociclib, Ribociclib and Abemaciclib. Eur. J. Med. Chem. 2019, 172, 143–153. [Google Scholar] [CrossRef] [PubMed]
- Salman, A.S. Utility of Activated Nitriles in the Synthesis of Novel Heterocyclic Compounds with Antitumor Activity. Org. Chem. Int. 2013, 2013, 1–9. [Google Scholar] [CrossRef] [PubMed]
- Murphy-Benenato, K.E.; Gingipalli, L.; Boriack-Sjodin, P.A.; Martinez-Botella, G.; Carcanague, D.; Eyermann, C.J.; Gowravaram, M.; Harang, J.; Hale, M.R.; Ioannidis, G.; et al. Negishi cross-coupling enabled synthesis of novel NAD+-dependent DNA ligase inhibitors and SAR development. Bioorg. Med. Chem. Lett. 2015, 25, 5172–5177. [Google Scholar] [CrossRef]
- Coussy, F.; de Koning, L.; Lavigne, M.; Bernard, V.; Ouine, B.; Boulai, A.; El Botty, R.; Dahmani, A.; Montaudon, E.; Assayag, F.; et al. A large collection of integrated genomically characterized patient-derived xenografts highlighting the heterogeneity of triple-negative breast cancer. Int. J. Cancer 2019. [Google Scholar] [CrossRef]
- Liu, L.; Chen, X.; Liu, W.; Yu, H.; Liu, F. Statistical analysis and heuristic identification of unexpected interactions from the neurokinase-inhibitor interactome in trigeminal neuralgia pharmacological intervention. J. Chemom. 2019, 33, e3126. [Google Scholar] [CrossRef]
- Wendling, D.; Prati, C. Kinases inhibitors and small molecules: A new treatment tool for axial spondyloarthropathy? Jt. Bone Spine 2016, 83, 473–475. [Google Scholar] [CrossRef]
- Warth, B.; Palermo, A.; Rattray, N.J.W.; Lee, N.V.; Zhu, Z.; Hoang, L.T.; Cai, Y.; Mazurek, A.; Dann, S.; Vanarsdale, T.; et al. Palbociclib and fulvestrant act in synergy to modulate central carbon metabolism in breast cancer cells. Metabolites 2019, 9, 7. [Google Scholar] [CrossRef]
- Puig de la Bellacasa, R.; Roue, G.; Balsas, P.; Perez-Galan, P.; Teixido, J.; Colomer, D.; Borrell, J.I. 4-Amino-2-arylamino-6-(2,6-dichlorophenyl)-pyrido[2,3-d]pyrimidin-7-(8H)-ones as BCR kinase inhibitors for B lymphoid malignancies. Eur. J. Med. Chem. 2014, 86, 664–675. [Google Scholar] [CrossRef]
- Dong, J.; Zhao, H.; Zhou, T.; Spiliotopoulos, D.; Rajendran, C.; Li, X.D.; Huang, D.; Caflisch, A. Structural analysis of the binding of type I, I1/2, and II inhibitors to Eph tyrosine kinases. ACS Med. Chem. Lett. 2015, 6, 79–83. [Google Scholar] [CrossRef]
- Li, J.J.; Tian, Y.L.; Zhai, H.L.; Lv, M.; Zhang, X.Y. Insights into mechanism of pyrido[2,3-d]pyrimidines as DYRK1A inhibitors based on molecular dynamic simulations. Proteins Struct. Funct. Bioinf. 2016, 84, 1108–1123. [Google Scholar] [CrossRef] [PubMed]
- Panda, S.; Roy, A.; Deka, S.J.; Trivedi, V.; Manna, D. Fused Heterocyclic Compounds as Potent Indoleamine-2,3-dioxygenase 1 Inhibitors. ACS Med. Chem. Lett. 2016, 7, 1167–1172. [Google Scholar] [CrossRef] [PubMed]
- Melik-Ohanjanyan, R.G.; Hovsepyan, T.R.; Israelyan, S.G.; Hakobyan, M.R.; Tamazyan, R.A.; Ayvazyan, A.G. Synthesis and X-ray analysis of some pyrido[2,3-d]pyrimidines. Russ. J. Org. Chem. 2014, 50, 913–915. [Google Scholar] [CrossRef]
- Okram, B.; Nagle, A.; Adrián, F.J.; Lee, C.; Ren, P.; Wang, X.; Sim, T.; Xie, Y.; Wang, X.; Xia, G.; et al. A General Strategy for Creating “Inactive-Conformation” Abl Inhibitors. Chem. Biol. 2006, 13, 779–786. [Google Scholar] [CrossRef] [PubMed]
- Brameld, K.A.; Owens, T.D.; Verner, E.; Venetsanakos, E.; Bradshaw, J.M.; Phan, V.T.; Tam, D.; Leung, K.; Shu, J.; Lastant, J.; et al. Discovery of the Irreversible Covalent FGFR Inhibitor 8-(3-(4-Acryloylpiperazin-1-yl)propyl)-6-(2,6-dichloro-3,5-dimethoxyphenyl)-2-(methylamino)pyrido[2,3-d]pyrimidin-7(8H)-one (PRN1371) for the Treatment of Solid Tumors. J. Med. Chem. 2017, 60, 6516–6527. [Google Scholar] [CrossRef] [PubMed]
- Komkov, A.V.; Yakovlev, I.P.; Dorokhov, V.A. Synthesis of pyrido[2,3-d]pyrimidin-7(8H)-one derivatives from 5-acetyl-4-aminopyrimidines and β-dicarbonyl compounds. Russ. Chem. Bull. 2005, 54, 784–788. [Google Scholar] [CrossRef]
- Mont, N.; Teixido, J.; Borrell, J.I.; Kappe, C.O. A three-component synthesis of pyrido[2,3-d]pyrimidines. Tetrahedron Lett. 2003, 44, 5385–5387. [Google Scholar] [CrossRef]
- Shi, H.; Zhou, L.; Bao, G.; Yi, Q.; Zhou, S.; Tian, Y.; Li, X. Identification of Potential MEK1 Inhibitors by Pharmacophore-based Virtual Screening and MD Simulations. Lett. Drug Des. Discov. 2014, 11, 894–907. [Google Scholar] [CrossRef]
- Mont, N.; Carrion, F.; Borrell, J.I.; Teixido, J. Cyclization of 5-cyano-6-cyanoimino-3,4-dihydropyridin-2(1H)-ones with amines. Heterocycles 2010, 81, 329–347. [Google Scholar]
- Harutyunyan, A.A.; Panosyan, G.A.; Chishmarityan, S.G.; Paronikyan, R.V.; Stepanyan, H.M. Synthesis and properties of derivatives of pyrimidin-5-ylpropanoic acids and 8-aryl-4-methyl- and 4,6-dimethyl-2-phenyl-5,6,7,8-tetrahydropyrido-[2,3-d]pyrimidin-7-ones. Russ. J. Org. Chem. 2015, 51, 705–710. [Google Scholar] [CrossRef]
- Mont, N.; Fernandez-Megido, L.; Teixido, J.; Kappe, C.O.; Borrell, J.I. A diversity-oriented, microwave-assisted synthesis of 4-oxo and 4-chloropyrido[2,3-d]pyrimidin-7(8H)-ones. QSAR Comb. Sci. 2004, 23, 836–849. [Google Scholar] [CrossRef]
- Adcock, J.; Gibson, C.L.; Huggan, J.K.; Suckling, C.J. Diversity oriented synthesis: Substitution at C5 in unreactive pyrimidines by Claisen rearrangement and reactivity in nucleophilic substitution at C2 and C4 in pteridines and pyrido[2,3-d]pyrimidines. Tetrahedron 2011, 67, 3226–3237. [Google Scholar] [CrossRef]
- Xu, T.; Peng, T.; Ren, X.; Zhang, L.; Yu, L.; Luo, J.; Zhang, Z.; Tu, Z.; Tong, L.; Huang, Z.; et al. C5-substituted pyrido[2,3-d]pyrimidin-7-ones as highly specific kinase inhibitors targeting the clinical resistance-related EGFRT790M mutant. Medchemcomm 2015, 6, 1693–1697. [Google Scholar] [CrossRef]
- Boschelli, D.H.; Wu, Z.; Klutchko, S.R.; Showalter, H.D.H.; Hamby, J.M.; Lu, G.H.; Major, T.C.; Dahring, T.K.; Batley, B.; Panek, R.L.; et al. Synthesis and tyrosine kinase inhibitory activity of a series of 2- amino-8H-pyrido[2,3-d]pyrimidines: Identification of potent, selective platelet-derived growth factor receptor tyrosine kinase inhibitors. J. Med. Chem. 1998, 41, 4365–4377. [Google Scholar] [CrossRef]
- Kalyukina, M.; Yosaatmadja, Y.; Middleditch, M.J.; Patterson, A.V.; Smaill, J.B.; Squire, C.J. TAS-120 Cancer Target Binding: Defining Reactivity and Revealing the First Fibroblast Growth Factor Receptor 1 (FGFR1) Irreversible Structure. ChemMedChem 2019, 14, 494–500. [Google Scholar] [CrossRef]
- Apsunde, T.; Wurz, R.P. Pyridin-2-one synthesis using ester enolates and aryl aminoaldehydes and ketones. J. Org. Chem. 2014, 79, 3260–3266. [Google Scholar] [CrossRef]
- Simon-Szabó, L.; Kokas, M.; Greff, Z.; Boros, S.; Bánhegyi, P.; Zsákai, L.; Szántai-Kis, C.; Vantus, T.; Mandl, J.; Bánhegyi, G.; et al. Novel compounds reducing IRS-1 serine phosphorylation for treatment of diabetes. Bioorg. Med. Chem. Lett. 2016, 26, 424–428. [Google Scholar] [CrossRef]
- Anderson, K.; Chen, Y.; Chen, Z.; Dominique, R.; Glenn, K.; He, Y.; Janson, C.; Luk, K.C.; Lukacs, C.; Polonskaia, A.; et al. Pyrido[2,3-d]pyrimidines: Discovery and preliminary SAR of a novel series of DYRK1B and DYRK1A inhibitors. Bioorg. Med. Chem. Lett. 2013, 23, 6610–6615. [Google Scholar] [CrossRef]
- Yu, L.; Huang, M.; Xu, T.; Tong, L.; Yan, X.E.; Zhang, Z.; Xu, Y.; Yun, C.; Xie, H.; Ding, K.; et al. A structure-guided optimization of pyrido[2,3-d]pyrimidin-7-ones as selective inhibitors of EGFRL858R/T790Mmutant with improved pharmacokinetic properties. Eur. J. Med. Chem. 2017, 126, 1107–1117. [Google Scholar] [CrossRef]
- Parsons, A.T.; Kubryk, M.; Hedley, S.J.; Thiel, O.R.; Bauer, D.; Potter-Racine, M.S.; Lin, Z. An Improved Process for the Preparation of a Covalent Kinase Inhibitor through a C-N Bond-Forming SNAr Reaction. Org. Process. Res. Dev. 2018, 22, 898–902. [Google Scholar] [CrossRef]
- Boros, E.E.; Wood, E.R.; McDonald, O.B.; Spitzer, T.D.; Sefler, A.M.; Reep, B.R.; Thompson, J.B. Tandem Michael-addition/cyclization synthesis and EGFR kinase inhibition activity of pyrido[2,3-d]pyrimidin-7(8H)-ones. J. Heterocycl. Chem. 2004, 41, 355–358. [Google Scholar] [CrossRef]
- Dong, Q.; Dougan, D.R.; Gong, X.; Halkowycz, P.; Jin, B.; Kanouni, T.; O’Connell, S.M.; Scorah, N.; Shi, L.; Wallace, M.B.; et al. Discovery of TAK-733, a potent and selective MEK allosteric site inhibitor for the treatment of cancer. Bioorg. Med. Chem. Lett. 2011, 21, 1315–1319. [Google Scholar] [CrossRef] [PubMed]
- Zhang, J.; Lu, D.; Wei, H.X.; Gu, Y.; Selkoe, D.J.; Wolfe, M.S.; Augelli-Szafran, C.E. Part 3: Notch-sparing γ-secretase inhibitors: SAR studies of 2-substituted aminopyridopyrimidinones. Bioorg. Med. Chem. Lett. 2016, 26, 2138–2141. [Google Scholar] [CrossRef] [PubMed]
- Blades, K.; Glossop, S. A Three-Step Protocol towards N-8-(2,2-Dimethoxyethyl)-2-methylsulfanylpyrido[2,3-d]pyrimidin-7-one. Synthesis 2016, 49, 554–556. [Google Scholar] [CrossRef]
- Aryan, R.; Beyzaei, H.; Nojavan, M.; Pirani, F.; Samareh Delarami, H.; Sanchooli, M. Expedient multicomponent synthesis of a small library of some novel highly substituted pyrido[2,3-d]pyrimidine derivatives mediated and promoted by deep eutectic solvent and in vitro and quantum mechanical study of their antibacterial and antifungal activ. Mol. Divers. 2019, 23, 93–105. [Google Scholar] [CrossRef]
- Baker, B.R.; Almaula, P.I. Analogs of tetrahydrofolic acid. XIX. On the mode of binding of the pyrimidyl moiety of n-(2-amino-4-hydroxy-6-methyl-5-pyrimidylpropionyl)-P-aminobenzoyl-l-glutamic acid to 5,10-methylenetetrahydrofolate dehydrogenase. J. Heterocycl. Chem. 1964, 1, 263–270. [Google Scholar] [CrossRef]
- Balsas, P.; Esteve-Arenys, A.; Roldán, J.; Jiménez, L.; Rodríguez, V.; Valero, J.G.; Chamorro-Jorganes, A.; Puig de la Bellacasa, R.; Teixidó, J.; Matas-Céspedes, A.; et al. Activity of the novel BCR kinase inhibitor IQS019 in preclinical models of B-cell non-Hodgkin lymphoma. J. Hematol. Oncol. 2017, 10, 80. [Google Scholar] [CrossRef]
- Lang, J.D.; Hendricks, W.P.D.; Orlando, K.A.; Yin, H.; Kiefer, J.; Ramos, P.; Sharma, R.; Pirrotte, P.; Raupach, E.A.; Sereduk, C.; et al. Ponatinib shows potent antitumor activity in small cell carcinoma of the ovary hypercalcemic type (SCCOHT) through multikinase inhibition. Clin. Cancer Res. 2018, 24, 1932–1943. [Google Scholar] [CrossRef]
- Boschelli, D.H.; Dobrusin, E.M.; Doherty, A.M.; Fattacy, A.; Fry, D.W.; Barvian, M.R.; Kallmeyer, S.T.; Wu, Z. Preparation of Pyrido[2,3-d]Pyrimidines and 4-Aminopyrimidines as Inhibitors of Cellular Proliferation. WO Patent 9833798A2, 26 January 1998. [Google Scholar]
- Aftab, D.T.; Laird, D.A.; Lamb, P.; Martini, J.-F.A. Preparation of Azetidine MEK Kinase Inhibitors and Pyridopyrimidine and Quinoxaline and Analog PI3K Inhibitors and Methods of Using MEK Inhibitors in Combination with PI3K Inhibitors for the Treatment of Proliferative Diseases, Especially Cancer. WO Patent 9833798A2, 16 August 2008. [Google Scholar]
- Rudolph, J.; Murray, L.J.; Ndubaku, C.O.; O’Brien, T.; Blackwood, E.; Wang, W.; Aliagas, I.; Gazzard, L.; Crawford, J.J.; Drobnick, J.; et al. Chemically Diverse Group i p21-Activated Kinase (PAK) Inhibitors Impart Acute Cardiovascular Toxicity with a Narrow Therapeutic Window. J. Med. Chem. 2016, 59, 5520–5541. [Google Scholar] [CrossRef]
- Semenova, G.; Stepanova, D.S.; Dubyk, C.; Handorf, E.; Deyev, S.M.; Lazar, A.J.; Chernoff, J. Targeting group i p21-activated kinases to control malignant peripheral nerve sheath tumor growth and metastasis. Oncogene 2017, 36, 5421–5431. [Google Scholar] [CrossRef]
- Le, P.T.; Cheng, H.; Ninkovic, S.; Plewe, M.; Huang, X.; Wang, H.; Bagrodia, S.; Sun, S.; Knighton, D.R.; Lafleur Rogers, C.M.; et al. Design and synthesis of a novel pyrrolidinyl pyrido pyrimidinone derivative as a potent inhibitor of PI3Kα and mTOR. Bioorg. Med. Chem. Lett. 2012, 22, 5098–5103. [Google Scholar] [CrossRef] [PubMed]
- Reddy, M.V.R.; Akula, B.; Jatiani, S.; Vasquez-Del Carpio, R.; Billa, V.K.; Mallireddigari, M.R.; Cosenza, S.C.; Venkata Subbaiah, D.R.C.; Bharathi, E.V.; Pallela, V.R.; et al. Discovery of 2-(1H-indol-5-ylamino)-6-(2,4-difluorophenylsulfonyl)-8-methylpyrido[2,3-d]pyrimidin-7(8H)-one (7ao) as a potent selective inhibitor of Polo like kinase 2 (PLK2). Bioorg. Med. Chem. 2016, 24, 521–544. [Google Scholar] [CrossRef] [PubMed]
- Xu, X. Method for Preparation of Palbociclib. WO Patent 2016082604A1, 16 September 2016. [Google Scholar]
- Shu, Y. Process for Preparation of Compound for Inhibiting and Degrading Cdk. WO Patent 2019052535A1, 14 September 2019. [Google Scholar]
- Thomas, N.A.; Abraham, R.G.; Dedi, B.; Krucher, N.A. Targeting retinoblastoma protein phosphorylation in combination with EGFR inhibition in pancreatic cancer cells. Int. J. Oncol. 2019, 54, 527–536. [Google Scholar] [PubMed]
- Bronner, S.M.; Merrick, K.A.; Murray, J.; Salphati, L.; Moffat, J.G.; Pang, J.; Sneeringer, C.J.; Dompe, N.; Cyr, P.; Purkey, H.; et al. Design of a Brain-Penetrant CDK4/6 Inhibitor for Glioblastoma. Bioorg. Med. Chem. Lett. 2019. [Google Scholar] [CrossRef]
- Barvian, M.; Boschelli, D.H.; Cossrow, J.; Dobrusin, E.; Fattaey, A.; Fritsch, A.; Fry, D.; Harvey, P.; Keller, P.; Garrett, M.; et al. Pyrido[2,3-d]pyrimidin-7-one inhibitors of cyclin-dependent kinases. J. Med. Chem. 2000, 43, 4606–4616. [Google Scholar] [CrossRef]
- Kumar, B.V.S.; Lakshmi, N.; Kumar, M.; Rambabu, G.; Manjashetty, T.; Arunasree, K.; Sriram, D.; Ramkumar, K.; Neamati, N.; Dayam, R.; et al. Design, Synthesis and Screening Studies of Potent Thiazol-2-Amine Derivatives as Fibroblast Growth Factor Receptor 1 Inhibitors. Curr. Top. Med. Chem. 2014, 14, 2031–2041. [Google Scholar] [CrossRef]
- Shanmugasundaram, P.; Harikrishnan, N.; Aanandini, M.V.; Kumar, M.S.; Sateesh, J.N. Synthesis and biological evaluation of pyrido(2,3-d)pyrimidine-carboxylate derivatives. Indian J. Chem. Sect. B Org. Chem. Incl. Med. Chem. 2011, 50B, 284–289. [Google Scholar]
- Harutyunyan, A.A.; Panosyan, H.A.; Chishmarityan, S.G.; Tamazyan, R.A.; Ayvazyan, A.G. One-step synthesis of pyrido[2,3-d]pyrimidines, amides, and benzoxazolylethylpyrimidine by condensation of substituted 3-(2-phenylpyrimidin-5-yl)propanoic acids with aromatic amines in polyphosphoric acid. Russ. J. Org. Chem. 2015, 51, 357–360. [Google Scholar] [CrossRef]
- Wurz, R.P.; Pettus, L.H.; Ashton, K.; Brown, J.; Chen, J.J.; Herberich, B.; Hong, F.T.; Hu-Harrington, E.; Nguyen, T.; St. Jean, D.J.; et al. Oxopyrido[2,3-d]pyrimidines as Covalent L858R/T790M Mutant Selective Epidermal Growth Factor Receptor (EGFR) Inhibitors. ACS Med. Chem. Lett. 2015, 6, 987–992. [Google Scholar] [CrossRef][Green Version]
- Schoop, A.; Backes, A.; Vogt, J.; Neumann, L.; Eickhoff, J.; Hannus, S.; Hansen, K.; Amon, P.; Ivanov, I.; Borgmann, M.; et al. Preparation of pyrido[2,3-d]pyrimidin-7-one derivatives as Raf inhibitors for the treatment of cancer. Eur. Pat. Appl. 2009, 71. [Google Scholar]
- Kawai, H.; Murata, D.; Suzumura, Y. Preparation of 1-Hydroxypyrimido[4,5-d]Pyrimidin-2(1H)-One and 8-Hydroxypyrido[2,3-d]Pyrimidin-7(8H)-One Derivatives Having Anti-HIV Activity. WO Patent 2013115265A1, 30 January 2013. [Google Scholar]
- Allam, Y.A. Cyanoacetylurea in heterocyclic synthesis: Part III: Simple synthesis of uracil derivatives. Afinidad 2003, 60, 300–302. [Google Scholar]
- Duan, S.; Place, D.; Perfect, H.H.; Ide, N.D.; Maloney, M.; Sutherland, K.; Price Wiglesworth, K.E.; Wang, K.; Olivier, M.; Kong, F.; et al. Palbociclib Commercial Manufacturing Process Development. Part I: Control of Regioselectivity in a Grignard-Mediated SNAr Coupling. Org. Process. Res. Dev. 2016, 20, 1191–1202. [Google Scholar] [CrossRef]
- Reddy, M.V.R.; Akula, B.; Cosenza, S.C.; Athuluridivakar, S.; Mallireddigari, M.R.; Pallela, V.R.; Billa, V.K.; Subbaiah, D.R.C.V.; Bharathi, E.V.; Vasquez-Del Carpio, R.; et al. Discovery of 8-cyclopentyl-2-[4-(4-methyl-piperazin-1-yl)-phenylamino]-7- oxo-7,8-dihydro-pyrido[2,3- d ]pyrimidine-6-carbonitrile (7x) as a potent inhibitor of cyclin-dependent kinase 4 (CDK4) and AMPK-related kinase 5 (ARK5). J. Med. Chem. 2014, 57, 578–599. [Google Scholar] [CrossRef] [PubMed]
- Brookfield, F.; Eustache, F.; Dillon, M.P.; Goldstein, D.M.; Gong, L.; Han, X.; Hogg, J.H.; Park, J.; Reuter, D.C.; Sjogren, E.B. Preparation of Pyrimidinyl Pyridone as Therapeutic Inhibitors of JNK Kinases. U.S. Patent 20090270389A1, 29 April 2009. [Google Scholar]
- Cacciari, B.; Spalluto, G. Facile and versatile route to the synthesis of fused 2-pyridones: Useful intermediates for polycyclic sytems. Synth. Commun. 2006, 36, 1177–1183. [Google Scholar] [CrossRef]
- Qi, Y.; Wang, C.; Chen, J.; Ju, L.; Li, X. The method for preparing pabosaibu. Faming Zhuanli Shenqing 2015, 12. [Google Scholar]
- Victory, P.; Nomen, R.; Colomina, O.; Garriga, M.; Crespo, A. New synthesis of pyrido[2,3-d]pyrimidines. I. Reaction of 6-alkoxy-5-cyano-3,4-dihydro-2-pyridones with guanidine and cyanamide. Sect. Title Heterocycl. Compd. 1985, 23, 1135–1141. [Google Scholar] [CrossRef]
- Martinez-Teipel, B.; Teixido, J.; Pascual, R.; Mora, M.; Pujola, J.; Fujimoto, T.; Borrell, J.I.; Michelotti, E.L. 2-Methoxy-6-oxo-1,4,5,6-tetrahydropyridine-3-carbonitriles: Versatile Starting Materials for the Synthesis of Libraries with Diverse Heterocyclic Scaffolds. J. Comb. Chem. 2005, 7, 436–448. [Google Scholar] [CrossRef]
- Borrell, J.I.; Teixido, J.; Martinez-Teipel, B.; Serra, B.; Matallana, J.L.; Costa, M.; Batllori, X. An unequivocal synthesis of 4-amino-1,5,6,8-tetrahydropyrido[2,3-d]pyrimidine-2,7-diones and 2-amino-3,5,6,8-tetrahydropyrido[2,3-d]pyrimidine-4,7-diones. Collect. Czechoslov. Chem. Commun. 1996, 61, 901–909. [Google Scholar] [CrossRef]
- Mont, N.; Teixido, J.; Kappe, C.O.; Borrell, J.I. A one-pot microwave-assisted synthesis of pyrido[2,3-d]pyrimidines. Mol. Divers. 2003, 7, 153–159. [Google Scholar] [CrossRef]
- Berzosa, X.; Bellatriu, X.; Teixido, J.; Borrell, J.I. An Unusual Michael Addition of 3,3-Dimethoxypropanenitrile to 2-Aryl Acrylates: A Convenient Route to 4-Unsubstituted 5,6-Dihydropyrido[2,3-d]pyrimidines. J. Org. Chem. 2010, 75, 487–490. [Google Scholar] [CrossRef]
- Victory, P.; Crespo, A.; Garriga, M.; Nomen, R. New synthesis of pyrido[2,3-d]pyrimidines. III. Nucleophilic substitution on 4-amino-2-halo and 2-amino-4-halo-5,6-dihydropyrido[2,3-d]pyrimidin-7(8H)-ones. J. Heterocycl. Chem. 1988, 25, 245–247. [Google Scholar] [CrossRef]
- Cobo, J.; García, C.; Melguizo, M.; Sánchez, A.; Nogueras, M. Reactivity of 6-aminopyrimidin-4(3H)-ones towards dimethyl acetylenedicarboxylate (DMAD). Tandem diels-alder/retro diels-alder (DA/RDA) reaction in the synthesis of 2-aminopyridines. Tetrahedron 1994, 50, 10345–10358. [Google Scholar] [CrossRef]
- Hines, J.; Fluharty, S.J.; Sakai, R.R. The angiotensin AT1 receptor antagonist irbesartan has near-peptide affinity and potently blocks receptor signaling. Eur. J. Pharmacol. 1999, 384, 81–89. [Google Scholar] [CrossRef]
- Jain, S.; Yadav, A. Ab initio study of non-peptidic antihypertensives. Chem. Biol. Drug Des. 2007, 69, 251–257. [Google Scholar] [CrossRef] [PubMed]
- Boschelli, D. Dual Inhibitors of Src and Abl Tyrosine Kinases. Drug Des. Rev. Online 2005, 1, 203–214. [Google Scholar] [CrossRef]
- Leijen, S.; H Beijnen, J.; HM Schellens, J. Abrogation of the G2 Checkpoint by Inhibition of Wee-1 Kinase Results in Sensitization of p53-Deficient Tumor Cells to DNA-Damaging Agents. Curr. Clin. Pharmacol. 2010, 5, 186–191. [Google Scholar] [CrossRef] [PubMed]
- Molina Vila, M.A.; Garcia Roman, S.; Borrell Bilbao, J.I.; Teixido Closa, J.; Estrada Tejedor, R.; Puig de la Bellacasa, R. Use of 4-Amino-6-(2,6-Dichlorophenyl)-8-Methyl-2-(Phenylamino)-Pyrido[2,3-d]Pyrimidin-7(8H)-One in Formulations for Treatment of Solid Tumors. EP Patent 3120851A1, 21 July 2017. [Google Scholar]
- Wishart, D.S.; Knox, C.; Guo, A.C.; Shrivastava, S.; Hassanali, M.; Stothard, P.; Chang, Z.; Woolsey, J. DrugBank: A comprehensive resource for in silico drug discovery and exploration. Nucleic Acids Res. 2006, 34, D668–D672. [Google Scholar] [CrossRef]
- Barvian, M.R.; Booth, R.J.; Quin, J., III; Repine, J.T.; Sheehan, D.J.; Toogood, P.L.; Vanderwel, S.N.; Zhou, H. Preparation of Pyrido[2,3-d]Pyrimidin-7-Ones as Cdk4 Inhibitors. WO Patent 2003062236A1, 10 January 2003. [Google Scholar]
- Beaver, J.A.; Amiri-Kordestani, L.; Charlab, R.; Chen, W.; Palmby, T.; Tilley, A.; Zirkelbach, J.F.; Yu, J.; Liu, Q.; Zhao, L.; et al. FDA approval: Palbociclib for the treatment of postmenopausal patients with estrogen receptor-positive, HER2-negative metastatic breast cancer. Clin. Cancer Res. 2015, 21, 4760–4766. [Google Scholar] [CrossRef]
- Rocca, A.; Schirone, A.; Maltoni, R.; Bravaccini, S.; Cecconetto, L.; Farolfi, A.; Bronte, G.; Andreis, D. Progress with palbociclib in breast cancer: Latest evidence and clinical considerations. Ther. Adv. Med. Oncol. 2017, 9, 83–105. [Google Scholar] [CrossRef]
- Cadoo, K.A.; Gucalp, A.; Traina, T.A. Palbociclib: An evidence-based review of its potential in the treatment of breast cancer. Breast Cancer Targets Ther. 2014, 6, 123–133. [Google Scholar]
- Cheresh, D.A.; Eliceiri, B.; Paul, R. Angiogenesis and Vascular Permeability Modulators and Inhibitors. WO Patent 2001045751A1, 22 December 2001. [Google Scholar]
- Adams, J.L.; Boehm, J.C.; Hall, R.; Jin, Q.; Kasparec, J.; Silva, D.J.; Taggart, J.J. Preparation of 2,4,8-Trisubstituted-8H-Pyrido[2,3-d]Pyrimidin-7-Ones as CSBP/RK/p38 Kinase Inhibitors. WO Patent 2002059083A2, 23 October 2002. [Google Scholar]
- Cheng, H.; Bhumralkar, D.; Dress, K.R.; Hoffman, J.E.; Johnson, M.C.; Kania, R.S.; Le, P.T.Q.; Nambu, M.D.; Pairish, M.A.; Plewe, M.B.; et al. Pyrido[2,3-d]Pyrimidinone Compounds as PI3 Inhibitors and Their Preparation, Pharmaceutical Compositions and Use in the Treatment of Abnormal Cell Growth. WO Patent 2008032162A1, 3 September 2008. [Google Scholar]
- Dong, Q.; Gong, X.; Kaldor, S.W.; Kanouni, T.; Scorah, N.; Wallace, M.B.; Zhou, F. Preparation of Phenylamino Pyridopyrimidinediones as MAPK/ERK Kinase Inhibitors. WO Patent 2008079814A2, 18 December 2008. [Google Scholar]
- Chen, J.J.; Dunn, J.P.; Goldstein, D.M.; Stahl, C.M. Preparation of 2,6-Disubstituted 7-Oxopyrido[2,3-d]Pyrimidines for Treating p38 Mediated Disorders. WO Patent 2002064594A2, 4 February 2002. [Google Scholar]
- Blankley, C.J.; Boschelli, D.H.; Doherty, A.M.; Hamby, J.M.; Klutchko, S.; Panek, R.L. Preparation of Pyrido[2,3-d]Pyrimidines as Protein Tyrosine Kinase Mediated Cell Proliferation Inhibitors. WO Patent 9634867A1, 26 April 1996. [Google Scholar]
- Baik, T.-G.; Buhr, C.A.; Lara, K.; Ma, S.; Wang, L.; Yeung, B.K.S. Preparation of Pyridopyrimidinone Derivatives as Inhibitors of PI3Kα. WO Patent 2007044698A1, 9 October 2006. [Google Scholar]























| Substituent | G2 | G4 | ||
|---|---|---|---|---|
| Structures (%) | References | Structures (%) | References | |
| H | 4.87 | 22 [14,15] | 2.96 | 48 [16,17] |
| C | 29.10 | 335 [18,19] | 25.80 | 317 [20,21] |
| N | 43.78 | 80 [22,23] | 7.53 | 57 [24,25] |
| O | 0.88 | 25 [26,27] | 62.70 | 317 [28,29] |
| S | 21.02 | 18 [30,31] | 0 | - |

| Substituent | G2 | G4 | ||
|---|---|---|---|---|
| Structures (%) | References | Structures (%) | References | |
| H | 5.48 | 108 [32,33] | 78.10 | 1946 [34,35] |
| C | 3.86 | 93 [36,37] | 17.42 | 447 [38,39] |
| N | 75.55 | 2220 [40,41] | 2.25 | 92 [42,43] |
| O | 2.45 | 98 [44,45] | 1.82 | 93 [27,46] |
| S | 9.84 | 243 [47,48] | 0.05 | 3 [37,49] |
| R8 | Structures 11 (%) | References | Structures 10 (%) | References |
|---|---|---|---|---|
| H | 72.37 | [29,31] | 6.71 | [44,68] |
| Me | 2.62 | [42,69] | 15.48 | [70,71] |
| Et | 0.11 | [72,73] | 7.03 | [74,75] |
![]() | 0.29 | - | 0.84 | [76,77] |
![]() | 0.74 | [78,79] | 15.95 | [80,81] |
![]() | 0.04 | [73] | 0.78 | [82,83] |
| Ph | 0.77 | [84,85] | 15.01 | [62,86] |
| OR | - | - | 5.52 | [87,88] |
| NR | 0.03 | [89] | 0.73 | [36,76] |
| Compounds 11 | Compounds 10 | ||
|---|---|---|---|
| Index Term | Frequency | Index Term | Frequency |
| Human | 170 | Human | 1300 |
| Antihypertensives | 150 | Antitumor agents | 1028 |
| Hypertension | 120 | Mammary gland neoplasm | 535 |
| Combination chemotherapy | 96 | Neoplasm | 523 |
| Angiotensin II receptor antagonists | 95 | Combination chemotherapy | 503 |
| Drug delivery systems | 90 | Piperazines | 385 |
| Cardiovascular agents | 66 | Pyridines | 380 |
| Diabetes mellitus | 62 | Signal transduction | 365 |
| Heart failure | 61 | Cell proliferation | 346 |
| Antitumor agents | 61 | Proteins | 345 |
© 2019 by the authors. Licensee MDPI, Basel, Switzerland. This article is an open access article distributed under the terms and conditions of the Creative Commons Attribution (CC BY) license (http://creativecommons.org/licenses/by/4.0/).
Share and Cite
Jubete, G.; Puig de la Bellacasa, R.; Estrada-Tejedor, R.; Teixidó, J.; Borrell, J.I. Pyrido[2,3-d]pyrimidin-7(8H)-ones: Synthesis and Biomedical Applications. Molecules 2019, 24, 4161. https://doi.org/10.3390/molecules24224161
Jubete G, Puig de la Bellacasa R, Estrada-Tejedor R, Teixidó J, Borrell JI. Pyrido[2,3-d]pyrimidin-7(8H)-ones: Synthesis and Biomedical Applications. Molecules. 2019; 24(22):4161. https://doi.org/10.3390/molecules24224161
Chicago/Turabian StyleJubete, Guillem, Raimon Puig de la Bellacasa, Roger Estrada-Tejedor, Jordi Teixidó, and José I. Borrell. 2019. "Pyrido[2,3-d]pyrimidin-7(8H)-ones: Synthesis and Biomedical Applications" Molecules 24, no. 22: 4161. https://doi.org/10.3390/molecules24224161
APA StyleJubete, G., Puig de la Bellacasa, R., Estrada-Tejedor, R., Teixidó, J., & Borrell, J. I. (2019). Pyrido[2,3-d]pyrimidin-7(8H)-ones: Synthesis and Biomedical Applications. Molecules, 24(22), 4161. https://doi.org/10.3390/molecules24224161




