Chemical Composition, Antioxidant, and Antimicrobial Activities of Vetiveria zizanioides (L.) Nash Essential Oil Extracted by Carbon Dioxide Expanded Ethanol
Abstract
1. Introduction
2. Results
2.1. Chemical Components of Essential Oil Extracted from Vetiveria Zizanioides Root
2.2. Antimicrobial Activity
2.3. DPPH Free Radical Scavenging Activity of Vetiver Oils
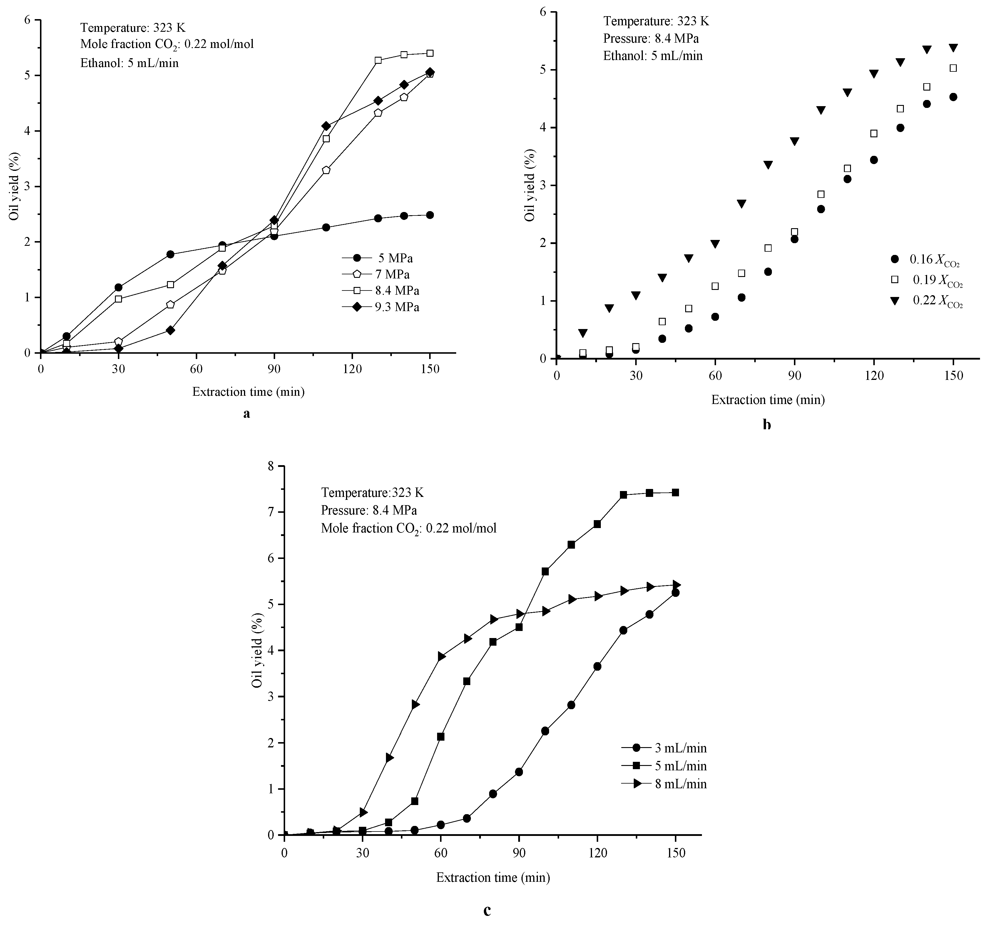
3. Discussion
4. Materials and Methods
4.1. Plant Material
4.2. Extraction Techniques of Essential Oil
4.2.1. Carbon Dioxide Expanded Ethanol Extraction
4.2.2. Supercritical Fluid Extraction
4.2.3. Hydrodistillation
4.2.4. Indirect Vapor Distillation (Live Steam Distillation)
4.2.5. Estimation of Vetiver Oil Yield
4.3. Gas Chromatographic/Mass Spectrum Analysis of the Composition of the Vetiver Oils
4.4. Antimicrobial Activity
4.5. DPPH Free Radical Scavenging Activity of Vetiver Oils
5. Conclusions
Author Contributions
Funding
Acknowledgments
Conflicts of Interest
References
- Martinez, J.; Rosa, T.V.; Menut, C.; Leydet, A.; Brat, P.; Pallet, D.; Meireles, M.A. Valorization of Brazilian vetiver (Vetiveria zizanioides (L.) Nash ex Small) oil. J. Agric. Food Chem. 2004, 52, 6578–6584. [Google Scholar] [CrossRef]
- Krishnaveni, V.; Amphrita, S. Analysis of phytochemical and anti-microbial activity on Vetiveria zizanioides ethanolic extract for healthcare applications. Int. J. Pharma Bio Sci. 2016, 7, 758–765. [Google Scholar]
- Chomchalow, N. The Utilization of Vetiver as Medicinal and Aromatic Plants with Special Reference to Thailand; Pacific Rim Vetiver Network: Bangkok, Thailand, 2001. [Google Scholar]
- Luqman, S.; Kumar, R.; Kaushik, S.; Srivastava, S.; Darokar, M.P.; Khanuja, S.P.S. Antioxidant potential of the root of Vetiveria zizanioides (L.) Nash. Indian J. Biochem. Biophys. 2009, 46, 122–125. [Google Scholar]
- Luqman, S.; Srivastava, S.; Darokar, M.P.; Khanuja, P.S. Detection of antibacterial activity in spent roots of two genotypes of aromatic grass Vetiveria zizanioides. Pharm. Biol. 2005, 43, 732–736. [Google Scholar] [CrossRef][Green Version]
- Balasankar, D.; Vanilarasu, K.; Preetha, P.S.; Umadevi, R.M.; Bhowmik, D. Traditional and Medicinal Uses of Vetiver. J. Med. Plants Stud. 2013, 1, 191–200. [Google Scholar]
- Devprakash, D.; Singh, P.; Srinivasan, K.K.; Subburaju, T.; Singh, S.K. Antifungal activity of alcoholic and aqueous extracts of Vetiveria zizanioides. J. Pharm. Res. Opin. 2011, 1, 85–88. [Google Scholar]
- Burger, P.; Landreau, A.; Watson, M.; Janci, L.; Cassisa, V.; Kempf, M.; Azoulay, S.; Fernandez, X. Vetiver essential oil in cosmetics: What Is New? Medicines 2017, 4, 41. [Google Scholar] [CrossRef]
- Feng, Z. Vetiver Sistem Technology: Application and Development in China from 1998 to 2015; Guangzhou City Vetiver Grass Industry Science and Technology: Guangzhou China, 2014. [Google Scholar]
- Chemat, F.; Boutekedjiret, C. Extraction. Steam Distillation. Modul. Chem. Mol. Sci. Chem. Eng. 2015, 155, 1–12. [Google Scholar]
- Danh, L.T.; Mammucari, R.; Truong, P.; Foster, N. Response surface method applied to supercritical carbon dioxide extraction of Vetiveria zizanioides essential oil. Chem. Eng. J. 2009, 155, 617–626. [Google Scholar] [CrossRef]
- Mallavarapua, G.R.; Syamasundar, K.V.; Ramesh, S.; Rao, B.R. Constituents of South Indian Vetiver Oils. Nat. Prod. Commun. 2012, 7, 223–225. [Google Scholar] [CrossRef]
- Leite, B. Extraction of Essential Oils from Vetiver (Vetiveria zizanioides) Grass; University of KwaZulu- Natal: KwaZulu-Natal, South Africa, 2012. [Google Scholar]
- Mustafa, A.; Turner, C. Pressurized liquid extraction as a green approach in food and herbal plants extraction: A review. Anal. Chim. Acta 2011, 703, 8–18. [Google Scholar] [CrossRef]
- Wang, H.C.; Klinthong, W.; Yang, Y.H.; Tan, C.S. Continuous extraction of lipids from Schizochytrium sp. by CO2-expanded ethanol. Bioresour. Technol. 2015, 189, 162–168. [Google Scholar] [CrossRef]
- Al-Hamimi, S.; Mayoral, A.A.; Cunico, L.P.; Turner, C. Carbon dioxide expanded ethanol extraction: Solubility and extraction kinetics of α-pinene and cis-verbenol. Anal. Chem. 2016, 88, 4336–4345. [Google Scholar] [CrossRef]
- Reyes, F.A.; Mendiola, J.A.; Ibañez, E.; Del Vale, J.M. Astaxanthin extraction from Haematococcus pluvialis using CO2-expanded ethanol. J. Supercrit. Fluids 2014, 92, 75–83. [Google Scholar] [CrossRef]
- Chhouk, K.; Uemori, C.; Wahyudiono; Kanda, H.; Goto, M. Extraction of phenolic compounds and antioxidant activity from garlic husk using carbon dioxide expanded ethanol. Chem. Eng. Process. Process Intensif. 2017, 117, 113–119. [Google Scholar] [CrossRef]
- Cunico, L.P.; Acosta, M.C.; Turner, C. Experimental measurements and modeling of curcumin solubility in CO2-expanded ethanol. J. Supercrit. Fluids 2017, 130, 381–388. [Google Scholar] [CrossRef]
- Mirarab, M.; Sharifi, M.; Ghayyem, M.A.; Mirarab, F. Prediction of solubility of CO2 in ethanol–[EMIM][Tf2N] ionic liquid mixtures using artificial neural networks based on genetic algorithm. Fluid Phase Equilibria 2014, 371, 6–14. [Google Scholar] [CrossRef]
- Seifried, B.; Temelli, F. Density of Carbon Dioxide Expanded Ethanol at (313.2, 328.2, and 343.2) K. J. Chem. Eng. Data 2010, 2410–2415. [Google Scholar] [CrossRef]
- Jessop, P.G.; Subramaniam, B. Gas-Expanded Liquids. Chem. Rev. 2007, 107, 2666–2694. [Google Scholar] [CrossRef] [PubMed]
- Cunico, L.P.; Turner, C. Supercritical Fluids and Gas-Expanded Liquid. In The Application of Green Solvents in Separation Processes; Elsevier Science: Amsterdam, The Netherlands, 2017; pp. 155–214. [Google Scholar]
- Peng, H.Y.; Lai, C.C.; Lin, C.C.; Chou, S.T. Effect of Vetiveria zizanioides essential oil on melanogenesis in melanoma cells: Downregulation of tyrosinase expression and suppression of oxidative stress. Sci. World J. 2014, 2014, 9. [Google Scholar] [CrossRef]
- NIST Chemistry WebBook. Available online: https://webbook.nist.gov/chemistry (accessed on 25 July 2018).
- PubChem Database. Available online: https://pubchem.ncbi.nlm.nih.gov (accessed on 25 July 2018).
- Danh, L.T.; Truong, P.; Mammucari, R.; Foster, N. Extraction of vetiver essential oil by ethanol-modified supercritical carbon dioxide. Chem. Eng. J. 2010, 165, 26–34. [Google Scholar] [CrossRef]
- Massardo, D.R.; Senatore, F.; Alifano, P.; Del Giudice, L.; Pontieri, P. Vetiver oil production correlates with early root growth. Biochem. Syst. Ecol. 2006, 34, 376–382. [Google Scholar] [CrossRef]
- Adams, R.P.; Habte, M.; Park, S.; Dafforn, M.R. Preliminary comparison of vetiver root essential oils from cleansed (bacteria- and fungus-free) versus non-cleansed (normal) vetiver plants. Biochem. Syst. Ecol. 2004, 32, 1137–1144. [Google Scholar] [CrossRef]
- Pripdeevech, P.; Wongpornchai, S.; Promsiri, A. Highly volatile constituents of Vetiveria zizanioides roots grown under different cultivation conditions. Molecules 2006, 11, 817–826. [Google Scholar] [CrossRef]
- Adams, R.P. Identification of Essential Oil Components by Gas Chromatography/Mass Spectrometry; Allured Publishing Corporation: Carol Stream, IL, USA, 2007; ISBN 978-1-932633-21-4. [Google Scholar]
- Hoang, H.N.; Nagashima, Y.; Mori, S.; Kagechika, H.; Matsuda, T. CO2 -expanded bio-based liquids as novel solvents for enantioselective biocatalysis. Tetrahedron 2017, 73, 2984–2989. [Google Scholar] [CrossRef]
- Soni, A.; Dahiya, P. Screening of phytochemicals and antimicrobial potential of extracts of Vetiveria zizanioides and Phragmites karka against clinical isolates. Int. J. Appl. Pharm. 2015, 7, 22–24. [Google Scholar]
- Semde, Z.; Koudou, J.; Zongo, C.; Figueredo, G.; Somda, M.K.; Ganou, L.; Traore, A.S. Chemical composition, antioxidant and antimicrobial activities of the essential oil of Vetiveria nigritana (Benth.) Stapf roots from Burkina Faso. J. Appl. Biol. Biotechnol. 2017, 5, 29–36. [Google Scholar]
- Chahal, K.K.; Bhardwaj, U.; Kaushal, S.; Sandhu, A.K. Chemical composition and biological properties of Chrysopogon zizanioides (L.) Roberty syn. Vetiveria zizanioides (L.) Nash- A Review. Indian J. Nat. Prod. Resour. 2015, 6, 251–260. [Google Scholar]
- Deng, G.; Craft, J.D.; Steinberg, K.M.; Li, P.L.; Pokharel, S.K.; Setzer, W.N. Influence of different isolation methods on chemical composition and bioactivities of the fruit peel oil of Citrus medica L. var. sarcodactylis (Noot.) Swingle. Medicines 2017, 4, 1. [Google Scholar] [CrossRef] [PubMed]
Sample Availability: Samples of the compounds in this article are not available from the authors. |


| No | Compounds | KI a | RI b,c | HD Oil d Area, % | IVD Oil e Area, % | CXE Oil f Area, % | SFE Oil g Area, % |
|---|---|---|---|---|---|---|---|
| 1 | cycloisolongifolene h | 1319 | 1311 [25] | 11.09 | 6.56 | 4.89 | |
| 2 | α-ylangene h | 1375 | 1363 [11],1371 [12],1373 [25],1465 [1] | 0.64 | |||
| 3 | α-copaene h | 1376 | 1377 [26] | 1.04 | 0.18 | 0.12 | |
| 4 | isoledene i | 1377 | 1377 [25] | 4.79 | |||
| 5 | β-patchoulene h, j | 1381 | 1395 [25] | 0.92 | 3.15 | 1.98 | |
| 6 | isolongifolene h | 1390 | 1387 [25] | 0.15 | |||
| 7 | sativene h | 1391 | 1339 [24],1394 [25] | 1.7 | 1.11 | ||
| 8 | longifolene h | 1408 | 1415 [26] | 3.69 | |||
| 9 | α-gurjunene h | 1409 | 1419 [25] | 1.15 | 1.02 | 1.38 | |
| 10 | thujopsene h | 1431 | 1429 [25] | 1.1 | |||
| 11 | β-humulene h | 1438 | 1454 [25] | 0.11 | |||
| 12 | prezizaene h | 1446 | 1375 [1],1438 [27],1441 [11], 1449 [28],1450 [29],1459 [30] | 2.25 | |||
| 13 | khusimene h | 1455 | 1443 [27],1452 [28],1455 [25], 1462 [30],1468 [1] | 2.16 | 5.86 | 1.48 | 4.44 |
| 14 | dehydroaromadendrene i | 1462 | 1541 [25],1545 [24] | 3.11 | |||
| 15 | β-cadinene i | 1472 [25] | 3.05 | 1.05 | 6.23 | ||
| 16 | γ-muurolene i | 1479 | 1477 [26],1480 [25] | 0.19 | |||
| 17 | α –curcumene h | 1480 | 1468 [30],1473 [12],1482 [25], 1486 [26] | 11.92 | |||
| 18 | γ-himachalene i | 1482 | 1470 [25],1476 [26] | 1.87 | 32.65 | ||
| 19 | α-amorphene i | 1484 | 1474 [30],1452 [25],1478 [27], 1481 [11],1491 [1] | 3.54 | |||
| 20 | cis-eudesma-6,11-diene h | 1489 | 1478 [12],1487 [25],1490 [27] | 3.73 | 2.46 | ||
| 21 | β-selinene h | 1485 [26],1488 [25] | 0.30 | ||||
| 22 | β-guaiene i | 1485 [25], 1490 [26],1523 [24] | 15.31 | 1.02 | |||
| 23 | eudesma-4,6-diene (δ-selinene) + h | 1492 | 1484 [12],1490 [27],1493 [11,25] | 4.93 | |||
| 24 | β-vetispirene i | 1493 | 1506 [1],1484 [12],1488 [25,27], 1491 [11] | 2.23 | |||
| 25 | zinigiberene h | 1493 | 1523 [26] | 0.22 | |||
| 26 | cadina-1,4-diene (cubenene) h | 1495 | 0.16 | ||||
| 27 | valencene h | 1496 | 1491 [25],1522 [11],1495 [28] | 0.46 | 0.18 | ||
| 28 | eudesma-3,11-diene (α-selinene) h | 1498 | 1480 [25],1492 [12] | 2.18 | 1.36 | ||
| 29 | α-muurolene h,i | 1500 | 1499 [25],1503 [28] | 3.4 | 2.46 | ||
| 30 | δ-guaiene h | 1508 [25] | 0.38 | ||||
| 31 | γ-cadinene i,j | 1513 | 1508 [28],1512 [12],1514 [25], 1519 [11] | 0.12 | 18.08 | ||
| 32 | δ –cadinene h | 1523 | 1502 [28],1508 [30],1517 [12], 1524 [26],1526 [25],1529 [11] | 1.15 | 0.85 | 4.06 | |
| 33 | β-vatirenene i | 1544 | 1527 [25],1554 [26] | 0.64 | |||
| 34 | α-calacorene h | 1545 | 1533 [12],1544 [27],1546 [25], 1547 [11],1552 [1] | 0.59 | 1.31 | 0.45 | |
| 35 | β-vetivenene h | 1555 | 1546 [12],1552 [25,27],1556 [11], 1574 [1] | 3.89 | 0.73 | ||
| 36 | zierone h | 1575 | 1754 [25] | 0.87 | 3.48 | ||
| 37 | 10-epi-γ-eudesmol h | 1623 | 1624 [25] | 2.77 | |||
| 38 | longifolenaldehyde h | 1668 [25] | 0.48 | ||||
| 39 | alloaromadendrene epoxide i | 1641 | 1646 [25] | 6.36 | |||
| 40 | cubenol i | 1646 | 1580 [24],1642 [25] | 1.47 | |||
| 41 | valerenol h | 1655 [25] | 18.48 | ||||
| 42 | valerenal h | 1688 [25] | 5.18 | 5.09 | 10.21 | ||
| 43 | cadina-4,9-diene h | 1670 [26] | 4.86 | ||||
| 44 | β-nootkatol i | 1712 [25],1722 [26] | 0.67 | ||||
| 45 | cedr-8-en-13-ol i | 1689 | 1688 [25],1769 [24] | 26.54 | 9.74 | ||
| 46 | nootkatone h | 1809 | 1809 [27],1812 [11] | 1.98 | |||
| 47 | zizanoic acid i | 1811 | 1817 [27],1818 [11],1837 [1], 1860 [25,28] | 2.66 | |||
| Hydrocarbons | 90.71 | 50.59 | 64.46 | 81.91 | |||
| Alcohols | 2.77 | ||||||
| Carbonyl compounds | 1.54 | 5.42 | |||||
| Carboxylic acids | 2.66 | ||||||
| Total identified | 96.14% | 52.13% | 69.88% | 81.91% | |||
| Vetiver Essential Oil | Color | Yield (%) | Extraction Time (h) |
|---|---|---|---|
| HD oil | pale yellow | 0.6 | 12 |
| IVD oil | dark brown | 0.3–0.5 | 18 |
| CXE oil | light yellow | 5.12 | 3 |
| SFE oil | greenish brown or olive | 0.5 | 2 |
| Sample | Antimicrobial Activity (MIC, μg/mL) | |||
|---|---|---|---|---|
| S. aureus (G+) a | B. subtilis (G+) | P. aeruginosa (G−) b | E. coli (G−) | |
| HD oil | 39 | 312.5 | 312.5 | 312.5 |
| IVD oil | 78 | 2500 | 2500 | 312.5 |
| CXE oil | 78 | 312.5 | 2500 | 312.5 |
| SFE oil | 78 | 156 | 312.5 | 625 |
| Samples | Regression Equation | IC50 (mg/mL) | |
|---|---|---|---|
| SFE oil | y = 9.38x + 7.43 | 0.97 | 4.54 |
| CXE oil | y = 2.61x + 40.31 | 0.90 | 3.71 |
| HD oil | y = 9.39x + 16.426 | 0.99 | 3.57 |
| IVD oil (LFO) | y = 6.80x + 35.09 | 0.99 | 2.19 |
| Ascorbic acid | y = 10.84x + 34.90 | 0.90 | 1.39 |
© 2019 by the authors. Licensee MDPI, Basel, Switzerland. This article is an open access article distributed under the terms and conditions of the Creative Commons Attribution (CC BY) license (http://creativecommons.org/licenses/by/4.0/).
Share and Cite
David, A.; Wang, F.; Sun, X.; Li, H.; Lin, J.; Li, P.; Deng, G. Chemical Composition, Antioxidant, and Antimicrobial Activities of Vetiveria zizanioides (L.) Nash Essential Oil Extracted by Carbon Dioxide Expanded Ethanol. Molecules 2019, 24, 1897. https://doi.org/10.3390/molecules24101897
David A, Wang F, Sun X, Li H, Lin J, Li P, Deng G. Chemical Composition, Antioxidant, and Antimicrobial Activities of Vetiveria zizanioides (L.) Nash Essential Oil Extracted by Carbon Dioxide Expanded Ethanol. Molecules. 2019; 24(10):1897. https://doi.org/10.3390/molecules24101897
Chicago/Turabian StyleDavid, Andreea, Fang Wang, Xiaoming Sun, Hongna Li, Jieru Lin, Peilei Li, and Gang Deng. 2019. "Chemical Composition, Antioxidant, and Antimicrobial Activities of Vetiveria zizanioides (L.) Nash Essential Oil Extracted by Carbon Dioxide Expanded Ethanol" Molecules 24, no. 10: 1897. https://doi.org/10.3390/molecules24101897
APA StyleDavid, A., Wang, F., Sun, X., Li, H., Lin, J., Li, P., & Deng, G. (2019). Chemical Composition, Antioxidant, and Antimicrobial Activities of Vetiveria zizanioides (L.) Nash Essential Oil Extracted by Carbon Dioxide Expanded Ethanol. Molecules, 24(10), 1897. https://doi.org/10.3390/molecules24101897

