Sign in to use this feature.

Years

Between: -

Subjects

remove_circle_outline
remove_circle_outline
remove_circle_outline
remove_circle_outline
remove_circle_outline
remove_circle_outline
remove_circle_outline
remove_circle_outline
remove_circle_outline

Journals

Article Types

Countries / Regions

Search Results (14)

Search Parameters:
Keywords = weightless factor

Order results
Result details
Results per page
Select all
Export citation of selected articles as:
14 pages, 3080 KB  
Communication
Microgravity Impacts the Expression of Aging-Associated Candidate Gene Targets in the p53 Regulatory Network
by Nik V. Kuznetsov, Daria D. Vlasova, Anastasia A. Kotikova, Elena Tomilovskaya and Milos Ljubisavljevic
Int. J. Mol. Sci. 2025, 26(22), 11140; https://doi.org/10.3390/ijms262211140 - 18 Nov 2025
Viewed by 831
Abstract
The extreme space environment accelerates aging and compromises human health. NASA has named five main hazards in space, including gravity changes. However, the contribution of each factor to the overall impact on biomolecular and cellular processes is not always clear. We aimed to [...] Read more.
The extreme space environment accelerates aging and compromises human health. NASA has named five main hazards in space, including gravity changes. However, the contribution of each factor to the overall impact on biomolecular and cellular processes is not always clear. We aimed to explore the effects of microgravity on the transcriptomes of healthy volunteers, with a focus on gene expression in p53 pathways. Ten healthy men were exposed to dry immersion simulated microgravity (DI-SMG) for three weeks and blood samples were collected at five timepoints before, during and after the course of DI-SMG. T cells were purified from the peripheral blood samples and total RNA was isolated and sequenced followed by a bioinformatics analysis of the volunteers’ global transcriptomes. A differential expression of p53 network genes was observed. The expression of 30 genes involved in the p53 gene network was affected during a 3-week course of DI-SMG including classic p53 downstream target genes involved in cellular senescence: GADD45, p21, PUMA, IGF1 and other target genes. For the first time, the p53-associated cell signaling pathways and gene networks in human T cells were reported to be affected in vivo by DI-SMG. It is evident that the relatively mild effects of simulated weightlessness on the human body are sufficient to activate these pathways. Identified transcriptomic changes point toward a potential molecular overlap with aging and cellular senescence. These findings could contribute to a broader research landscape that may lead to the discovery of a new class of drugs—MG-senolytics. Full article
(This article belongs to the Special Issue New Trends in Biologically Active Compounds in Age-Related Diseases)
Show Figures

Graphical abstract

19 pages, 9559 KB  
Article
Weightless Model Predictive Control for Permanent Magnet Synchronous Motors with Extended State Observer
by Quanfu Geng, Quanhui Liu and Weiguang Zheng
Appl. Sci. 2024, 14(18), 8359; https://doi.org/10.3390/app14188359 - 17 Sep 2024
Viewed by 1821
Abstract
Traditional model predictive torque control (MPTC) predicts the torque and flux values for the next time step and selects the voltage vector that minimizes the cost function as the optimal vector to apply to the inverter. This control approach is straightforward and allows [...] Read more.
Traditional model predictive torque control (MPTC) predicts the torque and flux values for the next time step and selects the voltage vector that minimizes the cost function as the optimal vector to apply to the inverter. This control approach is straightforward and allows for multi-objective control, but it has some issues in terms of the dynamic steady-state performance and parameter robustness. Therefore, this paper proposes a weightless model predictive control method based on an extended state observer (ESO). By designing an improved ESO to observe and compensate for motor parameter disturbances in real time, and employing a novel 2-D switching table and voltage vector sector selection diagram, the method evaluates three out of eight voltage vectors based on the torque and stator flux error signals. This reduces the computational load while increasing the number of candidate voltage vectors. Finally, a cost function without weighting factors is designed to lower the computational complexity. The simulation results show that the proposed new control method effectively reduces the torque and flux ripple and improves the current waveform compared to traditional MPTC. Full article
Show Figures

Figure 1

21 pages, 7683 KB  
Article
Non-Weighted Two-Stage Model Predictive Control Strategy Based on Three-Level NPC Inverter
by Guifeng Wang, Peiru Li and Yu Wang
Energies 2024, 17(8), 1813; https://doi.org/10.3390/en17081813 - 10 Apr 2024
Cited by 5 | Viewed by 1822
Abstract
This paper investigates the asynchronous motors driven by a Three-Level Neutral-Point-Clamped Voltage Source Inverter (3L-NPC-VSI) and aims to achieve control without weight factors and reduce torque ripple. It puts forward a non-weighted two-stage Finite-Control-Set Model Predictive Control (FCS-MPC) strategy. First, a hierarchical optimization [...] Read more.
This paper investigates the asynchronous motors driven by a Three-Level Neutral-Point-Clamped Voltage Source Inverter (3L-NPC-VSI) and aims to achieve control without weight factors and reduce torque ripple. It puts forward a non-weighted two-stage Finite-Control-Set Model Predictive Control (FCS-MPC) strategy. First, a hierarchical optimization method is adopted to address the difficulty of setting weight factors in traditional FCS-MPC applications. The method offers stratified designs of three performance indices, voltage jump, common-mode voltage, and current tracking, obviating the need for weight factor setting and reducing the calculation load of predictions. Secondly, to further mitigate torque ripple, an optimal vector or vector combination is implemented at the current control layer by adhering to the principle of minimal current tracking error. During the selection of the optimal vector combination, the first vector of the combination is chosen to be the vector at the end of the present cycle. This ensures that there is at most one switch within each control period, reducing the switching losses of the two-stage FCS-MPC. Lastly, detailed simulation and experimental analyses are conducted to verify the feasibility and effectiveness of the proposed strategy. Full article
Show Figures

Figure 1

14 pages, 4040 KB  
Article
Smooth Muscle Actin as a Criterion for Gravisensitivity of Stomach and Jejunum in Laboratory Rodents
by Tatyana Samoilenko, Viktoriya Shishkina, Lyubov Antakova, Yelena Goryushkina, Andrey Kostin, Igor Buchwalow, Markus Tiemann and Dmitrii Atiakshin
Int. J. Mol. Sci. 2023, 24(22), 16539; https://doi.org/10.3390/ijms242216539 - 20 Nov 2023
Cited by 1 | Viewed by 3837
Abstract
Smooth muscle tissue (SMT) is one of the main structural components of visceral organs, acting as a key factor in the development of adaptive and pathological conditions. Despite the crucial part of SMT in the gastrointestinal tract activity, the mechanisms of its gravisensitivity [...] Read more.
Smooth muscle tissue (SMT) is one of the main structural components of visceral organs, acting as a key factor in the development of adaptive and pathological conditions. Despite the crucial part of SMT in the gastrointestinal tract activity, the mechanisms of its gravisensitivity are still insufficiently studied. The study evaluated the content of smooth muscle actin (α-SMA) in the membranes of the gastric fundus and jejunum in C57BL/6N mice (30-day space flight), in Mongolian gerbils Meriones unguiculatus (12-day orbital flight) and after anti-orthostatic suspension according to E.R. Morey-Holton. A morphometric analysis of α-SMA in the muscularis externa of the stomach and jejunum of mice and Mongolian gerbils from space flight groups revealed a decreased area of the immunopositive regions, a fact indicating a weakening of the SMT functional activity. Gravisensitivity of the contractile structures of the digestive system may be due to changes in the myofilament structural components of the smooth myocytes or myofibroblast actin. A simulated antiorthostatic suspension revealed no significant changes in the content of the α-SMA expression level, a fact supporting an alteration in the functional properties of the muscularis externa of the digestive hollow organs under weightless environment. The data obtained contribute to the novel mechanisms of the SMT contractile apparatus remodeling during orbital flights and can be used to improve preventive measures in space biomedicine. Full article
(This article belongs to the Special Issue Cellular and Molecular Signaling Meet the Space Environment 2.0)
Show Figures

Figure 1

17 pages, 1569 KB  
Review
Recent Biotechnological Applications of Polyhydroxyalkanoates (PHA) in the Biomedical Sector—A Review
by Matheus Silva da Fonseca Diniz, Murilo Moraes Mourão, Luciana Pereira Xavier and Agenor Valadares Santos
Polymers 2023, 15(22), 4405; https://doi.org/10.3390/polym15224405 - 14 Nov 2023
Cited by 33 | Viewed by 8141
Abstract
Petroleum-derived plastics are materials of great importance for the contemporary lifestyle, and are widely used commercially because they are low cost, resistant, malleable, and weightless, in addition to their hydrophobic character. However, some factors that confer the qualities of these materials also cause [...] Read more.
Petroleum-derived plastics are materials of great importance for the contemporary lifestyle, and are widely used commercially because they are low cost, resistant, malleable, and weightless, in addition to their hydrophobic character. However, some factors that confer the qualities of these materials also cause problems, mainly environmental, associated with their use. The COVID-19 pandemic aggravated these impacts due to the high demand for personal protective equipment and the packaging sector. In this scenario, bioplastics are environmentally positive alternatives to these plastics due to their applicability in several areas ranging from packaging, to biomedicine, to agriculture. Polyhydroxyalkanoates (PHAs) are biodegradable biopolymers usually produced by microorganisms as an energy reserve. Their structural variability provides a wide range of applications, making them a viable option to replace polluting materials. PHAs can be applied in various biotechnology sectors, such as producing drug carriers and scaffolds for tissue engineering. This review aimed to survey works published in the last five years on the study and biotechnological application of PHAs in the biomedical sector, exploring the versatility and advantages of their use and helping to understand how to enhance their application. Full article
(This article belongs to the Special Issue Biomedical Applications of Polymeric Materials)
Show Figures

Figure 1

15 pages, 3207 KB  
Article
Insights into Pyrolysis Kinetics, Thermodynamics, and the Reaction Mechanism of Wheat Straw for Its Resource Utilization
by Jialiu Lei, Xiaofeng Ye, Han Wang and Dongnan Zhao
Sustainability 2023, 15(16), 12536; https://doi.org/10.3390/su151612536 - 18 Aug 2023
Cited by 19 | Viewed by 3243
Abstract
To realize the energy recovery of wheat straw, the pyrolysis behavior of wheat straw was studied at three heating rates (10, 20, and 30 K/min) based on thermogravimetric analysis (TG–DTG). Kinetics and thermodynamics were analyzed using Flynn–Wall–Ozawa (FWO) and Kissinger–Akahira–Sunose (KAS) model-free methods, [...] Read more.
To realize the energy recovery of wheat straw, the pyrolysis behavior of wheat straw was studied at three heating rates (10, 20, and 30 K/min) based on thermogravimetric analysis (TG–DTG). Kinetics and thermodynamics were analyzed using Flynn–Wall–Ozawa (FWO) and Kissinger–Akahira–Sunose (KAS) model-free methods, and the reaction mechanism was determined using the Coats–Redfern (CR) model-fitting method. The results show that there are three weightlessness stages in the pyrolysis process, of which the second stage was the main weightlessness stage and two distinct peaks of weightlessness were observed in this stage. With increasing heating rate, the main pyrolytic weightlessness peaks of the DTG curve shift to the high-temperature side. The pyrolysis activation energies calculated by the FWO and KAS methods are 165.17–440.02 kJ/mol and 163.72–452.07 kJ/mol, and the pre-exponential factors vary in the range of 2.58 × 1012–7.45 × 1036 s−1 and 1.91 × 1012–8.66 × 1037 s−1, respectively. The thermodynamic parameters indicate that wheat straw has favorable conditions for product formation and it is a promising feedstock. Its pyrolysis reaction was nonspontaneous and the energy output is stable. CR method analysis shows that the A1/3 random nucleation model is the most suitable mechanism to characterize the pyrolysis process and random nucleation may be in charge of the main pyrolysis stage. This study can provide a theoretical basis for the thermochemical conversion and utilization of wheat straw. Full article
Show Figures

Figure 1

15 pages, 5382 KB  
Article
A Multi-View Vision System for Astronaut Postural Reconstruction with Self-Calibration
by Shuwei Gan, Xiaohu Zhang, Sheng Zhuge, Chenghao Ning, Lijun Zhong and You Li
Aerospace 2023, 10(3), 298; https://doi.org/10.3390/aerospace10030298 - 17 Mar 2023
Cited by 5 | Viewed by 2903
Abstract
Space exploration missions involve significant participation from astronauts. Therefore, it is of great practical importance to assess the astronauts’ performance via various parameters in the cramped and weightless space station. In this paper, we proposed a calibration-free multi-view vision system for astronaut performance [...] Read more.
Space exploration missions involve significant participation from astronauts. Therefore, it is of great practical importance to assess the astronauts’ performance via various parameters in the cramped and weightless space station. In this paper, we proposed a calibration-free multi-view vision system for astronaut performance capture, including two modules: (1) an alternating iterative optimization of the camera pose and human pose is implemented to calibrate the extrinsic camera parameters with detected 2D keypoints. (2) Scale factors are restricted by the limb length to recover the real-world scale and the shape parameters are refined for subsequent postural reconstruction. These two modules can provide effective and efficient motion capture in a weightless space station. Extensive experiments using public datasets and the ground verification test data demonstrated the accuracy of the estimated camera pose and the effectiveness of the reconstructed human pose. Full article
Show Figures

Figure 1

30 pages, 2667 KB  
Article
An HRA Model Based on the Cognitive Stages for a Human-Computer Interface in a Spacecraft Cabin
by Jianjun Jiang, Yi Xiao, Wenhao Zhan, Changhua Jiang, Dan Yang, Liaozi Xi, Li Zhang, Hong Hu, Yanhua Zou and Jianqiao Liu
Symmetry 2022, 14(9), 1756; https://doi.org/10.3390/sym14091756 - 23 Aug 2022
Cited by 4 | Viewed by 2249
Abstract
HRA (Human Reliability Analysis) can be seen as a symmetric problem, as it is mainly reflected in two aspects of failure and success. Human error is the most common accident in industrial systems; furthermore, an astronaut is in a very complex environment, and [...] Read more.
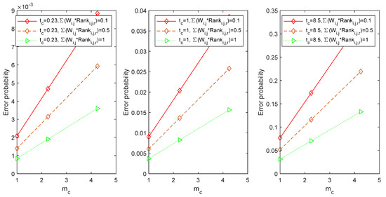
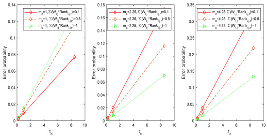
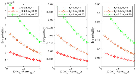
HRA (Human Reliability Analysis) can be seen as a symmetric problem, as it is mainly reflected in two aspects of failure and success. Human error is the most common accident in industrial systems; furthermore, an astronaut is in a very complex environment, and coupled with weightlessness, it is easy to cause human error. For this reason, this paper took the human-computer interface in a spacecraft cabin as the background, and based on the literature, questionnaire inquiry, and the division of three cognitive processes during the interaction between the astronaut and human, a computer interface was determined. This paper proposed a human reliability influencing factors system of different cognitive phases for the human-computer interface in a spacecraft cabin, a task analysis tree with a symmetry of success and failure, an HRA model with symmetry of failure and success based on cognitive stages, and Game Theory and Fuzzy Center of Gravity Method, and obtained influencing factors weights of three cognitive stages. By simulating an experiment, the trend of error probability curves shows the rationality of the human reliability method. Finally, an example was illustrated, and the analysis process of the example demonstrates that an HRA model with symmetry provides a feasible analysis process and method for the cognitive reliability of the spacecraft cabin human-computer interface interaction. The research achievements in this paper can provide theoretical guidance to improve human error root reason analysis, an analysis basis of how to improve influencing factors level, and provide a HRA method based on cognitive stages for the human-computer interaction process in a spacecraft cabin. Full article
(This article belongs to the Section Engineering and Materials)
Show Figures

Figure 1

13 pages, 1760 KB  
Article
Exposure to Random Positioning Machine Alters the Mineralization Process and PTX3 Expression in the SAOS-2 Cell Line
by Ida Cariati, Roberto Bonanni, Manuel Scimeca, Anna Maria Rinaldi, Mario Marini, Umberto Tarantino and Virginia Tancredi
Life 2022, 12(5), 610; https://doi.org/10.3390/life12050610 - 19 Apr 2022
Cited by 11 | Viewed by 3773
Abstract
Bone loss is among the most frequent changes seen in astronauts during space missions. Although weightlessness is known to cause high bone resorption and a rapid decrease in bone minerals and calcium, the underlying mechanisms are not yet fully understood. In our work, [...] Read more.
Bone loss is among the most frequent changes seen in astronauts during space missions. Although weightlessness is known to cause high bone resorption and a rapid decrease in bone minerals and calcium, the underlying mechanisms are not yet fully understood. In our work, we investigated the influence of random positioning machine (RPM) exposure on the mineralization process in the SAOS-2 cell line, in osteogenic and non-osteogenic conditions, by examining changes in their mineralizing capacity and in the expression of PTX3, a positive regulator of bone mineralization. We analyzed cell viability by MTS assay and the mineralization process after staining with Toluidine Blue and Alizarin Red, while PTX3 expression was investigated by immunocytochemistry and western blotting analysis. Our results showed that RPM exposure increased cells’ viability and improved their mineralizing competence when not treated with osteogenic cocktail. In contrast, in osteogenic conditions, cells exposed to RPM showed a reduction in the presence of calcification-like structures, mineral deposits and PTX3 expression, suggesting that the effects of RPM exposure on mineralizing matrix deposition depend on the presence of osteogenic factors in the culture medium. Further studies will be needed to clarify the role of potential mineralization markers in the cellular response to the simulated biological effects of microgravity, paving the way for a new approach to treating osteoporosis in astronauts exposed to spaceflight. Full article
(This article belongs to the Special Issue Advances in Space Biology)
Show Figures

Figure 1

10 pages, 14349 KB  
Review
Cardiovascular, Lymphatic, and Ocular Health in Space
by Victoria Ly, Suhas Rao Velichala and Alan R. Hargens
Life 2022, 12(2), 268; https://doi.org/10.3390/life12020268 - 11 Feb 2022
Cited by 18 | Viewed by 5186
Abstract
Life on Earth has evolved continuously under Earth’s 1 G force and the protection of the magnetosphere. Thus, astronauts exhibit maladaptive physiological responses during space travel. Exposure to harmful cosmic radiation and weightlessness are unique conditions to the deep-space environment responsible for several [...] Read more.
Life on Earth has evolved continuously under Earth’s 1 G force and the protection of the magnetosphere. Thus, astronauts exhibit maladaptive physiological responses during space travel. Exposure to harmful cosmic radiation and weightlessness are unique conditions to the deep-space environment responsible for several spaceflight-associated risks: visual impairment, immune dysfunction, and cancer due to cosmic radiation in astronauts. The evidence thus reviewed indicates that microgravity and cosmic radiation have deleterious effects on the cardiovascular, lymphatic, and vision systems of astronauts on long-duration space missions. The mechanisms responsible for the decline in these systems are potentially due to cytoskeletal filament rearrangement, endothelial dysfunction, and muscular atrophy. These factors may alter fluid hemodynamics within cardiovascular and lymphatic vasculatures such that greater fluid filtration causes facial and intracranial edema. Thus, microgravity induces cephalad fluid shifts contributing to spaceflight-associated neuro-ocular syndrome (SANS). Moreover, visual impairment via retinal ischemia and altered nitric oxide production may alter endothelial function. Based on rodent studies, cosmic radiation may exacerbate the effects of microgravity as observed in impaired endothelium and altered immunity. Relevant findings help understand the extent of these risks associated with spaceflight and suggest relevant countermeasures to protect astronaut health during deep-space missions. Full article
(This article belongs to the Special Issue Space Flight Factors and Cytoskeleton Organization)
Show Figures

Figure 1

21 pages, 6936 KB  
Article
Assessment of the Bearing Capacity of Bridge Foundation on Rock Masses
by Ana Alencar, Rubén Galindo, Claudio Olalla Marañón and Svetlana Melentijevic
Appl. Sci. 2021, 11(24), 12068; https://doi.org/10.3390/app112412068 - 17 Dec 2021
Cited by 3 | Viewed by 4760 | Correction
Abstract
This paper aims to study the bearing capacity of a shallow foundation on rock mass, considering the most usual bridge footing width and adopting a Hoek–Brown material. The dimension of the foundation has been shown to be very significant in soils with linear [...] Read more.
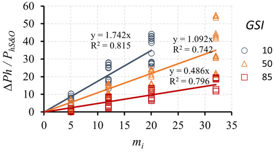
This paper aims to study the bearing capacity of a shallow foundation on rock mass, considering the most usual bridge footing width and adopting a Hoek–Brown material. The dimension of the foundation has been shown to be very significant in soils with linear failure criteria (Mohr–Coulomb envelope), and its study is necessary in the case of non-linear failure criteria, typical of rock masses. Analytical solutions do not allow incorporating this effect. A parametric study by a finite difference method was carried out, studying a wide variety of rock mass through sensitivity analysis of three geotechnical parameters: geological origin of the rock mass (mi), uniaxial compressive strength, and geological strength index. The results obtained by the numerical solution for the Hoek–Brown failure criterion were compared with the analytical results by adopting the classical hypotheses of plane strain conditions, associated flow rule, and weightless rock mass. The variation of the numerical bearing capacity due to the consideration of the self-weight of the rock mass was also analyzed since its influence is conditioned by the volume of ground mobilized and therefore by the width of the foundation. Considering the similarities observed between the numerical and analytical results, a correlation factor function of the self-weight is proposed. It can be used in conjunction with the analytical method, to estimate in a semi-analytical way the bearing capacity of a bridge foundation. Full article
(This article belongs to the Section Civil Engineering)
Show Figures

Figure 1

12 pages, 2896 KB  
Article
Experimental Performance Analysis of a Small Thermoelectric System Applicable to Real-Time PCR Devices
by Jae Hoon Chung and Sehoon Jeong
Symmetry 2020, 12(12), 1963; https://doi.org/10.3390/sym12121963 - 27 Nov 2020
Cited by 3 | Viewed by 2812
Abstract
At the International Space Station (ISS), not only observation of the space environment, but also biological and medical research under weightlessness has been conducted. The efficient use of energy from waste heat from the ISS away from the Earth is very important to [...] Read more.
At the International Space Station (ISS), not only observation of the space environment, but also biological and medical research under weightlessness has been conducted. The efficient use of energy from waste heat from the ISS away from the Earth is very important to the efficient operation of the ISS. To develop a thermoelectric module that can be used for real-time polymerase chain reaction (PCR) machinery used in biological and medical research, we simulated and evaluated the thermoelectric waste heat recovery system. Specifically, the thermoelectric module was attached to a stainless steel duct, and a hot air blower was faced with the duct inlet. The power of the thermoelectric system was measured by controlling the temperature of the hot air inlet. Additionally, the thermoelectric performance was evaluated according to the heat sink attached to the cold side of the thermoelectric module. Here, we also found the optimal heat exchange factors to improve the power and efficiency of the thermoelectric module. In this regard, it is expected that the thermoelectric module development and analysis study using waste heat will play an important role in the biological and medical research that is being conducted at ISS by developing a real-time PCR utilizing it. Full article
(This article belongs to the Special Issue Heat Transfer in Engineering)
Show Figures

Figure 1

17 pages, 4174 KB  
Article
Pull-Out Capacity and Failure Mechanisms of Strip Anchors in Clay
by Fernando Cañizal, Jorge Castro, Jorge Cañizal and César Sagaseta
Energies 2020, 13(15), 3853; https://doi.org/10.3390/en13153853 - 28 Jul 2020
Cited by 6 | Viewed by 2915
Abstract
Plate anchors are a well-established solution for supporting the efforts of floating platforms for wind and marine renewable energies. The behavior of ultrathin rigid plate anchors buried in purely cohesive soils under undrained and plane-strain conditions is analyzed. As already known, a dimensional [...] Read more.
Plate anchors are a well-established solution for supporting the efforts of floating platforms for wind and marine renewable energies. The behavior of ultrathin rigid plate anchors buried in purely cohesive soils under undrained and plane-strain conditions is analyzed. As already known, a dimensional analysis shows that the pull-out capacity of the anchor may be expressed using a weightless break-out factor (Nc0) that only depends on the ratio between the depth and the anchor width (H/B). Using finite element analyses, tabulated values of the weightless break-out factor are provided in this paper and three different failure mechanisms are identified, namely very shallow (quasi-vertical), shallow or intermediate (semi-vertical), and deep (rotational). For very shallow failure mechanisms, the studied problem is completely equivalent to the trapdoor problem because immediate breakaway at the bottom part of the anchor is considered (vented conditions). The existing analytical solutions for the very shallow (Nc0 = 1.956 H/B) and deep cases (Nc = 3π + 2) using the slip-line method are reviewed and an analytical limit is proposed for the first time for the very shallow mechanism (H/B = 1.314). For shallow (intermediate) cases, the failure mechanism is identified and the angle of the main slip lines is numerically evaluated. Full article
(This article belongs to the Special Issue Foundation Systems for Offshore Wind Turbines)
Show Figures

Graphical abstract

15 pages, 6432 KB  
Article
A New Filler for Epoxy Resin: Study on the Properties of Graphite Carbon Nitride (g-C3N4) Reinforced Epoxy Resin Composites
by Tingting Wang, Bo Song and Li Wang
Polymers 2020, 12(1), 76; https://doi.org/10.3390/polym12010076 - 2 Jan 2020
Cited by 53 | Viewed by 6390
Abstract
In this study, graphitic carbon nitride (g-C3N4) as a novel filler was used for fabricating epoxy nanocomposites. The static mechanical, dynamic thermal-mechanical properties and thermostability of as-prepared g-C3N4/epoxy nanocomposites were significantly ameliorated compared with that [...] Read more.
In this study, graphitic carbon nitride (g-C3N4) as a novel filler was used for fabricating epoxy nanocomposites. The static mechanical, dynamic thermal-mechanical properties and thermostability of as-prepared g-C3N4/epoxy nanocomposites were significantly ameliorated compared with that of the pure epoxy matrix. The tensile modulus and flexural modulus of g-C3N4/epoxy nanocomposites increased by 31.81% and 28.28%, respectively. Meanwhile, the tensile and flexural strength was also improved by 16.02% and 12.67%, respectively. The g-C3N4/epoxy nanocomposites exhibited an increased storage modulus and glass transition temperature. The markedly improved mechanical and viscoelasticity properties were attributed to the stronger interfacial interaction caused by enlarged contact area and increased chemical bonding, and enhanced mechanical interlocking on the interface. The loss factor of epoxy nanocomposites also raised by 40% due to the comprehensive effect of frication caused by the relative slip between nanosheets, micro-constrained layer damping structure and the reversible cycle of breakage and re-established of the hydrogen bond. Meanwhile, the 10% weightlessness temperature (Tinitial), semi weightlessness temperature (Thalf) of g-C3N4/epoxy nanocomposites have increased by about 15 °C and 14 °C, respectively. Full article
Show Figures

Graphical abstract

Back to TopTop