Organocatalytic Oxidative Dehydrogenation of Dihydroarenes by Dioxygen Using 2,3-Dichloro-5,6-dicyano-benzoquinone (DDQ) and NaNO2
Abstract
:Introduction

Results and Discussion
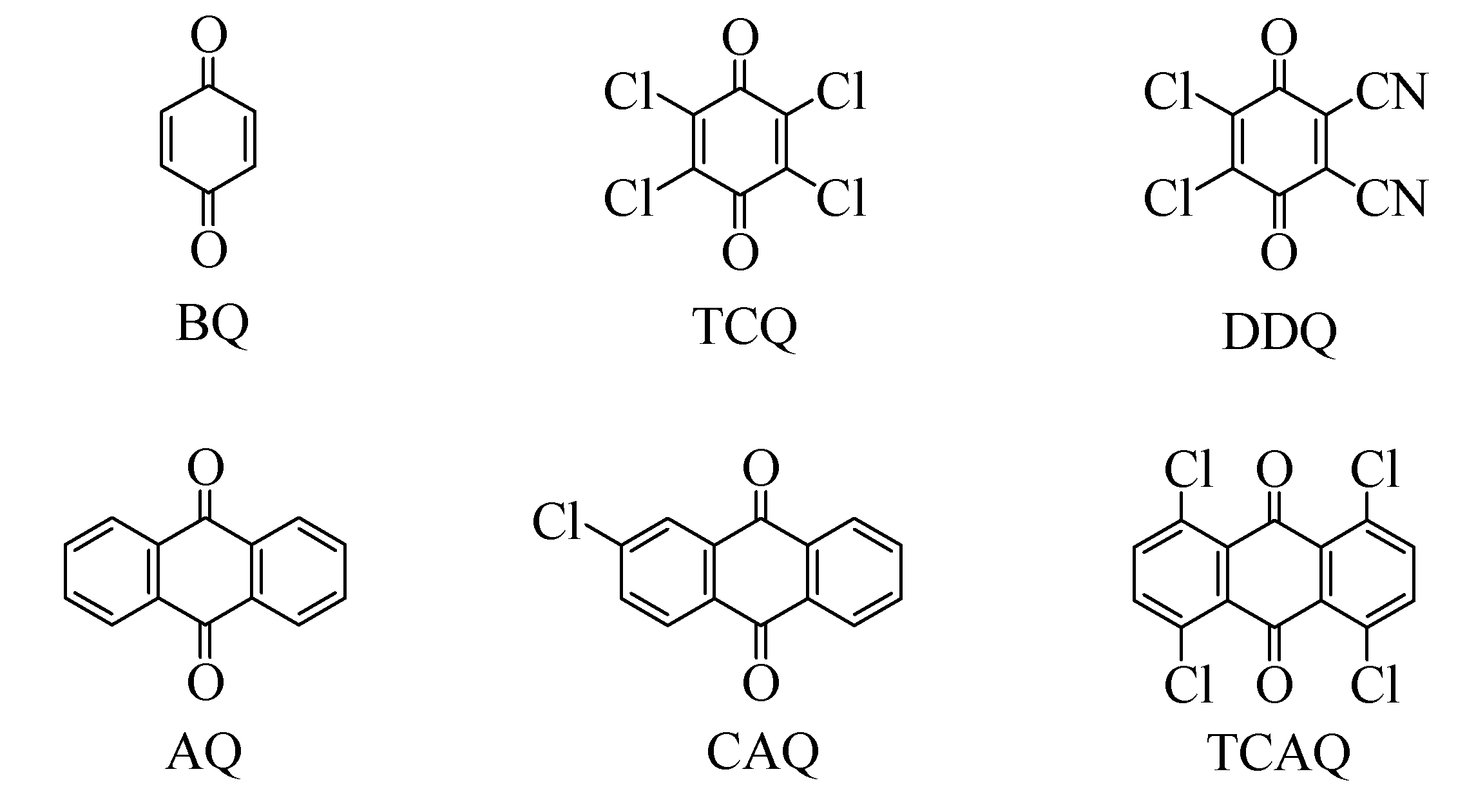
Comparison of different benzoquinones and anthraquinones combined with NaNO2


Optimization of the catalyst loading amounts, reaction time, and temperature for DDQ/NaNO2
| Entry | Catalyst loading (mol%) | Conversion (%) | Products and selectivity (%) | ||
|---|---|---|---|---|---|
| DDQ | NaNO2 | ATC | AQ | ||
| 1 | 1 | 1 | 19 | >99 | - | 
| 2 | 2 | 2 | 35 | >99 | - | 
| 3 | 3 | 3 | 56 | >99 | - | 
| 4 | 5 | 5 | >99 | 99 | 1 | 
| 5 | 10 | 10 | >99 | 99 | 1 | 
| 6 b | 5 | 5 | 64 | >99 | - | 
| 7 b | 10 | 10 | >99 | >99 | - | 
| Entry | Catalyst loading (mol%) | Time (h)  | Conv. (%)  | Products and selectivity(%) | ||
|---|---|---|---|---|---|---|
| DDQ | NaNO2 | ATC | AQ | |||
| 1 | 5 | 5 | 1 | 42 | >99 | - | 
| 2 | 5 | 5 | 3 | 47 | >99 | - | 
| 3 | 5 | 5 | 5 | 54 | >99 | - | 
| 4 | 5 | 5 | 8 | >99 | 99 | 1 | 
| 5 | 5 | 0 | 5 | 10 | >99 | - | 
| 6 | 0 | 5 | 5 | 8 | >99 | - | 
| 7 | 0 | 0 | 5 | 3 | >99 | - | 
| 8 b | 0 | 0 | 5 | n.d. | - | - | 

Oxidative dehydrogenation of variety of dihydroarenes with DDQ/NaNO2
| Entry | Substrates | Conversion (%)  | Product and selectivity/yield (%)  | 
|---|---|---|---|
| 1 |   ![]()  | >99 |     99/99 | 
| 2 |   ![]()  | >99 |     >99/99 | 
| 3 |   ![]()  | 91 |     >99/91 | 
| 4 |   ![]()  | 77 |     >99/77 | 
| 5 |   ![]()  | 68 |     >99/68 | 
| 6b |   ![]()  | 32 |     74/24 | 
The proposed catalytic cycle

Conclusions
Experimental
General
Oxidation reaction and products analysis
Acknowledgements
References and Notes
- Blanco, S.; Carrazán, S.R.G.; Rives, V. Oxidative dehydrogenation of propane on Mg-V-Al mixed oxides. Appl. Catal. A, Gen. 2008, 342, 93–98. [Google Scholar] [CrossRef]
 - Grabowski, R. Kinetics of oxidative dehydrogenation of C2-C3 alkanes on oxide catalysts. Catal. Rev. 2006, 48, 199–268. [Google Scholar] [CrossRef]
 - Bautista, F.M.; Campelo, J.M.; Luna, D.; Marinas, J.M.; Quirós, R.A.; Romero, A.A. Screening of amorphous metal–phosphate catalysts for the oxidative dehydrogenation of ethylbenzene to styrene. App.l Catal. B 2007, 70, 611–620. [Google Scholar] [CrossRef]
 - Kamata, K.; Kasai, J.; Yamaguchi, K.; Mizuno, N. Efficient heterogeneous oxidation of alkylarenes with molecular oxygen. Org. Lett. 2004, 6, 3577–3580. [Google Scholar] [CrossRef]
 - Tanaka, H.; Ikeno, T.; Yamada, T. Efficient oxidative aromatization of 9,10-dihydroanthracenes with molecular oxygen catalyzed by ruthenium porphyrin complex. Synlett. 2003, 576–578. [Google Scholar]
 - Joshi, B.P.; Sharma, A.; Sinha, A.K. Efficient one-pot, two-step synthesis of (E)-cinnmaldehydes by dehydrogenation-oxidation of arylpropanes using DDQ under ultrasonic irradiation. Tetrahedron 2006, 62, 2590–2593. [Google Scholar] [CrossRef]
 - Wurche, F.; Sicking, W.; Sustmann, R.; Klärner, F.G.; Rühardt, C. The effect of pressure on hydrogen transfer reactions with quinones. Chem. Eur. J. 2004, 10, 2707–2721. [Google Scholar] [CrossRef]
 - Becker, H.; Bjork, A.; Adler, E. Quinone dehydrogenation. Oxidation of benzylic alcohols with 2,3-dichloro-5,6-dicyanobenzoquinone. J. Org. Chem. 1980, 45, 1596–1600. [Google Scholar] [CrossRef]
 - Zhang, Y.H.; Li, C.J. DDQ-mediated direct cross-dehydrogenative-coupling (CDC) between benzyl ethers and simple ketones. J. Am. Chem. Soc. 2006, 128, 4242–4243. [Google Scholar] [CrossRef]
 - Chandrasekhar, S.; Sumithra, G.; Yadav, J.S. Deprotection of mono and dimethoxy phenyl methyl ethers using catalytic amounts of DDQ. Tetrahedron Lett. 1996, 37, 1645–1646. [Google Scholar] [CrossRef]
 - Sharma, G.V.M.; Lavanya, B.; Mahalingam, A.K.; Krishna, P.R. Mn(OAc)3—an efficient oxidant for regeneration of DDQ: deprotection of p-methoxy benzyl ethers. Tetrahedron Lett. 2000, 41, 10323–10326. [Google Scholar] [CrossRef]
 - Yang, G.Y.; Ma, Y.F.; Xu, J. Biomimetic catalytic system driven by electron transfer for selective oxygenation of hydrocarbon. J. Am. Chem. Soc. 2004, 126, 10542–10543. [Google Scholar] [CrossRef]
 - Yang, G.Y.; Zhang, Q.H.; Miao, H.; Tong, X.L.; Xu, J. Selective organocatalytic oxygenation of hydrocarbons by dioxygen using anthraquinones and N-hydroxyphthalimide. Org. Lett. 2005, 7, 263–266. [Google Scholar] [CrossRef]
 - Zhou, L.P.; Chen, Y.; Yang, X.M.; Su, Y.L.; Zhang, W.; Xu, J. Electronic effect of substituent of quinones on their catalytic performance in hydrocarbons oxidation. Catal. Lett. 2008, 125, 154–159. [Google Scholar] [CrossRef]
 - Zhang, Q.H.; Chen, C.; Ma, H.; Miao, H.; Zhang, W.; Sun, Z.Q.; Xu, J. Efficient metal-free aerobic oxidation of aromatic hydrocarbons utilizing aryl-tetrahalogenated N-hydroxyphthalimides and 1,4-diamino-2,3-dichloroanthraquinone. J. Chem. Technol. Biotechnol. 2008, 83, 1364–1369. [Google Scholar] [CrossRef]
 - Zhang, W.; Ma, H.; Zhou, L.P.; Miao, H.; Xu, J. Oxidative dehydrogenation of 9,10-Dihydroanthracene using oxygen catalytic by 2,3,-dichloro-5,6-dicyano-1,4-benzoquinone and NaNO2. Chinese J. Catal. (Accepted).
 - Carlos, F.; Álvaro, V.M.; Jorge, G.; Rubicelia, V.; Ignacio, G. Substituent effect on a family of quinones in aprotic solvents: an experimental and theoretical approach. J. Phys. Chem. A 2006, 110, 9411–9419. [Google Scholar] [CrossRef]
 - May, Q.; Daniel, S.; Mark, F.W.; Diane, K.S. Voltammetry of quinones in unbuffered aqueous solution: reassessing the roles of proton transfer and hydrogen bonding in the aqueous electrochemistry of quinones. J. Am. Chem. Soc. 2007, 129, 12847–12856. [Google Scholar] [CrossRef]
 - Mansoor, N.; Michelle, L.C. Accurate calculation of absolute one-electron redox potentials of some para-quinone derivatives in acetonitrile. J. Phys. Chem. A 2007, 111, 7227–7232. [Google Scholar] [CrossRef]
 - Wang, X.L.; Liu, R.H.; Jin, Y.; Liang, X.M. TEMPO/HCl/NaNO2 catalyst: a transition-metal-free approach to efficient aerobic oxidation of alcohols to aldehydes and ketones under mild conditions. Chem. Eur. J. 2008, 14, 2679–2685. [Google Scholar] [CrossRef]
 - An, Z.J.; Pan, X.L.; Liu, X.M.; Han, X.W.; Bao, X.H. Combined redox couples for catalytic oxidation of methane by dioxygen at low temperatures. J. Am. Chem. Soc. 2006, 128, 16028–16029. [Google Scholar] [CrossRef]
 - Thummel, R.P.; Cravey, W.E.; Cantu, D.B. Aromatization of 1,4-dihydrobenzocycloalkenes, 1,4-dihydronaphthocycloalkenes, and related systems. J. Org. Chem. 1980, 45, 1633–1637. [Google Scholar] [CrossRef]
 
- Sample availability: Samples of the compounds presented in this paper are available from the authors.
 
© 2008 by the authors. Licensee Molecular Diversity Preservation International, Basel, Switzerland. This article is an open-access article distributed under the terms and conditions of the Creative Commons Attribution license ( http://creativecommons.org/licenses/by/3.0/).
Share and Cite
Zhang, W.; Ma, H.; Zhou, L.; Sun, Z.; Du, Z.; Miao, H.; Xu, J. Organocatalytic Oxidative Dehydrogenation of Dihydroarenes by Dioxygen Using 2,3-Dichloro-5,6-dicyano-benzoquinone (DDQ) and NaNO2. Molecules 2008, 13, 3236-3245. https://doi.org/10.3390/molecules13123236
Zhang W, Ma H, Zhou L, Sun Z, Du Z, Miao H, Xu J. Organocatalytic Oxidative Dehydrogenation of Dihydroarenes by Dioxygen Using 2,3-Dichloro-5,6-dicyano-benzoquinone (DDQ) and NaNO2. Molecules. 2008; 13(12):3236-3245. https://doi.org/10.3390/molecules13123236
Chicago/Turabian StyleZhang, Wei, Hong Ma, Lipeng Zhou, Zhiqiang Sun, Zhongtian Du, Hong Miao, and Jie Xu. 2008. "Organocatalytic Oxidative Dehydrogenation of Dihydroarenes by Dioxygen Using 2,3-Dichloro-5,6-dicyano-benzoquinone (DDQ) and NaNO2" Molecules 13, no. 12: 3236-3245. https://doi.org/10.3390/molecules13123236
APA StyleZhang, W., Ma, H., Zhou, L., Sun, Z., Du, Z., Miao, H., & Xu, J. (2008). Organocatalytic Oxidative Dehydrogenation of Dihydroarenes by Dioxygen Using 2,3-Dichloro-5,6-dicyano-benzoquinone (DDQ) and NaNO2. Molecules, 13(12), 3236-3245. https://doi.org/10.3390/molecules13123236
        
       










