Sign in to use this feature.

Years

Between: -

Subjects

remove_circle_outline
remove_circle_outline
remove_circle_outline
remove_circle_outline
remove_circle_outline
remove_circle_outline

Journals

Article Types

Countries / Regions

Search Results (114)

Search Parameters:
Keywords = wide-angle X-ray diffraction (WAXD)

Order results
Result details
Results per page
Select all
Export citation of selected articles as:
27 pages, 3220 KB  
Article
Heteroaromatic Hybrid Benzimidazole/Oxadiazole (BZ/OZ) Ligand and Its Sm(III) Complex: Study of Their Antibacterial Activity, Toxicological Prediction and Interaction with Different Model Membranes
by Alberto Aragón-Muriel, Alessio Ausili, Luciana Sampaio Lima, Cleydson B. R. Santos, David Morales-Morales and Dorian Polo-Cerón
Biomolecules 2025, 15(11), 1568; https://doi.org/10.3390/biom15111568 - 7 Nov 2025
Viewed by 535
Abstract
Two heteroaromatic hybrid compounds were synthesized and characterized using various analytical techniques. The results indicate that the benzimidazole/oxadiazole (BZ/OZ) metal derivative exhibits a tridentate coordination mode, where the carbonyl, imidazole and oxadiazole groups participate in coordination with the metal, in a ratio of [...] Read more.
Two heteroaromatic hybrid compounds were synthesized and characterized using various analytical techniques. The results indicate that the benzimidazole/oxadiazole (BZ/OZ) metal derivative exhibits a tridentate coordination mode, where the carbonyl, imidazole and oxadiazole groups participate in coordination with the metal, in a ratio of 2:1 of the ligand to the metal. The antibacterial activities of the organic ligand and its metal complex were determined by in vitro tests against both Gram-positive bacterial strains and Gram-negative bacterial strains using the broth microdilution method. The metal complex showed greater antibacterial activities compared to the precursor ligand against all evaluated microorganisms. The results obtained through in silico predictions revealed significant toxicological differences among the analyzed molecules, suggesting special attention in the use of the ligand due to its possible carcinogenicity in mice and a need for structural modifications in the complex to reduce its carcinogenicity and toxicity. Furthermore, a biophysical study of the interaction of the BZ/OZ derivatives with different model membranes was explored through differential scanning calorimetry (DSC), simultaneous small- and wide-angle X-ray diffraction (SAXD and WAXD) and infrared spectroscopy (FT-IR). The results indicate that the compounds influenced membrane properties without significantly altering the lamellar organization. The findings suggest potential applications in understanding lipid interactions, elucidating toxicology and developing antibacterial agents. Full article
Show Figures

Figure 1

18 pages, 946 KB  
Article
Dual-Function Bare Copper Oxide (Photo)Catalysts for Selective Phenol Production via Benzene Hydroxylation and Low-Temperature Hydrogen Generation from Formic Acid
by Antonietta Mancuso, Matteo Diglio, Salvatore Impemba, Vincenzo Venditto, Vincenzo Vaiano, Antonio Buonerba and Olga Sacco
Catalysts 2025, 15(9), 866; https://doi.org/10.3390/catal15090866 - 9 Sep 2025
Cited by 2 | Viewed by 1136
Abstract
In this work, bare copper oxide-based catalysts were synthesized and evaluated for their dual (photo)catalytic activity in two model reactions: hydrogen generation via formic acid decomposition (FAD) and the photocatalytic hydroxylation of benzene to phenol. Catalysts were prepared from copper nitrate and copper [...] Read more.
In this work, bare copper oxide-based catalysts were synthesized and evaluated for their dual (photo)catalytic activity in two model reactions: hydrogen generation via formic acid decomposition (FAD) and the photocatalytic hydroxylation of benzene to phenol. Catalysts were prepared from copper nitrate and copper acetate precursors and calcined for either 10 min or 2 h. Their structural and surface properties were characterized by wide-angle X-ray diffraction (WAXD), Raman spectroscopy, and BET surface area analysis. FAD was conducted under mild thermal conditions and monitored via 1H NMR spectroscopy. At the same time, benzene hydroxylation was performed under UV irradiation and analyzed by gas chromatography (GC) and high-performance liquid chromatography (HPLC). All synthesized catalysts outperformed commercial CuO in the selective oxidation of benzene. The nitrate-derived sample calcined for 10 min (NCuO 10 min) achieved the best performance, with a phenol yield of ~10% and a selectivity of up to 19%, attributed to improved surface properties and the presence of Cu(I) domains, as indicated by Raman spectroscopy. For FAD, complete conversion of formic acid was achieved at low temperatures, with selective H2 and CO2 evolution and complete suppression of CO, even under short reaction times and low catalyst loadings. These results demonstrate the potential of nitrate-derived CuO catalysts as versatile, dual-function materials for sustainable applications in selective aromatic oxidation and low-temperature hydrogen generation, without the need for noble metals or harsh conditions. Full article
(This article belongs to the Special Issue 15th Anniversary of Catalysts—Recent Advances in Photocatalysis)
Show Figures

Graphical abstract

14 pages, 4874 KB  
Article
Temperature Dependence of Strain-Induced Crystallization in Silica- and Carbon Black-Filled Natural Rubber Compounds
by Gaurav Gupta, André Wehmeier, Rene Sattler, Jens Kiesewetter and Mario Beiner
Polymers 2025, 17(16), 2266; https://doi.org/10.3390/polym17162266 - 21 Aug 2025
Viewed by 902
Abstract
The results of strain-induced crystallization (SIC) studies on natural rubber compounds containing different amounts of carbon black and silica are reported. Two-dimensional wide-angle X-ray diffraction (2D WAXD) experiments were performed to quantify the degree of SIC at ambient and enlarged temperatures. The influence [...] Read more.
The results of strain-induced crystallization (SIC) studies on natural rubber compounds containing different amounts of carbon black and silica are reported. Two-dimensional wide-angle X-ray diffraction (2D WAXD) experiments were performed to quantify the degree of SIC at ambient and enlarged temperatures. The influence of temperature and filler system on the degree of crystallinity of natural rubber was investigated, since the estimated temperatures in truck tire treads are in the range 60–80 °C. Interestingly, the degree of crystallinity for silica-filled natural rubber compounds was commonly at least similar or higher compared to carbon black-filled compounds with identical filler mass fraction. In addition, it was demonstrated that the temperature dependence of natural rubber compounds containing silica and carbon black is also similar. In both cases the SIC disappeared slightly above 100 °C. Hence, it was concluded that the SIC behavior is most likely not the decisive factor for the different abrasion resistance of silica- and carbon black-reinforced natural rubber compounds for truck tire treads. This is an important insight considering the rising demand for sustainable rubber compounds for truck tire treads with low CO2 emissions as well as reduced abrasion. Full article
(This article belongs to the Section Polymer Physics and Theory)
Show Figures

Figure 1

16 pages, 4299 KB  
Article
Gas Barrier Properties of Organoclay-Reinforced Polyamide 6 Nanocomposite Liners for Type IV Hydrogen Storage Vessels
by Dávid István Kis, Pál Hansághy, Attila Bata, Nándor Nemestóthy, Péter Gerse, Ferenc Tajti and Eszter Kókai
Nanomaterials 2025, 15(14), 1101; https://doi.org/10.3390/nano15141101 - 16 Jul 2025
Cited by 4 | Viewed by 963
Abstract
This study investigates the hydrogen permeability of injection-molded polyamide 6 (PA6) nanocomposites reinforced with organo-modified montmorillonite (OMMT) at varying concentrations (1, 2.5, 5, and 10 wt. %) for potential use as Type IV composite-overwrapped pressure vessel (COPV) liners. While previous work examined their [...] Read more.
This study investigates the hydrogen permeability of injection-molded polyamide 6 (PA6) nanocomposites reinforced with organo-modified montmorillonite (OMMT) at varying concentrations (1, 2.5, 5, and 10 wt. %) for potential use as Type IV composite-overwrapped pressure vessel (COPV) liners. While previous work examined their mechanical properties, this study focuses on their crystallinity, morphology, and gas barrier performance. The precise inorganic content was determined using thermal gravimetry analysis (TGA), while differential scanning calorimetry (DSC), wide-angle X-ray diffraction (WAXD), and scanning electron microscopy (SEM) were used to characterize the structural and morphological changes induced by varying filler content. The results showed that generally higher OMMT concentrations promoted γ-phase formation but also led to increased agglomeration and reduced crystallinity. The PA6/OMMT-1 wt. % sample stood out with higher crystallinity, well-dispersed clay, and low hydrogen permeability. In contrast, the PA6/OMMT-2.5 and -5 wt. % samples showed increased permeability, which corresponded to WAXD and SEM evidence of agglomeration and DSC results indicating a lower degree of crystallinity. PA6/OMMT-10 wt. % showed the most-reduced hydrogen permeability compared to all other samples. This improvement, however, is attributed to a tortuous path effect created by the high filler loading rather than optimal crystallinity or dispersion. SEM images revealed significant OMMT agglomeration, and DSC analysis confirmed reduced crystallinity, indicating that despite the excellent barrier performance, the compromised microstructure may negatively impact mechanical reliability, showing PA6/OMMT-1 wt. % to be the most balanced candidate combining both mechanical integrity and hydrogen impermeability for Type IV COPV liners. Full article
(This article belongs to the Section Nanocomposite Materials)
Show Figures

Figure 1

33 pages, 19356 KB  
Article
Hoffman–Lauritzen Analysis of Crystallization of Hydrolyzed Poly(Butylene Succinate-Co-Adipate)
by Anna Svarcova and Petr Svoboda
Crystals 2025, 15(7), 645; https://doi.org/10.3390/cryst15070645 - 14 Jul 2025
Cited by 1 | Viewed by 1305
Abstract
This study systematically investigates the impact of hydrolytic degradation on the crystallization kinetics and morphology of poly(butylene succinate-co-adipate) (PBSA). Gel Permeation Chromatography (GPC) confirmed extensive chain scission, significantly reducing the polymer’s weight-average molecular weight (Mw from ~103,000 to ~16,000 g/mol) and broadening [...] Read more.
This study systematically investigates the impact of hydrolytic degradation on the crystallization kinetics and morphology of poly(butylene succinate-co-adipate) (PBSA). Gel Permeation Chromatography (GPC) confirmed extensive chain scission, significantly reducing the polymer’s weight-average molecular weight (Mw from ~103,000 to ~16,000 g/mol) and broadening its polydispersity index (PDI from ~2 to 7 after 64 days). Differential scanning calorimetry (DSC) analysis revealed that hydrolytic degradation dramatically accelerated crystallization rates, reducing crystallization time roughly 10-fold (e.g., from ~3000 s to ~300 s), and crystallinity increased from 34% to 63%. Multiple melting peaks suggested the presence of lamellae with varying thicknesses, consistent with the Gibbs–Thomson equation. Isothermal crystallization kinetics were evaluated using the Avrami equation (with n ≈ 3), reciprocal half-time of crystallization, and a novel inflection point slope method, all confirming accelerated crystallization; for instance, the slope increased from 0.00517 to 0.05203. Polarized optical microscopy (POM) revealed evolving spherulite morphologies, including hexagonal and flower-like dendritic spherulites with diamond-shape ends, while wide-angle X-ray diffraction (WAXD) showed a crystallization range shift to higher temperatures (e.g., from 72–61 °C to 82–71 °C) and a 14% increase in crystallite diameter, aligning with increased melting point and lamellar thickness and overall increased crystallinity. Full article
Show Figures

Figure 1

26 pages, 2441 KB  
Article
Structure–Property Relationship in Isotactic Polypropylene Under Contrasting Processing Conditions
by Edin Suljovrujic, Dejan Milicevic, Katarina Djordjevic, Zorana Rogic Miladinovic, Georgi Stamboliev and Slobodanka Galovic
Polymers 2025, 17(14), 1889; https://doi.org/10.3390/polym17141889 - 8 Jul 2025
Cited by 2 | Viewed by 2907
Abstract
Polypropylene (PP), with its good physical, thermal, and mechanical properties and excellent processing capabilities, has become one of the most used synthetic polymers. It is known that the overall properties of semicrystalline polymers, including PP, are governed by morphology, which is influenced by [...] Read more.
Polypropylene (PP), with its good physical, thermal, and mechanical properties and excellent processing capabilities, has become one of the most used synthetic polymers. It is known that the overall properties of semicrystalline polymers, including PP, are governed by morphology, which is influenced by the crystallization behavior of the polymer under specific conditions. The most important industrial PP remains the isotactic one, and it has been studied extensively for its polymorphic characteristics and crystallization behavior for over half a century. Due to its regular chain structure, isotactic polypropylene (iPP) belongs to the group of polymers with a high tendency for crystallization. The rapid quenching of molten iPP fails to produce a completely amorphous polymer but leads to an intermediate crystalline order. On the other hand, slow cooling yields a material with high crystalline content. The processing conditions that occur in practice and industry are between these two extremes and, in some cases, are even very close. Therefore, the study of limits in processability and the impact of extreme preparation conditions on morphology, structure, thermal, and mechanical properties fills a gap in the current understanding of how the processing conditions of iPP can be used to design the desired properties for specific applications and is in the focus of this research. The first set of samples (Q samples) was obtained by rapid quenching, while the second was prepared by very slow cooling from the melt to room temperature (SC samples). Testing of samples was performed by optical microscopy (OM), scanning electron microscopy (SEM), wide-angle X-ray diffraction (WAXD), Fourier transform infrared spectroscopy (FTIR), differential scanning calorimetry (DSC), dynamic dielectric spectroscopy (DDS), and mechanical measurements. Characterization revealed that slowly cooled samples exhibited a significantly higher degree of crystallinity and larger crystallites (χ ≥ 55% and L(110) ≈ 20 nm), compared to quenched samples (χ < 30%, L(110) ≤ 3 nm). Mechanical testing showed a drastic contrast: quenched samples exhibited elongation at break > 500%, while slowly cooled samples broke below 15%, reflecting their brittle behavior. For the first time, DDS is applied to investigate molecular mobility differences between processing-dependent structural forms, specifically the mesomorphic (smectic) and α-monoclinic forms. In slowly cooled samples, α relaxation exhibited both enhanced intensity and an upward temperature shift, indicating stronger structural constraints due to a much higher crystalline phase content and significantly larger crystallite size, respectively. These findings provide novel insights into the structure–property–processing relationship, which is crucial for industrial applications. Full article
(This article belongs to the Special Issue Thermal and Elastic Properties of Polymer Materials)
Show Figures

Figure 1

33 pages, 5397 KB  
Article
Enhanced Mechanical Properties of Irradiated Ethylene-Vinyl Acetate Copolymer
by Anna Svarcova and Petr Svoboda
Processes 2025, 13(5), 1562; https://doi.org/10.3390/pr13051562 - 18 May 2025
Viewed by 2067
Abstract
This study investigated the effects of electron beam radiation on the room-temperature and high-temperature mechanical properties of two ethylene-vinyl acetate (EVA) copolymers, designated EVA 206 and EVA 212. These copolymers had varying vinyl acetate (VA) contents (6 wt.% and 12 wt.%), with the [...] Read more.
This study investigated the effects of electron beam radiation on the room-temperature and high-temperature mechanical properties of two ethylene-vinyl acetate (EVA) copolymers, designated EVA 206 and EVA 212. These copolymers had varying vinyl acetate (VA) contents (6 wt.% and 12 wt.%), with the same melt flow index of 2.0 g/10 min. Samples were irradiated at doses ranging from 60 to 180 kGy. The impact of electron beam irradiation on the creep, frequency sweep, and stress–strain behaviors of the ethylene-vinyl acetate copolymers was evaluated using a dynamical mechanical analyzer (DMA). Crystallinity was measured using differential scanning calorimetry (DSC) and wide-angle X-ray diffraction (WAXD). Creep compliance was quantitatively analyzed using four-parameter and six-parameter models. While crosslinking had minimal influence on the room-temperature properties, it significantly affected the behavior at 150 °C. With increasing irradiation dose, creep compliance decreased, while the shear modulus, viscosity, and shear stress at a strain of 0.03 increased, indicating enhanced resistance to deformation. Crosslink density also increased with irradiation dose. EVA 212 with a higher vinyl acetate content exhibited a higher resistance to creep and better high-temperature mechanical properties across all measurements. Full article
Show Figures

Figure 1

31 pages, 7533 KB  
Article
Quantitative DSC Assessment of the Polymorph-Specific Crystallinity of Poly(Lactic Acid) and the Impact of a Self-Assembling Nucleating Agent and PEG Plasticizer
by Maarten Colaers, Wim Thielemans and Bart Goderis
Polymers 2025, 17(9), 1267; https://doi.org/10.3390/polym17091267 - 6 May 2025
Cited by 4 | Viewed by 2046
Abstract
This study examines the temperature-resolved, polymorph-specific crystallinity of poly(lactic acid), PLA, during cooling and heating at 10 °C/min, with a focus on the effects of N, N-bis(benzoyl) hexanedioic acid dihydrazide (BHAD, commercially known as TMC306) as nucleating agent and PEG 1000 as plasticizer. [...] Read more.
This study examines the temperature-resolved, polymorph-specific crystallinity of poly(lactic acid), PLA, during cooling and heating at 10 °C/min, with a focus on the effects of N, N-bis(benzoyl) hexanedioic acid dihydrazide (BHAD, commercially known as TMC306) as nucleating agent and PEG 1000 as plasticizer. A semicrystalline (PLA-1) and amorphous (PLA-2) PLA grade were investigated. The study emphasizes the importance of using temperature-dependent, polymorph-specific transition enthalpies to accurately calculate crystallinities from Differential Scanning Calorimetry (DSC). Polymorphism is independently confirmed using Wide Angle X-ray Diffraction (WAXD). Pure PLA-1 reached an α′ crystallinity of 2% during cooling, which increased to 38% through cold crystallization upon heating. At BHAD concentrations of at least 0.4%, α crystallites formed instead of α′, reaching a maximum crystallinity of 38% during cooling. The addition of 10 wt% PEG to PLA-1 facilitated primary α crystallization during cooling, followed by secondary intraspherulitic α′ crystallization upon heating, resulting ultimately in a crystallinity of 34%. Adding 1 wt% BHAD into PLA-1 with 10 wt% PEG shifted the crystallization temperature upward by 40 °C and enhanced the α crystallinity to 44%, highlighting the synergistic effect of PEG and BHAD on crystallization. Full article
Show Figures

Graphical abstract

24 pages, 5402 KB  
Article
Dynamic Mechanical and Charlesby-Pinner Analyses of Radiation Cross-Linked Ethylene-Vinyl Acetate Copolymer (EVA)
by Anna Svarcova and Petr Svoboda
Molecules 2025, 30(7), 1485; https://doi.org/10.3390/molecules30071485 - 27 Mar 2025
Cited by 2 | Viewed by 1807
Abstract
The properties of EVA copolymers with various vinyl acetate (VA) contents were compared, with EVA 206 (6 wt.% VA) and EVA 212 (12 wt.% VA) having the same melt flow indices of 2 g/10 min. The impact of electron irradiation at levels of [...] Read more.
The properties of EVA copolymers with various vinyl acetate (VA) contents were compared, with EVA 206 (6 wt.% VA) and EVA 212 (12 wt.% VA) having the same melt flow indices of 2 g/10 min. The impact of electron irradiation at levels of 60, 120, and 180 kGy was studied. Four testing methods were employed as follows: wide-angle X-ray diffraction (WAXD); differential scanning calorimetry (DSC); dynamic mechanical analysis (DMA), using a high-temperature frequency sweep at 150 °C; and gel content analysis. The amount of crystalline phase was determined by WAXD and DSC. Copolymers with a higher VA content (EVA 212) had lower crystallinity. The increase in the amorphous phase allows for the greater movement of radicals, enabling them to react and form cross-links. The effects of the VA content, radiation dose, and frequency on dynamic mechanical properties were investigated by DMA. The DMA analysis focused on the shear storage modulus G, damping factor tanδ, and complex viscosity η*. After irradiation, the damping factor tanδ decreased with an increasing VA content, indicating improved elasticity and a higher degree of cross-linking. A gel content analysis was used to calculate the parameters of the Charlesby-Pinner and Charlesby–Rosiak equations, which help with the determination of the relationship between cross-linking and chain scission. The ratio of cross-linking to scission G(X)/G(S) was higher for the EVA with a higher VA content (EVA 212). Due to a higher VA content (12 wt.%), EVA 212 exhibits more efficient network formation. Full article
(This article belongs to the Special Issue Intermolecular Interaction Predictions for Large Molecular Systems)
Show Figures

Graphical abstract

19 pages, 2163 KB  
Article
Novel Quaternary Ammonium Derivatives Based on Apple Pectin
by Magdalena-Cristina Stanciu, Daniela Ionita, Daniel Tȋmpu, Irina Popescu, Dana Mihaela Suflet, Florica Doroftei and Cristina G. Tuchilus
Polymers 2024, 16(23), 3352; https://doi.org/10.3390/polym16233352 - 29 Nov 2024
Cited by 1 | Viewed by 1226
Abstract
New quaternary ammonium derivatives (quats) based on apple pectin (PA) were synthesized by the chemical modification of native polysaccharides with various quaternization mixtures containing epichlorohydrin (ECH) and a tertiary amine. Pectin derivatives (QPAs) were studied by elemental analysis, conductometric titration, Fourier-transform infrared spectroscopy [...] Read more.
New quaternary ammonium derivatives (quats) based on apple pectin (PA) were synthesized by the chemical modification of native polysaccharides with various quaternization mixtures containing epichlorohydrin (ECH) and a tertiary amine. Pectin derivatives (QPAs) were studied by elemental analysis, conductometric titration, Fourier-transform infrared spectroscopy (FTIR), and 13C nuclear magnetic resonance (13C NMR). Viscosity measurements enabled the evaluation of the viscosity average molar mass (Mv) for the unmodified polysaccharide, as well as its intrinsic viscosity ([η]) value. Dynamic light scattering (DLS) analysis revealed that the PA and its quats formed aggregates in an aqueous solution with either a unimodal (PA) or bimodal (QPAs) distribution. Scanning transmission electron microscopy analysis (STEM) of the PA and its derivatives demonstrated the presence of individual polymeric chains and aggregates in aqueous solution, with the smallest sizes being specific to amphiphilic polymers. Thermal stability, as well as wide-angle X-ray diffraction (WAXD) studies, generally indicated a lower thermal stability and crystallinity of the QPAs compared with those of the PA. Antipathogenic activity demonstrated that the PA and its derivatives exhibited effectiveness against S. aureus ATCC 25923 bacterium and C. albicans ATCC 10231 pathogenic yeast. Full article
(This article belongs to the Section Biobased and Biodegradable Polymers)
Show Figures

Graphical abstract

12 pages, 1543 KB  
Article
Photocatalytic Degradation of Levofloxacin and Inactivation of Enterococci Levofloxacin-Resistant Bacteria Using Pure Rare-Earth Oxides
by Lorenzo Saviano, Antonietta Mancuso, Alice Cardito, Olga Sacco, Vincenzo Vaiano, Maurizio Carotenuto, Giovanni Libralato and Giusy Lofrano
Separations 2024, 11(9), 272; https://doi.org/10.3390/separations11090272 - 18 Sep 2024
Cited by 2 | Viewed by 1744
Abstract
In this study, La2O3 and CeO2 nanopowders were prepared using a simple and cost-effective precipitation method. Wide-angle X-ray diffraction (WAXD), UV-Visible reflectance diffuses (UV-Vis DRS), Raman spectroscopy, and specific surface area were used to characterize the photocatalysts, evidencing that [...] Read more.
In this study, La2O3 and CeO2 nanopowders were prepared using a simple and cost-effective precipitation method. Wide-angle X-ray diffraction (WAXD), UV-Visible reflectance diffuses (UV-Vis DRS), Raman spectroscopy, and specific surface area were used to characterize the photocatalysts, evidencing that the used preparation method was effective in the generation of crystalline CeO2 and La2O3. In particular, WAXD results showed that the average crystallite size of the achieved La2O3 and CeO2 samples were about 22 nm and 28 nm, respectively. The photocatalytic performances of the prepared catalysts were investigated in the degradation of levofloxacin (LEV) and the inactivation of a waterborne pathogen levofloxacin resistant (Enterococcus faecalis ATCC 29212) by using a photoreactor equipped with a solar simulator (SS). After 120 min, the CeO2 and La2O3 photocatalytic treatments allowed us to achieve between 75% and 83% of levofloxacin removal, respectively. A complete removal of 106 CFU/mL Enterococcus faecalis ATCC 29212 was achieved after 5 and 60 min of La2O3 and CeO2 photocatalytic processes, respectively. Full article
(This article belongs to the Special Issue Photocatalytic Materials for Pollutant Removal by Degradation)
Show Figures

Figure 1

16 pages, 2796 KB  
Article
Assessing the Impact of Drought Stress on Hemp (Cannabis sativa L.) Fibers
by Edyta Kwiatkowska, Małgorzata Zimniewska, Wanda Różańska, Michał Puchalski and Patrycja Przybylska
Materials 2024, 17(17), 4198; https://doi.org/10.3390/ma17174198 - 24 Aug 2024
Cited by 5 | Viewed by 2227
Abstract
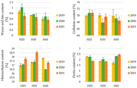
Drought can significantly impact fiber crop cultivation due to the plants’ specific water requirements and their extended vegetative period. The purpose of the research was to examine how drought stress affects the quality and chemical composition of hemp (Cannabis sativa L.) fibers. [...] Read more.
Drought can significantly impact fiber crop cultivation due to the plants’ specific water requirements and their extended vegetative period. The purpose of the research was to examine how drought stress affects the quality and chemical composition of hemp (Cannabis sativa L.) fibers. A three-year pot experiment was conducted in a plant growth facility, using controlled drought stress for hemp plants. Soil moisture levels were maintained at three levels, where 45% field water capacity was the control and 35% and 25% FWC were drought. A comprehensive suite of fiber quality characterization techniques, including linear density measurement, tenacity assessment, Fourier Transform Infrared Spectroscopy (FTIR), and Wide-Angle X-ray Diffraction (WAXD), was employed to evaluate the impact of drought stress on fiber properties. The chemical composition of hemp fibers was thoroughly analyzed, quantifying the content of cellulose, hemicellulose, pectin, and lignin. The findings indicate that drought conditions significantly influence linear density, wax and fat content, as well as the crystallinity of the fibers. Full article
Show Figures

Figure 1

12 pages, 5863 KB  
Article
Synthesis of MPEG-b-PLLA Diblock Copolymers and Their Crystallization Performance with PDLA and PLLA Composite Films
by Wenjing Wu, Weixin Wu, Mingwei Guo, Ruizhe Wang, Xuanxuan Wang and Qinwei Gao
Materials 2024, 17(9), 2105; https://doi.org/10.3390/ma17092105 - 29 Apr 2024
Cited by 1 | Viewed by 2506
Abstract
Methoxy poly(ethylene glycol)-block-poly(L-lactide) (MPEG-b-PLLA) has a wide range of applications in pharmaceuticals and biology, and its structure and morphology have been thoroughly studied. In the experiment, we synthesized MPEG-b-PLLA with different block lengths using the principle of ring-opening polymerization by controlling the amount [...] Read more.
Methoxy poly(ethylene glycol)-block-poly(L-lactide) (MPEG-b-PLLA) has a wide range of applications in pharmaceuticals and biology, and its structure and morphology have been thoroughly studied. In the experiment, we synthesized MPEG-b-PLLA with different block lengths using the principle of ring-opening polymerization by controlling the amount of lactic acid added. The thermodynamic properties of copolymers and the crystallization properties of blends were studied separately. The crystallization kinetics of PDLA/MPEG-b-PLA and PLLA/MPEG-b-PLA composite films were studied using differential scanning calorimetry (DSC). The results indicate that the crystallization kinetics of composite films are closely related to the amount of block addition. The crystallinity of the sample first increases and then decreases with an increase in MPEG-b-PLLA content. These results were also confirmed in polarized optical microscope (POM) and wide-angle X-ray diffraction (WAXD) tests. When 3% MPEG-b-PLLA was added to the PDLA matrix, the blend exhibited the strongest crystallization performance. Full article
Show Figures

Figure 1

14 pages, 26777 KB  
Article
The Crystallization Morphology and Conformational Changes of Polypropylene Random Copolymer Induced by a Novel β-Nucleating Agent
by Bo Wu, Xian Zheng, Yanwei Ren, Hailong Yu, Yubo Wang and Huanfeng Jiang
Polymers 2024, 16(6), 827; https://doi.org/10.3390/polym16060827 - 16 Mar 2024
Cited by 2 | Viewed by 3315
Abstract
The crystal morphology and conformational changes during crystallization of a polypropylene random copolymer (PPR) are the basis for understanding its crystallization process. In this work, novel rare-earth β-nucleating agent WBN-28 was directly added into PPR to induce β-crystallization. The results of differential scanning [...] Read more.
The crystal morphology and conformational changes during crystallization of a polypropylene random copolymer (PPR) are the basis for understanding its crystallization process. In this work, novel rare-earth β-nucleating agent WBN-28 was directly added into PPR to induce β-crystallization. The results of differential scanning calorimetry (DSC) showed that it has an excellent β-crystal-induced effect. The β-crystal content could surpass 85%, calculated from wide-angle X-ray diffraction (WAXD) data. The morphology of the β-crystal and α-crystal was intuitively observed via a polarizing optical microscope (POM). The β-crystallites were interconnected to naturally develop plate-like crystalline regions possessing a certain size, and the α-crystallites with sufficient thicknesses possessed a cross-hatched phenomenon. The bundle-like supramolecular structure of the β-crystal induced by WBN-28 was further observed via a scanning electron microscope (SEM). The conformational changes in the crystallization process of PPR were resolved via high-resolution infrared spectroscopy to understand its β-crystallization in depth. The conformational changes during the crystallization of PPR were found to be different from those of the isotactic polypropylene homopolymer (PPH); they had their own characteristics. This will provide guidance for understanding the β-crystallization of PPR in depth. Full article
Show Figures

Figure 1

15 pages, 6071 KB  
Article
Investigation of the Hydrolytic Degradation Kinetics of 3D-Printed PLA Structures under a Thermally Accelerated Regime
by Bartłomiej Klimczuk, Aleksandra Rudnicka, Oliwia Owczarek, Adam K. Puszkarz, Grzegorz Szparaga and Michał Puchalski
Materials 2024, 17(5), 1043; https://doi.org/10.3390/ma17051043 - 24 Feb 2024
Cited by 7 | Viewed by 2887
Abstract
The application of biobased and biodegradable polymers, such as polylactide (PLA), in fused deposition modeling (FDM) 3D-printing technology creates a new prospect for rapid prototyping and other applications in the context of ecology. The popularity of the FDM method and its significance in [...] Read more.
The application of biobased and biodegradable polymers, such as polylactide (PLA), in fused deposition modeling (FDM) 3D-printing technology creates a new prospect for rapid prototyping and other applications in the context of ecology. The popularity of the FDM method and its significance in material engineering not only creates new prospects for the development of technical sciences on an industrial scale, but also introduces new technologies into households. In this study, the kinetics of the hydrolytic degradation of samples obtained by the FDM method from commercially available PLA filaments under a thermally accelerated regime were analyzed. The investigation was conducted at the microstructural, supramolecular, and molecular levels by using methods such as micro-computed tomography (micro-CT), wide-angle X-ray diffraction (WAXD), viscosimetry, and mass erosion measurements. The obtained results clearly present the rapid structural changes in 3D-printed materials during degradation due to their amorphous initial structure. The complementary studies carried out at different scale levels allowed us to demonstrate the relationship between the observed structural changes in the samples and the hydrolytic decomposition of the polymer chains, which made it possible to scientifically understand the process and expand the knowledge on biodegradation. Full article
(This article belongs to the Special Issue Polymer Materials: Research, Development and Application)
Show Figures

Graphical abstract

Back to TopTop