Sign in to use this feature.

Years

Between: -

Subjects

remove_circle_outline
remove_circle_outline
remove_circle_outline
remove_circle_outline
remove_circle_outline
remove_circle_outline
remove_circle_outline
remove_circle_outline

Journals

Article Types

Countries / Regions

Search Results (135)

Search Parameters:
Keywords = wind turbine monopiles

Order results
Result details
Results per page
Select all
Export citation of selected articles as:
18 pages, 6293 KB  
Article
Operational Modal Analysis of a Monopile Offshore Wind Turbine via Bayesian Spectral Decomposition
by Mumin Rao, Xugang Hua, Chi Yu, Zhouquan Feng, Jiayi Deng, Zengru Yang, Yuhuan Zhang, Feiyun Deng and Zhichao Wu
J. Mar. Sci. Eng. 2025, 13(12), 2326; https://doi.org/10.3390/jmse13122326 - 8 Dec 2025
Viewed by 211
Abstract
Offshore wind turbines (OWTs) operate under harsh marine conditions involving strong winds, waves, and salt-laden air, which increase the risk of excessive vibrations and structural failures such as tower collapse. To ensure structural safety and achieve effective vibration control, accurate modal parameter identification [...] Read more.
Offshore wind turbines (OWTs) operate under harsh marine conditions involving strong winds, waves, and salt-laden air, which increase the risk of excessive vibrations and structural failures such as tower collapse. To ensure structural safety and achieve effective vibration control, accurate modal parameter identification is essential. In this study, a vibration monitoring system was developed, and the Bayesian Spectral Decomposition (BSD) method was applied for the operational modal analysis of a 5.5 MW monopile OWT. The monitoring system consisted of ten uniaxial accelerometers mounted at five elevations along the tower, with two orthogonally oriented sensors at each level to capture horizontal vibrations. Due to continuous nacelle yawing, the measured accelerations were projected onto the structural fore–aft (FA) and side–side (SS) directions prior to modal analysis. Two days of vibration and SCADA data were collected: one under rated rotor speed and another including one hour of idle state. Data preprocessing involved outlier removal, low-pass filtering, and directional projection. The obtained data were divided into 20-min segments, and the BSD approach was applied to extract the primary modal parameters in both FA and SS directions. Comparison with results from the Stochastic Subspace Identification (SSI) technique showed strong consistency, verifying the reliability of the BSD method and its advantage in uncertainty quantification. The results indicate that the identified modal frequencies remain relatively stable under both rated and idle conditions, whereas the damping ratios increase with wind speed, with a more significant growth observed in the FA direction. Full article
Show Figures

Figure 1

32 pages, 4892 KB  
Article
A Multivariate AI-Driven Generalized Framework for Structural Load Prediction of Monopile Used for Offshore Wind Turbines Under Non-Linear Wind and Wave Conditions
by Sajid Ali, Muhammad Hassaan Farooq Khan and Daeyong Lee
J. Mar. Sci. Eng. 2025, 13(11), 2154; https://doi.org/10.3390/jmse13112154 - 14 Nov 2025
Viewed by 270
Abstract
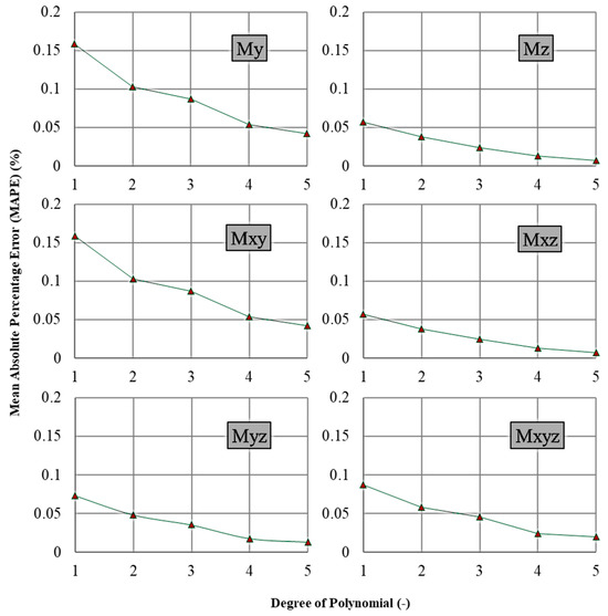
Predicting structural loads on offshore wind turbine support structures under varying environmental conditions is a complex yet critical task, particularly for large-capacity turbines such as the 15 MW offshore wind turbine. Current prediction methods often struggle with accuracy, especially for torsional moments, due [...] Read more.
Predicting structural loads on offshore wind turbine support structures under varying environmental conditions is a complex yet critical task, particularly for large-capacity turbines such as the 15 MW offshore wind turbine. Current prediction methods often struggle with accuracy, especially for torsional moments, due to the non-linear interactions between wind parameters and structural responses. To address this challenge, present study develops a generalized load estimation framework using multivariable polynomial regression, leveraging 10,000 numerical simulations. The framework accounts for four critical variables: Extreme Wind Speed (30 to 40 m/s), Turbulence Intensity (12% to 16%), Flow Inclination Angle (−8° to +8°), and Shear Exponent (0.1 to 0.3). The proposed equations predict six key moment components at the tower base, including the bending moments about the y-axis, torsional moments about the z-axis, bending moments in the x-y, x-z, and y-z planes, and the resultant combined moment. The framework was validated using 2000 testing data points, achieving high accuracy with R2 values exceeding 0.92 for all moments. Specifically, the prediction accuracy was highest for the resultant combined moment and y-z bending moment, with average absolute errors of 5.76% and 5.97%, respectively, while x-z bending moment had a slightly higher error of 13.91%, highlighting that torsional moments are inherently more challenging to predict. Heatmap and scatter plot analyses confirmed that the predicted moments align closely with the simulated values, particularly for the torsional moment about the z-axis and y-z bending moment, with standard deviation values as low as 4.85. By optimizing polynomial degrees between 2 and 4, the framework effectively balances prediction accuracy and computational efficiency. This approach provides engineers and scientists with a reliable tool for load estimation, facilitating improved design and analysis of offshore wind turbine support structures. Full article
(This article belongs to the Section Ocean Engineering)
Show Figures

Figure 1

16 pages, 8549 KB  
Article
Numerical Simulation and Tests of Lateral Bearing Capacity of Sloped Offshore Monopile Under Vertical Load and Lateral Cyclic Load
by Yongqing Lai, Gen Xiong, Ben He, Yilong Sun, Lin Guo and Kaiyuan Liu
J. Mar. Sci. Eng. 2025, 13(11), 2153; https://doi.org/10.3390/jmse13112153 - 14 Nov 2025
Viewed by 381
Abstract
Offshore monopile foundations endure complex loads during service. They bear vertical loads from the superstructure’s self-weight and lateral cyclic loads (e.g., wind, waves), while near-coastal seabeds are usually sloped. To resolve these issues, model pile tests under combined vertical and lateral cyclic loads [...] Read more.
Offshore monopile foundations endure complex loads during service. They bear vertical loads from the superstructure’s self-weight and lateral cyclic loads (e.g., wind, waves), while near-coastal seabeds are usually sloped. To resolve these issues, model pile tests under combined vertical and lateral cyclic loads were carried out to study how slope angle and vertical load affect monopile deformation. A numerical model was validated via comparison with test results and then used to reveal the development of cumulative deformation in offshore sloped monopiles under the above combined loads. The results show that, below 1000 cycles, the cumulative displacement of the pile increases logarithmically with the number of cycles. As the slope angle increases, the cumulative deformation increases. In these tests, the cumulative deformation of the pile increases by 114% compared to the results of the flat site, but it decreases with an increase in vertical load. As such, when a 3 N vertical load is applied to the pile top, its deformation at the flat site decreases by 20%, but its deformation at a 20° slope site decreases by 10%. Finally, a predicted formula is proposed for offshore monopiles with the effect of slope angle, and this formula can provide a preliminary assessment method of cumulative. Full article
(This article belongs to the Special Issue Wave Loads on Offshore Structure)
Show Figures

Figure 1

19 pages, 1290 KB  
Review
Dependencies of Underwater Noise from Offshore Wind Farms on Distance, Wind Speed, and Turbine Power
by Qitong Ge, Haoran Yao, Sihao Qian, Xuguang Zhang and Hongyi Guo
Acoustics 2025, 7(4), 71; https://doi.org/10.3390/acoustics7040071 - 4 Nov 2025
Viewed by 783
Abstract
The operational phase of offshore wind farms, lasting up to 20–25 years, exceeds the construction phase in duration. The ecological effects of underwater noise demand serious consideration, necessitating urgent research into its acoustic characteristics. This review conducts a systematic analysis of measurements of [...] Read more.
The operational phase of offshore wind farms, lasting up to 20–25 years, exceeds the construction phase in duration. The ecological effects of underwater noise demand serious consideration, necessitating urgent research into its acoustic characteristics. This review conducts a systematic analysis of measurements of underwater noise from operational offshore wind farms, considering the correlations between turbine noise and distance, wind speed, turbine power, and foundation type. Propagation distance is the most critical factor influencing the underwater sound pressure level (SPL) of wind turbines, exhibiting a negative correlation with the SPL, with an attenuation of approximately 20.4 dB/decade. In contrast, wind speed and turbine power show a positive correlation with the SPL, with increase rates of 18.5 dB/decade and 12.4 dB/decade, respectively. Further analysis shows that foundation type and drive technology also have a significant impact on underwater SPL. With technological innovation, specifically the upgrade from conventional geared drive to direct-drive technology, the level of underwater noise can be reduced by approximately 9 dB, with the primary peak frequency being shifted to a lower range. Moreover, significant variations in SPLs were noted with the utilization of various types of foundation structures, with monopile foundations exhibiting the highest SPLs of underwater noise. These conclusions have important reference value for the scientific assessment of the health of aquatic organisms and ecosystems. Full article
Show Figures

Figure 1

25 pages, 6572 KB  
Article
DLC-Organized Tower Base Forces and Moments for the IEA-15 MW on a Jack-up-Type Support (K-Wind): Integrated Analyses and Cross-Code Verification
by Jin-Young Sung, Chan-Il Park, Min-Yong Shin, Hyeok-Jun Koh and Ji-Su Lim
J. Mar. Sci. Eng. 2025, 13(11), 2077; https://doi.org/10.3390/jmse13112077 - 31 Oct 2025
Viewed by 506
Abstract
Offshore wind turbines are rapidly scaling in size, which amplifies the need for credible integrated load analyses that consistently resolve the coupled dynamics among rotor–nacelle–tower systems and their support substructures. This study presents a comprehensive ultimate limit state (ULS) load assessment for a [...] Read more.
Offshore wind turbines are rapidly scaling in size, which amplifies the need for credible integrated load analyses that consistently resolve the coupled dynamics among rotor–nacelle–tower systems and their support substructures. This study presents a comprehensive ultimate limit state (ULS) load assessment for a fixed jack-up-type substructure (hereafter referred to as K-wind) coupled with the IEA 15 MW reference wind turbine. Unlike conventional monopile or jacket configurations, the K-wind concept adopts a self-installable triangular jack-up foundation with spudcan anchorage, enabling efficient transport, rapid deployment, and structural reusability. Yet such a configuration has never been systematically analyzed through full aero-hydro-servo-elastic coupling before. Hence, this work represents the first integrated load analysis ever reported for a jack-up-type offshore wind substructure, addressing both its unique load-transfer behavior and its viability for multi-MW-class turbines. To ensure numerical robustness and cross-code reproducibility, steady-state verifications were performed under constant-wind benchmarks, followed by time-domain simulations of standard prescribed Design Load Case (DLC), encompassing power-producing extreme turbulence, coherent gusts with directional change, and parked/idling directional sweeps. The analyses were independently executed using two industry-validated solvers (Deeplines Wind v5.8.5 and OrcaFlex v11.5e), allowing direct solver-to-solver comparison and establishing confidence in the obtained dynamic responses. Loads were extracted at the transition-piece reference point in a global coordinate frame, and six key components (Fx, Fy, Fz, Mx, My, and Mz) were processed into seed-averaged signed envelopes for systematic ULS evaluation. Beyond its methodological completeness, the present study introduces a validated framework for analyzing next-generation jack-up-type foundations for offshore wind turbines, establishing a new reference point for integrated load assessments that can accelerate the industrial adoption of modular and re-deployable support structures such as K-wind. Full article
Show Figures

Figure 1

22 pages, 9742 KB  
Article
Investigation on Wake Evolution Dynamics for Various Floating Offshore Wind Turbine Platforms
by Yifan Gao and Jiahao Chen
Energies 2025, 18(21), 5620; https://doi.org/10.3390/en18215620 - 26 Oct 2025
Viewed by 603
Abstract
The study investigates the impact of motions of floating offshore wind turbine platforms on wake evolution and overall wind farm performance, employing large-eddy simulation (LES) and dynamic wake modeling method. First, the differences between wakes of floating and bottom-fixed wind turbines under forced [...] Read more.
The study investigates the impact of motions of floating offshore wind turbine platforms on wake evolution and overall wind farm performance, employing large-eddy simulation (LES) and dynamic wake modeling method. First, the differences between wakes of floating and bottom-fixed wind turbines under forced motion are examined. Subsequently, a systematic comparative analysis is performed for four representative floating platform configurations—Spar, Semi-submersible, Tension-Leg Platform (TLP), and Monopile (Mnpl)—to assess wake dynamics and downstream turbine responses within tandem-arranged arrays. Results indicate that platform pitch motion, by inducing periodic variations in the rotor’s relative inflow angle, significantly enhances wake unsteadiness, accelerates kinetic energy recovery, and promotes vortex breakdown. Tandem-arrange turbines simulations further reveal that platform-dependent motion characteristics substantially influence wake center displacement, velocity deficit, downstream turbine thrust, and overall power fluctuations at the wind farm scale. Among the examined configurations, the Spar platform exhibits the most pronounced wake disturbance and the largest downstream load and power oscillations, with rotor torque and thrust increasing by 10.2% and 10.6%, respectively, compared to other designs. This study elucidates the coupled mechanisms among 6-DOFs (Six Degrees Of Freedom) motions, wake evolution, and power performance, providing critical insights for optimizing floating wind farm platform design and developing advanced cooperative control strategies. Full article
(This article belongs to the Special Issue Advances in Ocean Energy Technologies and Applications)
Show Figures

Figure 1

34 pages, 16782 KB  
Article
Ultra-Short-Term Prediction of Monopile Offshore Wind Turbine Vibration Based on a Hybrid Model Combining Secondary Decomposition and Frequency-Enhanced Channel Self-Attention Transformer
by Zhenju Chuang, Yijie Zhao, Nan Gao and Zhenze Yang
J. Mar. Sci. Eng. 2025, 13(9), 1760; https://doi.org/10.3390/jmse13091760 - 11 Sep 2025
Viewed by 562
Abstract
Ice loads continue to pose challenges to the structural safety of offshore wind turbines (OWTs), while the rapid development of offshore wind power in cold regions is enabling the deployment of OWTs in deeper waters. To accurately simulate the dynamic response of an [...] Read more.
Ice loads continue to pose challenges to the structural safety of offshore wind turbines (OWTs), while the rapid development of offshore wind power in cold regions is enabling the deployment of OWTs in deeper waters. To accurately simulate the dynamic response of an OWT under combined ice–wind loading, this paper proposes a Discrete Element Method–Wind Turbine Integrated Analysis (DEM-WTIA) framework. The framework can synchronously simulate discontinuous ice-crushing processes and aeroelastic–structural dynamic responses through a holistic turbine model that incorporates rotor dynamics and control systems. To address the issue of insufficient prediction accuracy for dynamic responses, we introduced a multivariate time series forecasting method that integrates a secondary decomposition strategy with a hybrid prediction model. First, we developed a parallel signal processing mechanism, termed Adaptive Complete Ensemble Empirical Mode Decomposition with Improved Singular Spectrum Analysis (CEEMDAN-ISSA), which achieves adaptive denoising via permutation entropy-driven dynamic window optimization and multi-feature fusion-based anomaly detection, yielding a noise suppression rate of 76.4%. Furthermore, we propose the F-Transformer prediction model, which incorporates a Frequency-Enhanced Channel Attention Mechanism (FECAM). By integrating the Discrete Cosine Transform (DCT) into the Transformer architecture, the F-Transformer mines hidden features in the frequency domain, capturing potential periodicities in discontinuous data. Experimental results demonstrate that signals processed by ISSA exhibit increased signal-to-noise ratios and enhanced fidelity. The F-Transformer achieves a maximum reduction of 31.86% in mean squared error compared to the standard Transformer and maintains a coefficient of determination (R2) above 0.91 under multi-condition coupled testing. By combining adaptive decomposition and frequency-domain enhancement techniques, this framework provides a precise and highly adaptable ultra-short-term response forecasting tool for the safe operation and maintenance of offshore wind power in cold regions. Full article
(This article belongs to the Section Coastal Engineering)
Show Figures

Figure 1

27 pages, 8558 KB  
Article
Scour Characteristics and Bearing Capacity Response of MGB Hybrid Foundations in Offshore Wind Applications
by Xinyao Li, Baofang Zhang and Chen Wang
J. Mar. Sci. Eng. 2025, 13(9), 1726; https://doi.org/10.3390/jmse13091726 - 8 Sep 2025
Viewed by 741
Abstract
Scour at offshore wind turbine foundations compromises their structural stability. This study investigates scour characteristics and their impact on the ultimate bearing capacity of a novel Monopile-Gravity-Bucket (MGB) hybrid foundation. Utilizing coupled CFD-DEM and finite element analyses, this research examines scour development under [...] Read more.
Scour at offshore wind turbine foundations compromises their structural stability. This study investigates scour characteristics and their impact on the ultimate bearing capacity of a novel Monopile-Gravity-Bucket (MGB) hybrid foundation. Utilizing coupled CFD-DEM and finite element analyses, this research examines scour development under varying bucket geometries. Results reveal similar scour morphology as other large diameter structures, with maximum scour depth decreasing as the bucket’s diameter and height increase. The consequent reduction in lateral bearing capacity can reach approximately 20%. These findings provide critical insights for optimizing MGB foundation design and implementing effective scour protection strategies. Full article
(This article belongs to the Special Issue Advances in Offshore Foundations and Anchoring Systems)
Show Figures

Figure 1

30 pages, 7223 KB  
Article
Research on Cage Layout Mode Based on Numerical Simulation of Flow Field Disturbance Response and Suspended Particulate Matter Diffusion: A Case Study of the Nanpeng Island Wind Power Sea Area in Yangjiang City, China
by Mengqi Ji, Wenhao Zou, Yan Long and Jinshao Ye
Sustainability 2025, 17(17), 7679; https://doi.org/10.3390/su17177679 - 26 Aug 2025
Viewed by 821
Abstract
Clarifying the changes in the flow field, trajectory, and range of particulate matter such as input detritus and feces of marine aquaculture in offshore wind farms is of great importance for optimizing the layout of cage culture, preventing water pollution, and promoting the [...] Read more.
Clarifying the changes in the flow field, trajectory, and range of particulate matter such as input detritus and feces of marine aquaculture in offshore wind farms is of great importance for optimizing the layout of cage culture, preventing water pollution, and promoting the integrated development of wind power and aquaculture. This study designed multiple scenarios based on the basic data of the Nanpeng Island wind farm. The flow field changes were simulated through a k-epsilon model based on the porous medium model, and the particle diffusion range and trajectory were simulated via the discrete phase model (DPM) and the MIKE 21 model. The results showed that flow velocities in the whole area, except in the region near the wind turbine, were unaffected by the monopile or jacket foundation. The center velocities of the cages decreased by 14.58% and 21.45%, respectively, when culture density increased from 12.5 to 20 kg/m3. In the case of one-way inflow, placing rafts upstream of the aquaculture area can effectively slow down the flow velocity, which is reduced by 45.2% and 32.3% at the inlet and center of the cage, respectively. In the case of the occurrence of unidirectional water flow, downstream raft frames, arranged in a triangular pattern, could align with the cage center axis. Under actual sea conditions, the raft frame could be arranged in an elliptical shape around the cage. The ratio of the length of its major axis to that of its minor axis is approximately 3:1. Full article
Show Figures

Figure 1

19 pages, 4183 KB  
Article
Centrifuge and Numerical Investigations on Responses of Monopile-Supported Offshore Wind Turbines with Riprap Scour Protection Under Earthquakes
by Hao Zhang, Xiaojing Jia, Fayun Liang and Zhouchi Yuan
J. Mar. Sci. Eng. 2025, 13(8), 1532; https://doi.org/10.3390/jmse13081532 - 10 Aug 2025
Viewed by 751
Abstract
Riprap scour protection is commonly employed to protect against local scour around large-diameter monopile foundations for offshore wind turbines (OWTs), and considering its influence on the static and dynamic behavior of monopiles may also provide the opportunity for further optimization of monopile design. [...] Read more.
Riprap scour protection is commonly employed to protect against local scour around large-diameter monopile foundations for offshore wind turbines (OWTs), and considering its influence on the static and dynamic behavior of monopiles may also provide the opportunity for further optimization of monopile design. However, only limited studies have gradually begun to investigate the contribution of scour protection to monopile bearing capacity, while its effects on the seismic responses of monopile-supported OWTs deployed in seismic zones have attracted even less attention. In this study, a series of centrifuge shaking table tests were conducted on large-diameter monopile foundations under both initial and scour protection conditions. Then, to further investigate the effects of scour protection parameters on the seismic response of offshore wind turbines, a three-dimensional finite element model was developed and validated based on experimental results. The results demonstrate that the presence of scour protection not only slightly increases the first natural frequency but also alters seismic responses of the OWT. Lower peak responses at the lumped mass are observed under Chi-Chi excitation, while lower peak bending moments of the pile occur under Kobe excitation. Additionally, seismic responses are more sensitive to variations in the scour protection length than its elastic modulus. Therefore, compared to material selection, greater emphasis should be placed on optimizing the scour protection length by comprehensively considering environmental loads, site conditions, and turbine dynamic characteristics. This study quantifies the effects of scour protection on the seismic responses of monopile-supported offshore wind turbines, which can provide new insights into seismic design optimization of offshore wind turbines with riprap scour protection. Full article
(This article belongs to the Section Coastal Engineering)
Show Figures

Figure 1

18 pages, 4008 KB  
Article
Numerical Study of the Negative Skin Friction (NSF) of Large-Diameter Rock-Socketed Monopiles for Offshore Wind Turbines Incorporating Lateral Loading Effects
by Yuanyuan Ren, Zhiwei Chen and Wenbo Zhu
J. Mar. Sci. Eng. 2025, 13(8), 1530; https://doi.org/10.3390/jmse13081530 - 9 Aug 2025
Viewed by 642
Abstract
Large-diameter rock-socketed monopiles supporting offshore wind turbines in soft clay strata face significant geotechnical risks from negative skin friction (NFS) induced by construction surcharges. While the effects of NFS on axial drag loads are documented, the critical interaction between horizontal pile loading and [...] Read more.
Large-diameter rock-socketed monopiles supporting offshore wind turbines in soft clay strata face significant geotechnical risks from negative skin friction (NFS) induced by construction surcharges. While the effects of NFS on axial drag loads are documented, the critical interaction between horizontal pile loading and NFS development remains poorly understood. This research bridges this gap using a rigorously validated 3D finite element model that simulates the complex coupling of vertical substructure loads (5 MN), horizontal loading, and surcharge-induced consolidation. The model’s accuracy was confirmed through comprehensive verification against field data for both NFS evolution under surcharge and horizontal load–displacement behavior. The initial analysis under representative conditions (10 MN horizontal load, 100 kPa surcharge, 3600 days consolidation) revealed that horizontal loading fundamentally distorts NFS distribution in the upper pile segment (0 to −24 m), transforming smooth profiles into distinct dual-peak morphologies while increasing the maximum NFS magnitude by 57% (from −45.4 kPa to −71.5 kPa) and relocating its position 21 m upward. This redistribution was mechanistically linked to horizontal soil displacement patterns. Crucially, the NFS neutral plane remained invariant at the clay–rock interface (−39 m), demonstrating complete independence from horizontal loading effects. A systematic parametric study evaluated key operational factors: (1) consolidation time progressively increased NFS magnitude throughout the clay layer, evolving from near-linear to dual-peaked distributions in the upper clay (0 to −18 m); NFS stabilized in the upper clay after 720 days while continuing to increase in the lower clay (−18 to −39 m) due to downward surcharge transfer, accompanied by neutral plane deepening (from −36.5 m to −39.5 m) and 84% maximum axial force escalation (12.5 MN to 23 MN); (2) horizontal load magnitude amplified upper clay NFS peaks at −3.2 m and −9.3 m, with the shallow peak magnitude increasing linearly with load intensity, though it neither altered lower clay NFS nor neutral plane position; (3) surcharge magnitude increased overall NFS, but upper clay NFS (0 to −18 m) stabilized beyond 100 kPa, while lower clay NFS continued rising with higher surcharges, and the neutral plane descended progressively (from −38 m to −39.5 m). These findings demonstrate that horizontal loading critically exacerbates peak NFS values and redistributes friction in upper pile segments without influencing the neutral plane, whereas surcharge magnitude and consolidation time govern neutral plane depth, total NFS magnitude, and maximum drag load. This research delivers essential theoretical insights and practical guidelines for predicting NFS-induced drag loads and ensuring the long-term safety of offshore wind foundations in soft clays under complex multi-directional loading scenarios. Full article
(This article belongs to the Section Ocean Engineering)
Show Figures

Figure 1

19 pages, 4851 KB  
Article
Natural Frequency of Monopile Supported Offshore Wind Turbine Structures Under Long-Term Cyclic Loading
by Rong Chen, Haitao Yang, Yilong Sun, Jinglong Zou, Boyan Sun and Jialin Xu
Appl. Sci. 2025, 15(15), 8143; https://doi.org/10.3390/app15158143 - 22 Jul 2025
Cited by 1 | Viewed by 1292
Abstract
Offshore wind turbine structures (OWTs) commonly use monopile foundations for support, and long-term exposure to wind–wave cyclic loads may induce changes in foundation stiffness. Variations in foundation stiffness can significantly alter the inherent vibration characteristics of OWTs, potentially leading to amplified vibrations or [...] Read more.
Offshore wind turbine structures (OWTs) commonly use monopile foundations for support, and long-term exposure to wind–wave cyclic loads may induce changes in foundation stiffness. Variations in foundation stiffness can significantly alter the inherent vibration characteristics of OWTs, potentially leading to amplified vibrations or resonant conditions. In this study, a numerical model considering soil–pile interaction was developed on the FLAC3D platform to analyze the natural frequency of OWTs under long-term cyclic loading. The study first validated the numerical model’s effectiveness through comparison with measured data; a degradation stiffness model (DSM) was then embedded to assess how prolonged cyclic loading affects the degradation of foundation stiffness. A series of parametric studies were conducted in medium-dense and dense sand layers to investigate natural frequency alterations induced by prolonged cyclic loading. Finally, a simplified method for evaluating long-term natural frequency changes was established, and a 3.6 MW offshore wind turbine case was used to reveal the evolution characteristics of its natural frequency under long-term cyclic loads. The data reveal that the natural frequency of the structure undergoes a downward tendency as cyclic loading and frequency increase. To ensure long-term safe operation, the designed natural frequency should preferably shift toward 3P (where P is the blade rotation frequency). Full article
Show Figures

Figure 1

32 pages, 10923 KB  
Article
Numerical Simulation of Hydrodynamic Characteristics for Monopile Foundations of Wind Turbines Under Wave Action
by Bin Wang, Mingfu Tang, Zhenqiang Jiang and Guohai Dong
Water 2025, 17(14), 2068; https://doi.org/10.3390/w17142068 - 10 Jul 2025
Viewed by 739
Abstract
The calculation and evaluation of wave loads represent a critical component in the design process of offshore wind turbines, which is of significant value for ensuring the safety and stability of offshore wind turbines during operation. In recent years, as the offshore wind [...] Read more.
The calculation and evaluation of wave loads represent a critical component in the design process of offshore wind turbines, which is of significant value for ensuring the safety and stability of offshore wind turbines during operation. In recent years, as the offshore wind power industry has extended into deep-sea areas, wind turbines and their foundation structures have gradually increased in scale. Due to the continuously growing diameter of fixed foundation structures, the wave loads they endure can no longer be evaluated solely by traditional methods. This study simplifies the monopile foundation structure of wind turbines into an upright circular cylinder. The open-source CFD platform OpenFOAM is employed to establish a numerical wave tank, and large eddy simulation (LES) models are used to conduct numerical simulations of its force-bearing process in wave fields. Through this approach, the hydrodynamic loads experienced by the single-cylinder structure in wave fields and the surrounding wave field data are obtained, with further investigation into its hydrodynamic characteristics under different wave environments. By analyzing the wave run-up distribution around cylinders of varying diameters and their effects on incident waves, a more suitable value range for traditional theories in engineering design applications is determined. Additionally, the variation laws of horizontal wave loads on single-cylinder structures under different parameter conditions (such as cylinder diameter, wave steepness, water depth, etc.) are thoroughly studied. Corresponding hydrodynamic load coefficients are derived, and appropriate wave force calculation methods are established to address the impact of value errors in hydrodynamic load coefficients within the transition range from large-diameter to small-diameter cylinders in traditional theories on wave force evaluation. This contributes to enhancing the accuracy and practicality of engineering designs. Full article
(This article belongs to the Section Oceans and Coastal Zones)
Show Figures

Figure 1

20 pages, 13331 KB  
Article
Numerical Simulation of Seabed Response Around Monopile Under Wave–Vibration
by Hongyi Du, Dunge Wang, Jiankang Hou, Ziqin Yu, Ze Liu and Yongzhou Cheng
J. Mar. Sci. Eng. 2025, 13(7), 1309; https://doi.org/10.3390/jmse13071309 - 6 Jul 2025
Viewed by 681
Abstract
Monopile foundation is an important foundation form for offshore wind turbines, and the stability of the seabed around it is affected by the combined effects of wave and pile vibration. Based on the Biot consolidation theory and elastoplastic constitutive model, a multi-physical field [...] Read more.
Monopile foundation is an important foundation form for offshore wind turbines, and the stability of the seabed around it is affected by the combined effects of wave and pile vibration. Based on the Biot consolidation theory and elastoplastic constitutive model, a multi-physical field coupling model of wave–vibration–seabed–monopile is constructed, and the dynamic characteristics of seabed pore pressure around the monopile under the joint action of wave–vibration are systematically investigated, and the influences of waves, vibrations, and seabed parameters on the distribution of pore pressure amplitude are analysed in depth. The results show that the increase in wave incident energy will increase the seabed wave pressure, and the suction and pressure generated by pile vibration will change the soil force state; the coupling of waves and vibrations results in pile displacement difference, causing the seabed pore pressure dissipation depth dissimilarity, and the peak relative amplitude of pore pressure and the peak of vibration displacement are in a linear relationship; the wave parameters and seabed characteristics have a significant effect on the change in pore pressure amplitude distribution. Full article
(This article belongs to the Section Ocean Engineering)
Show Figures

Figure 1

20 pages, 4718 KB  
Article
Wind Energy Development on Lake Huron: An Offshore Foundation Design Perspective
by Clare Burnley and Shunde Yin
Processes 2025, 13(7), 2118; https://doi.org/10.3390/pr13072118 - 3 Jul 2025
Viewed by 956
Abstract
The popularity of offshore wind farming is accelerating, and researchers are exploring the possibility of implementing offshore wind turbines across the Great Lakes. Offshore wind turbines operate using the same principles as regular wind turbines, but require complex foundation design to withstand high [...] Read more.
The popularity of offshore wind farming is accelerating, and researchers are exploring the possibility of implementing offshore wind turbines across the Great Lakes. Offshore wind turbines operate using the same principles as regular wind turbines, but require complex foundation design to withstand high shear forces from waves. Extensive site characterization is necessary to effectively design detailed offshore wind turbine structures. High cost and time commitments, along with policy and societal considerations, have limited present research on offshore wind feasibility in the Great Lakes. This study focuses on wave impacts, assessing popular offshore wind farms and identifying monopile foundations as the optimal design for a hypothetical offshore wind farm in the lime bedrock of Lake Huron. RSPile is used to assess the stability of the proposed foundation design against deflection, bending, and rotation under average wave forces and extreme storm events. Ultimately, preliminary analysis recommends an 8 m diameter pipe embedded 30 m into the seabed to satisfy industry standards for offshore wind turbine foundation design. Full article
Show Figures

Figure 1

Back to TopTop