Sign in to use this feature.

Years

Between: -

Subjects

remove_circle_outline
remove_circle_outline
remove_circle_outline
remove_circle_outline
remove_circle_outline
remove_circle_outline
remove_circle_outline
remove_circle_outline
remove_circle_outline

Journals

remove_circle_outline
remove_circle_outline
remove_circle_outline
remove_circle_outline
remove_circle_outline
remove_circle_outline
remove_circle_outline
remove_circle_outline
remove_circle_outline
remove_circle_outline

Article Types

Countries / Regions

remove_circle_outline
remove_circle_outline
remove_circle_outline
remove_circle_outline

Search Results (420)

Search Parameters:
Keywords = zinc titanium

Order results
Result details
Results per page
Select all
Export citation of selected articles as:
31 pages, 11140 KB  
Article
High-Temperature Properties of Hot Mix Asphalt Modified with Different Nanomaterials
by Yousuf M. Hamed AlHamdo, Amjad H. Khalil Albayati and Mazen J. Al-Kheetan
Nanomaterials 2025, 15(24), 1845; https://doi.org/10.3390/nano15241845 - 8 Dec 2025
Viewed by 246
Abstract
Rutting is a predominant distress in asphalt pavements, particularly in hot climatic regions. This study systematically investigated the high-temperature performance of hot mix asphalt modified with five nanomaterials, namely, nano-silica (NS), nano-alumina (NA), nano-titanium (NT), nano-zinc (NZ), and carbon nanotubes (CNTs), under consistent [...] Read more.
Rutting is a predominant distress in asphalt pavements, particularly in hot climatic regions. This study systematically investigated the high-temperature performance of hot mix asphalt modified with five nanomaterials, namely, nano-silica (NS), nano-alumina (NA), nano-titanium (NT), nano-zinc (NZ), and carbon nanotubes (CNTs), under consistent laboratory conditions. Modification dosages were selected up to 10% for NS, NA, and NT, and up to 5% for NZ and CNTs. The experimental methodology comprised the following: (i) binder rheological characterization through rotational viscosity, G*/sinδ, and multiple stress creep recovery (MSCR) to quantify rutting susceptibility; (ii) chemical and microstructural assessments using Fourier transform infrared spectroscopy (FTIR) and scanning electron microscopy (SEM); (iii) mixture-level evaluation via repeated-load axial testing coupled with digital image correlation (DIC) to monitor permanent microstrain evolution; and (iv) rutting performance over a 20-year period using the VESYS 5W predictive model. A cost–performance analysis was further incorporated to assess the economic viability of each nanomaterial. The results demonstrated that nanomodification substantially improved rutting resistance, consistent with reductions in non-recoverable creep compliance and permanent microstrain. Among additives, the 8% NS mixture exhibited the most favorable performance, maintaining a present serviceability index (PSI) of 2.5 after 20 years, whereas the un-modified mixture dropped below the failure threshold within a few years. These findings confirm that nanomaterial selection and dosage can meaningfully enhance the structural and performance of asphalt pavements. Full article
(This article belongs to the Section Nanocomposite Materials)
Show Figures

Figure 1

13 pages, 2712 KB  
Article
Temporal Variation in Nano-Enhanced Laser-Induced Plasma Spectroscopy (NELIPS)
by Ashraf EL Sherbini and AbdelNasser Aboulfotouh
Quantum Beam Sci. 2025, 9(4), 34; https://doi.org/10.3390/qubs9040034 - 28 Nov 2025
Viewed by 186
Abstract
The NELIPS acronym stands for Nano-Enhanced Laser-Induced Plasma Spectroscopy. Within this framework, the temporal variation in the enhanced plasma emissions from pure nanomaterials with respect to corresponding bulk materials was monitored as a function of delay time in the range from 1 to [...] Read more.
The NELIPS acronym stands for Nano-Enhanced Laser-Induced Plasma Spectroscopy. Within this framework, the temporal variation in the enhanced plasma emissions from pure nanomaterials with respect to corresponding bulk materials was monitored as a function of delay time in the range from 1 to 5–11 μs. Six different pure nanomaterials were employed including silver, zinc, aluminum, titanium, iron, and silicon. Radiation from pulsed Nd: YAG laser at wavelength 1064 nm was used to induce both bulk and pure nanomaterial plasmas under similar experimental conditions. Plasma emissions from both targets were monitored via optical emission spectroscopy technique (OES). The spectral line intensities (Signal-To-Noise ratio S/N) from the pure nanomaterial plasma turns out to decline in a constant logarithmic manner but at a slower rate than that from the corresponding bulk material plasma. Consequently, the measured average enhanced emission from different nanomaterials features an increase in an exponential manner with delay time. This trend of increase was accounted for via mathematical elaboration of enhanced emission based on the measured Signal-To-Noise data. Plasma parameters (electron density and temperature) were precisely measured at each delay time as well. Full article
(This article belongs to the Special Issue Quantum Beam Science: Feature Papers 2025)
Show Figures

Figure 1

26 pages, 3049 KB  
Review
Progress in Electrode Modifiers for Nitrite Electrochemical Sensing Applications
by Mohammad Aslam, Saood Ali, Khaled Hamdy, Danishuddin, Khursheed Ahmad and Rohit Kumar Singh Gautam
Biosensors 2025, 15(12), 783; https://doi.org/10.3390/bios15120783 - 27 Nov 2025
Viewed by 494
Abstract
It is well known that nitrite is widely used in industrial and agricultural sectors as a preservative, corrosion inhibitor, and intermediate in chemical synthesis; consequently, nitrite residues are often present in food, water, and the environment as a result of meat curing, fertilizer [...] Read more.
It is well known that nitrite is widely used in industrial and agricultural sectors as a preservative, corrosion inhibitor, and intermediate in chemical synthesis; consequently, nitrite residues are often present in food, water, and the environment as a result of meat curing, fertilizer use, and wastewater discharge. Despite having several applications, nitrite exerts toxic effects on human beings and aquatic life. Therefore, the monitoring of nitrite is of particular significance to avoid negative impacts on human health, the environment, and aquatic life. Previously, the electrochemical method has been extensively used for the development of nitrite sensors using various advanced electrode materials. Additionally, zinc oxide (ZnO), cerium oxide (CeO2), titanium dioxide (TiO2), copper oxide (CuO), iron oxides, nickel oxide (NiO), polymers, MXenes, reduced graphene oxide (rGO), carbon nanotubes (CNTs), graphitic carbon nitride (gCN), metal–organic frameworks (MOFs), and other composites have been utilized as electrocatalysts for the fabrication of nitrite electrochemical sensors. This review article provides an overview of the construction of nitrite sensors using advanced electrode materials. The electrochemical activities of the reported nitrite sensors are discussed. Furthermore, limitations and future perspectives regarding the determination of nitrite are discussed. Full article
Show Figures

Figure 1

44 pages, 6561 KB  
Article
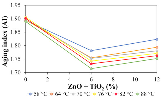
Effects of the Combined Incorporation of ZnO and TiO2 Nanoparticles on the Mechanical, Rheological, Thermal, and Healing Properties of a Dense Polymeric Asphalt Mixture
by Jaqueline Wolfart, João Victor Staub de Melo, Alexandre Luiz Manfro, Breno Salgado Barra and Rafael Cassimiro Barbosa
Nanomaterials 2025, 15(23), 1779; https://doi.org/10.3390/nano15231779 - 26 Nov 2025
Viewed by 247
Abstract
This study evaluated the combined incorporation of zinc oxide (ZnO) and titanium dioxide (TiO2) nanoparticles into a styrene–butadiene–styrene (SBS) copolymer-modified asphalt binder, aiming to increase thermal conductivity and healing potential while maintaining rheological performance. Nanocomposites containing ZnO + TiO2 (50/50 [...] Read more.
This study evaluated the combined incorporation of zinc oxide (ZnO) and titanium dioxide (TiO2) nanoparticles into a styrene–butadiene–styrene (SBS) copolymer-modified asphalt binder, aiming to increase thermal conductivity and healing potential while maintaining rheological performance. Nanocomposites containing ZnO + TiO2 (50/50 wt.%) were produced at dosages of 2–12 wt.% and subjected to the Rolling Thin Film Oven Test (RTFOT), thermal conductivity measurements, viscosity testing, and rheological characterization. A dense-graded asphalt mixture with the optimized dosage was evaluated through wheel-tracking, four-point bending fatigue and healing, and internal heating rate assessment under microwave radiation. The integrated results indicated 8.5 wt.% as the optimal dosage, providing a 106.3% increase in thermal conductivity and improving the high-temperature performance grade (PGH) from 76-XX to 82-XX. Non-recoverable creep compliance (Jnr) decreased by 21.1%, and viscosity at 135 °C increased by 41.8%, remaining below 3.0 Pa·s. In the asphalt mixture, healing capacity increased by 50.7%, and the internal heating rate by 50.0%, while the wheel-tracking rut depth decreased by 13.3%. These findings demonstrate that 8.5 wt.% ZnO + TiO2 simultaneously enhances heat conduction, healing efficiency, and resistance to permanent deformation, offering a promising solution for pavements subjected to high temperatures and heavy traffic. Full article
(This article belongs to the Section Nanocomposite Materials)
Show Figures

Figure 1

17 pages, 4746 KB  
Article
Analysis of the Effect of Fabrication Parameters on the Properties of Biopolymer Coatings Deposited on Ti13Zr13Nb Alloy
by Michał Bartmański and Kamila Sionek
Polymers 2025, 17(23), 3136; https://doi.org/10.3390/polym17233136 - 25 Nov 2025
Viewed by 353
Abstract
This work describes the preparation and characterization of chitosan-based biopolymer coatings containing silver, zinc, and hydroxyapatite nanoparticles deposited on the Ti13Zr13Nb alloy by the EPD method. It was intended to evaluate the influence of surface pretreatments and deposition parameters on the structural, electrochemical, [...] Read more.
This work describes the preparation and characterization of chitosan-based biopolymer coatings containing silver, zinc, and hydroxyapatite nanoparticles deposited on the Ti13Zr13Nb alloy by the EPD method. It was intended to evaluate the influence of surface pretreatments and deposition parameters on the structural, electrochemical, and biological properties of coatings. The morphology and composition were characterized by means of SEM/EDS, AFM, XRD, and FTIR analysis. The obtained results indicated uniform continuous layers with homogeneously distributed nanoparticles and the presence of characteristic functional groups originating from chitosan and hydroxyapatite. Corrosion investigations performed in SBF solution revealed a significant enhancement in corrosion resistance for chitosan/nanoAg/nanoZn/nanoHAp coatings, reflected in a drastic decrease in corrosion current density compared with uncoated Ti13Zr13Nb alloy. The contact angle measurements confirmed their hydrophilic nature, which favors better biointegration ability. Biological tests (MTT and LDH) performed on human osteoblasts (hFOB 1.19) confirmed high biocompatibility (>85% cell viability) in the case of all coatings with the addition of hydroxyapatite, whereas in the case of coatings without HAp, cytotoxicity was observed, probably due to the uncontrolled release of metallic nanoparticles. These findings suggest that the presence of hydroxyapatite in chitosan-based coatings efficiently enhances corrosion protection and cytocompatibility, showing very good prospects for biomedical applications such as the surface modification of titanium implants. Full article
Show Figures

Figure 1

21 pages, 1204 KB  
Review
From Nature to Nanomedicine: Green-Synthesized Metal Oxide Nanoparticles for Oral Cancer Drug Delivery
by Doaa S. R. Khafaga, Youssef Basem, Mariam Mohamed Ali, Rawan S. Elsharkawy, Ayda H. El-Gouhari and Shimaa S. Attia
Nanomaterials 2025, 15(23), 1767; https://doi.org/10.3390/nano15231767 - 25 Nov 2025
Viewed by 579
Abstract
Oral cancer represents one of the most prevalent malignancies worldwide, characterized by high morbidity and mortality rates primarily due to late diagnosis, limited therapeutic efficacy, systemic toxicity, and recurrence following conventional treatments. Traditional chemotherapeutic drugs, while effective to a certain extent, often suffer [...] Read more.
Oral cancer represents one of the most prevalent malignancies worldwide, characterized by high morbidity and mortality rates primarily due to late diagnosis, limited therapeutic efficacy, systemic toxicity, and recurrence following conventional treatments. Traditional chemotherapeutic drugs, while effective to a certain extent, often suffer from poor bioavailability, nonspecific targeting, and multidrug resistance, highlighting the importance of innovative therapeutic strategies. Nanomedicine has emerged as a promising alternative, providing site-specific delivery, enhanced drug stability, and improved therapeutic outcomes. Among various nanoparticles (NPs), metal oxide nanoparticles (MONPs), such as zinc oxide, titanium dioxide, and copper oxide, have demonstrated potent anticancer activity due to their high surface area, tunable physicochemical properties, and ability to generate reactive oxygen species (ROS). Recent progress in green synthesis approaches, employing plant extracts, microbes, and biopolymers as reducing and stabilizing agents, has further advanced the development of biocompatible and eco-friendly NPs. These green-synthesized NPs minimize toxic byproducts and allow their functionalization with herbal compounds and conventional drugs, offering synergistic effects against oral cancer. This review highlights the limitations of traditional treatments, examines the role of nanomedicine, and discusses the application of green-synthesized MONPs as drug delivery platforms for oral cancer management. It also addresses challenges such as standardization, scalability, safety concerns, and regulatory barriers, while outlining future perspectives that integrate green nanotechnology with precision medicine. Collectively, green nanomedicine offers a sustainable and innovative paradigm with the potential to revolutionize oral cancer therapy. Full article
(This article belongs to the Special Issue Advances in Nanomedicine Biotechnologies (Second Edition))
Show Figures

Graphical abstract

66 pages, 9255 KB  
Review
Recent Advances in Polymer-Coated Metal and Metal Oxide Nanoparticles: From Design to Promising Applications
by Refia Atik, Rafiqul Islam, Melissa Ariza Gonzalez, Pailinrut Chinwangso and T. Randall Lee
Nanomaterials 2025, 15(22), 1744; https://doi.org/10.3390/nano15221744 - 20 Nov 2025
Viewed by 1247
Abstract
The integration of polymer coatings with metal and metal oxide nanoparticles represents a significant advancement in nanotechnology, enhancing the stability, biocompatibility, and functional versatility of these materials. These enhanced properties make polymer-coated nanoparticles key components in a wide range of applications, including biomedicine, [...] Read more.
The integration of polymer coatings with metal and metal oxide nanoparticles represents a significant advancement in nanotechnology, enhancing the stability, biocompatibility, and functional versatility of these materials. These enhanced properties make polymer-coated nanoparticles key components in a wide range of applications, including biomedicine, catalysis, environmental remediation, electronics, and energy storage. The unique combination of polymeric materials with metal and metal oxide cores results in hybrid structures with superior performance characteristics, making them highly desirable for various technological innovations. Polymer-coated metal and metal oxide nanoparticles can be synthesized through various methods, such as grafting to, grafting from, grafting through, in situ techniques, and layer-by-layer assembly, each offering distinct control over nanoparticle size, shape, and surface functionality. The distinctive contribution of this review lies in its systematic comparison of polymer-coating synthesis approaches for different metal and metal oxide nanoparticles, revealing how variations in polymer architecture and surface chemistry govern their stability, functionality, and application performance. The aim of this paper is to provide a comprehensive overview of the current state of research on polymer-coated nanoparticles, including metals such as gold, silver, copper, platinum, and palladium, as well as metal oxides like iron oxide, titanium dioxide, zinc oxide, and aluminum oxide. This review highlights their design strategies, synthesis methods, characterization approaches, and diverse emerging applications, including biomedicine (e.g., targeted drug delivery, gene delivery, bone tissue regeneration, imaging, antimicrobials, and therapeutic interventions), environmental remediation (e.g., antibacterials and sensors), catalysis, electronics, and energy conversion. Full article
(This article belongs to the Collection Metallic and Metal Oxide Nanohybrids and Their Applications)
Show Figures

Graphical abstract

14 pages, 4228 KB  
Article
Room Temperature UV Photodetector Based on Aero-Titania
by Mircea Nicolaescu, Tudor Braniste, Corina Orha, Mina-Ionela Morariu, Sebastian Lehmann, Kornelius Nielsch, Ion M. Tiginyanu, Raluca Faur, Victor Zalamai, Carmen Lazau and Cornelia Bandas
Int. J. Mol. Sci. 2025, 26(22), 11035; https://doi.org/10.3390/ijms262211035 - 14 Nov 2025
Viewed by 434
Abstract
This research demonstrates, for the first time, the integration of aero-titania material in sensor devices. An innovative approach for the practical application of aero-titania (aero-TiO2) materials in photodetectors and the characterization under ultraviolet irradiation was assessed. The fabrication of aero-materials was [...] Read more.
This research demonstrates, for the first time, the integration of aero-titania material in sensor devices. An innovative approach for the practical application of aero-titania (aero-TiO2) materials in photodetectors and the characterization under ultraviolet irradiation was assessed. The fabrication of aero-materials was carried out through the atomic layer deposition (ALD) of titanium dioxide ultrathin layers on a sacrificial network consisting of zinc oxide micro-tetrapods. This process was followed by a selective etching of the sacrificial ZnO template and formation of aero-titania hollow micro-tetrapods. The obtained material has been characterized using UV-Vis spectroscopy, scanning electron microscopy (SEM), and X-ray diffraction (XRD) analysis. The development of photodetectors was achieved through the sequential spin-coating deposition of aero-TiO2 onto an interdigitated ceramic electrode. The obtained results show that, for high-intensity ultraviolet, the maximum sensitivity was reached for the two-deposited-layer aero-TiO2 sensor at about 23, since for the low-intensity UV the highest sensitivity was recorded for the one-deposited-layer aero-TiO2 sensor at about 12. In terms of the responsivity, the highest response was obtained for the one-deposited-layer aero-TiO2 sensor under low-intensity illumination, reaching about 1.23 × 10−4 A W−1 cm−2. Thus, the aero-TiO2 structure demonstrates the practical viability and application potential of this emerging class of materials in advanced sensing technologies. Full article
(This article belongs to the Special Issue State-of-the-Art Electrochemical Reaction Technologies)
Show Figures

Figure 1

36 pages, 6536 KB  
Review
Transmetalation in Cancer Pharmacology
by Mahendiran Dharmasivam and Busra Kaya
Int. J. Mol. Sci. 2025, 26(22), 11008; https://doi.org/10.3390/ijms262211008 - 14 Nov 2025
Viewed by 705
Abstract
Transmetalation, the exchange of metal ions between coordination complexes and biomolecules, has emerged as a powerful design lever in cancer metallopharmacology. Using thiosemicarbazones (TSCs) as a unifying case study, we show how redox-inert carrier states such as zinc(II) or gallium(III) can convert in [...] Read more.
Transmetalation, the exchange of metal ions between coordination complexes and biomolecules, has emerged as a powerful design lever in cancer metallopharmacology. Using thiosemicarbazones (TSCs) as a unifying case study, we show how redox-inert carrier states such as zinc(II) or gallium(III) can convert in situ into redox-active copper(II) or iron(III/II) complexes within acidic, metal-rich lysosomes. This conditional activation localizes reactive oxygen species (ROS) generation and iron deprivation to tumor cells. We critically compare redox-active and redox-inert states, delineating how steric and electronic tuning, backbone rigidity, and sulfur-to-selenium substitution govern exchange hierarchies and kinetics. We further map downstream consequences for metal trafficking, lysosomal membrane permeabilization, apoptosis, and ferroptosis. Beyond TSCs, iron(III)-targeted transmetalation from titanium(IV)-chelator “chemical transferrin mimetics” illustrates a generalizable Trojan horse paradigm. We conclude with translational lessons, including mitigation of hemoprotein oxidation via steric shielding, stealth zinc(II) prodrugs, and dual-chelator architectures and outline biomarker, formulation, and imaging strategies that de-risk clinical development. Collectively, these insights establish transmetalation as a central therapeutic principle. We also highlight open challenges such as quantifying in-cell exchange kinetics, predicting speciation under non-equilibrium conditions, and rationally combining these agents with existing therapies. Full article
Show Figures

Graphical abstract

21 pages, 30182 KB  
Article
Performance and Durability of Biopolymer Blends Containing Modified Metal Oxide Particles
by Giulia Infurna, Andrea Antonino Scamporrino, Elisabetta Morici, Elena Bruno, Giuseppe Pecoraro and Nadka Tz. Dintcheva
Polymers 2025, 17(22), 3000; https://doi.org/10.3390/polym17223000 - 11 Nov 2025
Viewed by 417
Abstract
This study applies circular and sustainable principles to the formulation of biopolymer-based materials using naturally occurring additives. To improve the affinity between the host matrix and additives such as metal oxides, the work involves adding stearic acid-modified zinc oxide (f-ZnO) and [...] Read more.
This study applies circular and sustainable principles to the formulation of biopolymer-based materials using naturally occurring additives. To improve the affinity between the host matrix and additives such as metal oxides, the work involves adding stearic acid-modified zinc oxide (f-ZnO) and sonicated titanium dioxide (s-TiO2) to a polylactic acid and bio-derived polyamide 11 (PLA/PA11 = 70/30 w/w biopolymer blend via melt mixing. To evaluate the impact of the functionalization and sonication on metal oxides (i.e., f-ZnO and s-TiO2) introduced into the PLA/PA11 blend, composites containing unmodified ZnO and TiO2 prepared under the same processing conditions were compared with the modified ones. All of the composites were characterised in terms of their solid-state properties, morphology, melt behaviour, and photo-oxidation resistance. The addition of both f-ZnO and s-TiO2 appears to exert a plasticising effect on the rheological behaviour, in contrast to unmodified ZnO and TiO2. The presence of stearic acid tails on ZnO has been estimated at approximately 4%, whereas sonication reduces the diameter of TiO2 particles by half. In the solid state, both unmodified and modified particles can reinforce the biopolymer matrix, enhancing the Young′s (elastic) modulus. Calorimetry analysis suggests that unmodified and modified metal oxide particles do not influence the glass transition of the PLA phase but affect the melt temperatures of both biopolymeric phases by reducing macromolecular mobility. Morphology analysis shows that the presence of both f-ZnO and s-TiO2 particles does not reduce the size of the PA11 droplets. The f-ZnO particles, which have long stearic tails and are more compatible with the less-polar phase (PLA), are probably located at the interface between the two biopolymeric phases or in the PLA phase. Furthermore, s-TiO2 particles, like TiO2, do not reduce the dimensions of PA11 droplets, suggesting that there is no preferential location of the particles. Due to the presence of both f-ZnO and s-TiO2, an increase in the hydrophobicity of the PLA/PA11 blend has been detected, suggesting enhanced water resistance. The photo-oxidation resistance of the PLA/PA11 blend is significantly reduced by the presence of unmodified metal oxides and even more so by the presence of modified metal oxides. This suggests that metal oxides could be considered photo-sensitive degradant agents for biopolymer blends. Full article
(This article belongs to the Section Biobased and Biodegradable Polymers)
Show Figures

Graphical abstract

23 pages, 6717 KB  
Article
Crystalline Nanoparticles and Their Impact on Electromagnetic Radiation Absorption in Advanced Clay Building Materials
by Jelena Brdarić Kosanović, Berislav Marković, Ivana Miličević, Anamarija Stanković and Dalibor Tatar
Crystals 2025, 15(11), 959; https://doi.org/10.3390/cryst15110959 - 6 Nov 2025
Viewed by 456
Abstract
Given the increasing human exposure to electromagnetic radiation of various frequen-cies, mostly in the microwave range, awareness of potential health problems caused by this radiation has begun to grow. New building materials are being developed and tested to prevent or limit the penetration [...] Read more.
Given the increasing human exposure to electromagnetic radiation of various frequen-cies, mostly in the microwave range, awareness of potential health problems caused by this radiation has begun to grow. New building materials are being developed and tested to prevent or limit the penetration of microwave radiation, especially those frequencies that are used in mobile telephony. In contrast with the majority of the available literature on the investigation of concrete (cement) materials, in this paper, clay composite materials with the addition of nanoparticles of antimony(III)–tin(IV) oxide, zinc ferrite, iron(III) oxide, and two crystal modifications of titanium dioxide (rutile and anatase) were prepared in order to examine their effect on the absorption of electro-magnetic radiation. Nanomaterials are characterized by different physical and chemical methods. Specific surface area (B.E.T.), thermal properties (TGA/DSC), phase composition (PXRD), morphology (SEM), and chemical and mineralogical composition (EDX, and ED–XRF,) were determined. Thermal conductivity of clay composites was tested, and these materials showed a positive effect on the thermal conductivity (λ) of the composite: a reduction of 10–33%. The reflection and transmission coefficients of microwave radiation in the frequency range used in mobile telephony (1.5–4.0 GHz) were determined. From these data, the absolute value of radiation absorption in the materials was calculated. The results showed that the addition of the tested nanomaterials in a mass fraction of 3 to 5 wt.% significantly increases the absorption (reduces the penetration) of microwave radiation. Two nanomaterials, Sb2O3·SnO2 and TiO2 (rutile), have proven to be particularly effective: the reduction in transmission is 30–50%. The results of the test were correlated with the crystal structures of the examined nanomaterials. The inclusion of titanium dioxide and antimony-doped tin oxide into the clay led to a significant enhancement in microwave electromagnetic radiation absorption, which can be attributed to their interaction with the dielectric and conductive phases present in clay-based building materials. Full article
(This article belongs to the Section Inorganic Crystalline Materials)
Show Figures

Figure 1

12 pages, 3075 KB  
Article
Impact of Intramedullary Implants on Metallic Element Homeostasis in Children with Forearm Fractures
by Kacper Sowa, Anna Danielewicz, Magdalena Wójciak, Jan Sawicki, Sławomir Dresler, Katarzyna Warda, Michał Latalski and Ireneusz Sowa
J. Clin. Med. 2025, 14(21), 7829; https://doi.org/10.3390/jcm14217829 - 4 Nov 2025
Viewed by 392
Abstract
Background/Objectives: Childhood is marked by frequent musculoskeletal injuries, with fractures representing a major cause of pediatric trauma admissions. Unstable long-bone fractures often require surgical stabilization, commonly achieved using elastic stable intramedullary nailing (ESIN). Although this method ensures effective fixation and early mobilization, [...] Read more.
Background/Objectives: Childhood is marked by frequent musculoskeletal injuries, with fractures representing a major cause of pediatric trauma admissions. Unstable long-bone fractures often require surgical stabilization, commonly achieved using elastic stable intramedullary nailing (ESIN). Although this method ensures effective fixation and early mobilization, concerns remain regarding potential metal ion release in growing children. This study aimed to assess changes in calcium, magnesium, copper, zinc, titanium, and aluminum concentrations in blood and material from the medullary cavity of forearm fractures following intramedullary fixation. Methods: A prospective study was conducted on 40 patients aged 4–15 years treated with ESIN at the University Children’s Hospital in Lublin. Peripheral blood and material from the medullary cavity were collected before implantation and at implant removal. Elemental concentrations were determined using high-resolution ICP-OES, and statistical analyses included paired comparisons, delta values, and multivariate methods. Results: No significant systemic changes were found for calcium, magnesium, copper, zinc, or aluminum. A modest but significant increase in blood titanium levels was observed after treatment (p = 0.0075), especially in patients with two rods. Multivariate analysis confirmed overall stability of elemental profiles, with titanium contributing most strongly to post-treatment variation. Conclusions: Intramedullary titanium fixation in children does not significantly disrupt systemic mineral homeostasis. The slight increase in circulating titanium reflects implant exposure rather than toxicity, supporting the safety of ESIN, although continued monitoring of metallic elements may be warranted. Full article
(This article belongs to the Special Issue New Progress in Pediatric Orthopedics and Pediatric Spine Surgery)
Show Figures

Figure 1

19 pages, 3064 KB  
Article
Time-Dependent Hydrothermal Synthesis of TiO2 in the Presence of Zn2+: Effects on Photoconductivity
by Tilemachos Georgakopoulos, Georgios Samourgkanidis, Nadia Todorova, Christos Trapalis and Katerina Pomoni
Nanomanufacturing 2025, 5(4), 17; https://doi.org/10.3390/nanomanufacturing5040017 - 3 Nov 2025
Viewed by 504
Abstract
Titanium dioxide nanoparticles were synthesized via hydrothermal treatment of tetrabutyl titanate in sulfuric acid, with controlled reaction times (10 h and 24 h) and zinc sulfate as a modifier. XRD confirmed exclusive formation of the anatase phase, with longer reaction times promoting crystallite [...] Read more.
Titanium dioxide nanoparticles were synthesized via hydrothermal treatment of tetrabutyl titanate in sulfuric acid, with controlled reaction times (10 h and 24 h) and zinc sulfate as a modifier. XRD confirmed exclusive formation of the anatase phase, with longer reaction times promoting crystallite growth. SEM and BET analyses showed that introducing Zn during synthesis suppressed agglomeration, decreased the particle size, and modified porosity while maintaining the mesoporous nature of all samples. UV–Vis diffuse reflectance spectroscopy showed a band gap near 3.2 eV, which was unaffected by Zn content or morphology. Photoconductivity studies showed a several-orders-of-magnitude increase in conductivity under vacuum conditions, especially in samples heat-treated for 24 h, due to the generation of oxygen vacancies and Ti3+ states that prolong the carrier lifetime. In particular, the TS24Z8 sample exhibited a photoconductivity enhancement of five orders of magnitude relative to its dark conductivity and nearly 30 times higher than that of the commercial P25 benchmark. In contrast, in air, photoconductivity remained low because of strong surface recombination with adsorbed oxygen. These results emphasize the critical influence of hydrothermal duration and zinc incorporation on the defect structure and electronic response of TiO2, offering insights for improved photocatalytic and optoelectronic applications. Full article
Show Figures

Figure 1

17 pages, 3897 KB  
Article
Physical–Mechanical and Corrosion Resistance Characterization of a Water-Based Epoxy Primer Applied to Galvanized Steel
by Rosalia Galiotto, Solidea Zanetti, Rocco Traini and Luca Pezzato
Metals 2025, 15(11), 1196; https://doi.org/10.3390/met15111196 - 27 Oct 2025
Viewed by 453
Abstract
This study presents a comprehensive characterization of a commercial water-based epoxy primer applied to galvanized steel sheets, which are commonly used in building and construction applications. The investigation focused on evaluating the primer’s adhesion, mechanical strength, chemical resistance, and corrosion protection under various [...] Read more.
This study presents a comprehensive characterization of a commercial water-based epoxy primer applied to galvanized steel sheets, which are commonly used in building and construction applications. The investigation focused on evaluating the primer’s adhesion, mechanical strength, chemical resistance, and corrosion protection under various environmental and thermal conditions. Particular attention was given to the effect of substrate sanding prior to application, which was found to influence the coating thickness and surface adaptation. The results demonstrated that the primer provides effective barrier properties and good adhesion to the metal surface, with average pull-off strengths remaining consistent across aged and unaged samples. Electrochemical impedance spectroscopy (EIS) confirmed high polarization resistance values, indicating strong corrosion protection, while SEM-EDS analysis revealed the presence of zinc phosphate and titanium dioxide fillers contributing to both passive and active inhibition mechanisms. However, the primer exhibited sensitivity to ultraviolet (UV) radiation, as evidenced by FT-IR spectra showing increased absorbance in the hydroxyl and carbonyl regions after prolonged exposure. A preliminary estimation of the photodegradation rate, based on FT-IR data at the carbonyl peak (1739 cm−1), yielded a value of approximately 2 × 10−6 absorbance units per hour between 3000 h and 5000 h of UV exposure. This value suggests a gradual degradation process, although further quantitative validation is required. Additional limitations were observed, including variability in coating thickness due to manual application and localized blistering at cut edges under salt spray conditions. These findings contribute to a deeper understanding of the primer’s behavior and suggest improvements for its practical use, such as the application of a protective topcoat and optimization of the coating process. Full article
(This article belongs to the Special Issue Surface Treatments and Coating of Metallic Materials)
Show Figures

Figure 1

12 pages, 13022 KB  
Article
Ti-Al-V/Zn-Al-Cu Composite Materials Prepared by Zinc Melt Infiltration Technology
by Veronika Balejová, Alena Michalcová, Martina Bašistová, Petr Lichý and Dalibor Vojtěch
Materials 2025, 18(20), 4690; https://doi.org/10.3390/ma18204690 - 13 Oct 2025
Viewed by 540
Abstract
This work deals with the preparation and characterization of TiAlV/ZnAlCu composite materials. The aim is to create a model for biomaterial with good biocompatibility and acceptable mechanical properties. Infiltrating zinc into the reinforcement made of the titanium alloy could significantly improve the osseointegration [...] Read more.
This work deals with the preparation and characterization of TiAlV/ZnAlCu composite materials. The aim is to create a model for biomaterial with good biocompatibility and acceptable mechanical properties. Infiltrating zinc into the reinforcement made of the titanium alloy could significantly improve the osseointegration of the bioimplant made from this material. The investigated reinforcements of three different geometries made from Ti-6Al-4V prepared by the SLM method (selective laser melting) were infiltrated with molten zinc or the Zn-based alloy. Two infiltration approaches were used—suction of the melt using a vacuum pump and centrifugal casting. By these procedures, different infiltration rates were achieved. Furthermore, the mechanical properties of the prepared composite materials were characterized by compression tests. The results were compared with the mechanical properties of the Ti-6Al-4V alloy reinforcement. Full article
(This article belongs to the Special Issue Advances in Implant Materials and Biocompatibility)
Show Figures

Figure 1

Back to TopTop