Sign in to use this feature.

Years

Between: -

Subjects

remove_circle_outline
remove_circle_outline
remove_circle_outline
remove_circle_outline
remove_circle_outline
remove_circle_outline
remove_circle_outline

Journals

Article Types

Countries / Regions

Search Results (48)

Search Parameters:
Keywords = wireless phase synchronization

Order results
Result details
Results per page
Select all
Export citation of selected articles as:
20 pages, 1252 KB  
Article
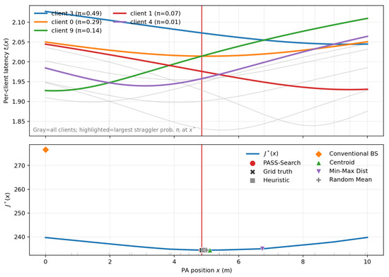
Tail-Latency-Aware Federated Learning with Pinching Antenna: Latency, Participation, and Placement
by Yushen Lin and Zhiguo Ding
Entropy 2026, 28(3), 341; https://doi.org/10.3390/e28030341 - 18 Mar 2026
Viewed by 122
Abstract
Straggler synchronization is a dominant wall-clock bottleneck in synchronous wireless federated learning (FL). Under non-IID data, however, aggressively sampling only fast clients may significantly slow convergence due to statistical heterogeneity. This paper studies PASS-enabled FL, where a radiating pinching antenna (PA) can be [...] Read more.
Straggler synchronization is a dominant wall-clock bottleneck in synchronous wireless federated learning (FL). Under non-IID data, however, aggressively sampling only fast clients may significantly slow convergence due to statistical heterogeneity. This paper studies PASS-enabled FL, where a radiating pinching antenna (PA) can be activated at an arbitrary position along a dielectric waveguide to reshape uplink latencies. We consider a joint optimization of PA placement and client participation to minimize a proxy for time-to-accuracy, coupling the exact expected maximum round latency via order statistics with a heterogeneity-aware statistical-efficiency proxy. We derive first-order optimality conditions that reveal an explicit tail-latency premium in the KKT recursion, quantifying how latency gaps are amplified by maximum-order-statistic synchronization. Under a latency-class structure, we obtain a within-class square-root sampling law and establish a two-class phase transition where slow-class participation collapses under an explicit heterogeneity-threshold condition as the per-round sample size grows. For PA placement, we prove a piecewise envelope-derivative characterization and provide an exact breakpoint-and-root candidate-enumeration procedure. Simulation results validate the structural findings and show that PASS enables more eligible participation, yielding higher wall-clock accuracy. Full article
Show Figures

Figure 1

18 pages, 1030 KB  
Article
Effects of NMES Combined with Resistance Training Using Underwater Surface EMG Sensors on Neuromuscular Activation of Breaststroke Technique in Breaststroke Athletes: Analysis of Non-Negative Matrix Muscle Synergy
by Yaohao Guo, Tingyan Gao and Bin Kong
Sensors 2026, 26(2), 671; https://doi.org/10.3390/s26020671 - 20 Jan 2026
Viewed by 524
Abstract
Background: Neuromuscular electrical stimulation (NMES) is an effective exogenous neuromuscular activation method widely used in sports training and rehabilitation. However, existing research primarily focuses on land-based sports or single-joint movements, with limited in-depth exploration of its intervention effects and underlying neuromuscular control mechanisms [...] Read more.
Background: Neuromuscular electrical stimulation (NMES) is an effective exogenous neuromuscular activation method widely used in sports training and rehabilitation. However, existing research primarily focuses on land-based sports or single-joint movements, with limited in-depth exploration of its intervention effects and underlying neuromuscular control mechanisms for complex, multi-joint coordinated aquatic activities like breaststroke swimming. This study aimed to investigate the effects of NMES combined with traditional resistance training on neuromuscular function during sport-specific technical movements in breaststroke athletes. Methods: A randomized controlled trial was conducted with 30 national-level or above breaststroke athletes assigned to either an experimental group (NMES combined with traditional squat resistance training) or a control group (traditional squat resistance training only) for an 8-week intervention. A specialized fully waterproof wireless electromyography (EMG) sensor system (Mini Wave Infinity Waterproof) was used to synchronously collect surface EMG signals from 10 lower limb and trunk muscles during actual swimming, combined with high-speed video for movement phase segmentation. Changes in lower limb explosive power were assessed using a force plate. Non-negative matrix factorization (NMF) muscle synergy analysis was employed to compare changes in muscle activation levels (iEMG, RMS) and synergy patterns (spatial structure, temporal activation coefficients) across different phases of the breaststroke kick before and after the intervention. Results: Compared to the control group, the experimental group demonstrated significantly greater improvements in single-leg jump height (Δ = 0.06 m vs. 0.03 m) and double-leg jump height (Δ = 0.07 m vs. 0.03 m). Time-domain EMG analysis revealed that the experimental group showed more significant increases in iEMG values for the adductor longus, adductor magnus, and gastrocnemius lateralis during the leg-retraction and leg-flipping phases (p < 0.05). During the pedal-clamp phase, the experimental group exhibited significantly reduced activation of the tibialis anterior alongside enhanced activation of the gastrocnemius. Muscle synergy analysis indicated that post-intervention, the experimental group showed a significant increase in the weighting of the vastus medialis and biceps femoris within synergy module 4 (SYN4, related to propulsion and posture) (p < 0.05), a significant increase in rectus abdominis weighting within synergy module 3 (SYN3, p = 0.033), and a significant shortening of the activation duration of synergy module 2 (SYN2, p = 0.007). Conclusions: NMES combined with traditional resistance training significantly enhances land-based explosive power in breaststroke athletes and specifically optimizes neuromuscular control strategies during the underwater breaststroke kick. This optimization is characterized by improved activation efficiency of key muscle groups, more economical coordination of antagonist muscles, and adaptive remodeling of inter-muscle synergy patterns in specific movement phases. This study provides novel evidence supporting the application of NMES in swimming-specific strength training, spanning from macroscopic performance to microscopic neural control. Full article
(This article belongs to the Special Issue Wearable and Portable Devices for Endurance Sports)
Show Figures

Figure 1

14 pages, 2795 KB  
Communication
Transmission Characteristics of 80 Gbit/s Nyquist-DWDM System in Atmospheric Turbulence
by Silun Du, Qiaochu Yang, Tuo Chen and Tianshu Wang
Sensors 2025, 25(24), 7598; https://doi.org/10.3390/s25247598 - 15 Dec 2025
Viewed by 364
Abstract
We experimentally demonstrate an 80 Gbit/s Nyquist-dense wavelength division multiplexed (Nyquist-DWDM) transmission system operating in a simulated atmospheric turbulence channel. The system utilizes eight wavelength-tunable lasers with 100 GHz spacing, modulated by cascaded Mach–Zehnder modulators, to generate phase-locked Nyquist pulse sequences with a [...] Read more.
We experimentally demonstrate an 80 Gbit/s Nyquist-dense wavelength division multiplexed (Nyquist-DWDM) transmission system operating in a simulated atmospheric turbulence channel. The system utilizes eight wavelength-tunable lasers with 100 GHz spacing, modulated by cascaded Mach–Zehnder modulators, to generate phase-locked Nyquist pulse sequences with a 10 GHz repetition rate and a temporal width of 66.7 ps. Each channel is synchronously modulated with a 10 Gbit/s pseudo-random bit sequence (PRBS) and transmitted through controlled weak turbulence conditions generated by a temperature-gradient convection chamber. Experimental measurements reveal that, as the turbulence intensity increases from Cn2=1.01×1016 to 5.71×1016 m2/3, the signal-to-noise ratio (SNR) of the edge channel (C29) and central channel (C33) decreases by approximately 6.5 dB while maintaining stable Nyquist waveform profiles and inter-channel orthogonality. At a forward-error-correction (FEC) threshold of 3.8×103, the minimum receiver sensitivity is −17.66 dBm, corresponding to power penalties below 5 dB relative to the back-to-back condition. The consistent SNR difference (<2 dB) between adjacent channels confirms uniform power distribution and low inter-channel crosstalk under turbulence. These findings verify that Nyquist pulse shaping substantially mitigates phase distortion and scintillation effects, demonstrating the feasibility of high-capacity DWDM free-space optical (FSO) systems with enhanced spectral efficiency and turbulence resilience. The proposed configuration provides a scalable foundation for future multi-wavelength FSO links and hybrid fiber-wireless optical networks. Full article
(This article belongs to the Special Issue Sensing Technologies and Optical Communication)
Show Figures

Figure 1

19 pages, 4859 KB  
Article
A Dual-Mode Adaptive Bandwidth PLL for Improved Lock Performance
by Thi Viet Ha Nguyen and Cong-Kha Pham
Electronics 2025, 14(20), 4008; https://doi.org/10.3390/electronics14204008 - 13 Oct 2025
Cited by 1 | Viewed by 3524
Abstract
This paper proposed an adaptive bandwidth Phase-Locked Loop (PLL) that integrates integer-N and fractional-N switching for energy-efficient RF synthesis in IoT and mobile applications. The architecture exploits wide-bandwidth integer-N mode for rapid lock acquisition, then seamlessly transitions to narrow-bandwidth fractional-N mode for high-resolution [...] Read more.
This paper proposed an adaptive bandwidth Phase-Locked Loop (PLL) that integrates integer-N and fractional-N switching for energy-efficient RF synthesis in IoT and mobile applications. The architecture exploits wide-bandwidth integer-N mode for rapid lock acquisition, then seamlessly transitions to narrow-bandwidth fractional-N mode for high-resolution synthesis and noise optimization. The architecture features a bandwidth-reconfigurable loop filter with intelligent switching control that monitors phase error dynamics. A novel adaptive digital noise filter mitigates ΔΣ quantization noise, replacing conventional synchronous delay lines. The multi-loop structure incorporates a high-resolution digital phase detector to enhance frequency accuracy and minimize jitter across both operating modes. With 180 nm CMOS technology, the PLL consumes 13.2 mW, while achieving 119 dBc/Hz in-band phase noise and 1 psrms integrated jitter. With an operating frequency range at 2.9–3.2 GHz from a 1.8 V supply, the circuit achieves a worst case fractional spur of −62.7 dBc, which corresponds to a figure of merit (FOM) of −228.8 dB. Lock time improvements of 70% are demonstrated compared to single-mode implementations, making it suitable for high-precision, low-power wireless communication systems requiring agile frequency synthesis. Full article
Show Figures

Figure 1

13 pages, 3942 KB  
Article
Design of a W-Band Low-Voltage TWT Utilizing a Spoof Surface Plasmon Polariton Slow-Wave Structure and Dual-Sheet Beam
by Gangxiong Wu, Ruirui Jiang and Jin Shi
Sensors 2025, 25(18), 5641; https://doi.org/10.3390/s25185641 - 10 Sep 2025
Viewed by 3519
Abstract
This paper presents a W-band low-voltage traveling-wave tube (TWT) incorporating a spoof surface plasmon polariton (SSPP) slow-wave structure (SWS) and a dual-sheet beam. The SSPP-based SWS adopts a periodic double-F-groove configuration, which provides strong field localization, increases the interaction impedance, and reduces the [...] Read more.
This paper presents a W-band low-voltage traveling-wave tube (TWT) incorporating a spoof surface plasmon polariton (SSPP) slow-wave structure (SWS) and a dual-sheet beam. The SSPP-based SWS adopts a periodic double-F-groove configuration, which provides strong field localization, increases the interaction impedance, and reduces the phase velocity, thereby enabling a low synchronization voltage. Owing to its symmetric open geometry, the SWS naturally forms a dual-sheet beam tunnel, which enhances the effective beam current without increasing the aperture size. Eigenmode calculations indicate that, within the 92–97 GHz band, the normalized phase velocity is between 0.198 and 0.208, and the interaction impedance exceeds 2.65 Ω. Moreover, an energy-coupling structure was developed to ensure efficient signal transmission. Three-dimensional particle-in-cell (PIC) simulations predict a peak output power of 366.1 W and an electronic efficiency of 6.15% at 95.5 GHz for a 2 × 250 mA dual-sheet beam at 11.9 kV, with stable amplification and without self-oscillation observed. The proposed low-voltage, high-efficiency W-band TWT offers a manufacturable and easily integrable solution for next-generation millimeter-wave systems, supporting high-capacity wireless backhaul, airborne communication, radar imaging, and sensing platforms where compactness and reduced power-supply demands are critical. Full article
(This article belongs to the Special Issue Recent Development of Millimeter-Wave Technologies)
Show Figures

Figure 1

21 pages, 951 KB  
Article
Bit Synchronization-Assisted Frequency Correction in Low-SNR Wireless Systems
by Junfeng Gao, Peiji Yang, Shaoxiang Chen, Zhenghua Luo, Yilin Zhang and Tao Liu
Electronics 2025, 14(12), 2319; https://doi.org/10.3390/electronics14122319 - 6 Jun 2025
Viewed by 1210
Abstract
In wireless communication systems, traditional frequency synchronization methods struggle to effectively track carrier frequency in low signal-to-noise ratio (SNR) environments, leading to degraded demodulation performance and severely impacting the stability and reliability of communication systems. To address this challenge, an innovative frequency synchronization [...] Read more.
In wireless communication systems, traditional frequency synchronization methods struggle to effectively track carrier frequency in low signal-to-noise ratio (SNR) environments, leading to degraded demodulation performance and severely impacting the stability and reliability of communication systems. To address this challenge, an innovative frequency synchronization framework is introduced, enhancing frequency synchronization accuracy and robustness in low-SNR environments through bit synchronization techniques. Specifically, the approach constructs a “bit synchronization-frequency synchronization” joint correction mechanism, where clock offset information extracted during the bit synchronization process is utilized to estimate frequency offset. This method enables an indirect measurement and compensation of carrier frequency offset, forming a hierarchical error compensation system. Furthermore, to overcome the limited convergence speed of the classical Gardner algorithm under significant phase offset conditions, an improved error feedback structure is proposed, accelerating bit synchronization convergence and reducing timing synchronization errors, thereby enhancing overall system performance. The effectiveness of the proposed method is validated through theoretical analysis and simulation experiments. Simulation results demonstrate that, compared to conventional frequency synchronization schemes, the proposed method achieves higher frequency correction accuracy in low-SNR scenarios, thereby improving the robustness and anti-interference capability of wireless communication systems in complex environments. Full article
(This article belongs to the Section Microwave and Wireless Communications)
Show Figures

Figure 1

16 pages, 1825 KB  
Article
A Time Synchronization Hop-Count-Control Algorithm Based on Synchronization Error Convergence Probability Estimation
by Haibo Duan, Fanrong Shi, Sijie Wang, Qiushi Cui and Min Zeng
Electronics 2025, 14(10), 2086; https://doi.org/10.3390/electronics14102086 - 21 May 2025
Cited by 1 | Viewed by 900
Abstract
High-precision time synchronization is regarded as the foundation for ensuring the stable operation of microgrids and for the coordinated sensing, communication, and computing among network devices. In multi-hop wireless sensor networks, it is observed that both the accumulation of synchronization errors and the [...] Read more.
High-precision time synchronization is regarded as the foundation for ensuring the stable operation of microgrids and for the coordinated sensing, communication, and computing among network devices. In multi-hop wireless sensor networks, it is observed that both the accumulation of synchronization errors and the associated communication overhead are increased with the number of hops; however, in single-hop mode, it is found that the rate of error convergence is insufficient to satisfy the requirements for rapid synchronization. To address these challenges, a hop-control time synchronization algorithm based on the estimation of synchronization error convergence probability is proposed. In the proposed method, the convergence probability of the synchronization error at each node and its rate of change are estimated online, so that the synchronization hop count can be dynamically adjusted: during the synchronization establishment phase, a larger hop count is employed to accelerate error convergence; during the synchronization maintenance phase, the minimal hop count is utilized to maintain long-term high-precision synchronization, thereby ensuring synchronization accuracy and significantly reducing communication overhead. MATLAB simulation results are reported to have demonstrated that the proposed algorithm exhibits marked advantages in convergence speed, synchronization accuracy, and energy consumption as compared to fixed-hop-count and pure single-hop schemes, thereby providing an effective solution for efficient time synchronization in multi-hop wireless sensor networks. Full article
(This article belongs to the Special Issue Real-Time Monitoring and Intelligent Control for a Microgrid)
Show Figures

Figure 1

21 pages, 6467 KB  
Article
Research on High-Precision Time–Frequency Phase-Synchronization Transmission Technology for Free-Space Optical Communication Systems on Mobile Platforms
by Fengrui Liu, Ning Sun, Jia Wei, Yingkai Zhao, Xingfa Wang, Weijie Zhang and Jianguo Liu
Photonics 2025, 12(5), 467; https://doi.org/10.3390/photonics12050467 - 10 May 2025
Viewed by 1651
Abstract
This paper proposes a free-space time–frequency phase (TFP)-synchronization transmission architecture based on optoelectronic hybrid technology, addressing the high-precision TFP synchronization and high-speed communication requirements between mobile platforms in distributed collaborative positioning and other applications. The proposed scheme utilizes symmetric free-space optical (FSO) links [...] Read more.
This paper proposes a free-space time–frequency phase (TFP)-synchronization transmission architecture based on optoelectronic hybrid technology, addressing the high-precision TFP synchronization and high-speed communication requirements between mobile platforms in distributed collaborative positioning and other applications. The proposed scheme utilizes symmetric free-space optical (FSO) links to effectively suppress drift errors, integrating the high bandwidth of optical links and the high stability of microwave links, enabling one-to-many networking synchronization between mobile platforms. The system adopts optical wireless transmission technology based on pseudo-code regenerative ranging, integrating 1.5 Gbps high-speed data transmission with high-precision TFP-synchronization functionality. An experimental system consisting of a main station and two auxiliary stations was established in an outdoor mobile platform scenario. Experimental results show that while achieving high-speed communication, the frequency synchronization precision is 0.0131 ppb, frequency stability is in the order of 10−10@1 s, and phase synchronization precision is approximately 3.56°. The system achieves time synchronization precision at the picosecond level. The proposed technology is highly suitable for high-precision synchronization communication in scenarios lacking fiber-optic infrastructure, effectively fulfilling rigorous requirements in mobile platform applications such as distributed collaborative positioning. Full article
Show Figures

Figure 1

19 pages, 4401 KB  
Article
An Integrated RF Sensor Design for Anchor-Free Collaborative Localization in GNSS-Denied Environments
by Di Bai, Xinran Li, Lingyun Zhou, Chunyong Yang, Yongqiang Cui, Liyun Bai and Yunhao Chen
Electronics 2025, 14(8), 1667; https://doi.org/10.3390/electronics14081667 - 20 Apr 2025
Viewed by 1007
Abstract
To address the challenge of collaborative nodes being unable to accurately perceive each other’s positions in global navigation satellite system (GNSS)-denied environments (such as after hostile interference or in urban canyons), we propose a GNSS-independent collaborative positioning radio frequency (RF) sensor. This sensor [...] Read more.
To address the challenge of collaborative nodes being unable to accurately perceive each other’s positions in global navigation satellite system (GNSS)-denied environments (such as after hostile interference or in urban canyons), we propose a GNSS-independent collaborative positioning radio frequency (RF) sensor. This sensor estimates inter-node distances and orientations using wireless measurements between nodes, without requiring pre-deployed anchor points. First, we designed a low-nanosecond latency ranging logic circuit on field-programmable gate array (FPGA) hardware, enabling relative distance estimation between nodes via a low-latency collaborative ranging (LLCR) algorithm without synchronization. Additionally, a synthetic aperture rotating antenna system was built to construct an echo space energy distribution matrix, based on dynamic–static dual-channel phase differences for high-precision, unambiguous azimuth measurement, followed by angle and distance data integration for localization. Then, a novel RF sensor hardware system was designed that was lightweight, low in cost, and high in performance. Finally, two generations of prototype models were developed and tested in both an anechoic chamber and mounted on unmanned vehicles outdoors in fields. The results demonstrate that the proposed sensor can achieve high-precision relative position estimation between collaborative nodes in the absence of GNSS, with a positioning error of within 0.4 m, indicating that it is suitable for mounting on unmanned vehicles and other autonomous systems for collaborative positioning. Full article
Show Figures

Figure 1

22 pages, 5903 KB  
Article
FPGA-Based Manchester Decoder for IEEE 802.15.7 Visible Light Communications
by Stefano Ricci, Stefano Caputo and Lorenzo Mucchi
Electronics 2025, 14(1), 96; https://doi.org/10.3390/electronics14010096 - 29 Dec 2024
Cited by 1 | Viewed by 2413
Abstract
Visible Light Communication (VLC) is a cutting-edge transmission technique where data is sent by modulating light intensity. Manchester On–Off Keying (OOK) is among the most used modulation techniques in VLC and is normed by IEEE 802.15.7 standard for wireless networks. Various Manchester decoder [...] Read more.
Visible Light Communication (VLC) is a cutting-edge transmission technique where data is sent by modulating light intensity. Manchester On–Off Keying (OOK) is among the most used modulation techniques in VLC and is normed by IEEE 802.15.7 standard for wireless networks. Various Manchester decoder schemes are documented in the literature, often leveraging minimal two-level analog-to-digital converters followed by straightforward digital logic. These methods often compromise performance for simplicity. However, the VLC applications in fields like automotive and/or aerospace require the maximum performance in terms of bit error rate (BER) with respect to Signal-to-Noise Ratio (SNR), together with a real-time low-latency implementation. In this work, we introduce a high-performance Manchester decoder and detail its implementation in a Field Programmable Gate Array (FPGA). The decoder operates by acquiring a fully resolved signal (12-bit resolution) and by calculating the phase of the transmitted bit. Additionally, the proposed decoder achieves and maintains synchronization with the incoming signal, tolerating frequency shifts and jitter up to 1%. The Manchester decoder was tested in a VLC system with automotive-certified headlamps, realizing an IEEE 802.15.7-compliant link at 100 kb/s. The proposed decoder ensures a BER below 10−2 for SNR > −12 dB and, compared to a standard decoder, achieves the same BER when the input signal has an SNR of 10 dB lower. Full article
(This article belongs to the Special Issue System-on-Chip (SoC) and Field-Programmable Gate Array (FPGA) Design)
Show Figures

Figure 1

18 pages, 608 KB  
Article
Blind Cyclostationary-Based Carrier Number and Spacing Estimation for Carrier-Aggregated Direct Sequence Spread Spectrum Cellular Signals
by Ali Görçin
Electronics 2024, 13(18), 3743; https://doi.org/10.3390/electronics13183743 - 20 Sep 2024
Cited by 1 | Viewed by 1613
Abstract
Automatic and blind parameter estimation based on the inherent features of wireless signals is a major research area due to the fact that these techniques lead to the simplification of receivers, especially in terms of coarse synchronization, and more importantly reduce the signaling [...] Read more.
Automatic and blind parameter estimation based on the inherent features of wireless signals is a major research area due to the fact that these techniques lead to the simplification of receivers, especially in terms of coarse synchronization, and more importantly reduce the signaling load at the control channels. Thus, in the literature, many techniques are proposed to estimate a vast set of parameters including modulation types and orders, data and chip rates, phase and frequency offsets, and so on. In this paper, a cyclostationary feature detection (CFD) based method is proposed to estimate the carrier numbers and carrier spacing of carrier-aggregated direct sequence spread spectrum (DSSS) cellular signals blindly. The particular chip rate of the signal is also estimated through the process jointly. The proposed CFD-based method unearths the inhered and hidden second-order periodicities of carrier-aggregated DSSS signals, particularly targeting repeated pseudorandom noise sequences of users over the carriers. Throughout the paper, after the proposed method is formulated, the measurement setup that is developed to collect the data for the validation of the method is introduced. The measurement results are post-processed for performance analysis purposes. To that end, the method is investigated in terms of signal-to-noise ratio (SNR) values, different channel conditions, and measurement durations. Furthermore, the performance of the proposed method is compared with that of energy detection. The measurement results indicate superior performance of the proposed method under significant wireless channel impairments and in low-SNR regions, e.g., for 0 dB the proposed method provides more than 0.9 detection performance for the case of 0.1 false alarm rate, while the performance of ED is 0.6 under the same wireless channel impairments. The raw outputs of the method can be utilized to train a convolutional neural network to eliminate the statistical estimation process in future work. Full article
Show Figures

Figure 1

24 pages, 19003 KB  
Article
Three-Phase Single-Stage AC-DC Converter Using Series–Series Compensation Circuit in Inductive-Power-Transfer-Based Small Wind Power Generation System
by Yu-jin Moon, Beom-su Park, Sang-kyu Kim, Eun-soo Kim, Jong-seob Won, Sung-soo Kang and Jun-young Kim
Appl. Sci. 2024, 14(17), 7769; https://doi.org/10.3390/app14177769 - 3 Sep 2024
Cited by 1 | Viewed by 2499
Abstract
In this paper, a three-phase single-stage AC-DC converter for an IPT-based small wind power generation system (WPGS) with an S-S compensation circuit is proposed. It applies a three-phase single-stage AC-DC converter to improve the input power factor (PF), efficiency, and reliability in small [...] Read more.
In this paper, a three-phase single-stage AC-DC converter for an IPT-based small wind power generation system (WPGS) with an S-S compensation circuit is proposed. It applies a three-phase single-stage AC-DC converter to improve the input power factor (PF), efficiency, and reliability in small WPGSs. Also, inductive power transfer (IPT) was applied to compensate for brush wear in the nacelle of small and medium-sized wind turbines while ensuring electrical safety. In conditions of the three-phase Permanent Magnet Synchronous Generator (PMSG) voltage (80~260 Vrms) for the wind turbine and the load (150~1000 W), it was verified that the desired output voltage below 3% can be controlled through the fixed link voltage (VLink) control without wireless communication. A 1 kW prototype was built and tested to demonstrate its applicability to the rotation of small and medium-sized wind turbine nacelles instead of brushes and slip rings. Full article
(This article belongs to the Special Issue Wireless Power Transfer Systems)
Show Figures

Figure 1

24 pages, 6785 KB  
Article
Hybrid PVP/Battery/Fuel Cell Wireless Charging Stations Using High-Frequency Optimized Inverter Technology for Electric Vehicles
by Gaith Baccouche, Mohamed Haikel Chehab, Chokri Ben Salah, Mehdi Tlija and Abdelhamid Rabhi
Energies 2024, 17(14), 3470; https://doi.org/10.3390/en17143470 - 15 Jul 2024
Cited by 2 | Viewed by 2981
Abstract
The design and integration of intelligent energy management systems in hybrid electric vehicle (EV) charging stations, leveraging industry 4.0 and renewable energy sources, is crucial for advancing sustainability, efficiency, and technological development. The innovative hybrid EV charging station described in this study uses [...] Read more.
The design and integration of intelligent energy management systems in hybrid electric vehicle (EV) charging stations, leveraging industry 4.0 and renewable energy sources, is crucial for advancing sustainability, efficiency, and technological development. The innovative hybrid EV charging station described in this study uses a combination of fuel cells, batteries, and solar panels that run at 14 amps a piece at 240 volts. The system consists of five essential components that work together to transfer power wirelessly: an EV battery bank, a boost converter, an HF inverter, transfer coils, and a power supply. Two crucial phases make up the optimization process. In phase 1, the boost converter’s maximum power point is tracked and optimized to generate the most power possible by varying the duty cycle between 10% and 90%. In phase 2, the HF uses a class ϕ2 inverter at 30 MHz to synchronize with the resonant frequency of wireless power transfer coils. Zero-voltage switching is used by a digital signal processor card to carry out control for effective operations. By utilizing hybrid sources to optimize power transmission, this design improves the sustainability of EV charging options. Full article
Show Figures

Figure 1

16 pages, 5783 KB  
Article
Wireless Power Transfer System Model Reduction with Split Frequency Matching
by Ke Wang, Qingyu Wu, Jing Peng and Hongchang Li
Electronics 2024, 13(11), 2160; https://doi.org/10.3390/electronics13112160 - 1 Jun 2024
Cited by 2 | Viewed by 1836
Abstract
Reduced-order dynamic models of wireless power transfer (WPT) systems are desired to simplify the analysis and design of power control, phase synchronization, and maximum efficiency tracking. The reduced-order dynamic phasor model is a good choice because of its straightforward physical meaning and concise [...] Read more.
Reduced-order dynamic models of wireless power transfer (WPT) systems are desired to simplify the analysis and design of power control, phase synchronization, and maximum efficiency tracking. The reduced-order dynamic phasor model is a good choice because of its straightforward physical meaning and concise mathematical formula. However, the model relies on the assumption of loose coupling and loses accuracy when the coupling becomes stronger. In this paper, a model reduction method with split frequency matching is proposed to improve model accuracy under relatively strong coupling conditions, which is suitable for most short-distance WPT applications, such as wireless electrical vehicle charging. Split frequency matching is achieved through a pair of conjugate equivalent mutual inductances, which are derived from the asymmetry characteristics of the full-order dynamic phasor model in the positive and negative frequency domains. The proposed model retains the advantages of the existing model while significantly improving the accuracy under strong coupling conditions. Its characteristics are verified by comparing the experimental results and model predictions under both large step changes and small-signal perturbations. Full article
(This article belongs to the Special Issue Wireless Power Transfer Technology and Its Applications)
Show Figures

Figure 1

19 pages, 5788 KB  
Article
Mutual Inductance Identification and Bilateral Cooperation Control Strategy for MCR-BE System
by Ke Li, Yuanmeng Liu, Xiaodong Sun and Xiang Tian
World Electr. Veh. J. 2024, 15(5), 196; https://doi.org/10.3390/wevj15050196 - 2 May 2024
Viewed by 1702
Abstract
Considering that the excitation method of an electric excitation synchronous motor has the disadvantages of the brush and slip ring, this article proposes a new brushless excitation system, which includes two parts: a wireless charging system and a motor. To meet the requirements [...] Read more.
Considering that the excitation method of an electric excitation synchronous motor has the disadvantages of the brush and slip ring, this article proposes a new brushless excitation system, which includes two parts: a wireless charging system and a motor. To meet the requirements of maximum transmission efficiency and constant voltage output of the system, a bilateral cooperation control strategy is proposed. For the strategy, the buck converter in the receiving side of the system can maintain maximum transmission efficiency through impedance matching, while the inverter in the transmitting side can keep the output voltage constant through phase shift modulation. In the control process, considering that the offset of coupling coils will affect the control results, a grey wolf optimization–particle swarm optimization algorithm is proposed to identify mutual inductance. Simulation and experimental results show that this identification algorithm can improve the identification accuracy and maximize the avoidance of falling into local optima. The final experimental result shows that the bilateral cooperation control strategy can maintain the output voltage around 48 V and the transmission efficiency around 84.5%, which meets the expected requirements. Full article
(This article belongs to the Special Issue Permanent Magnet Motors and Driving Control for Electric Vehicles)
Show Figures

Figure 1

Back to TopTop