Abstract
An update of xanthones encountered in lichens is proposed as more than 20 new xanthones have been described since the publication of the compendium of lichen metabolites by Huneck and Yoshimura in 1996. The last decades witnessed major advances regarding the elucidation of biosynthetic schemes leading to these fascinating compounds, accounting for the unique substitution patterns of a very vast majority of lichen xanthones. Besides a comprehensive analysis of the structures of xanthones described in lichens, their bioactivities and the emerging analytical strategies used to pinpoint them within lichens are presented here together with physico-chemical properties (including NMR data) as reported since 1996.
Keywords:
biosynthesis; polyketides; fungi; NMR spectroscopy; bioactivity; lichexanthone; islandicin; thiomelin; secalonic acids 1. Introduction
Xanthones are ubiquitous polyphenolic compounds displaying a common 9H-xanthen-9-one scaffold [1]. Bioactivities of these compounds depend on their tricyclic core as well as on the nature and/or position of their highly diverse substituents, making them a “privileged structure” [2] likely to bind a variety of targets [3]. Thus, more than 250 of them were shown to display significant bioactivities including antimicrobial, antioxidant and cytotoxic activities [4]. Even though xanthones might be regarded as non-specific lichen compounds compared to other structural classes (e.g., depsides, depsidones, dibenzofurans…), the specific biosynthetic pathway of fungal xanthones results in novel substitution patterns, highlighting the interest of lichen xanthones. Furthermore, since the compendium of lichen substances established by Huneck and Yoshimura in 1996 [5], various xanthones of unexpected structures were isolated from lichen sources, further strengthening the interest in the chemodiversity of this source. This review aims at gathering all the recent data regarding the lichen xanthones that has appeared since 1996. A brief insight is given into the biosynthetic schemes of lichen xanthones with a focus on elements accounting for their specific substitution. Subsequently, the structures of all lichen xanthones isolated since 1996 are given and their available physico-chemical properties, including NMR data, are further compiled alongside their published bioactivities.
2. Current Data Regarding the Biosynthesis of Xanthones within Lichens
As with most lichen metabolites [6], the biosynthesis of xanthones proceeds through the polyacetate/polymalonate pathway, featuring the internal cyclization of a single folded polyketide chain. Two distinct series of xanthones are obtained, depending on this folding pattern.
Most lichen xanthones arise through the folding of a polyketide intermediate as described by Cacho et al. [7], resulting in structures displaying a methyl group in position 8 (Figure 1). Aldol condensation and Claisen-type cyclization and release and yield a benzophenone intermediate that might spontaneously dehydrate to obtain the central pyrone core. This biosynthetic scheme gives rise to the common oxygen substitution pattern of lichexanthone and norlichexanthone (1,3,6-trihydroxy-8-methylxanthone).
Figure 1.
Proposed biosynthetic pathway for lichexanthone-type lichen xanthones. Adapted from [7].
In contrast, a limited number of structures arise via a distinct biosynthetic pathway that leads to the ravenelin skeleton, with the methyl group in position 3. This biosynthetic scheme begins with the widespread anthraquinone emodin as a precursor [8] (Figure 2). To begin with, the hydroxyl group on C-6 of the emodin disappears (yielding chrysophanol) as it was observed in cell-free preparations of the fungus Pyrenochaeta terrestris [9,10]. The hydroxyl group on C-4 is then incorporated after the oxidative ring opens [11]. Deeper insights into this latter biosynthetic event were discussed by Henry and Townsend [12], who proposed an aryl epoxidation across an A-ring edge of chrysophanol to yield an intermediate that lost its A-ring aromaticity. Under this scheme, this intermediate, stabilized by a hydrogen bond between its newly formed phenol group and the neighboring quinone group, recovers its A-ring aromaticity to grant islandicin as a shunt product. An alternative for this intermediate is to undergo a second oxidation, most likely by the same P450 oxygenase, to afford a Baeyer-Villiger cleavage of the central quinone ring to yield an ortho carboxybenzophenone that might follow several metabolic fates. A first possibility is the 1,4-addition of a B-ring phenol to the A-ring dienone followed by dehydration and decarboxylation to access ravenelin-like xanthones after a final oxidation [12]. This results in xanthones displaying an archetypical 1,4,8-trihydroxy-3-methylxanthone skeleton. A second metabolic pathway, granting access to eumitrins and secalonic acids, is assumed to include a methylation of the carboxy group to prevent its subsequent elimination after a similar 1,4-addition. Finally, a subsequent 1,2-addition to the benzophenone intermediate leads to further cores similar to that of tajixanthone produced by Aspergillus variecolor, a skeleton thus far unknown from lichens.
Figure 2.
Proposed biosynthetic pathway for thiomelin-type lichen xanthones. Adapted from [12].
It is noteworthy that the xanthone nucleus of plants is of mixed biosynthetic origin with the A-ring being acetate-derived whereas shikimic acid pathway–derived 3-hydroxybenzoic acid gives rise to the C-ring (Figure 3). Aromatization of the side chain leads to a freely rotating benzophenone intermediate that can further cyclize to yield the xanthone core. Regioselective oxidative coupling can then yield a 1,3,7-trihydroxyxanthone (Hypericum androsaemum) or 1,3,5-trihydroxyxanthone (Centaurium erythraea) [4].
Figure 3.
Biosynthesis of xanthones within plants.
Given these different biosynthetic pathways, only few lichen xanthones are known from non-lichenized organisms. However, some can be produced by higher plants, such as lichexanthone (e.g., Anthocleista djalonensis [13], Croton cuneatus [14], Cupania cinerea [15], Feroniella lucida [16], Minquartia guianensis [17], Zanthoxylum microcarpum [18], Z. valens [18]), vinetorin (Hypericum ascyron [19]). Likewise, non-lichenized fungi have the ability to synthesize some lichen xanthones, such as lichexanthone from various Penicillium [20], norlichexanthone from Penicillium patulum [21] and the endolichenic fungus Ulocladium [22]; 1,3,6-trihydroxy-8-methylxanthone (also known as griseoxanthone C) is a precursor of aflatoxins—a group of significant environmental mycotoxins—first reported from Penicillium patulum [23]. Secalonic acids are also mycotoxins produced by a wide array of fungi [24].
Likewise, very few xanthones are common to higher plants and fungi, with some such examples being 1,7-dihydroxyxanthone (known from the plants Vismia parviflora [25] and Weddelina squamulosa [26] while also being produced by a Penicillium strain [27]) 1,8-dihydroxy-3-methoxy-6-methylxanthone (plant Cassia obtusifolia [28] and fungus Astrocystis sp. BCC 22166 [29]), pinselin (plant Cassia occidentalis [30] and several fungal strains including an endophytic Phomopsis sp. [31], Talaromyces bacillosporus [32] and the marine-derived Engyodontium album [33]), 6-O-methyl-2-deprenylrheediaxanthone B (plant Garcinia vieillardii [34] and fungus Phomopsis sp. [31]), as well as 8-desoxygartanin (produced by both Garcinia mangostana and Streptomyces rishiriensis 265-P5921 (according to the Dictionary of Natural Products)). It can therefore be stated that xanthones are highly unique to each realm, legitimating joint efforts on higher plants, non-lichenized fungi and lichens to widen the chemical diversity of these privileged structures.
Recent data regarding the number of naturally occurring xanthones are scarce, with the last numbered record of 278 xanthones listed by Vieira and Kijjoa more than 10 years ago [3]. By January 2016, the Dictionary of Natural Products revealed a dramatic increase in the number of natural xanthones with ca. 2000 occurrences of xanthones sensu lato (i.e., including their reduced derivatives di-, tetra- and hexahydroxanthones). These considerable efforts might be explained by the discovery of promising leads such as the anti-angiogenic molecule Vadimezan (AS 404) which is currently undergoing phase III clinical trials as a tumor vascular-disrupting agent [35,36], as well as the pleiotropic pharmacological activities of mangosteen xanthones which have garnered considerable interest from the scientific community [37,38]. Obviously, plants remain the prevalent source of xanthones, concentrating almost 80% of natural xanthones. Non-lichenized fungi represent a further 15% while lichens account for the remaining 5% (Figure 4).
Figure 4.
Pie diagram showing the distribution of source organisms for 1940 naturally occurring xanthones (established by consultation of the Dictionary of Natural Products, 15 January 2016).
Structural diversity of lichen xanthones mostly stems from variations in the orientation and degree of chlorination of the norlichexanthone or ravenelin core, as well as from the position and extent of methylation of the phenolic groups. Elix and Crook tremendously advanced the understanding of chlorination and methylation processes affecting the xanthone core. Through the example of 40 different species of lichens, theoretical biosynthetic schemes mirroring the sequence of biogenetic events leading to the joint occurrence of xanthones among lichens were constructed [39]. This results in chemosyndromes in which the biosynthetic intermediates can be expected alongside the final xanthone. As an example, isoarthothelin (=2,5,7-trichloronorlichexanthone) might be biosynthesized from 2,4-dichloronorlichexanthone and 2,5-dichloronorlichexanthone. Therefore, the joint occurrence of these species is referred to as the isoarthothelin chemosyndrome [40].
Further structural modifications might be taken into account to extend the chemodiversity of lichen xanthones. Important contributors to the chemical diversity of xanthones are prenyl groups which are most often incorporated as dimethylallyl moieties [41]. Generally speaking, prenylated secondary metabolites are of paramount interest since their bioactivities are often distinct from those of their non-prenylated precursors [42]. Even though prenylxanthones have been known to come from fungi for a long time [43], no reports of such xanthones were made by the time Huneck and Yoshimura published their compendium of lichen substances [5] since the first lichen prenylxanthones were reported by Rezanka et al. in 2002 [44]. Underlying biosynthetic pathways were recently outlined within the prenylxanthone-producing fungus Aspergillus nidulans, through the identification of prenyltransferase genes belonging to the fungal indole prenyltransferases, so far known for their involvement in the prenylation of amino acids [45]. Glycosylations represent another kind of functionalization recently evidenced from lichen xanthones through the examples of umbilicaxanthosides A and B [44] and hirtusneanoside [46].
The diversity of lichen xanthones is also extended through some dimeric xanthones. Although the identification of key dimerization processes still warrants further investigation, xanthone dimers are most likely obtained after the biaryl linkage of monomers. This hypothesis is preferred to that of a tandem biosynthetic pathway which would involve a side-by-side cyclization of a double-length polyketide, especially since the discovery of the long-sought-after monomeric units of secalonic acids (the so-called blennolides) within the fungus Blennoria sp. [47]. Enzymatically mediated or not, it is admitted that the dimerization would involve a xanthonyl radical that subsequently couples to electron donors. Resonance contributors of this delocalized aryl radical might then account for the reactivity of ortho and para C positions [24].
Reductive dearomatizations are sometimes observed on xanthones to yield dihydro-, tetrahydro- or hexahydroxanthones. To date, in lichens, such reduced species were only observed from dimeric xanthones: secalonic acids, hirtusneanoside and eumitrin A1 (bis tetrahydroxanthones) and eumitrin A2, B and T (unsymmetrical tetrahydro- and hexahydroxanthones). Overall, a vast majority of xanthones reported from lichens have a monomeric and fully aromatized structure.
3. Contribution of the Symbiotic Partners
Even though xanthones from free-living fungi are well known, a plant-fungus collaboration has been suggested for several lichen xanthones. As an example, the typical lichen xanthone 2,7-dichlorolichexanthone could be isolated from the lichen Lecanora dispersa [48]. However, when the fungus was cultivated in the absence of the alga, the xanthone production was diverted to other secondary metabolites being produced instead (e.g., depsidones such as pannarin and related compounds). A further consistent example is that of Lecanora rupicola. This lichen is known to produce metabolites of various polyketide classes: lecanoric acid (depsides), hematommic and orsellinic acids (monocyclic phenols), eugenitol and sordidone (chromones) and arthothelin (xanthone). The whole chemosyndrome could be produced from axenically grown mycobionts, with the notable exception of arthothelin [49], suggesting a likely metabolic cooperation between the symbiotic partners. Likewise, dimeric xanthones eumitrins are produced by the lichen Physconia distorta but not by its isolated mycobiont [50]. Adversely, axenic cultures of the mycobiont of Pyrenula japonica and P. pseudobufonia revealed the biosynthesis of xanthones that cannot be evidenced from the lichen as a whole (see further), suggesting their significance in the pre-lichenized condition [51,52].
A total of 72 xanthones containing one to four chlorine atoms are currently known from lichens. Even though recent studies have shed light on chlorinated xanthone biosynthesis, no study has focused on their degradation. Dechlorination of organochlorines can be achieved by some bacterial strains, referred to as organohalide respirers. Such bacteria comprise the famous Dehalococcoides mccartyi that has gathered attention because of its ability to dechlorinate a large array of anthropogenic pollutants [53,54,55]. Later on, related bacteria were also reported from an unpolluted environment, suggesting their involvement in homeostatic chlorine cycling [56,57,58]. Therefore, a contribution from the rich bacterial communities sheltered by lichens can be envisaged. Notably, some such organohalide respirers belong to the Firmicutes phylum [59], which is represented among the bacterial diversity hosted by lichens [60,61,62]. However, comparative studies of bacterial populations harvested by chlorinated xanthones producing lichens and lichens lacking such metabolites are mandatory for validating this assumption. Given the close structural homologies between chlorinated xanthones and polychlorinated biphenyls (PCB) and dibenzo-p-dioxins (dioxins), such bacterial strains might be of paramount interest for bioremediation purposes [59]. Acting as alternative electron acceptors, chlorinated xanthones might serve as biostimulants to speed up the remediation at contaminated sites [59,63].
4. Analytical Chemistry: From Detection to Structure Elucidation
Although widespread among lichens, the long neglect of xanthones compared to other structural classes most likely arises from initial confusion in structural assignments between isomers and the subsequent difficulties in distinguishing the large number of co-occurring isomers [64]. However, the reliability of structural assignments tremendously increased over the last decades as refined dereplicative processes were developed. By 1993, a normalized reverse phase HPLC technique defined retention indices for 393 lichen products—including 55 xanthones—revealing that numerous xanthone isomers had different retention times [65]. Likewise, standardized TLC procedures were defined [66,67,68], with specific guidelines dedicated to xanthones [69]. A further enhancement of the normalized HPLC procedure was its subsequent hyphenation with a photodiode array detector to screen for xanthones based on their specific UV/Vis spectra [70]. As fluorescent substances, the color of lichen metabolites in long-wave UV light has been used for a long time as a hint to determine their structural class, especially for TLC. While the color of xanthones at such wavelengths is expected to range from bright yellow to orange, anthraquinones vary from bright red to vermillion and pulvinic acid derivatives appear yellowish [71]. At last, depsides and depsidones generally fluoresce blue to white or shades of grey, although atranorin gives a yellow hue [72]. Such features paved the way for fluorescence microscopy studies undertaken on semi-thin sections of lichens to explore the location of lichen metabolites across sections of a range of macrolichens [73]. However, an obvious limitation of this approach is that it only depends on the structural group scaffold and therefore it does not discriminate between individual compounds. Structural assignments have now been confirmed by the unambiguous synthesis of most lichen xanthones [74,75,76]. A further strategy to improve the information granted by the aforementioned separative techniques is the subsequent detection by mass spectrometry. If HPLC-MS of lichen extracts is now widely used for lichen dereplication, with the possible detection of xanthones, no TLC-MS reports have yet been made to the best of the authors’ knowledge [77]. To date, no standardized liquid chromatography-UV-mass spectrometry methodology has been published on lichen metabolites. However, a few non-specific lichen xanthones (lichexanthone, norlichexanthone, secalonic acid D) can be found in the fungal database established by Nielsen and Smedsgaard [78]. As far as mass spectrometry is concerned, various lichen xanthones were shown to be ionizable in negative-ion mode LDI-MS (Laser Desorption and Ionization), directly providing a complete chemical fingerprint from the complete acetone extract of the chloroxanthone-containing Lecidella asema, without the need for matrix assistance [79]. Lately, the ambient ionization technique DART-MS revealed its potent ability in examining lichen secondary metabolites in situ [80]. As shown below, the analysis of a whole piece of Lecidella asema shows an exhaustive chemical profile (Figure 5).
Figure 5.
Positive-ion mode DART-MS spectrum of a solid piece of Lecidella asema. Experimental conditions as described in [80].
However, regarding the specific example of lichen xanthones, the lack of mutually supportive data such as chromatographic retention times and/or UV/Vis spectra precludes the differentiation of isomers and is a severe limitation of such methods. Possible ways to overcome such limitations while keeping an in situ approach might be the use of a droplet microjunction surface sampling probe and subsequent coupling with HPLC-DAD-MS(MS) to perform separation and therefore to collect retention time and UV/Vis data as obtained with more traditional dereplication protocols [81]. Even though such enhancements might shorten the time lapse for drug discovery through pinpointing and streamlining the isolation of original compounds, NMR analysis remains mandatory for elucidating structure, especially for highly isomeric structures such as xanthones. For a long time, the poor sensitivity of NMR precluded the structure elucidation of numerous minor to trace compounds. However, since 2000, significant improvements in reducing the operational sample amount and concentration addressed this shortcoming, especially through the use of low-volume tube probes and capillary probes coupled with cryogenically cooled radiofrequency coils [82]. Such innovations pave the way for the full characterization by one-dimensional (1D) and two-dimensional (2D) NMR of natural products in vanishingly small amounts (down to one nanomole) in reasonable time frames [82,83]. This increased sensitivity is of special significance in the field of lichenology since (i) the collection of bulk quantities of material is often hard to achieve and (ii) the high degree of accumulation of the major metabolites in lichens remains a major pitfall when studying their phytochemistry [84].
Together with analytical achievements, informatics tools were also developed to alleviate the dereplication holdup. A computer software named Wintabolites® was dedicated to the identification of lichen metabolites from an original database of 550 compounds, including HPLC retention indices, TLC-Rf values, UV/visible colors of TLC spots and thalline reactions to guide their identification [85]. A most valuable upgrade of this informatics approach is LIAS metabolites (A Global Information for Lichenized and non-lichenized Ascomycetes) [86], a database compiled by Pr. J.A. Elix with additions by Pr. K. Kalb. Extended to 881 secondary metabolites as of January 2016, this database now includes mass spectrometry data besides HPLC and TLC standardized chromatographic values. Useful information regarding the structural class of the metabolites and biosynthetically related compounds is also given [87].
5. Structures and Bioactivities of Lichen Xanthones
It is noteworthy that lichen xanthones described up to 1996 most often belonged to the two basic cores described earlier with canonical substitution patterns. Today, 62 molecules displaying the lichexanthone scaffold and 19 molecules following the thiomelin substitution pattern (Figure 2) have been described. However, the logical biosynthetic sequences delineated by Elix and Crook [39] enable the prediction of putative intermediates that have not yet been reported from lichens. These putative intermediates might represent eight additional lichexanthone derivatives and three other thiomelin-type xanthones. Interestingly, a number of xanthone species described as putative in 1996 [5] have been purified since then. Such species include 7-chlorolichexanthone (Lecanora schofieldii [88]), 2,4-dichloro-3-O-methylnorlichexanthone (Pertusaria aceroae and P. calderae [89]), 2,5-dichloro-3-O-methylnorlichexanthone (obtained from Calopadia fusca [90] among others), 3,6-di-O-mehtylthiophanic acid from Calopadia subcoerulescens [90] and Phyllopsora chodatinica [91]), 4,5,7-trichlorolichexanthone (Sporopodium leprosum [92]) and 2,4,7-trichloro-3-O-methylnorlichexanthone (Calopadia perpallida [90]). Chlorinations and methylations from these cores can directly account for the structures of most lichen xanthones described by Huneck and Yoshimura. This diversity of lichen xanthones has to be extended to the vast array of secalonic acid and eumitrin derivatives identified by their chromatographic data but for which their minute amounts have so far hampered their NMR structure elucidation. Such tetrahydroxanthone dimers might represent privileged metabolites given their structural homology with the promising anti-tumor compound phomoxanthone A [93]. One might also take into account the putative monomeric units of secalonic acids and eumitrins, none of them being identified from lichen sources so far.
Besides these fully rationalized structures, a limited number of metabolites exhibit structural variations that are more or less difficult to explain. As an example, demethylchodatin displays a methoxy group in position 4 that might be introduced by a xanthone oxidase on this trichlorinated norlichexanthone derivative. Another unusual modification of the lichexanthone series is the occurrence of two acetyl groups in erythrommone. The chemical structures of xanthones with trivial names discussed in this manuscript are enlisted in Figure 6.
Figure 6.
Chemical structures of xanthones with trivial names discussed in this manuscript.
However, 22 lichen xanthones display unusual structural features that make their biosynthetic intermediates tricky to unravel (including a series of 16 related species described by Rezanka and colleagues [44,94], see further). Three such species were already mentioned in the compendium established by Huneck and Yoshimura [5]: the absence of a methyl substituent in 1,8-dihydroxy-3,6-dimethoxyxanthone is biogenetically difficult to explain, as are the two methyl substituents of 1,7-dihydroxy-2,4-dichloro-6,8-dimethylxanthone and of 1-hydroxy-2,4-dichloro-6,8-dimethylxanthone, obtained from Rinodina thiomela.
As of 2016, a total of 103 xanthones were isolated from lichens, implying the presence of 11 further species as biosynthetic intermediates. This chemodiversity will soon be enriched with an extensive array of unidentified tetrahydrobisxanthones and their associated monomeric units.
Very few lichen xanthones have been investigated to date for their bioactivities. Lichexanthone exerts a weak activity against Mycobacterium tuberculosis [95] and M. aurum [96]. Despite this mild activity, a dihydropyrane xanthone derivative of lichexanthone revealed an antimycobacterial activity comparable to that of drugs commonly used to treat tuberculosis [97]. Lichexanthone and griseoxanthone C exhibit strong antibiotic effects towards Bacillus subtilis with respective IC50 values of 2.25 and 1.29 μM, but only the former inhibited the growth of methicillin-resistant Staphylococcus aureus (IC50: 21 μM) [22]. No anti-parasitic activity of lichexanthone could be observed towards Plasmodium falciparum and Trypanosoma brucei [15]. Lichexanthone also displays sperm mobility–enhancing properties [98] and induces the production of NO by murine macrophages which might reveal their activation [99]. Lichexanthone revealed no cytotoxic activity against murine melanoma B16F10, human melanoma UACC-62 and fibroblast cells NIH/3T3 [100]. At last, lichexanthone was found to be effective against the dengue vector Aedes aegypti [98].
Norlichexanthone was shown to display promising cytotoxic activities [101]. Indeed, norlichexanthone caused 100% inhibition of p56lck tyrosine kinase at 200 μg/mL [102] and inhibited the activity of the protein kinases aurora-B, PIM1 and VEGF-R2 with mean IC50 values ranging from 0.3 to 12 μM [103]. Norlichexanthone also promotes the expression of the insulin-sensitizing, anti-diabetic and anti-atherogenic protein adiponectin within cultured ST-13 adipocytes [104]. Dayan and Romagni also reported on the fungicidal effect of thiophanic (Figure 5) and thiophaninic acids [105]. Alongside many other lichen compounds, Huneck and Schreiber reported on the allelopathic effect of thiophanic acid towards a wide array of higher plants [106].
As most structural classes of lichen metabolites, xanthones display strong UV-absorbing properties, predominantly in the wavelength range of UVA [107]. Indeed, lichexanthone synthesis could be triggered in juvenile mycelia of Haematomma fluorescens as a response to a 365 nm UV light exposure, emphasizing its protective role as a light filter [108]. Deposition of xanthones in the cortical layers further suggests their involvement in the protection of the UV-sensitive algal layer [109,110]. Such properties might be of utmost interest when urgently needing new materials to outperform the currently used UV-photoprotective products [111]. A Time-Dependent Density Functional Theory (TD-DFT) modelization recently delineated the electronic transitions accounting for the UV/Vis spectra of secalonic acids. This revealed that absorption wavelengths and molecular extinction coefficients obtained from these bisxanthones were comparable to that of UVA-referent sunscreens, which might stem from the structural homologies shared by the commercially available avobenzone and the phenyl-β-diketo moiety of xanthones [112].
6. New Lichen Xanthones Described since 1996: Discussion, Physico-Chemical Properties (Including NMR Data) and Bioactivities
The past 20 years witnessed the isolation of 23 further lichen xanthones. It is noteworthy that those new xanthones displayed original substitution patterns and revealed original moieties compared to the previous state of the art.
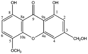
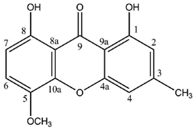
Cultures of the spore-derived mycobionts of Pyrenula japonica and P. pseudobufonia afforded a series of five new ravenelin-type lichen xanthones, the first reports of such xanthones from aposymbiotically grown lichen mycobionts. A first report elucidated the structures of 1,5,8-trihydroxy-3-methylxanthone, 1,8-dihydroxy-5-methoxy-3-methylxanthone and 1,7-dihydroxy-3-methylxanthone [51] while a second one established the occurrence of 1,8-dihydroxy-3-hydroxymethyl-5-methoxyxanthone and 1,4,8-trihydroxy-5-methoxy-3-methylxanthone, typically associated with the thiomelin pathway [52]. Notably, 1,7-dihydroxy-3-methylxanthone stands among the rare xanthones also described from plants (Cassia occidentalis [113]) and also from an Ascomycete fungus [114]. Surprisingly, all molecules described from this series lack the 4-hydroxy group with four of them displaying an unusual oxygenated substituent at C5 instead. In one case, position 2 is oxygenated, which is a unique structural feature among the lichen xanthones described so far. One will note that 1,7-dihydroxy-3-methylxanthone also lacks the oxygenated substituent on C8 which is replaced by a unique hydroxyl substituent on C7, an unprecedented structural peculiarity for a lichen xanthone. Finally, the oxidation of the methyl group into a hydroxymethyl for one of these molecules is also new to lichen xanthones. Of special interest is that these compounds could not be identified from the whole lichen, whereas they are constantly isolated from mycobionts harvested in highly unrelated sampling sites (one in Japan and one in the USA), which might point to their biological significance in the prelichenized condition. Notably, 1,5,8-trihydroxy-3-methylxanthone and 1,2,8-trihydroxy-5-methoxy-3-methylxanthone displayed stronger antioxidant activities than α-tocopherol via the DPPH radical test [52]. Besides, 1,7-dihydroxy-3-methylxanthone also exerts a moderate Mono Amine Oxidase-inhibiting activity [114].
Two highly unusual glycosylated prenylxanthones were subsequently identified from the Ural lichen Umbilicaria proboscidea [44]. Umbilicaxanthoside A is a C2-monoprenyl xanthone having a β-d-glucopyranose unit anchored at position O-7, whereas umbilicaxanthoside B stands for a C2,C8-diprenylxanthone with a disaccharide β-d-glucopyranose-(1→4)-β-d-glucopyranose moiety at O-7. These compounds were the first prenylated xanthones to be isolated from a lichen source and glycosides are not frequently encountered in lichens [84]. Besides, both molecules reveal a highly unusual oxygenation pattern, rendering their biosynthetic pathway tricky to delineate. A follow-up study carried out on the same lichen identified 14 acylated xanthone O-glycosides corresponding to linolenoyl, lineoyl, palmitoleoyl, oleoyl, palmitoyl, eicosenoyl and stearoyl esters of both umbilicaxanthosides A and B [94]. Fragmentation patterns obtained by LC-APCI-MS were highly informative and could establish the nature of the esterified fatty acid. None of those compounds were investigated for their biological properties.
The last monomeric xanthone isolated so far from a lichen source is cladoxanthone A (=1,5-dihydroxy-2,4,6-trichloro-7-methylxanthone), obtained from Cladonia incrassata [115]. The occurrence of a methyl substituent on C-7 is an unprecedented structural feature among lichen xanthones, thus questioning the underlying biogenetic schemes. A possible hypothesis to account for the structure of this xanthone is to consider ziganein as a possible anthraquinone precursor [116]. It is noteworthy that this metabolite presents a substitution pattern identical to that of cladoxanthone A and it was isolated from the endophytic fungus Sporormiella minimoides [116] (Figure 7). Cladoxanthone A revealed an antibacterial effect towards Staphylococcus aureus even though the paucity of the compound precluded the determination of a minimal inhibitory concentration [115].
Figure 7.
Compared chemical structures of ziganein and cladoxanthone A.
Regarding dimeric xanthones, known metabolites of the secalonic acid series were first isolated from lichen sources in 2009, i.e., secalonic acids B, D and F were purified from Diploicia canescens [117]. The joint occurrence of these isomers in this lichen is not surprising because of their biosynthetic relationship. Indeed, the association of the two monomeric tetrahydroxanthone blennolides A and B, respectively, yields secalonic acids B and D [47]. Secalonic acid F then represents a hybrid dimer of blennolides A and B. It is noteworthy that each of these compounds displays an identical configuration at C-10a, suggesting that the cyclization is catalyzed by a specific enzyme giving rise to a unique type of product [117]. Secalonic acid is a major environmental mycotoxin essentially known for its production by the microbial Penicillium oxalicum, a notorious foodstuff contaminant. Such a presence represents an alarming health issue given the acute toxicity and the teratogenic effects of secalonic acid D [118,119], warranting extended investigations of its bioactivities which highlighted its pleiotropic pharmacological activities. Secalonic acids D and F revealed antimicrobial activities against Bacillus megaterium while secalonic acid A displayed activity against Bacillus subtilis and Piricularia oryzae [120]. Likewise, secalonic acid B is an effective antimicrobial (Bacillus megaterium and Escherichia coli) as well as antifungal (Microbotryum violaceum) and antialgal agent (Chlorella fusca) [47]. Several reports suggested the cytotoxic activity of secalonic acid derivatives [117]. Bioassay-guided fractionation of the extracts of the marine lichen–derived Gliocladium sp. T 31 streamlined the isolation of secalonic acid D as the cytotoxic metabolite against four cell lines in a highly variable range of 0.03–15 μM, suggesting selective pharmacodynamic properties [121]. Further studies revealed a submicromolar IC50 of secalonic acid D on the carcinoma KB cells and an inhibition of human topoisomerase 1 with a promising IC50 of 0.16 μg/mL [122]. More recently, secalonic acid D was shown to down-regulate the expression of efflux pump ABCG2 which is known to confer the Multidrug Resistance phenotype [123]. As a last contribution to its cytotoxic activity, secalonic acid D exhibits an anti-angiogenic activity via the Akt/mTor/P70S6K pathway [124]. Another feature of the pleiotropic activities of secalonic acid D depends on the inhibition of protein kinase C and several other Ca++-dependent enzymes through competitive inhibition [125]. Subsequent disruptions of cell signaling might account for the teratogenicity of these compounds. Indeed, it was demonstrated on a murine model that secalonic acid D decreases the levels of Epidermal Growth Factor (EGF) as well as its associated signal transduction [126]. As a consequence, inhibition and alteration of transcription factors in the developing murine plate following an exposition to the toxin at normal human dietary levels were observed, resulting in the cleft palate condition [127,128].
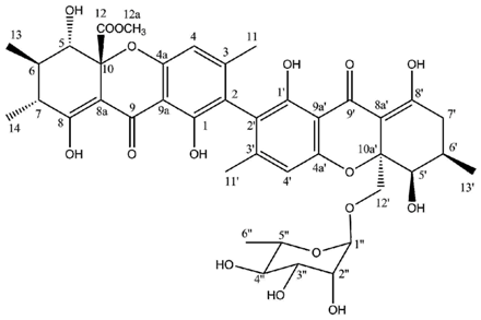
Hirtusneanoside is a new xanthone dimer isolated from Usnea hirta corresponding to a rhamnoside of an unsymmetrical dimeric tetrahydroxanthone [46]. If the oxygenation pattern can be fully rationalized according to the biosynthetic pathway discussed earlier, this structure contains several additional methyl groups of unknown origin. Hirtusneanoside was proven to be active against Staphylococcus aureus and Bacillus subtilis [46]. The enzymatic hydrolysis of hirtusneanoside yielded α-l-rhamnose and the aglycone named hirtusneanin, the physico-chemical data of which were also reported by Rezanka and Sigler [46].
Available physico-chemical properties regarding the newly described lichen compounds are listed below.
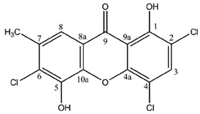
Cladoxanthone A
C14H7O4Cl3 (343.94099)
Yellow powder
UV λmax (MeOH)(log ε): 381 (3.24), 323 (3.50), 259 (4.11) nm
IR νmax (CHCl3): 3353, 3056, 1642, 1597, 1450, 800 cm−1
Sources: Cladonia incrassata [115].
| Cladoxanthone A (CDCl3) | ||
|---|---|---|
| Position | δC | δH (J in Hz) |
| 1 | 156.2 | - |
| –OH 1 | - | 13.16 (s) (1H) |
| 2 | 115.2 | - |
| 3 | 136.6 | 7.80 (s) (1H) |
| 4 | 111.2 | - |
| 4a | 149.5 | - |
| 5 | 141.2 | - |
| –OH 5 | - | 6.09 (s) (1H) |
| 6 | 127.9 | - |
| 7 | 133.7 | - |
| CH3–7 | 20.2 | 2.51 (s) |
| 8 | 117.0 | 7.73 (s) |
| 8a | 118.4 | - |
| 9a | 109.7 | - |
| 10a | 143.0 | - |
1,8-Dihydroxy-3-hydroxymethyl-5-methoxyxanthone
C15H12O6 (288.06339)
Yellow needles, mp 221–222 °C
UV λmax (MeOH)(log ε): 387.5 (3.27), 341 (3.84), 271 (4.16), 263 (4.24), 255 (4.29), 236 (4.17)
IR νmax (KBr): 3533, 1659, 1634, 1609, 1589, 1493 cm−1
Sources: Mycobiont of Pyrenula japonica [52].
| 1,8-Dihydroxy-3-hydroxymethyl-5-methoxyxanthone (DMSO-d6) | ||
|---|---|---|
| Position | δC | δH (J in Hz) |
| 1 | 160.0 | - |
| –OH 1 | - | 11.10 (br s) a |
| 2 | 107.7 | 6.98 (br s) (1H) |
| 3 | 154.8 | - |
| 3–CH2OH | 62.2 | 4.57 (br s) (2H) |
| 3–CH2OH | - | 5.58 (br s) (1H) |
| 4 | 104.2 | 6.75 (br s) (1H) |
| 4a | 155.6 | - |
| 5 | 139.7 | - |
| 5–OCH3 | 56.7 | 3.86 (s) (3H) |
| 6 | 121.1 | 7.45 (d, 9.0) (1H) |
| 7 | 108.9 | 6.71 (d, 9.0) (1H) |
| 8 | 152.7 | - |
| 8–OH | - | 11.60 (br s) a |
| 8a | 107.8 | - |
| 9 | 184.9 | - |
| 9a | 106.1 | - |
| 10a | 144.8 | - |
a These signals might be switched.
1,2,8-Trihydroxy-5-methoxy-3-methylxanthone
C15H12O6 (288.06339)
Yellow needles, mp 214–215 °C
UV λmax (MeOH) (log ε): 421 (3.42), 352 (3.58), 280 (4.27), 263 (4.18), 243 (4.17), 206 (4.23)
IR νmax (KBr): 3487, 1663, 1636, 1607, 1576, 1489 cm−1
Sources: Mycobiont of Pyrenula japonica [52].
| 1,2,8-Trihydroxy-5-methoxy-3-methylxanthone (DMSO-d6) | ||
|---|---|---|
| Position | δC | δH (J in Hz) |
| 1 | 145.8 | - |
| 2 | 138.4 | - |
| –OH 2 | - | |
| 3 | 137.0 | - |
| 3–CH3 | 17.1 | 2.30 (s) (3H) |
| 4 | 107.6 | 6.95 (br s) (1H) |
| 4a | 147.7 | - |
| 5 | 139.7 | - |
| 5–OCH3 | 56.7 | 3.88 (s) (3H) |
| 6 | 120.5 | 7.45 (d, 9.0) (1H) |
| 7 | 108.2 | 6.70 (d, 9.0) (1H) |
| 8 | 152.6 | - |
| 8a | 107.6 | - |
| 9 | 185.1 | - |
| 9a | 105.9 | - |
| 10a | 145.0 | - |
1,7-Dihydroxy-3-methylxanthone
C14H10O4 (242.05791)
Yellow needles, mp 259–260 °C
UV λmax (MeOH) (log ε): 384 (3.84), 290 (3.98), 261 (4.58), 235 (4.45)
IR νmax (KBr): 3285, 1653, 1607, 1585, 1483 cm−1
Sources: Mycobiont of Pyrenula japonica [52].
| 1,7-Dihydroxy-3-methylxanthone (CDCl3-CD3OD) | ||
|---|---|---|
| Position | δC | δH (J in Hz) |
| 1 | 161.7 | - |
| 2 | 111.1 | 6.57 (br s) (1H) |
| 3 | 149.5 | - |
| 3–CH3 | 22.6 | 2.42 (s) (3H) |
| 4 | 108.1 | 6.75 (br s) (1H) |
| 4a | 157.1 | - |
| 5 | 119.6 | 7.37 (d, 9.0) (1H) |
| 6 | 125.5 | 7.29 (dd, 9.0, 2.5) (1H) |
| 7 | 154.5 | 6.70 (d, 9.0) (1H) |
| 8 | 109.0 | 7.52 (d, 2.5) (1H) |
| 8a | 121.6 | - |
| 9 | 182.5 | - |
| 9a | 107.1 | - |
| 10a | 150.8 | - |
1,5,8-Trihydroxy-3-methylxanthone
C14H10O4 (258.05282)
Yellow needles, mp 277–278 °C
UV λmax (MeOH) (log ε): 403 (3.54), 341 (4.01), 272 (4.58), 263 (4.40), 255 (4.47), 236 (4.32)
IR νmax (KBr): 3461, 1661, 1633, 1606, 1591, 1497 cm−1
Sources: Mycobiont of Pyrenula japonica and Pyrenula pseudobufonia [52].
| 1,5,8-Trihydroxy-3-methylxanthone (CDCl3) | ||
|---|---|---|
| Position | δC | δH (J in Hz) |
| 1 | 161.4 | - |
| 1–OH | - | 11.85 (s) (1H) a |
| 2 | 111.9 | 6.62 (m) (1H) |
| 3 | 150.6 | - |
| 3–CH3 | 22.7 | 2.45 (s) (3H) |
| 4 | 108.5 | 6.89 (m) (1H) |
| 4a | 156.9 | - |
| 5 | 137.8 | - |
| 6 | 124.6 | 7.24 (d, 9.0) (1H) |
| 7 | 110.0 | 6.64 (d, 9.0) (1H) |
| 8 | 153.6 | - |
| 8–OH | - | 11.27 (br s) (1H) a |
| 8a | 108.6 | - |
| 9 | 186.5 | - |
| 9a | 106.4 | - |
| 10a | 144.7 | - |
a Signals appearing in DMSO-d6 only.
1,8-Dihydroxy-5-methoxy-3-methylxanthone
C15H12O5 (272.06847)
Yellow needles, mp 214–215 °C
UV λmax (MeOH) (log ε): 393 (3.54), 340 (4.00), 272 (4.30), 254 (4.49), 235 (4.36)
IR νmax (KBr): 3445, 1661, 1631, 1609, 1585, 1489 cm−1
Sources: Mycobiont of Pyrenula japonica and Pyrenula pseudobufonia [52].
| 1,8-Dihydroxy-5-methoxy-3-methylxanthone (CDCl3) | ||
|---|---|---|
| Position | δC | δH (J in Hz) |
| 1 | 161.0 | - |
| 1–OH | - | 11.73 (s) (1H) a |
| 2 | 111.7 | 6.62 (br s) (1H) |
| 3 | 149.9 | - |
| 3–CH3 | 22.6 | 2.42 (s) (3H) |
| 4 | 108.0 | 6.84 (br s) (1H) |
| 4a | 156.0 | - |
| 5 | 140.0 | - |
| 5–OCH3 | 57.4 | 3.94 (s) (3H) |
| 6 | 120.8 | 7.23 (d, 9.0) (1H) |
| 7 | 109.1 | 6.70 (d, 9.0) (1H) |
| 8 | 154.2 | - |
| 8–OH | - | 11.33 (br s) (1H) a |
| 8a | 108.3 | - |
| 9 | 185.6 | - |
| 9a | 105.9 | - |
| 10a | 145.6 | - |
a Signals appearing in DMSO-d6 only.
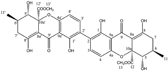
Hirtusneanoside
C40H46O17 (798.27350)
Faint yellow crystals, mp 231–232 °C
= −251 (c = 0.02 in MeOH)
UV λmax (MeOH)(log ε): 340 (3.24), 275 (4.01), 230 (4.52) nm
IR νmax (CHCl3): 3290, 1735, 1620, 1590, 870 cm−1
Sources: Usnea hirta [46].
| Hirtusneanoside (DMSO-d6) | ||
|---|---|---|
| Position | δC | δH (J in Hz) |
| 1 | 159.2 | - |
| –OH 1 | - | 11.5 (br s) (1H) |
| 2 | 116.7 | - |
| 3 | 149.6 | - |
| 4 | 109.2 | 6.66 (s) (1H) |
| 4a | 156.8 | |
| 5 | 68.8 | 4.02 (d, 9.5) (1H) |
| 6 | 31.3 | 2.05 (ddq, 10.3, 9.5, 6.7) (1H) |
| 7 | 36.7 | 2.36 (dq, 10.3, 6.4) (1H) |
| 8 | 177.8 | - |
| –OH 8 | - | 13.7 (br s) (1H) |
| 8a | 101.3 | - |
| 9 | 186.8 | - |
| 9a | 105.7 | - |
| 10a | 85.1 | - |
| 11 | 20.7 | 1.94 (s) (3H) |
| 12 | 171.3 | - |
| 12a | 54.3 | 3.73 (s) (3H) |
| 13 | 15.6 | 1.09 (d, 6.7) (3H) |
| 14 | 17.3 | 1.01 (d, 6.4) (3H) |
| 1′ | 159.6 | - |
| 1′–OH | - | 11.5 (br s) (1H) |
| 2′ | 118.1 | - |
| 3′ | 150.2 | - |
| 4′ | 109.3 | 6.69 (s) (1H) |
| 4a′ | 156.7 | - |
| 5′ | 68.9 | 4.07 (d, 1.3) (1H) |
| 6′ | 28.5 | 2.28 (dddq, 11.3, 6.7, 6.5, 1.3) (1H) |
| 7′ | 33.6 | 2.48 (dd, 19.2, 11.3) (1H) |
| 2.35 (dd, 19.2, 6.5) (1H) | ||
| 8′ | 177.6 | - |
| 8′–OH | - | 13.7 (br s) (1H) |
| 8a′ | 101.8 | - |
| 9′ | 186.6 | - |
| 9a′ | 106.3 | - |
| 10a′ | 84.4 | - |
| 11′ | 20.6 | 1.96 (s) (3H) |
| 12′ | 64.5 | 3.89 (d, 13.0) (1H) |
| 3.51 (d, 13.0) (1H) | ||
| 13′ | 17.7 | 1.04 (d, 6.7) (3H) |
| 1″ | 101.1 | 5.01 (d, 1.5) (1H) |
| 2″ | 72.2 | 3.89 (dd, 2.5, 1.5) (1H) |
| 3″ | 70.9 | 3.71 (dd, 9.5, 2.5) (1H) |
| 4″ | 74.5 | 4.32 (t, 9.5) (1H) |
| 5″ | 69.7 | 4.13 (dq, 9.5, 6.5) (1H) |
| 6″ | 18.6 | 1.31 (d, 6.5) (3H) |
Hirtusneanine
C34H36O13 (652.21559)
Pale yellow crystals, mp 251–253 °C
= −232 (c = 0.01 in MeOH)
UV λmax (MeOH)(log ε): 338 (3.97), 275 (4.04), 231 (4.43) nm
IR νmax (CHCl3): 3290, 1734, 1608, 1590, 870 cm−1
Sources: Usnea hirta [46].
| Hirtusneanine (DMSO-d6) | ||
|---|---|---|
| Position | δC | δH (J in Hz) |
| 1 | 159.2 | - |
| –OH 1 | - | 11.5 (br s) (1H) |
| 2 | 116.7 | - |
| 3 | 149.6 | - |
| 4 | 109.2 | 6.66 (s) (1H) |
| 4a | 156.8 | |
| 5 | 68.8 | 4.02 (d, 9.5) (1H) |
| 6 | 31.3 | 2.05 (ddq, 10.3, 9.5, 6.7) (1H) |
| 7 | 36.7 | 2.36 (dq, 10.3, 6.4) (1H) |
| 8 | 177.8 | - |
| –OH 8 | - | 13.7 (br s) (1H) |
| 8a | 101.3 | - |
| 9 | 186.8 | - |
| 9a | 105.7 | - |
| 10a | 85.1 | - |
| 11 | 20.7 | 1.94 (s) (3H) |
| 12 | 171.3 | - |
| 12a | 54.3 | 3.73 (s) (3H) |
| 13 | 15.6 | 1.09 (d, 6.7) (3H) |
| 14 | 17.3 | 1.01 (d, 6.4) (3H) |
| 1′ | 159.6 | - |
| 1′–OH | - | 11.5 (br s) (1H) |
| 2′ | 118.1 | - |
| 3′ | 150.2 | - |
| 4′ | 109.3 | 6.69 (s) (1H) |
| 4a′ | 156.7 | - |
| 5′ | 68.7 | 4.07 (d, 1.3) (1H) |
| 6′ | 28.5 | 2.28 (dddq, 11.3, 6.7, 6.5, 1.3) (1H) |
| 7′ | 33.6 | 2.48 (dd, 19.2, 11.3) (1H) |
| 2.35 (dd, 19.2, 6.5) (1H) | ||
| 8′ | 177.6 | - |
| 8′–OH | - | 13.7 (br s) (1H) |
| 8a′ | 102.1 | - |
| 9′ | 186.6 | - |
| 9a′ | 106.3 | - |
| 10a′ | 84.1 | - |
| 11′ | 20.6 | 1.96 (s) (3H) |
| 12′ | 68.7 | 4.14 (dd, 13.0, 7.0) (1H) |
| 3.75 (dd, 13.0, 4.7) (1H) | ||
| 12′–OH | 3.28 (m) (1H) | |
| 13′ | 17.7 | 1.04 (d, 6.7) (3H) |
Umbilicaxanthoside A
C25H28O11 (504.16316)
Yellow needles, mp 114 °C
= −35
UV λmax (MeOH) (log ε): 345 (3.90), 310 (4.15), 270 (4.05), 245 (4.50).
IR νmax (KBr): 3320, 2945, 2905, 1643 cm−1
Sources: Umbilicaria proboscidea [44].
| Umbilicaxanthoside A (CDCl3) | ||
|---|---|---|
| Position | δC | δH (J in Hz) |
| 1 | 150.9 | - |
| 1–OH | - | 13.25 (s) (1H) |
| 2 | 118.2 | - |
| 3 | 120.1 | 6.51 (s) (1H) |
| 4 | 142.6 | - |
| 4–OCH3 | 56.4 | 3.75 (s) (3H) |
| 4a | 140.9 | - |
| 5 | 146.4 | - |
| 6 | 104.8 | 6.39 (d, 2.1) (1H) |
| 7 | 153.0 | - |
| 8 | 108.1 | 6.73 (d, 2.1) (1H) |
| 8a | 128.9 | - |
| 9 | 179.8 | - |
| 9a | 116.1 | - |
| 10a | 136.5 | - |
| 1′ | 22.0 | 3.19 (d, 6.6) (2H) |
| 2′ | 123.5 | 5.92 (td, 6.6, 1.3) (1H) |
| 3′ | 131.3 | - |
| 4′ | 25.9 | 1.64 (s) (3H) |
| 5′ | 17.9 | 1.57 (s) (3H) |
| 1″ | 99.8 | 4.80 (d, 7.3) (1H) |
| 2″ | 74.7 | 3.52 (dd, 8.9, 7.3) (1H) |
| 3″ | 77.2 | 3.58 (t, 8.9) (1H) |
| 4″ | 71.4 | 3.41 (t, 8.9) (1H) |
| 5″ | 78.6 | 3.45 (m) (1H) |
| 6″ | 62.6 | 3.93 (dd, 11.8, 2.3) (1H) |
| 3.72 (dd, 12.1, 5.2) (1H) | ||
Umbilicaxanthone A
C19H18O6 (342.11034)
Sources: Umbilicaria proboscidea [44].
| Umbilicaxanthone A (CDCl3) | ||
|---|---|---|
| Position | δC | δH (J in Hz) |
| 1 | 150.9 | - |
| 1–OH | - | 13.25 (s) (1H) |
| 2 | 118.2 | - |
| 3 | 120.1 | 6.51 (s) (1H) |
| 4 | 142.6 | - |
| 4–OCH3 | 56.4 | 3.75 (s) (3H) |
| 4a | 140.9 | - |
| 5 | 146.4 | - |
| 6 | 102.1 | 6.15 (d, 2.1) (1H) |
| 7 | 156.9 | - |
| 8 | 106.3 | a |
| 8a | 128.9 | - |
| 9 | 179.8 | - |
| 9a | 116.1 | - |
| 10a | 136.5 | - |
| 1′ | 22.0 | 3.19 (d, 6.6) (2H) |
| 2′ | 123.5 | 5.92 (td, 6.6, 1.3) (1H) |
| 3′ | 131.3 | - |
| 4′ | 25.9 | 1.64 (s) (3H) |
| 5′ | 17.9 | 1.57 (s) (3H) |
Umbilicaxanthoside B
C36H46O16 (734.27859)
Pale yellow needles, mp 133 °C
UV λmax (MeOH) (log ε): 355 (4.06), 319 (4.01), 271 (3.96), 244 (4.08)
IR νmax (KBr): 3350, 2950, 2900, 1640 cm−1
Sources: Umbilicaria proboscidea [44].
| Umbilicaxanthoside B (CDCl3) | ||
|---|---|---|
| Position | δC | δH (J in Hz) |
| 1 | 151.0 | - |
| 1–OH | - | 13.30 (s) (1H) |
| 2 | 117.8 | - |
| 3 | 119.4 | 6.47 (s) (1H) |
| 4 | 143.2 | - |
| 4–OCH3 | 56.3 | 3.75 (s) (3H) |
| 4a | 141.3 | - |
| 5 | 147.1 | - |
| 6 | 103.7 | 6.23 (s) (1H) |
| 7 | 153.2 | - |
| 8 | 118.4 | - |
| 8a | 129.6 | - |
| 9 | 183.1 | - |
| 9a | 114.6 | - |
| 10a | 135.7 | - |
| 1′ | 25.4 | 3.38 (d, 7.2) (2H) |
| 2′ | 123.8 | 5.39 (td, 7.2, 1.2) (1H) |
| 3′ | 130.9 | - |
| 4′ | 26.2 | 1.65 (s) (3H) |
| 5′ | 18.4 | 1.79 (s) (3H) |
| 1″ | 26.1 | 4.19 (d, 6.8) (2H) |
| 2″ | 124.8 | 5.37 (td, 6.8, 1.5) (1H) |
| 3″ | 132.0 | - |
| 4″ | 25.9 | 1.67 (s) (3H) |
| 5″ | 18.0 | 1.84 (s) (3H) |
| 1‴ | 99.8 | 5.05 (d, 8.1) (1H) |
| 2‴ | 74.2 | 3.52 (dd, 8.9, 8.1) (1H) |
| 3‴ | 76.9 | 3.58 (t, 8.9) (1H) |
| 4‴ | 78.2 | 3.12 (dd, 9.3, 8.9) (1H) |
| 5‴ | 78.7 | 3.45 (m) (1H) |
| 6‴ | 62.6 | 3.93 (dd, 12.1, 2.3) (1H) |
| 3.72 (dd, 12.1, 5.2) (1H) | ||
| 1’’’’ | 104.1 | 5.15 (d, 8.0) (1H) |
| 2’’’’ | 73.8 | 3.52 (dd, 9.0, 8.0) (1H) |
| 3’’’’ | 76.5 | 3.58 (t, 9.0) (1H) |
| 4’’’’ | 69.7 | 3.41 (t, 9.0) (1H) |
| 5’’’’ | 76.9 | 3.45 (m) (1H) |
| 6’’’’ | 62.6 | 3.93 (dd, 12.1, 2.2) (1H) |
| 3.72 (dd, 12.1, 5.2) (1H) | ||
Umbilicaxanthone B
C24H26O6 (410.17294)
Sources: Umbilicaria proboscidea [44].
| Umbilicaxanthone B (CDCl3) | ||
|---|---|---|
| Position | δC | δH (J in Hz) |
| 1 | 151.0 | - |
| 1–OH | - | 13.30 (s) (1H) |
| 2 | 117.8 | - |
| 3 | 119.4 | 6.49 (s) (1H) |
| 4 | 143.2 | - |
| 4–OCH3 | 56.3 | 3.75 (s) (3H) |
| 4a | 141.3 | - |
| 5 | 146.2 | - |
| 6 | 102.4 | 6.27 (s) (1H) |
| 7 | 157.2 | - |
| 8 | 117.6 | - |
| 8a | 129.6 | - |
| 9 | 183.1 | - |
| 9a | 114.6 | - |
| 10a | 135.7 | - |
| 1′ | 25.4 | 3.38 (d, 7.2) (2H) |
| 2′ | 123.8 | 5.39 (td, 7.2, 1.2) (1H) |
| 3′ | 130.9 | - |
| 4′ | 26.2 | 1.65 (s) (3H) |
| 5′ | 18.4 | 1.79 (s) (3H) |
| 1″ | 26.1 | 4.19 (d, 6.8) (2H) |
| 2″ | 124.8 | 5.37 (td, 6.8, 1.5) (1H) |
| 3″ | 132.0 | - |
| 4″ | 25.9 | 1.67 (s) (3H) |
| 5″ | 18.0 | 1.84 (s) (3H) |
Linolenoylumbilicaxanthoside B
C54H74O17 (994.49260)
Pale yellow needles, mp 133 °C
UV λmax (MeOH) (log ε): 355 (4.06), 319 (4.01), 271 (3.96), 244 (4.08)
IR νmax (KBr): 3350, 2950, 2900, 1640 cm−1
Sources: Umbilicaria proboscidea [94].
| Linolenoylumbilicaxanthoside B (CDCl3) | ||
|---|---|---|
| Position | δC | δH (J in Hz) |
| 1 | 151.0 | - |
| 1–OH | - | 13.30 (s) (1H) |
| 2 | 117.8 | - |
| 3 | 119.4 | 6.47 (s) (1H) |
| 4 | 143.2 | - |
| 4–OCH3 | 56.3 | 3.75 (s) (3H) |
| 4a | 141.3 | - |
| 5 | 147.1 | - |
| 6 | 103.7 | 6.42 (s) (1H) |
| 7 | 153.2 | - |
| 8 | 118.4 | - |
| 8a | 129.6 | - |
| 9 | 183.1 | - |
| 9a | 114.6 | - |
| 10a | 135.7 | - |
| 1′ | 25.4 | 3.38 (d, 7.2) (2H) |
| 2′ | 123.8 | 5.39 (dd, 7.2, 1.2) (1H) |
| 3′ | 130.9 | - |
| 4′ | 26.2 | 1.65 (s) (3H) |
| 5′ | 18.4 | 1.79 (s) (3H) |
| 1″ | 26.1 | 4.19 (d, 6.8) (2H) |
| 2″ | 124.8 | 5.37 (dd, 6.8, 1.5) (1H) |
| 3″ | 132.0 | - |
| 4″ | 25.9 | 1.67 (s) (3H) |
| 5″ | 18.0 | 1.84 (s) (3H) |
| 1‴ | 99.8 | 5.05 (d, 8.1) (1H) |
| 2‴ | 74.2 | 3.50 (dd, 8.9, 8.1) (1H) |
| 3‴ | 77.1 | 3.58 (t, 8.9) (1H) |
| 4‴ | 76.7 | 3.05 (dd, 9.3, 8.9) (1H) |
| 5‴ | 76.1 | 3.54 (m) (1H) |
| 6‴ | 65.3 | 4.51 (dd, 12.1, 2.3) (1H) |
| 4.03 (dd, 12.1, 5.2) (1H) | ||
| 1’’’’ | 104.1 | 5.15 (d, 8.0) (1H) |
| 2’’’’ | 73.8 | 3.52 (dd, 9.0, 8.0) (1H) |
| 3’’’’ | 76.5 | 3.61 (t, 9.0) (1H) |
| 4’’’’ | 69.7 | 3.41 (t, 9.0) (1H) |
| 5’’’’ | 76.9 | 3.45 (m) (1H) |
| 6’’’’ | 62.6 | 3.93 (dd, 12.1, 2.2) (1H) |
| 3.72 (dd, 12.1, 5.2) (1H) | ||
| 1’’’’’ | 172.0 | - |
| 2’’’’’ | 34.6 | 2.25 (m) (2H) |
| 3’’’’’ | 25.0 | 1.68 (m) (2H) |
| 4’’’’' | 29.2 | 1.29 (m) (6H) |
| 5’’’’’ | 29.3 | 1.29 (m) (6H) |
| 6’’’’’ | 29.1 | 1.29 (m) (6H) |
| 7’’’’’ | 30.3 | 1.33 (m) (2H) |
| 8’’’’’ | 27.3 | 1.96 (m) (2H) |
| 9’’’’’ | 131.8 | 5.37 (m) (1H) |
| 10’’’’’ | 131.7 | 5.42 (m) (1H) |
| 11’’’’’ | 25.7 | 2.68 (m) (2H) |
| 12’’’’’ | 128.3 | 5.35 (m) (2H) |
| 13’’’’’ | 128.4 | 5.35 (m) (2H) |
| 14’’’’’ | 25.6 | 2.73 (m) (2H) |
| 15’’’’’ | 127.1 | 5.43 (m) (1H) |
| 16’’’’’ | 131.9 | 5.36 (m) (1H) |
| 17’’’’’ | 20.6 | 1.93 (m) (2H) |
| 18’’’’’ | 14.2 | 1.06 (t, 6.8) (3H) |
Secalonic acid A
C32H30O14 (638.16356)
Faint yellow crystals, mp 231–232 °C
= −64.1 (c = 0.1 in CHCl3)
UV λmax (MeOH)(log ε): 338 (4.52), 260 (4.12), 228 (4.32) nm
IR νmax (CHCl3): 3464, 1726, 1610, 1585, 1566, 1436, 1233, 1067 cm−1
Sources: Diploicia canescens [117].
Spectral data: [129].
Enantiomeric secalonic acid D: similar physicochemical data except = + 64.1 (c = 0.14 in CHCl3)
| Secalonic Acid A (CDCl3) | ||
|---|---|---|
| Position | δC | δH (J in Hz) |
| 1, 1′ | 159.4 | - |
| –OH 1,1′ | - | 11.75 (s) (2H) |
| 2, 2′ | 118.2 | - |
| 3, 3′ | 140.2 | 7.46 (d, 8.5) (2H) |
| 4, 4′ | 107.6 | 6.63 (d, 8.5) (2H) |
| 4a, 4a′ | 158.3 | - |
| 5, 5′ | 76.9 | 3.93 (dd, 11.3, 1.6) (2H) |
| –OH 5,5′ | - | 2.81 (d, 2.2) (2H) |
| 6, 6′ | 29.2 | 2.41 (m) (2H) |
| 7, 7′ | 36.3 | 2.74 (dd, 19.0, 6.1) (2H) |
| 2.32 (dd, 19.0, 11.5) (2H) | ||
| 8, 8′ | 177.5 | - |
| –OH 8,8′ | - | 13.78 (s) (2H) |
| 8a, 8a′ | 101.5 | - |
| 9, 9′ | 187.2 | - |
| 9a, 9a′ | 106.9 | - |
| 10a, 10a′ | 84.7 | - |
| 11, 11′ | 18.0 | 1.17 (d, 6.4) (6H) |
| 12, 12′ | 170.3 | - |
| 13, 13′ | 53.3 | 3.73 (s) (6H) |
Secalonic acid B
C32H30O14 (638.16356)
Faint yellow crystals, mp 231–232 °C
= + 133.7 (c = 0.38 in CHCl3)
UV λmax (MeOH)(log Ɛ): 338 (4.52), 260 (4.12), 228 (4.32) nm
IR νmax (CHCl3): 3582, 3014, 1747, 1611, 1589, 1214, 1058, 796, 726 cm−1
Sources: Diploicia canescens [117].
Spectral data: [47]
| Secalonic acid B (CDCl3) | ||
|---|---|---|
| Position | δC | δH (J in Hz) |
| 1, 1′ | 159.4 | - |
| –OH 1,1′ | - | 11.85 (s) (2H) |
| 2, 2′ | 118.7 | - |
| 3, 3′ | 139.7 | 7.42 (d, 8.5) (2H) |
| 4, 4′ | 107.5 | 6.57 (d, 8.5) (2H) |
| 4a, 4a′ | 157.2 | - |
| 5, 5′ | 71.4 | 4.12 (d, 1.4) (2H) |
| –OH 5,5′ | - | 2.57 (s) (2H) |
| 6, 6′ | 28.5 | 2.12 (m) (2H) |
| 7, 7′ | 32.6 | 7, 7′ α 2.52 (dd, 19.0, 11.5) (2H) |
| 7, 7′ β 2.41 (dd, 19.0, 6.1) (2H) | ||
| 8, 8′ | 179.8 | - |
| –OH 8,8′ | - | 13.96 (s) (2H) |
| 8a, 8a′ | 99.9 | - |
| 9, 9′ | 187.7 | - |
| 9a, 9a′ | 107.0 | - |
| 10a, 10a′ | 84.8 | - |
| 11, 11′ | 17.5 | 1.18 (d, 6.8) (6H) |
| 12, 12′ | 171.2 | - |
| 13, 13′ | 53.4 | 3.72 (s) (6H) |
7. Conclusions
Even though lichens offer the widest diversity of compounds in the fungal realm, the bioactivities of their secondary metabolites remain under-investigated in regards to any other fungi [130], especially xanthones, despite being widely considered as a promising class of compounds exerting pleiotropic pharmacological activities. Xanthones might have originally suffered from their ubiquitous distribution compared to metabolites restricted to the lichenized condition (e.g., depsides, depsidones, depsones…). However, as end products of a distinct biosynthetic pathway to that of higher plants, lichen xanthones display unique substitution patterns which enrich the diversity of xanthones rather than produce cross-phyletic structures. Furthermore, recently discovered lichen xanthones extend their diversity through unexpected structural features (e.g., prenylations, glycosylations, unprecedented substitution patterns…) and, as a consequence, less than 10% are known from non-lichen sources. In addition, their structural elucidation may be misleading for the spectroscopists, with the presence of multiple possible isomers. Innovative analytical approaches both alleviate and shorten the dereplication holdup while recent advances in spectroscopy ensure reliable structural assignments. Analytical aspects no longer hamper the study of these valuable metabolites.
Acknowledgments
The authors are grateful to David Rondeau for DART-HRMS analyses that used the mass spectrometry facilities of the DReAM platform of IETR. The authors are also indebted to Stéphane La Barre for improving the English style of this manuscript.
Author Contributions
P.L.P. performed DART experiments, P.L.P. and J.B. contributed to the writing of the paper.
Conflicts of Interest
The authors declare no conflict of interest.
References
- Masters, K.-S.; Bräse, S. Xanthones from fungi, lichens, and bacteria: The natural products and their synthesis. Chem. Rev. 2012, 112, 3717–3776. [Google Scholar] [CrossRef] [PubMed]
- Lesch, B.; Bräse, S. A Short, Atom-Economical Entry to Tetrahydroxanthenones. Angew. Chem. Int. Ed. 2004, 43, 115–118. [Google Scholar] [CrossRef] [PubMed]
- Vieira, L.M.M.; Kijjoa, A. Naturally-occurring xanthones: Recent developments. Curr. Med. Chem. 2005, 12, 2413–2446. [Google Scholar] [CrossRef] [PubMed]
- El-Seedi, H.; El-Barbary, M.; El-Ghorab, D.; Bohlin, L.; Borg-Karlson, A.-K.; Goransson, U.; Verpoorte, R. Recent insights into the biosynthesis and biological activities of natural xanthones. Curr. Med. Chem. 2010, 17, 854–901. [Google Scholar] [CrossRef] [PubMed]
- Huneck, S.; Yoshimura, I. Identification of Lichen Substances; Springer: Berlin, Germany, 1996. [Google Scholar]
- Elix, J.A.; Stocker-Worgotter, E. Biochemistry and secondary metabolites. In Lichen Biology; Cambridge University Press: Cambridge, UK, 2008; pp. 104–133. [Google Scholar]
- Cacho, R.A.; Chooi, Y.-H.; Zhou, H.; Tang, Y. Complexity generation in fungal polyketide biosynthesis: A spirocycle-forming P450 in the concise pathway to the antifungal drug griseofulvin. ACS Chem. Biol. 2013, 8, 2322–2330. [Google Scholar] [CrossRef] [PubMed]
- Schätzle, M.A.; Husain, S.M.; Ferlaino, S.; Müller, M. Tautomers of anthrahydroquinones: Enzymatic reduction and implications for chrysophanol, monodictyphenone, and related xanthone biosyntheses. J. Am. Chem. Soc. 2012, 134, 14742–14745. [Google Scholar] [CrossRef] [PubMed]
- Anderson, J.A.; Lin, B.K.; Williams, H.J.; Scott, A.I. Deoxygenation of phenolic natural products. Enzymic conversion of emodin to chrysophanol. J. Am. Chem. Soc. 1988, 110, 1623–1624. [Google Scholar] [CrossRef]
- Anderson, J.A.; Lin, B.-K.; Shan, S.W. Purification and properties of emodin deoxygenase from Pyrenochaeta terrestris. Phytochemistry 1990, 29, 2415–2418. [Google Scholar] [CrossRef]
- Franck, B.; Bringmann, G.; Flohr, G. Sequence analysis of ergochrome-biosynthesis by competitive incorporation. Angew. Chem. Int. Ed. 1980, 19, 460–461. [Google Scholar] [CrossRef]
- Henry, K.M.; Townsend, C.A. Ordering the reductive and cytochrome P450 oxidative steps in demethylsterigmatocystin formation yields general insights into the biosynthesis of aflatoxin and related fungal metabolites. J. Am. Chem. Soc. 2005, 127, 3724–3733. [Google Scholar] [CrossRef] [PubMed]
- Okorie, D.A. A new phthalide and xanthones from Anthocleista djalonensis and Anthocleista vogelli. Phytochemistry 1976, 15, 1799–1800. [Google Scholar] [CrossRef]
- Suárez, A.I.; Blanco, Z.; Compagnone, R.S.; Salazar-Bookaman, M.M.; Zapata, V.; Alvarado, C. Anti-inflammatory activity of Croton cuneatus aqueous extract. J. Ethnopharmacol. 2006, 105, 99–101. [Google Scholar] [CrossRef] [PubMed]
- Gachet, M.S.; Kunert, O.; Kaiser, M.; Brun, R.; Zehl, M.; Keller, W.; Munoz, R.A.; Bauer, R.; Schuehly, W. Antiparasitic compounds from Cupania cinerea with activities against Plasmodium falciparum and Trypanosoma brucei rhodesiense. J. Nat. Prod. 2011, 74, 559–566. [Google Scholar] [CrossRef] [PubMed]
- Sriyatep, T.; Chakthong, S.; Leejae, S.; Voravuthikunchai, S.P. Two lignans, one alkaloid, and flavanone from the twigs of Feroniella lucida. Tetrahedron 2014, 70, 1773–1779. [Google Scholar] [CrossRef]
- El-Seedi, H.R.; Hazell, A.C.; Torssell, K.B. Triterpenes, lichexanthone and an acetylenic acid from Minquartia guianensis. Phytochemistry 1994, 35, 1297–1299. [Google Scholar] [CrossRef]
- Jiménez, C.; Marcos, M.; Villaverde, M.C.; Riguera, R.; Castedo, L.; Stermitz, F. A chromone from Zanthoxylum species. Phytochemistry 1989, 28, 1992–1993. [Google Scholar] [CrossRef]
- Hu, L.-H.; Yip, S.-C.; Sim, K.-Y. Xanthones from Hypericum ascyron. Phytochemistry 1999, 52, 1371–1373. [Google Scholar] [CrossRef]
- Frisvad, J.C.; Smedsgaard, J.; Larsen, T.O.; Samson, R.A. Mycotoxins, drugs and other extrolites produced by species in Penicillium subgenus Penicillium. Stud. Mycol. 2004, 49, 201–241. [Google Scholar]
- Broadbent, D.; Mabelis, R.P.; Spencer, H. 3,6,8-Trihydroxy-1-methylxanthone—An antibacterial metabolite from Penicillium patulum. Phytochemistry 1975, 14, 2082–2083. [Google Scholar] [CrossRef]
- Wang, Q.-X.; Bao, L.; Yang, X.-L.; Guo, H.; Yang, R.-N.; Ren, B.; Zhang, L.-X.; Dai, H.-Q.; Guo, L.-D.; Liu, H.-W. Polyketides with antimicrobial activity from the solid culture of an endolichenic fungus Ulocladium sp. Fitoterapia 2012, 83, 209–214. [Google Scholar] [CrossRef] [PubMed]
- McMaster, W.J.; Scott, A.I.; Trippett, S. 894. Metabolic products of Penicillium patulum. J. Chem. Soc. 1960, 4628–4631. [Google Scholar] [CrossRef]
- Wezeman, T.; Bräse, S.; Masters, K.-S. Xanthone dimers: A compound family which is both common and privileged. Nat. Prod. Rep. 2015, 32, 6–28. [Google Scholar] [CrossRef] [PubMed]
- Nagem, T.J.; Oliveira, F.F. Xanthones and other constituents of Vismia parviflora. J. Braz. Chem. Soc. 1997, 8, 505–508. [Google Scholar] [CrossRef]
- Kato, L.; de Oliveira, C.M.A.; Vencato, I.; Lauriucci, C. Crystal structure of 1,7-dihydroxyxanthone from Weddellina squamulosa Tul. J. Chem. Crystallogr. 2005, 35, 23–26. [Google Scholar] [CrossRef]
- Huang, Z.; Yang, J.; Cai, X.; She, Z.; Lin, Y. A new furanocoumarin from the mangrove endophytic fungus Penicillium sp. (ZH16). Nat. Prod. Res. 2012, 26, 1291–1295. [Google Scholar] [CrossRef] [PubMed]
- Sob, S.V.T.; Wabo, H.K.; Tchinda, A.T.; Tane, P.; Ngadjui, B.T.; Ye, Y. Anthraquinones, sterols, triterpenoids and xanthones from Cassia obtusifolia. Biochem. Syst. Ecol. 2010, 38, 342–345. [Google Scholar] [CrossRef]
- Kornsakulkarn, J.; Saepua, S.; Komwijit, S.; Rachtawee, P.; Thongpanchang, C. Bioactive polyketides from the fungus Astrocystis sp. BCC 22166. Tetrahedron 2014, 70, 2129–2133. [Google Scholar] [CrossRef]
- Ginde, B.S.; Hosangadi, B.D.; Kudav, N.A.; Nayak, K.V.; Kulkarni, A.B. Chemical investigation on Cassia occidentalis Linn. Part I. Isolation and structure of cassiollin, a new xanthone. J. Chem. Soc. C Org. 1970, 1285–1289. [Google Scholar] [CrossRef]
- Yang, H.-Y.; Gao, Y.-H.; Niu, D.-Y.; Yang, L.-Y.; Gao, X.-M.; Du, G.; Hu, Q.-F. Xanthone derivatives from the fermentation products of an endophytic fungus Phomopsis sp. Fitoterapia 2013, 91, 189–193. [Google Scholar] [CrossRef] [PubMed]
- Yamakazi, M.; Okuyama, E. Isolation and structures of oxaphenalenones dimers from Talaromyces bacillosporus. Chem. Pharm. Bull. Tokyo 1980, 28, 3649–3655. [Google Scholar]
- Yao, Q.; Wang, J.; Zhang, X.; Nong, X.; Xu, X.; Qi, S. Cytotoxic polyketides from the deep-sea-derived fungus Engyodontium album DFFSCS021. Mar. Drugs 2014, 12, 5902–5915. [Google Scholar] [CrossRef] [PubMed]
- Hay, A.-E.; Aumond, M.-C.; Mallet, S.; Dumontet, V.; Litaudon, M.; Rondeau, D.; Richomme, P. Antioxidant xanthones from Garcinia vieillardii. J. Nat. Prod. 2004, 67, 707–709. [Google Scholar] [CrossRef] [PubMed]
- Baguley, B.C. Antivascular therapy of cancer: DMXAA. Lancet Oncol. 2003, 4, 141–148. [Google Scholar] [CrossRef]
- Xiao, Z.; Morris-Natschke, S.L.; Lee, K.-H. Strategies for the optimization of natural leads to anticancer drugs or drug candidates. Med. Res. Rev. 2016, 36, 32–91. [Google Scholar] [CrossRef] [PubMed]
- Gutierrez-Orozco, F.; Failla, M.L. Biological activities and bioavailability of mangosteen xanthones: A critical review of the current evidence. Nutrients 2013, 5, 3163–3183. [Google Scholar] [CrossRef] [PubMed]
- Shan, T.; Ma, Q.; Guo, K.; Liu, J.; Li, W.; Wang, F.; Wu, E. Xanthones from mangosteen extracts as natural chemopreventive agents: Potential anticancer drugs. Curr. Mol. Med. 2011, 11, 666–677. [Google Scholar] [CrossRef] [PubMed]
- Elix, J.A.; Crook, C.E. The joint occurrence of chloroxanthones in lichens, and a further thirteen new lichen xanthones. Bryologist 1992, 95, 52–64. [Google Scholar] [CrossRef]
- Papong, K.; Boonpragob, K.; Lumbsch, H.T. A new species and new records of Lecanora (Lecanoraceae, Ascomycota) from south-east Asia. Lichenologist 2011, 43, 47–50. [Google Scholar] [CrossRef]
- Obolskiy, D.; Pischel, I.; Siriwatanametanon, N.; Heinrich, M. Garcinia mangostana L.: A phytochemical and pharmacological review. Phytother. Res. 2009, 23, 1047–1065. [Google Scholar] [CrossRef] [PubMed]
- Botta, B.; Vitali, A.; Menendez, P.; Misiti, D.; Monache, G.D. Prenylated flavonoids: Pharmacology and biotechnology. Curr. Med. Chem. 2005, 12, 713–739. [Google Scholar] [CrossRef]
- Ishida, M.; Hamasaki, T.; Hatsuda, Y. The structure of two new metabolites, emerin and emericellin, from Aspergillus nidulans. Agric. Biol. Chem. 1975, 39, 2181–2184. [Google Scholar] [CrossRef]
- Řezanka, T.; Jáchymová, J.; Dembitsky, V.M. Prenylated xanthone glucosides from Ural’s lichen Umbilicaria proboscidea. Phytochemistry 2003, 62, 607–612. [Google Scholar] [CrossRef]
- Sanchez, J.F.; Entwistle, R.; Hung, J.-H.; Yaegashi, J.; Jain, S.; Chiang, Y.-M.; Wang, C.C.C.; Oakley, B.R. Genome-based deletion analysis reveals the prenyl xanthone biosynthesis pathway in Aspergillus nidulans. J. Am. Chem. Soc. 2011, 133, 4010–4017. [Google Scholar] [CrossRef] [PubMed]
- Řezanka, T.; Sigler, K. Hirtusneanoside, an unsymmetrical dimeric tetrahydroxanthone from the lichen Usnea hirta. J. Nat. Prod. 2007, 70, 1487–1491. [Google Scholar] [CrossRef] [PubMed]
- Zhang, W.; Krohn, K.; Zia-Ullah; Flörke, U.; Pescitelli, G.; Di Bari, L.; Antus, S.; Kurtán, T.; Rheinheimer, J.; Draeger, S.; Schulz, B. New mono- and dimeric members of the secalonic acid family: Blennolides A–G isolated from the fungus Blennoria sp. Chemistry 2008, 14, 4913–4923. [Google Scholar] [CrossRef] [PubMed]
- Leuckert, C.; Ahmadjian, V.; Culberson, C.F.; Johnson, A. Xanthones and depsidones of the lichen Lecanora dispersa in nature and of its mycobiont in culture. Mycologia 1990, 82, 370–378. [Google Scholar] [CrossRef]
- Brunauer, G.; Hager, A.; Krautgartner, W.D.; Tuerk, R.; Stocker-Wörgötter, E. Experimental studies on Lecanora rupicola (L.) Zahlbr.: Chemical and microscopical investigations of the mycobiont and re-synthesis stages. Lichenologist 2006, 38, 577–585. [Google Scholar] [CrossRef]
- Molina, M.C.; Crespo, A.; Vicente, C.; Elix, J.A. Differences in the composition of phenolics and fatty acids of cultured mycobiont and thallus of Physconia distorta. Plant Physiol. Biochem. 2003, 41, 175–180. [Google Scholar] [CrossRef]
- Tanahashi, T.; Takenaka, Y.; Ikuta, Y.; Tani, K.; Nagakura, N.; Hamada, N. Xanthones from the cultured lichen mycobionts of Pyrenula japonica and Pyrenula pseudobufonia. Phytochemistry 1999, 52, 401–405. [Google Scholar] [CrossRef]
- Takenaka, Y.; Tanahashi, T.; Nagakura, N.; Hamada, N. Production of xanthones with free radical scavenging properties, emodin and sclerotiorin by the cultured lichen mycobionts of Pyrenula japonica. Z. Naturforsch. C 2000, 55, 910–914. [Google Scholar] [CrossRef] [PubMed]
- Maymo-Gatell, X.; Chien, Y.; Gossett, J.M.; Zinder, S.H. Isolation of a bacterium that reductively dechlorinates tetrachloroethene to ethene. Science 1997, 276, 1568–1571. [Google Scholar] [CrossRef] [PubMed]
- Bedard, D.L.; Ritalahti, K.M.; Löffler, F.E. The Dehalococcoides population in sediment-free mixed cultures metabolically dechlorinates the commercial polychlorinated biphenyl mixture Aroclor 1260. Appl. Environ. Microbiol. 2007, 73, 2513–2521. [Google Scholar] [CrossRef] [PubMed]
- Löffler, F.E.; Yan, J.; Ritalahti, K.M.; Adrian, L.; Edwards, E.A.; Konstantinidis, K.T.; Müller, J.A.; Fullerton, H.; Zinder, S.H.; Spormann, A.M. Dehalococcoides mccartyi gen. nov., sp. nov., obligately organohalide-respiring anaerobic bacteria relevant to halogen cycling and bioremediation, belong to a novel bacterial class, Dehalococcoidia classis nov., order Dehalococcoidales ord. nov. and family Dehalococcoidaceae fam. nov., within the phylum Chloroflexi. Int. J. Syst. Evol. Microbiol. 2013, 63, 625–635. [Google Scholar] [PubMed]
- Krzmarzick, M.J.; Crary, B.B.; Harding, J.J.; Oyerinde, O.O.; Leri, A.C.; Myneni, S.C.; Novak, P.J. Natural niche for organohalide-respiring Chloroflexi. Appl. Environ. Microbiol. 2012, 78, 393–401. [Google Scholar] [CrossRef] [PubMed]
- Krzmarzick, M.J.; McNamara, P.J.; Crary, B.B.; Novak, P.J. Abundance and diversity of organohalide-respiring bacteria in lake sediments across a geographical sulfur gradient. FEMS Microbiol. Ecol. 2013, 84, 248–258. [Google Scholar] [CrossRef] [PubMed]
- McNamara, P.J.; Krzmarzick, M.J. Triclosan enriches for Dehalococcoides-like Chloroflexi in anaerobic soil at environmentally relevant concentrations. FEMS Microbiol. Lett. 2013, 344, 48–52. [Google Scholar] [CrossRef] [PubMed]
- Krzmarzick, M.J.; Miller, H.R.; Yan, T.; Novak, P.J. Novel Firmicutes group implicated in the dechlorination of two chlorinated xanthones, analogues of natural organochlorines. Appl. Environ. Microbiol. 2014, 80, 1210–1218. [Google Scholar] [CrossRef] [PubMed]
- Bates, S.T.; Cropsey, G.W.G.; Caporaso, J.G.; Knight, R.; Fierer, N. Bacterial communities associated with the lichen symbiosis. Appl. Environ. Microbiol. 2011, 77, 1309–1314. [Google Scholar] [CrossRef] [PubMed]
- Gonzalez, I.; Ayuso-Sacido, A.; Anderson, A.; Genilloud, O. Actinomycetes isolated from lichens: Evaluation of their diversity and detection of biosynthetic gene sequences. FEMS Microbiol. Ecol. 2005, 54, 401–415. [Google Scholar] [CrossRef] [PubMed]
- Grube, M.; Cardinale, M.; de Castro, J.V.; Müller, H.; Berg, G. Species-specific structural and functional diversity of bacterial communities in lichen symbioses. ISME J. 2009, 3, 1105–1115. [Google Scholar] [CrossRef] [PubMed]
- Krumins, V.; Park, J.-W.; Son, E.-K.; Rodenburg, L.A.; Kerkhof, L.J.; Häggblom, M.M.; Fennell, D.E. PCB dechlorination enhancement in Anacostia River sediment microcosms. Water Res. 2009, 43, 4549–4558. [Google Scholar] [CrossRef] [PubMed]
- Lumbsch, H.T.; Feige, G.B.; Elix, J.A. The joint occurrence of chloroxanthones in Southern Hemisphere Lecanora species (Ascomycotina; Lecanoraceae). Bot. Acta 1994, 107, 30–35. [Google Scholar] [CrossRef]
- Feige, G.B.; Lumbsch, H.T.; Huneck, S.; Elix, J.A. Identification of lichen substances by a standardized high-performance liquid chromatographic method. J. Chromatogr. A 1993, 646, 417–427. [Google Scholar] [CrossRef]
- Culberson, C.F.; Kristinsson, H.-D. A standardized method for the identification of lichen products. J. Chromatogr. A 1970, 46, 85–93. [Google Scholar] [CrossRef]
- Culberson, C.F.; Culberson, W.L.; Johnson, A. A standardized TLC analysis of β-orcinol depsidones. Bryologist 1981, 84, 16–29. [Google Scholar] [CrossRef]
- Arup, U.; Ekman, S.; Lindblom, L.; Mattsson, J.-E. High performance thin layer chromatography (HPTLC), an improved technique for screening lichen substances. Lichenologist 1993, 25, 61–71. [Google Scholar] [CrossRef]
- Leuckert, C.; Knoph, J.-G. European taxa of saxicolous Lecidella containing chloroxanthones: Identification of patterns using thin layer chromatography. Lichenologist 1992, 24, 383–397. [Google Scholar]
- Yoshimura, I.; Kinoshita, Y.; Yamamoto, Y.; Huneck, S.; Yamada, Y. Analysis of secondary metabolites from lichen by high performance liquid chromatography with a photodiode array detector. Phytochem. Anal. 1994, 5, 197–205. [Google Scholar] [CrossRef]
- Santesson, J. Identification and isolation of lichen substances. In The Lichens; Academic Press: New York, NY, USA; London, UK, 1973; pp. 633–652. [Google Scholar]
- Boluda, C.G.; Rico, V.J.; Hawksworth, D.L. Fluorescence microscopy as a tool for the visualization of lichen substances within Bryoria thalli. Lichenologist 2014, 46, 723–726. [Google Scholar] [CrossRef]
- Kauppi, M.; Verseghy-Patay, K. Determination of the distribution of lichen substances in the thallus by fluorescence microscopy. Ann. Bot. Fenn. 1990, 27, 189–202. [Google Scholar]
- Sundholm, E.G. Total synthesis of lichen xanthones. Revision of structures. Tetrahedron 1978, 34, 577–586. [Google Scholar] [CrossRef]
- Elix, J.A.; Crook, C.E.; Hui, J.; Zhu, Z.N. Synthesis of New Lichen Xanthones. Aust. J. Chem. 1992, 45, 845–855. [Google Scholar] [CrossRef]
- Elix, J.A.; Musidlak, H.W.; Sala, T.; Sargent, M.V. Structure and synthesis of some lichen xanthones. Aust. J. Chem. 1978, 31, 145–155. [Google Scholar] [CrossRef]
- Le Pogam, P.; Herbette, G.; Boustie, J. Analysis of Lichen Metabolites, a Variety of Approaches. In Recent Advances in Lichenology; Springer: New Delhi, India, 2015; pp. 229–261. [Google Scholar]
- Nielsen, K.F.; Smedsgaard, J. Fungal metabolite screening: Database of 474 mycotoxins and fungal metabolites for dereplication by standardised liquid chromatography-UV-mass spectrometry methodology. J. Chromatogr. A 2003, 1002, 111–136. [Google Scholar] [CrossRef]
- Le Pogam, P.; Schinkovitz, A.; Legouin, B.; le Lamer, A.-C.; Boustie, J.; Richomme, P. Matrix-free UV-laser desorption ionization mass spectrometry as a versatile approach for accelerating dereplication studies on lichens. Anal. Chem. 2015, 87, 10421–10428. [Google Scholar] [CrossRef] [PubMed]
- Le Pogam, P.; Legouin, B.; le Lamer, A.-C.; Boustie, J.; Rondeau, D. Analysis of the cyanolichen Lichina pygmaea metabolites using in situ DART-MS: From detection to thermochemistry of mycosporine serinol. J. Mass Spectrom. 2015, 50, 454–462. [Google Scholar] [CrossRef] [PubMed]
- Sica, V.P.; Raja, H.A.; El-Elimat, T.; Kertesz, V.; Van Berkel, G.J.; Pearce, C.J.; Oberlies, N.H. Dereplicating and spatial mapping of secondary metabolites from fungal cultures in situ. J. Nat. Prod. 2015, 78, 1926–1936. [Google Scholar] [CrossRef] [PubMed]
- Molinski, T.F. NMR of natural products at the “nanomole-scale”. Nat. Prod. Rep. 2010, 27, 321–329. [Google Scholar] [CrossRef] [PubMed]
- Wolfender, J.-L.; Marti, G.; Thomas, A.; Bertrand, S. Current approaches and challenges for the metabolite profiling of complex natural extracts. J. Chromatogr. A 2015, 1382, 136–164. [Google Scholar] [CrossRef] [PubMed]
- Boustie, J.; Grube, M. Lichens—A promising source of bioactive secondary metabolites. Plant Genet. Resour. Charact. Util. 2005, 3, 273–287. [Google Scholar] [CrossRef]
- Mietzsch, E.; Lumbsch, H.T.; Elix, J.A. WINTABOLITES (Mactabolites for Windows) Users Manual; University Essen: Essen, Germany, 1992. [Google Scholar]
- Elix, J.A; Kalb, K.; Rupprecht, J.; Schobert, R. Available online: http://liaslight.lias.net/identification/Navikey/Metabolites/index.html (accessed on 22 January 2016).
- Rambold, G.; Elix, J.A.; Heindl-Tenhunen, B.; Köhler, T.; Nash, T.H.; Neubacher, D.; Reichert, W.; Zedda, L.; Triebel, D. LIAS light—Towards the ten thousand species milestone. MycoKeys 2014, 8, 11–16. [Google Scholar] [CrossRef]
- Brodo, I.M. The lichens and lichenicolous fungi of Haida Gwaii (Queen Charlotte Islands), British Columbia, Canada. 5. A new species of Lecanora from shoreline rocks. Botany 2010, 88, 352–358. [Google Scholar] [CrossRef]
- Perez-Vargas, I.; Hernandez-Padron, C.; Etayo, J.; Pérez de Paz, P.L.; Elix, J.A. New species of Pertusaria (lichenized Ascomycota: Pertusariaceae) from the Canary Islands. Lichenologist 2010, 42, 35–41. [Google Scholar] [CrossRef]
- Elix, J.; Øvstedal, D.O. Lichen phytochemistry II: Some species of Calopadia. Australas. Lichenol. 2009, 65, 7–9. [Google Scholar]
- Elix, J.A. Five new species of Phyllopsora (lichenized Ascomycota) from Australia. Australas. Lichenol. 2006, 59, 23–29. [Google Scholar]
- Sérusiaux, E.; Lücking, R.; Lumbsch, T. Sporopodium isidiatum (Pilocarpaceae), new from Papua New Guinea and Sri Lanka, with a key to the world’s Sporopodium species. Mycotaxon 2008, 103, 255–262. [Google Scholar]
- Frank, M.; Niemann, H.; Böhler, P.; Stork, B.; Wesselborg, S.; Lin, W.; Proksch, P. Phomoxanthone A—From mangrove forests to anticancer therapy. Curr. Med. Chem. 2015, 22, 3523–3532. [Google Scholar] [CrossRef] [PubMed]
- Řezanka, T.; Dembitsky, V.M. Identification of acylated xanthone glycosides by liquid chromatography-atmospheric pressure chemical ionization mass spectrometry in positive and negative modes from the lichen Umbilicaria proboscidea. J. Chromatogr. A 2003, 995, 109–118. [Google Scholar] [CrossRef]
- Honda, N.K.; Pavan, F.R.; Coelho, R.G.; de Andrade Leite, S.R.; Micheletti, A.C.; Lopes, T.I.B.; Misutsu, M.Y.; Beatriz, A.; Brum, R.L.; Leite, C.Q.F. Antimycobacterial activity of lichen substances. Phytomedicine 2010, 17, 328–332. [Google Scholar] [CrossRef] [PubMed]
- Ingólfsdóttir, K.; Chung, G.A.; Skúlason, V.G.; Gissurarson, S.R.; Vilhelmsdóttir, M. Antimycobacterial activity of lichen metabolites in vitro. Eur. J. Pharm. Sci. 1998, 6, 141–144. [Google Scholar] [CrossRef]
- Micheletti, A.C.; Honda, N.K.; Pavan, F.R.; Leite, C.Q.; Matos Mde, F.; Perdomo, R.T.; Bogo, D.; Alcantara, G.B.; Beatriz, A. Increment of antimycobaterial activity on lichexanthone derivatives. Med. Chem. 2013, 9, 904–910. [Google Scholar] [CrossRef] [PubMed]
- Kathirgamanathar, S.; Ratnasooriya, W.D.; Baekstrom, P.; Andersen, R.J.; Karunaratne, V. Chemistry and bioactivity of Physciaceae lichens Pyxine consocians and Heterodermia leucomelos. Pharm. Biol. 2006, 44, 217–220. [Google Scholar] [CrossRef]
- Carlos, I.Z.; Carli, C.; Maia, D.C.; Benzatti, F.P.; Lopes, F.; Roese, F.M.; Watanabe, M.; Micheletti, A.C.; dos Santos, L.C.; Vilegas, W.; et al. Immunostimulatory effects of the phenolic compounds from lichens on nitric oxide and hydrogen peroxide production. Rev. Bras. Farmacogn. 2009, 19, 847–852. [Google Scholar] [CrossRef]
- Brandao, L.F.; Alcantara, G.B.; Matos, M.; Bogo, D.; Freitas, D.; Oyama, N.M.; Honda, N.K. Cytotoxic evaluation of phenolic compounds from lichens against melanoma cells. Chem. Pharm. Bull. 2013, 61, 176–183. [Google Scholar] [PubMed]
- Gomes, N.G.; Lefranc, F.; Kijjoa, A.; Kiss, R. Can some marine-derived fungal metabolites become actual anticancer agents? Mar. Drugs 2015, 13, 3950–3991. [Google Scholar] [CrossRef] [PubMed]
- Abdel-Lateff, A.; Klemke, C.; König, G.M.; Wright, A.D. Two new xanthone derivatives from the algicolous marine fungus Wardomyces anomalus. J. Nat. Prod. 2003, 66, 706–708. [Google Scholar] [CrossRef] [PubMed]
- Ebada, S.S.; Schulz, B.; Wray, V.; Totzke, F.; Kubbutat, M.H.; Müller, W.E.; Hamacher, A.; Kassack, M.U.; Lin, W.; Proksch, P. Arthrinins A–D: Novel diterpenoids and further constituents from the sponge derived fungus Arthrinium sp. Bioorg. Med. Chem. 2011, 19, 4644–4651. [Google Scholar] [CrossRef] [PubMed]
- Ikeda, M.; Kurotobi, Y.; Namikawa, A.; Kuranuki, S.; Matsuura, N.; Sato, M.; Igarashi, Y.; Nakamura, T.; Oikawa, T. Norlichexanthone isolated from fungus P16 promotes the secretion and expression of adiponectin in cultured ST-13 adipocytes. Med. Chem. 2011, 7, 250–256. [Google Scholar] [CrossRef] [PubMed]
- Dayan, F.E.; Romagni, J.G. Lichens as a potential source of pesticides. Pestic. Outlook 2001, 12, 229–232. [Google Scholar]
- Huneck, S.; Schreiber, K. Wachstumsregulatorische eigenschaften von flechten-und moos-inhaltsstoffen. Phytochemistry 1972, 11, 2429–2434. [Google Scholar] [CrossRef]
- Nguyen, K.-H.; Chollet-Krugler, M.; Gouault, N.; Tomasi, S. UV-protectant metabolites from lichens and their symbiotic partners. Nat. Prod. Rep. 2013, 30, 1490–1508. [Google Scholar] [CrossRef] [PubMed]
- Stocker-Wörgötter, E.; Hager, A.; Elix, J.A. Intraspecific chemical variation within the crustose lichen genus Haematomma: Anthraquinone production in selected cultured mycobionts as a response to stress and nutrient supply. Phytochem. Rev. 2009, 8, 561–569. [Google Scholar] [CrossRef]
- Lumbsch, H.T.; Schmitt, I.; Barker, D.; Pagel, M. Evolution of micromorphological and chemical characters in the lichen-forming fungal family Pertusariaceae: Character evolution in lichens. Biol. J. Linn. Soc. 2006, 89, 615–626. [Google Scholar] [CrossRef]
- Blaha, J.; Baloch, E.; Grube, M. High photobiont diversity associated with the euryoecious lichen-forming ascomycete Lecanora rupicola (Lecanoraceae, Ascomycota). Biol. J. Linn. Soc. 2006, 88, 283–293. [Google Scholar] [CrossRef]
- Fernandes, S.C.; Alonso-Varona, A.; Palomares, T.; Zubillaga, V.; Labidi, J.; Bulone, V. Exploiting mycosporines as natural molecular sunscreens for the fabrication of UV-absorbing green materials. ACS Appl. Mater. Interfaces 2015, 7, 16558–16564. [Google Scholar] [CrossRef] [PubMed]
- Millot, M.; Di Meo, F.; Tomasi, S.; Boustie, J.; Trouillas, P. Photoprotective capacities of lichen metabolites: A joint theoretical and experimental study. J. Photochem. Photobiol. B 2012, 111, 17–26. [Google Scholar] [CrossRef] [PubMed]
- Wader, G.R.; Kudav, N.A. Chemical investigation of Cassia occidentalis Linn. with special reference to isolation of xanthones from Cassia species. Indian J. Chem. 2008, 26B, 703. [Google Scholar]
- Fujimoto, H.; Satoh, Y.; Yamaguchi, K.; Yamazaki, M. Monoamine Oxidase Inhibitory Constituents from Anixiella micropertusa. Chem. Pharm. Bull. (Tokyo) 1998, 46, 1506–1510. [Google Scholar] [CrossRef]
- Dieu, A.; Millot, M.; Champavier, Y.; Mambu, L.; Chaleix, V.; Sol, V.; Gloaguen, V. Uncommon chlorinated xanthone and other antibacterial compounds from the lichen Cladonia incrassata. Planta Med. 2014, 80, 931–935. [Google Scholar] [CrossRef] [PubMed]
- Leyte-Lugo, M.; Figueroa, M.; del Carmen González, M.; Glenn, A.E.; González-Andrade, M.; Mata, R. Metabolites from the endophytic fungus Sporormiella minimoides isolated from Hintonia latiflora. Phytochemistry 2013, 96, 273–278. [Google Scholar] [CrossRef] [PubMed]
- Millot, M.; Tomasi, S.; Studzinska, E.; Rouaud, I.; Boustie, J. Cytotoxic Constituents of the Lichen Diploicia canescens. J. Nat. Prod. 2009, 72, 2177–2180. [Google Scholar] [CrossRef] [PubMed]
- Mislivec, P.B.; Tuite, J. Species of Penicillium occurring in freshly-harvested and in stored dent corn kernels. Mycologia 1970, 62, 67–74. [Google Scholar] [CrossRef] [PubMed]
- Ciegler, A.; Hayes, A.W.; Vesonder, R.F. Production and biological activity of secalonic acid D. Appl. Environ. Microbiol. 1980, 39, 285–287. [Google Scholar] [PubMed]
- Andersen, R.; Buechi, G.; Kobbe, B.; Demain, A.L. Secalonic acids D and F are toxic metabolites of Aspergillus aculeatus. J. Org. Chem. 1977, 42, 352–353. [Google Scholar] [CrossRef] [PubMed]
- Ren, H.; Tian, L.; Gu, Q.; Zhu, W. Secalonic acid D; A cytotoxic constituent from marine lichen-derived fungus Gliocladium sp. T31. Arch. Pharm. Res. 2006, 29, 59–63. [Google Scholar] [CrossRef] [PubMed]
- Guo, Z.; She, Z.; Shao, C.; Wen, L.; Liu, F.; Zheng, Z.; Lin, Y. 1H and 13C NMR signal assignments of Paecilin A and B, two new chromone derivatives from mangrove endophytic fungus Paecilomyces sp. (tree 1–7). Magn. Reson. Chem. 2007, 45, 777–780. [Google Scholar] [CrossRef] [PubMed]
- Hu, Y.; Tao, L.; Wang, F.; Zhang, J.; Liang, Y.; Fu, L. Secalonic acid D reduced the percentage of side populations by down-regulating the expression of ABCG2. Biochem. Pharmacol. 2013, 85, 1619–1625. [Google Scholar] [CrossRef] [PubMed]
- Guru, S.K.; Pathania, A.S.; Kumar, S.; Ramesh, D.; Kumar, M.; Rana, S.; Kumar, A.; Malik, F.; Sharma, P.R.; Chandan, B.K.; et al. Secalonic acid-D represses HIF-1α/VEGF mediated angiogenesis by regulating the Akt/mTOR/p70S6K signaling cascade. Cancer Res. 2015, 75, 2886–2896. [Google Scholar] [CrossRef] [PubMed]
- Wang, B.H.; Polya, G.M. The fungal teratogen secalonic acid D is an inhibitor of protein kinase C and of cyclic AMP-dependent protein kinase. Planta Med. 1996, 62, 111–114. [Google Scholar] [CrossRef] [PubMed]
- Reddy, R.V.; Bouchard, G.F.; Johnson, G.; Reddy, C.S. Disruption of Epidermal Growth Factor signaling in the mouse palate by secalonic acid D: An in vivo study. Toxic Subst. Mech. 1998, 17, 19–32. [Google Scholar]
- Balasubramanian, G.; Hanumegowda, U.; Reddy, C.S. Secalonic acid D alters the nature of and inhibits the binding of the transcription factors to the phorbol 12-O-tetradecanoate-13 acetate-response element in the developing murine secondary palate. Toxicol. Appl. Pharmacol. 2000, 169, 142–150. [Google Scholar] [CrossRef] [PubMed]
- Hanumegowda, U.M.; Dhulipala, V.C.; Reddy, C.S. Mechanism of secalonic acid D-induced inhibition of transcription factor binding to cyclic AMP response element in the developing murine palate. Toxicol. Sci. 2002, 70, 55–62. [Google Scholar] [CrossRef] [PubMed]
- Qin, T.; Porco, J.A. Total Syntheses of Secalonic Acids A and D. Angew. Chem. Int. Ed. 2014, 53, 3107–3110. [Google Scholar] [CrossRef] [PubMed]
- Gómez-Serranillos, M.P.; Fernández-Moriano, C.; González-Burgos, E.; Divakar, P.K.; Crespo, A. Parmeliaceae family: Phytochemistry, pharmacological potential and phylogenetic features. RSC Adv. 2014, 4, 59017–59047. [Google Scholar] [CrossRef]
© 2016 by the authors. Licensee MDPI, Basel, Switzerland. This article is an open access article distributed under the terms and conditions of the Creative Commons by Attribution (CC-BY) license ( http://creativecommons.org/licenses/by/4.0/).






