Isatinones A and B, New Antifungal Oxindole Alkaloids from Isatis costata
Abstract
:Introduction
Results and Discussion


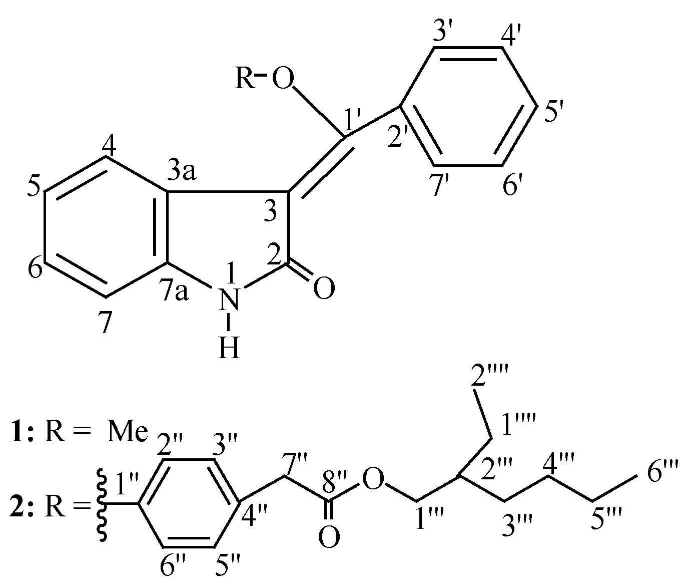
| 1 | 2 | ||||
|---|---|---|---|---|---|
| C/H | δ H | 1H-1H COSY | C/H | δ H | 1H-1H COSY |
| 1 | 12.7 (1H, s) | 1 | 12.7 (1H, s) | ||
| 2 | 2 | ||||
| 3 | 3 | ||||
| 3a | 3a | ||||
| 4 | 7.54 (1H, dd, 7.9, 1.5) | H-5, H-6 | 4 | 7.20 (1H, dd, 8.0, 1.5) | H-5, H-6 |
| 5 | 7.08 (1H, ddd, 7.9, 7.1, 1.0) | H-4, H-6 | 5 | 7.08 (1H, ddd, 8.0,7.0, 1.5) | H-4, H-6 |
| 6 | 7.19 (1H, ddd, 8.4, 7.1, 1.5) | H-5, H-7 | 6 | 7.61 (1H, ddd, 8.4, 7.0, 1.5) | H-5, H-7 |
| 7 | 6.86 (1H, dd, 8.4, 1.0) | H-6, H-5 | 7 | 6.89 (1H, dd, 8.4, 1.5) | H-6, H-5 |
| 7a | 7a | ||||
| 1' | 1' | ||||
| 2' | 2' | ||||
| 3' | 7.02 (1H, m) | H-4', H-5' | 3' | 7.64 (1H, m) | H-4', H-5' |
| 4' | 7.34 (1H, m) | H-3', H-5' | 4' | 7.36 (1H, m) | H-3', H-5' |
| 5' | 7.35 (1H, m) | H-4', H-6' | 5' | 7.36 (1H, m) | H-4', H-6' |
| 6' | 7.34 (1H, m) | H-5', H-7' | 6' | 7.36 (1H, m) | H-5', H-7' |
| 7' | 7.02 (1H, m) | H-6', H-5' | 7' | 7.64 (1H, m) | H-6', H-5' |
| OCH3 | 3.87 (1H, s) | 1'' | |||
| 2'' | 7.06 (1H, d, 8.2) | H-3'' | |||
| 3'' | 6.49 (1H, d, 8.2) | H-2'' | |||
| 4'' | |||||
| 5'' | 6.49 (1H, d, 8.2) | H-6'' | |||
| 6'' | 7.06 (1H, d, 8.2) | H-5'' | |||
| 7'' | 3.41 (2H, s) | ||||
| 8'' | |||||
| 1''' | 4.20 (2H, m) | H-2''' | |||
| 2''' | 1.70 (1H, m) | H-1''', H-3''', H-1'''' | |||
| 3''' | 1.65 (2H, m) | H-2''', H-4''' | |||
| 4''' | 1.54 (2H, m) | H-3''', H-5''' | |||
| 5''' | 1.31 (2H, m) | H-4''', H-6''' | |||
| 6''' | 0.83 (3H, t, 6.4) | H-5''' | |||
| 1'''' | 1.33 (2H, m) | H-2''', H-2'''' | |||
| 2'''' | 0.90 (3H, t, 6.3) | H-1'''' | |||

Biological Activity
| Name of fungus | Inhibition (%) of crude extract | Inhibition (%) | Standard drugs | Inhibition (%) of Standard drugs | |
|---|---|---|---|---|---|
| 1 | 2 | ||||
| Trichophyton schoen leinii | 71.4 | 70.0 | 81.2 | Miconazole Ketoconazole | 90 90 |
| Aspergillus niger | 50.1 | 68.0 | 78.0 | Amphotericin-B | 100 |
| Pseudallescheria boydri | 39.4 | 55.7 | 59.5 | Miconazole Ketoconazole | 90 90 |
| Candida albicans | 48 | 69.1 | 70.3 | Nystatin | 90 |
| Microsporum canis | 34 | 15.5 | 25.0 | Miconazole Ketoconazole | 100 100 |
| Trichophyton mentagrophytes | 53 | 60.0 | 50.7 | Miconazole Ketoconazole | 100 100 |
| Trichophyton simii | 67.5 | 77.0 | 80.4 | Miconazole | 100 |
| Fusarium solani var. lycopersici (tomato) | 12 | 2 | 8 | Benlate | 100 |
| Macrophomina phaseolina | 56 | 71.0 | 75.1 | Benlate Nabam | 100 |
| Rhizoctonia solani | 60.2 | 50.0 | 54.0 | Benlate | 100 |
Conclusions
Experimental
General
Plant Material
Extraction and Isolation
Bioassays
References
- Nasir, Y. J.; Ali, S. I. Flora of Pakistan; Ali, S. I., Nasir, Y. J., Eds.; National Herbarium Pakistan Agriculture Research Council: Islamabad, 1989; Vol. 191, p. 94. [Google Scholar]
- Pinkas, M.; Peng, W.; Torck, M.; Trotin, F. Plants Medicinales Chinoises; Maloin: Paris, 1996; p. 86. [Google Scholar]
- Jiangsu New Medical College. Dictionary of Chinese Crude Drugs; Shanghai Scientific and Technological Press: Shanghai, 1985; pp. 1250–1252. [Google Scholar]
- Institute of Materia Medica. Chinese Academy of Medical Sciences; Zhong, Y. Z., Ed.; Peoples Health Press: Beijing, 1979; Vol. 1, p. 453. [Google Scholar]
- Ministry of Public Health. Chinese Pharmacopoeia; Peoples Health Press: Beijing, 1990; Part 1; p. 172. [Google Scholar]
- Kobayashi, M.; Aoki, S.; Gato, K.; Matsunami, K.; Kurosu, M.; Kitagawa, I. Trisindoline, a new antibiotic indole trimer, produced by a bacterium of Vibrio sp. seperated from the marine sponge Hyrtios altum. Chem. Pharm. Bull. 1994, 42, 2449–2451. [Google Scholar] [CrossRef]
- Kim, W. G.; Lee, I. K.; Kim, J. P.; Ryoo, I. J.; Koshino, H.; Yoo, I. D. New Indole derivatives with free radical Scavenging activity from Agrocybe cylindracea. J. Nat. Prod. 1997, 60, 721–723. [Google Scholar] [CrossRef]
- Thielke, D.; Wegener, J.; Winterfeldt, E. The steric course of methylene-lactum rearrangements in rigid policyclic system. Chem. Ber. 1975, 108, 1791–1802. [Google Scholar] [CrossRef]
- Fatima, I.; Ahmad, I.; Nawaz, S. A.; Malik, A.; Afza, N.; Luttfullah, G.; Choudhary, M. I. Enzyme inhibition studies of oxindole alkaloids from Isatis costata. Heterocycles 2006, 68, 1421–1428. [Google Scholar]
- Wing, S. C.; Raymond, J. P.; Mark, R. P. A Tandem Heck-Carbocyclization/ Suzuki-Coupling approach to the Stereoselective synthesis of asymmetric 3, 3-(Diarylmethylene)indolinones. J Org. Chem. 2005, 70, 3741–3744. [Google Scholar] [CrossRef]
- Choudhary, M. I.; Dur-e-Shahwar; Parveen, Z.; Jabbar, A.; Ali, I.; Atta-ur-Rahman. Antifungal steroidal lactones from Withania coagulance. Phytochemistry 1995, 40, 1243–1246. [Google Scholar] [CrossRef]
- Sample Availability: Samples of the compounds are available from the corresponding author.
© 2007 by MDPI (http://www.mdpi.org). Reproduction is permitted for noncommercial purposes.
Share and Cite
Fatima, I.; Ahmad, I.; Anis, I.; Malik, A.; Afza, N. Isatinones A and B, New Antifungal Oxindole Alkaloids from Isatis costata. Molecules 2007, 12, 155-162. https://doi.org/10.3390/12020155
Fatima I, Ahmad I, Anis I, Malik A, Afza N. Isatinones A and B, New Antifungal Oxindole Alkaloids from Isatis costata. Molecules. 2007; 12(2):155-162. https://doi.org/10.3390/12020155
Chicago/Turabian StyleFatima, Itrat, Ijaz Ahmad, Itrat Anis, Abdul Malik, and Nighat Afza. 2007. "Isatinones A and B, New Antifungal Oxindole Alkaloids from Isatis costata" Molecules 12, no. 2: 155-162. https://doi.org/10.3390/12020155
APA StyleFatima, I., Ahmad, I., Anis, I., Malik, A., & Afza, N. (2007). Isatinones A and B, New Antifungal Oxindole Alkaloids from Isatis costata. Molecules, 12(2), 155-162. https://doi.org/10.3390/12020155
